Equation-Based Modeling vs. Agent-Based Modeling with Applications to the Spread of COVID-19 Outbreak
Abstract
1. Introduction
2. Some Key Concepts
2.1. Model
2.2. Modeling Simulation
2.3. Complex System
3. Equation-Based Modeling vs. Agent-Based Modeling
3.1. The Spread of Epidemics as a Complex System
3.2. Equation-Based Model (EBM)
3.3. Agent-Based Model (ABM)
3.4. Comparison Study
4. Case Study 1: Equation-Based Modeling (EBM) for the Spread of COVID-19
4.1. Description of the Model and Settings
4.2. Mathematical Analysis of the Model
4.2.1. Positivity of the Solution
4.2.2. Existence and Uniqueness of the Solution
4.2.3. Equilibrium Points of the Model
- The first is , which represents the disease-free equilibrium or equilibrium without disease (DFE) with:
- The second is , which represents the endemic equilibrium (E.E). For this, we extract from System (9) according to , and in the following manner:
4.2.4. Basic Reproduction Number
4.2.5. Stability of Equilibrium Points
4.2.6. Sensitivity Indices of the Basic Reproduction Number with Respect to the Model Parameters
5. Case Study 2: Agent-Based Modeling (ABM) for the Spread of COVID-19
- Exposition.
- Visible infection.
- Hidden infection.
- Recovered of visible infection by treatment.
- Recovered of hidden infection without treatment.
- Recovered of visible infection without treatment.
- Recovered of hidden infection by treatment.
Description of the Model Using ODD
- Overview
- Objective: the interest of the model was to predict over a long period of time the incidental effects (evolution, treatment, management, brief scientific data) of the COVID-19 pandemic, and to understand the impact of the contact links between individuals in a precise contamination radius (environmental configuration) of the population.
- Entities, state variables, and scales:
- -
- Agent or Individual: in the model we consider only one type of agent. Each agent has state variables and characteristics.
- -
- Environment: For a better-mixed population structural representation, we started from an environment in the form of a 50 × 50 mesh. An environment in which agents move randomly from one cell to another. Figure 3 shows this environment:
- Process overview and scheduling: The model presents a process in discrete time steps.At the beginning of the simulation, all individual agents in the model are in any state (susceptible, exposed, infectious, asymptomatic, recovered, or recovered spontaneously). Each agent can move from one state to another according to a probability. Figure 4 displays the output of the model simulation at a given time t.
- Design Concepts
- Basic principle: it is a propagation of the disease following a compartmental model containing six groups of individuals (susceptible, exposed, infected, asymptomatic, spontaneously recovered, and recovered with treatment).The idea here is that, initially, a susceptible individual comes into contact with an infectious individual. This contact gives the agent the opportunity to become either exposed or directly infected or asymptomatic. As a result, a newly exposed individual could also become either infected or asymptomatic. In the process, the infected or asymptomatic individual may either recover or succumb to the disease. There is also a prediction of natural death, which is an irrefutable factor.
- Emerging: The emergence of the system is justified in the evolution of COVID-19 infection in the population. In fact, this emergence actually depends on several evolutionary factors that come into play: the type of agents that are initially infectious, other agents that come into contact with them along a contamination radius, the duration of contact but also the frequency of contact. However, there are some factors that surely have an impact on the readjustment of data.
- Adaptation: Algorithms are designed to make agents able to reproduce different behaviors they observe in the environment. For example, in the mixed population structure, if an agent is already recovered, they will adapt their behavior by avoiding contact with infectious agents.
- Detection: As infectious agents move through the environment, they can detect susceptible agents and recovered ones. Once recovered agents detect infectious agents, they avoid contact with them.
- Interaction: In this model, we assume that agents in the same radius defined in the code interact with each other and with their environment. For example, if a patient agent is in the same radius as an infectious agent, it is possible for the patient agent to be contaminated.
- Stochasticity: In a model, agents’ movements are random. With their specific states, agents’ movements are stochastic. Likewise, the choice of destinations for all agents is random. Stochasticity is also observed in COVID-19 contamination. If a susceptible agent comes into contact with an infectious agent, there is a certain likelihood that determines whether they are exposed, asymptomatic, or directly infectious. Additionally, the length of time an agent remains in a state (susceptible, exposed, infectious, asymptomatic, spontaneously recovered, or recovered after treatment) is chosen at random. So, in short, we are talking about a random pathway.
