Metaverse and AI Digital Twinning of 42SiCr Steel Alloys
Abstract
1. Introduction
2. Digital Twin, the Metaverse, ML, and Alloy
3. Physical Twin
3.1. Tested Material
3.2. Q&P Heat Treatment
3.3. Testing Preparation and Equipments
4. Machine Learning Methods Procedure
4.1. ML Linear Regression
4.2. Decision Tree Regression
4.3. Random Forest Regression
4.4. Gradient Boosting Algorithm
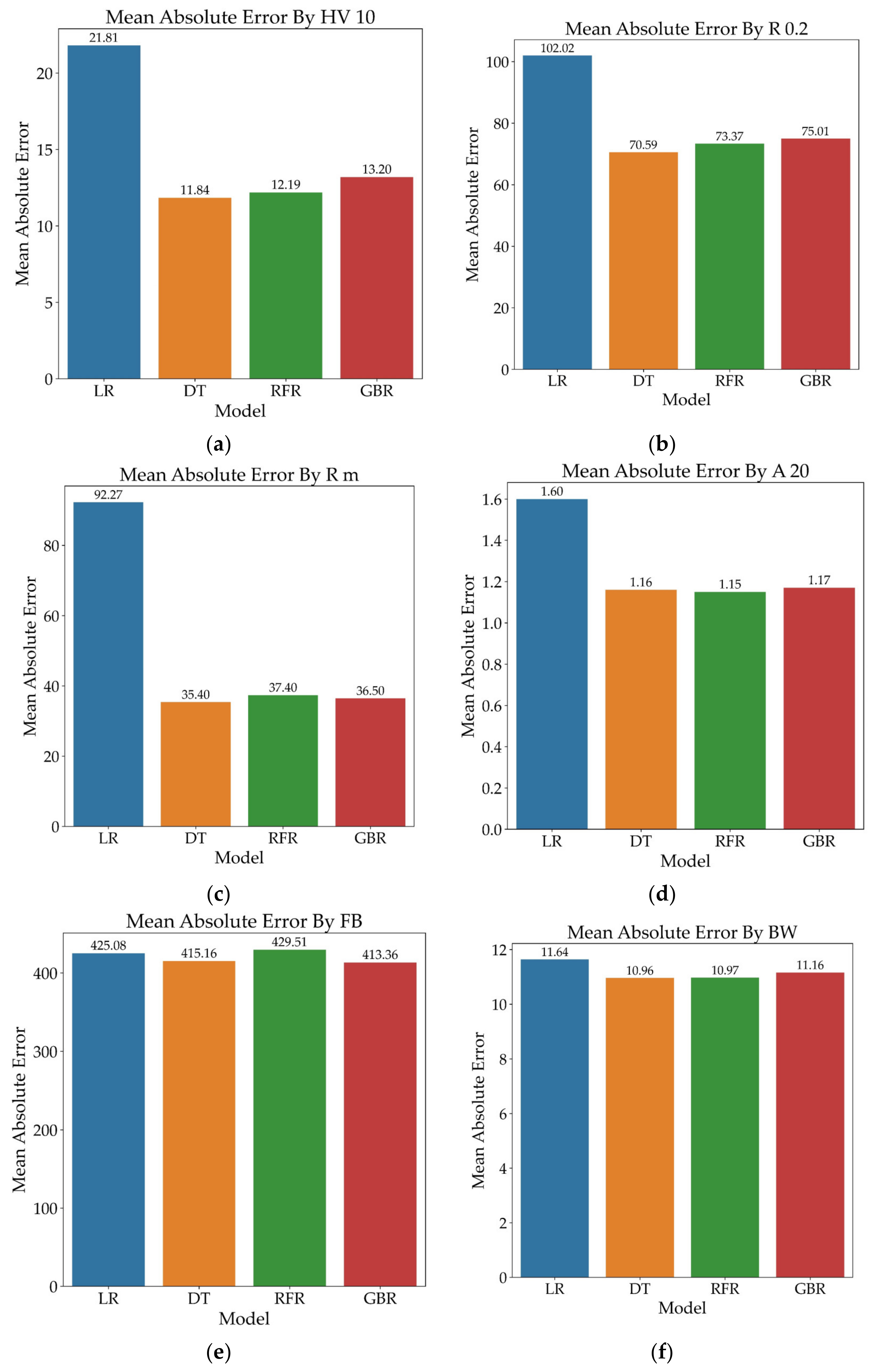
5. Results and Discussion
6. Conclusions
Author Contributions
Funding
Institutional Review Board Statement
Informed Consent Statement
Data Availability Statement
Conflicts of Interest
References
- Yuan, Y.; Tang, X.; Zhou, W.; Pan, W.; Li, X.; Zhang, H.-T.; Ding, H.; Goncalves, J.C. Data driven discovery of cyber physical systems. Nat. Commun. 2019, 10, 4894. [Google Scholar] [CrossRef] [PubMed]
- Roshani, S.; Azizian, J.; Roshani, S.; Jamshidi, M.B.; Parandin, F.J.F. Design of a miniaturized branch line microstrip coupler with a simple structure using artificial neural network. Frequenz 2022, 76, 255–263. [Google Scholar] [CrossRef]
- Jamshidi, M.B.; Talla, J.; Peroutka, Z. Deep learning techniques for model reference adaptive control and identification of complex systems. In Proceedings of the 2020 19th International Conference on Mechatronics-Mechatronika (ME), Prague, Czech Republic, 2–4 December 2020; pp. 1–7. [Google Scholar]
- Lee, J.; Kundu, P. Integrated cyber-physical systems and industrial metaverse for remote manufacturing. Manuf. Lett. 2022, 34, 12–15. [Google Scholar] [CrossRef]
- Parandin, F.J.O. High contrast ratio all-optical 4 × 2 encoder based on two-dimensional photonic crystals. Opt. Laser Technol. 2019, 113, 447–452. [Google Scholar] [CrossRef]
- Parandin, F.J.O. Ultra-compact terahertz all-optical logic comparator on GaAs photonic crystal platform. Opt. Laser Technol. 2021, 144, 107399. [Google Scholar] [CrossRef]
- Oñoro, M.; Macías-Delgado, J.; Auger, M.A.; de Castro, V.; Leguey, T. Mechanical properties and stability of precipitates of an ODS steel after thermal cycling and aging. Nucl. Mater. Energy 2020, 24, 100758. [Google Scholar] [CrossRef]
- Kang, Z.; Shen, H.; Bai, Z.; Zhao, H.; Liu, T. Influences of different hydride nanoparticles on microstructure and mechanical properties of 14Cr 3Al ferritic ODS steels. Powder Technol. 2018, 343, 137–144. [Google Scholar] [CrossRef]
- Khalaj, O.; Saebnoori, E.; Jirková, H.; Chocholatý, O.; Kučerová, L.; Hajšman, J.; Svoboda, J. The Effect of Heat Treatment on the Tribological Properties and Room Temperature Corrosion Behavior of Fe–Cr–Al-Based OPH Alloy. Materials 2020, 13, 5465. [Google Scholar] [CrossRef]