- Observation: Data are collected at each model run on individual agents according to their states (susceptible, exposed, infectious, asymptomatic, recovered with treatment, or spontaneously).
- Details
- Initialization: For the mixed population structure, agents are randomly placed in cells. At the start of the simulation, the environment contains only a given number of susceptible agents and a few infectious agents (chosen by the user).
- Sub-models:
- -
- Timer: this sub-model manages the time in the system.
- -
- Death: death is considered here under both aspects, either natural or by disease also containing a drug failure. Infectious agents lose their lives with a certain probability.
- -
- Update of global variables: all global variables are updated at the end of each time step. At the same time, the number and percentage of susceptible, exposed, infected, asymptomatic, and recovered (spontaneously and after treatment) agents are all calculated.
6. Numerical Simulations and Results
6.1. EBM: Equation-Based Model
6.2. EBM: Parameters Used
6.2.1. EBM: Overview of the Results
- First scenario: Global dynamics
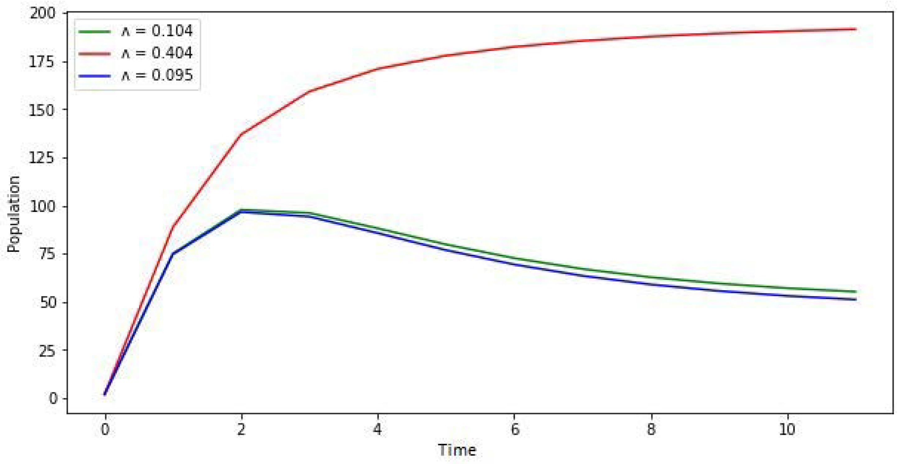
- Second scenario: Variation of the number of infected people as a function of .We can also see the progression curve of the disease as a function of the basic reproductions number (), to see its impact on the dynamics of the epidemic.
- Third scenario: Variation of the number of infected I as a function of the recruitment rate ().This simulation scenario of the pandemic spread is formulated on the basis of the recruitment profile. Considering the recruitment of more and more susceptible individuals and based on the sensitivity value of the recruitment rate parameter with respect to (see Table 2), it appears that this rate has a considerable impact on the spread of the disease.
6.2.2. EBM: Remarks
6.3. ABM: Agent-Based Model
6.3.1. ABM: Parameters Used
6.3.2. ABM: Overview of Results
- Scenario 1: Observation of the randomness of the approach.We observe the randomness of this approach while trying to present different simulations while keeping the same information, and from there we can clearly see that contrary to the EBM model, several simulations starting from identical INPUTS can produce quite different results. Thus, starting from the initial situation of 204 individuals including 2 infected and 2 asymptomatic, we present below some executions of the model at time , in a radius of 5, with green: susceptible, yellow: exposed, red: infected, pink: asymptomatic, blue: RPT, white: RWT.
- Scenario 2: Observation of the results according to the radius.In this model, which is based on a stochastic modeling paradigm, there is a very important parameter to take into account: the “radius”. Indeed, this parameter clearly explains the decision of social distancing promulgated by the responsible authorities. Let us now analyze the traffic pattern in relation to the different radius values used.
6.3.3. ABM: Remarks
6.4. General Discussions
7. Concluding Remarks
8. Future Works
Author Contributions
Funding
Data Availability Statement
Acknowledgments
Conflicts of Interest
Abbreviations
| ABM | Agent-Based Modeling |
| EBM | Equation-Based Modeling |
| ODD | Overview, Design concepts and Details |
| RPT | Recovery Process with Treatment or Recovered 1 |
| RWT | Recovery Without Treatment or Recovered 2 |
| SEIAQR | Susceptible, Exposed, Infected, Asymptomatic, Quarantine, and Recovered |
| SEIAR | Susceptible, Exposed, Infected, Asymptomatic, and Recovered |
References
- Jasper, F.W.C.; Kok, K.-H.; Zhu, Z.; Chu, H.; To, K.K.-W.; Yuan, S.; Yuen, K.-Y. Genomic characterization of the 2019 novel human-pathogenic coronavirus isolated from patients with acute respiratory disease in Wuhan, Hubei, China. Emerg. Micr. Infect. 2020, 9, 221–236. [Google Scholar]
- Bahl, P.; Doolan, C.; de Silva, C.; Chughtai, A.A.; Bourouiba, L.; MacIntyre, C.R. Airborne or droplet precautions for health workers treating COVID-19? J. Infect. Dis. 2020, 225, 1561–1568. [Google Scholar] [CrossRef] [PubMed]
- Booth, T.F.; Kournikakis, B.; Bastien, N.; Ho, J.; Kobasa, D.; Stadnyk, L.; Li, Y.; Spence, M.; Paton, S.; Henry, B.; et al. Detection of airborne severe acute respiratory syndrome (SARS) coronavirus and environmental contamination in SARS outbreak units. J. Infect. Dis. 2005, 191, 1472–1477. [Google Scholar] [CrossRef] [PubMed]
- Zuo, W.; Zhao, X.; Chen, Y.-G. Molecular Biology of SARS-Coronavirus. In Chapter 5: SARS Coronavirus and Lung Fibrosis; Sunil, K.L., Ed.; Springer: Berlin/Heidelberg, Germany, 2010; pp. 247–258. [Google Scholar]
- Kasereka, S. Modélisation Hybride de la Propagation des éPidemies et Estimation des Paramètres. Master’s Thesis, IFI, VNU, Hanoi, Vietnam, 2013. [Google Scholar]
- Kasereka, S.; Le Strat, Y.; Léon, L. Estimation of infection force of hepatitis c virus among drug users in France. In Recent Advances in Nonlinear Dynamics and Synchronization; Springer: Berlin/Heidelberg, Germany, 2018; pp. 319–344. [Google Scholar]
- Ndondo, A.M.; Kasereka, S.K.; Bisuta, S.F.; Kyamakya, K.; Doungmo, E.F.G.; Ngoie, R.-B.M. Analysis, modeling and optimal control of COVID-19 outbreak with three forms of infection in Democratic Republic of the Congo. Results Phys. 2021, 24, 104096. [Google Scholar] [CrossRef] [PubMed]
- Kasereka, S.K. Towards hybrid stochastic modeling and simulation of complex systems in multi-scale environments with case studies on the spread of tuberculosis in Democratic Republic of the Congo. Ph.D. Thesis, University of South Africa, Pretoria, South Africa, 2020. [Google Scholar]
- Bozkurt, F.; Yousef, A.; Abdeljawad, T. Analysis of the outbreak of the novel coronavirus COVID-19 dynamic model with control mechanisms. Results Phys. 2020, 19, 103586. [Google Scholar] [CrossRef] [PubMed]
- Zhang, Z.; Zeb, A.; Alzahrani, E. Dynamics of COVID-19 mathematical model with stochastic perturbation. Adv. Differ. Equ. 2020, 2020, 451. [Google Scholar] [CrossRef] [PubMed]
- Kasaie, P.; Dowdy, D.W.; Kelton, W.D. An agent-based simulation of a tuberculosis epidemic: Understanding the timing of transmission. In Simulation: Making Decisions in a Complex World, Proceedings of the 2013 Winter Simulation Conference, Washington, DC, USA, 8–11 December 2013; IEEE Press: Piscataway, NJ, USA, 2013; pp. 2227–2238. [Google Scholar]