- Wang, L.; Bai, Z.; Shen, H.; Wang, C.; Liu, T. Creation of Y 2 Ti 2 O 7 nanoprecipitates to strengthen the Fe-14Cr-3Al-2W steels by adding Ti hydride and Y 2 O 3 nanoparticles. J. Nucl. Mater. 2017, 488, 319–327. [Google Scholar] [CrossRef]
- Zhao, H.; Liu, T.; Bai, Z.; Wang, L.; Gao, W.; Zhang, L. Corrosion behavior of 14Cr ODS steel in supercritical water: The influence of substituting Y2O3 with Y2Ti2O7 nanoparticles. Corros. Sci. 2020, 163, 108272. [Google Scholar] [CrossRef]
- Zhao, Q.; Yu, L.; Liu, Y.; Li, H. Morphology and structure evolution of Y2O3 nanoparticles in ODS steel powders during mechanical alloying and annealing. Adv. Powder Technol. 2015, 26, 1578–1582. [Google Scholar] [CrossRef]
- Khalaj, O.; Ghobadi, M.; Saebnoori, E.; Zarezadeh, A.; Shishesaz, M.; Mašek, B.; Štadler, C.; Svoboda, J. Development of Machine Learning Models to Evaluate the Toughness of OPH Alloys. Materials 2021, 14, 6713. [Google Scholar] [CrossRef]
- Khalaj, O.; Jamshidi, M.B.; Saebnoori, E.; Masek, B.; Stadler, C.; Svoboda, J. Hybrid Machine Learning Techniques and Computational Mechanics: Estimating the Dynamic Behavior of Oxide Precipitation Hardened Steel. IEEE Access 2021, 9, 156930–156946. [Google Scholar] [CrossRef]
- Roshani, S.; Jamshidi, M.B.; Mohebi, F.; Roshani, S. Design and modeling of a compact power divider with squared resonators using artificial intelligence. Wirel. Pers. Commun. 2021, 117, 2085–2096. [Google Scholar] [CrossRef]
- Leng, J.; Wang, D.; Shen, W.; Li, X.; Liu, Q.; Chen, X. Digital twins-based smart manufacturing system design in Industry 4.0: A review. J. Manuf. Syst. 2021, 60, 119–137. [Google Scholar] [CrossRef]
- Keshmiri Neghab, H.; Jamshidi, M.; Keshmiri Neghab, H. Digital Twin of a Magnetic Medical Microrobot with Stochastic Model Predictive Controller Boosted by Machine Learning in Cyber-Physical Healthcare Systems. Information 2022, 13, 321. [Google Scholar] [CrossRef]
- Jamshidi, M.B.; Alibeigi, N. Neuro-fuzzy system identification for remaining useful life of electrolytic capacitors. In Proceedings of the 2017 2nd International Conference on System Reliability and Safety (ICSRS), Milan, Italy, 20–22 December 2017; pp. 227–231. [Google Scholar]
- Jamshidi, M.B.; Roshani, S.; Talla, J.; Sharifi-Atashgah, M.S.; Roshani, S.; Peroutka, Z. Cloud-based Machine Learning Techniques Implemented by Microsoft Azure for Designing Power Amplifiers. In Proceedings of the 2021 IEEE 12th Annual Ubiquitous Computing, Electronics & Mobile Communication Conference (UEMCON), New York, NY, USA, 1–4 December 2021; pp. 41–44. [Google Scholar]
- Shafiei, A.; Jamshidi, M. (.; Khani, F.; Talla, J.; Peroutka, Z.; Gantassi, R.; Baz, M.; Cheikhrouhou, O.; Hamam, H. A Hybrid Technique Based on a Genetic Algorithm for Fuzzy Multiobjective Problems in 5G, Internet of Things, and Mobile Edge Computing. Math. Probl. Eng. 2021, 2021, 9194578. [Google Scholar] [CrossRef]
- Jamshidi, M.B.; Roshani, S.; Talla, J.; Peroutka, Z.; Roshani, S. A novel filter-based power divider for wireless communication in intelligent transportation systems. In Proceedings of the 2020 19th International Conference on Mechatronics-Mechatronika (ME), Prague, Czech Republic, 2–4 December 2020; pp. 1–5. [Google Scholar]
- Yahya, S.I.; Alameri, B.M.; Jamshidi, M.B.; Roshani, S.; Chaudhary, M.A.; Ijemaru, G.K.; Mezaal, Y.S.; Roshani, S.J.E. A New Design Method for Class-E Power Amplifiers Using Artificial Intelligence Modeling for Wireless Power Transfer Applications. Electronics 2022, 11, 3608. [Google Scholar] [CrossRef]
- Jamshidi, M.B.; Talla, J.; Peroutka, Z.; Roshani, S. Neuro-Fuzzy Approaches to Estimating Thermal Overstress Behavior of IGBTs. In Proceedings of the 2021 IEEE 19th International Power Electronics and Motion Control Conference (PEMC), Gliwice, Poland, 25–29 April 2021; pp. 843–850. [Google Scholar]
- Karkhanehchi, M.M.; Parandin, F.; Zahedi, A. Design of an all optical half-adder based on 2D photonic crystals. Photon Netw. Commun. 2016, 33, 159–165. [Google Scholar] [CrossRef]
- Mašek, B.; Khalaj, O.; Nový, Z.; Kubina, T.; Jirkova, H.; Svoboda, J.; Štádler, C. Behaviour of new ODS alloys under single and multiple deformation. Mater. Teh. 2016, 50, 891–898. [Google Scholar] [CrossRef]
- Chen, J.; de Hoogh, K.; Gulliver, J.; Hoffmann, B.; Hertel, O.; Ketzel, M.; Bauwelinck, M.; van Donkelaar, A.; Hvidtfeldt, U.A.; Katsouyanni, K.; et al. A comparison of linear regression, regularization, and machine learning algorithms to develop Europe-wide spatial models of fine particles and nitrogen dioxide. Environ. Int. 2019, 130, 104934. [Google Scholar] [CrossRef] [PubMed]
- Xu, M.; Watanachaturaporn, P.; Varshney, P.K.; Arora, M.K. Decision tree regression for soft classification of remote sensing data. Remote. Sens. Environ. 2005, 97, 322–336. [Google Scholar] [CrossRef]
- Segal, M.R. Machine Learning Benchmarks and Random Forest Regression. 2004. Available online: https://escholarship.org/uc/item/35x3v9t4 (accessed on 4 December 2022).