- Kasereka, S.K.; Doungmo, E.-F.G.; Ho, V.T.; Kyamakya, K. A stochastic agent-based model and simulation for controlling the spread of tuberculosis in a mixed population structure. In Developments of Artificial Intelligence Technologies in Computation and Robotics, Proceedings of the 14th International FLINS Conference (FLINS 2020), Cologne, Germany, 18–21 August 2020; World Scientific: Singapore, 2020. [Google Scholar] [CrossRef]
- Shannon, R.E. Simulation modeling and methodology. Acm SIGSIM Simul. Dig. 1977, 8, 33–38. [Google Scholar] [CrossRef]
- Kasereka, S.; Kasoro, N.; Chokki, A.P. A hybrid model for modeling the spread of epidemics: Theory and simulation. In ISKO-Maghreb: Concepts and Tools for Knowledge Management (ISKO-Maghreb), Proceedings of the 2014 4th International Symposium, Algiers, Algeria, 9–10 November 2014; IEEE: Alger, Algerie, 2014; pp. 1–7. [Google Scholar] [CrossRef]
- Tracy, M.; Cerdá, M.; Keyes, K.M. Agent based modeling in public health: Current applications and future directions. Annu. Rev. Public Health 2018, 39, 77–94. [Google Scholar] [CrossRef] [PubMed]
- Anderson, R.M.; May, R.M. Helminth infections of humans: Mathematical models, population dynamics, and control. Adv. Parasitol. 1985, 24, 1–101. [Google Scholar] [PubMed]
- Goufo, E.F.D.; Maritz, R.; Munganga, J. Some properties of the Kermack–McKendrick epidemic model with fractional derivative and nonlinear incidence. Adv. Differ. Equ. 2014, 2014, 278. [Google Scholar] [CrossRef]
- Luke, D.A.; Stamatakis, K.A. Systems science methods in public health: Dynamics, networks, and agents. Annu. Rev. Public Health 2012, 33, 357–376. [Google Scholar] [CrossRef] [PubMed]
- van den Driessche, P.; Watmough, J. Reproduction numbers and sub-threshold endemic equilibria for compartmental models of disease transmission. Math. Biosci. 2002, 180, 29–48. [Google Scholar] [CrossRef] [PubMed]
- Kasereka Kabunga, S.; Doungmo Goufo, E.F.; Ho Tuong, V. Analysis and simulation of a mathematical model of tuberculosis transmission in Democratic Republic of the Congo. Adv. Differ. Equ. 2020, 2020, 642. [Google Scholar] [CrossRef]
- Sinan, M.; Ali, A.; Shah, K.; Assiri, T.A.; Nofal, T.A. Stability analysis and optimal control of COVID-19 pandemic SEIQR fractional mathematical model with harmonic mean type incidence rate and treatment. Results Phys. 2021, 22, 103873. [Google Scholar] [CrossRef] [PubMed]
- Grimm, V.; Berger, U.; Bastiansen, F.; Eliassen, S.; Ginot, V.; Giske, J.; Goss-Custard, J.; Gr, T.; Heinz, S.; Huse, G.; et al. A standard protocol for describing individual based and agent-based models. Ecol. Model. 2006, 198, 115126. [Google Scholar] [CrossRef]
- Liu, Y.; Gayle, A.A.; Wilder-Smith, A.; Rocklöv, J. The reproductive number of COVID-19 is higher compared to SARS coronavirus. J. Travel Med. 2020, 27, taaa021. [Google Scholar] [CrossRef] [PubMed]
- Bentout, S.; Chekroun, A.; Kuniya, T. Parameter estimation and prediction for coronavirus disease outbreak 2019 (COVID-19) in Algeria. Aims Public Health 2020, 7, 306–318. [Google Scholar] [CrossRef] [PubMed]
- Götz, T.; Heidrich, P. Early stage COVID-19 disease dynamics in Germany: Models and parameter identification. J. Math. Ind. 2020, 10, 20. [Google Scholar] [CrossRef] [PubMed]












| EBM | ABM |
|---|---|
| Synthetic | Many parameters |
| Mathematical resolution | Important need for calculation |
| Formalized | Non-formalized |
| Far from abstract biology | Close to biology |
| Little modular and little incremental | Modular and incremental |