- Bentéjac, C.; Csörgő, A.; Martínez-Muñoz, G. A comparative analysis of gradient boosting algorithms. Artif. Intell. Rev. 2020, 54, 1937–1967. [Google Scholar] [CrossRef]
- Shi, Q.; Zhang, H. Fault Diagnosis of an Autonomous Vehicle With an Improved SVM Algorithm Subject to Unbalanced Datasets. IEEE Trans. Ind. Electron. 2020, 68, 6248–6256. [Google Scholar] [CrossRef]
- Qi, Z.; Shi, Q.; Zhang, H. Tuning of Digital PID Controllers Using Particle Swarm Optimization Algorithm for a CAN-Based DC Motor Subject to Stochastic Delays. IEEE Trans. Ind. Electron. 2019, 67, 5637–5646. [Google Scholar] [CrossRef]
- Wang, Y.; Su, Z.; Zhang, N.; Xing, R.; Liu, D.; Luan, T.H.; Shen, X. Tutorials. A survey on metaverse: Fundamentals, security, and privacy. IEEE Commun. Surv. Tutor. 2022. [Google Scholar] [CrossRef]


















| Element | C | Si | Cr | Mn | Fe | CEV |
|---|---|---|---|---|---|---|
| wt% | 0.42 | 2.0 | 1.3 | 0.68 | Bal. | 0.82 |
| QT [°C] | PT [°C] | tp [s] | Cooling Rate |
|---|---|---|---|
| RT, 160, 180, 200, 230, 260 | RT, 230, 250, 270, 280, 340, 380 | 0, 120, 300, 400, 500, 600, 700, 800, 1800 | 0.0325, 0.0625, 0.125, 0.25, 0.5, 1, 2 |
Disclaimer/Publisher’s Note: The statements, opinions and data contained in all publications are solely those of the individual author(s) and contributor(s) and not of MDPI and/or the editor(s). MDPI and/or the editor(s) disclaim responsibility for any injury to people or property resulting from any ideas, methods, instructions or products referred to in the content. |
© 2022 by the authors. Licensee MDPI, Basel, Switzerland. This article is an open access article distributed under the terms and conditions of the Creative Commons Attribution (CC BY) license (https://creativecommons.org/licenses/by/4.0/).
Share and Cite
Khalaj, O.; Jamshidi, M.; Hassas, P.; Hosseininezhad, M.; Mašek, B.; Štadler, C.; Svoboda, J. Metaverse and AI Digital Twinning of 42SiCr Steel Alloys. Mathematics 2023, 11, 4. https://doi.org/10.3390/math11010004
Khalaj O, Jamshidi M, Hassas P, Hosseininezhad M, Mašek B, Štadler C, Svoboda J. Metaverse and AI Digital Twinning of 42SiCr Steel Alloys. Mathematics. 2023; 11(1):4. https://doi.org/10.3390/math11010004
Chicago/Turabian StyleKhalaj, Omid, Mohammad (Behdad) Jamshidi, Parsa Hassas, Marziyeh Hosseininezhad, Bohuslav Mašek, Ctibor Štadler, and Jiří Svoboda. 2023. "Metaverse and AI Digital Twinning of 42SiCr Steel Alloys" Mathematics 11, no. 1: 4. https://doi.org/10.3390/math11010004
APA StyleKhalaj, O., Jamshidi, M., Hassas, P., Hosseininezhad, M., Mašek, B., Štadler, C., & Svoboda, J. (2023). Metaverse and AI Digital Twinning of 42SiCr Steel Alloys. Mathematics, 11(1), 4. https://doi.org/10.3390/math11010004