| Description at the population level | Description at the entity level (cell molecule) |
| High abstraction level | Low abstraction level |
| Low Runtime | High Runtime |
| Homogeneity | Heterogeneity |
| Parameters | Formula | Values (Table 3) | Sensitivity Indices |
|---|---|---|---|
| 1 | 0.30400 | 1 | |
| 1 | 0.30000 | 1 | |
| 0.57300 | 0.00000563 | ||
| 0.00625 | −0.00253 | ||
| 0.01250 | −0.000295 | ||
| 0.00625 | 0.0 | ||
| 0.02500 | −0.000485 | ||
| 0.00005 | −0.000171 | ||
| 0.00576 | −0.00000148 |
| Parameters | Meaning | Values | References |
|---|---|---|---|
| Recruitment rate | 0.304 | [7] | |
| Contact rate | 0.3 | [7] | |
| Transmission rate | 0.573 | [7] | |
| RPT rate of I | 0.00625 | [7] | |
| RWT rate of I | 0.0125 | [7] | |
| RPT rate of A | 0.00625 | [7] | |
| RWT rate of A | 0.025 | [7] | |
| Mortality rate by disease | 0.00005 | [7] | |
| Natural mortality rate | 0.00576 | [21] |
| Parameters | Meaning | Values | References |
|---|---|---|---|
| Recruitment rate | 0.304 | [7] | |
| Contact rate | 0.41 | [24] | |
| Transmission rate to E | 0.377 | [7] | |
| RPT rate of I | 0.025 | [7] | |
| RWT rate of I | 0.09497 | [21] | |
| RPT rate of A | 0.04990 | [21] | |
| RWT rate of A | 0.083 | [21] | |
| Mortality rate by disease | 0.03890 | [25] | |
| Natural mortality rate | 0.0192 | [7] |
| Number of Susceptible People | ABM | EBM |
|---|---|---|
| 100 | 283 cycles | 25 cycles |
| 200 | 340 cycles | 28 cycles |
| 500 | 420 cycles | 30 cycles |
| 1000 | 500 cycles | 35 cycles |
| 5000 | 600 cycles | 38 cycles |
| Average CPU load | 50.4% | 35.4% |
| Average Mem. Capacity | 715.5 Mo | 650.6 Mo |
Disclaimer/Publisher’s Note: The statements, opinions and data contained in all publications are solely those of the individual author(s) and contributor(s) and not of MDPI and/or the editor(s). MDPI and/or the editor(s) disclaim responsibility for any injury to people or property resulting from any ideas, methods, instructions or products referred to in the content. |
© 2023 by the authors. Licensee MDPI, Basel, Switzerland. This article is an open access article distributed under the terms and conditions of the Creative Commons Attribution (CC BY) license (https://creativecommons.org/licenses/by/4.0/).
Share and Cite
Kasereka, S.K.; Zohinga, G.N.; Kiketa, V.M.; Ngoie, R.-B.M.; Mputu, E.K.; Kasoro, N.M.; Kyandoghere, K. Equation-Based Modeling vs. Agent-Based Modeling with Applications to the Spread of COVID-19 Outbreak. Mathematics 2023, 11, 253. https://doi.org/10.3390/math11010253
Kasereka SK, Zohinga GN, Kiketa VM, Ngoie R-BM, Mputu EK, Kasoro NM, Kyandoghere K. Equation-Based Modeling vs. Agent-Based Modeling with Applications to the Spread of COVID-19 Outbreak. Mathematics. 2023; 11(1):253. https://doi.org/10.3390/math11010253
Chicago/Turabian StyleKasereka, Selain K., Glody N. Zohinga, Vogel M. Kiketa, Ruffin-Benoît M. Ngoie, Eddy K. Mputu, Nathanaël M. Kasoro, and Kyamakya Kyandoghere. 2023. "Equation-Based Modeling vs. Agent-Based Modeling with Applications to the Spread of COVID-19 Outbreak" Mathematics 11, no. 1: 253. https://doi.org/10.3390/math11010253
APA StyleKasereka, S. K., Zohinga, G. N., Kiketa, V. M., Ngoie, R.-B. M., Mputu, E. K., Kasoro, N. M., & Kyandoghere, K. (2023). Equation-Based Modeling vs. Agent-Based Modeling with Applications to the Spread of COVID-19 Outbreak. Mathematics, 11(1), 253. https://doi.org/10.3390/math11010253

