Next Article in Journal
Analytical Treatment of Unsteady Fluid Flow of Nonhomogeneous Nanofluids among Two Infinite Parallel Surfaces: Collocation Method-Based Study
Previous Article in Journal
EADN: An Efficient Deep Learning Model for Anomaly Detection in Videos
Previous Article in Special Issue
Three-Dimensional Synthesis of Manufacturing Tolerances Based on Analysis Using the Ascending Approach
 
 
Font Type:
Arial Georgia Verdana
Font Size:
Aa Aa Aa
Line Spacing:
Column Width:
Background:
Article

A Dynamic Analysis for Probabilistic/Possibilistic Problems Model Reduction Analysis Using Special Functions

1
Civil Engineering Laboratory LR-03-ES05, Ecole Nationale d’Ingénieurs de Tunis, University de Tunis El Manar, Farhat Hached Tunis University Campus, B.P. n° 94 - ROMMANA, Tunis 1068, Tunisia
2
Civil Engineering Department, University of Sherbrooke, 2500 Boulevard de l’Université, Sherbrooke, QC J1K 2R1, Canada
3
Department of Mechanical Engineering, College of Engineering, University of Ha’il, Ha’il 81541, Saudi Arabia
4
Deanship of Scientific Research, King Abdulaziz University, Jeddah 21589, Saudi Arabia
*
Author to whom correspondence should be addressed.
Mathematics 2022, 10(9), 1554; https://doi.org/10.3390/math10091554
Submission received: 18 March 2022 / Revised: 25 April 2022 / Accepted: 28 April 2022 / Published: 5 May 2022

Abstract

:
Information and data in mechanics, as in many other scientific disciplines, can be certainly known with an error-safety coefficient (deterministic), random with a known probability distribution (probabilistic), or random known with an uncertainty factor in the information (possibilistic). When the information on the parameters is undermined, probabilistic/possibilistic mechanical techniques attempt to provide an estimate of the solution. For various mechanical problems involving probabilistic/possibility parameters, a constraint that must be met is sometimes added, as in the case of reliability analysis. In this paper, an approach for probabilistic/possibilistic dynamic analysis is introduced and validated. In addition, its extension for finite element structural analysis is presented.

1. General Introduction: Probabilistic/Possibilistic Analysis

As a reminder:
  • The main goal of a dynamic analysis is to solve the relative equations of a system and determine the displacements, velocities, accelerations, and/or stresses as a function of time.
  • The choice of the appropriate mathematical approach depends on the nature of the dynamic analysis, which can be divided into free vibrations and forced vibrations.
  • Analysis without external and damping forces is a free vibration analysis that gives the eigenvalues (circular natural frequencies) and eigenvectors (shape mode).
  • The circular natural frequencies of the structure are noted as ωn (measured in radians per unit time).
  • The natural frequency is defined by fn = ωn/2π and the period of response Tn = 1/fn.
The basic-type dynamic analyses can be resumed on:
modal shape (real eigenvector) analysis (undamped free vibrations).
Linear analysis of frequency response.
Linear transient response analysis.
Nonlinear analysis.
Deterministic, probabilistic, and possibilistic represent another stratum classification of the dynamic analysis. When the parameters are constants, the analysis is deterministic, and the real eigenvector is generally used for time and frequency analysis. When the parameters are probabilistic or possibilistic, the analysis using the real eigenvector cannot be used, and only time analysis (without using the eigenvector) makes sense. As a reminder, using of eigenvector method reduces and simplifies the analysis and makes time and frequency analysis possible.
In order to distinguish the present reduction model that is used for linear time and frequency analysis using a special probabilistic base and a special eigenvector, some of the main interesting references are presented here.
As reduction models for probabilistic analysis, the following papers provide an interesting contribution.
In [1], a reduction model was used as a non-intrusive Polynomial Chaos Expansion (PCE). In the paper [2], an incomplete modal response measurement was used to take advantage of computational intelligence through statistical inference to provide a more robust, probabilistic framework. To determine the effect of uncertainties, the Bayesian [3] inference was employed, and inverse identification was built. To minimize the computational time, Markov Chain Monte Carlo (MCMC) was used. Remember that the number of needed Markov chains and their respective initial model parameters are provided by Monte Carlo simulation-based sample pre-screening followed by K-means clustering analysis.
In [4], the Bayesian inference approach was used to build the incomplete modal measurement information. The Metropolis–Hastings Markov Chain Monte Carlo (MH MCMC) was used in order to reduce the cost of computational finite element modal analyses. In [5], deterministic and Bayesian finite element (FE) models were used.
Regarding reduction models, our approach used a double reduction: the classical eigenvector reduction, which can be used only for deterministic analysis and was extended here for the probabilistic/possibilistic approach.
Regarding time analysis, the following papers provide an interesting contribution.
In [6], a surrogate model, Proper orthogonal decomposition (POD), was adopted to identify dynamic system uncertainty quantification (UQ). It was used also to project the response quantity with a low number of POD bases. The Kriging model was used to propagate the uncertainty. All the numerical simulations were correlated with the Monte Carlo simulation.
In [7], the temporal aspect of the dynamical response was separated from the random contributions. Thus, proper orthogonal decomposition (POD) and a PCE were associated to build a non-intrusive method.
In the paper [8], a multi-dimensional ellipsoid model (MEM) was used to describe uncertainties.
In [9], Polynomial Chaos was utilized as a dependable paradigm for various problems of uncertainty quantification in Computational Fluid Dynamics.
In [10], Hierarchical Bayesian modeling was used to build a new probabilistic finite element (FE) model for the identification of civil structural systems under changing ambient/environmental conditions.
Our approach can be used in time and frequency domain analysis with an eigenvector reduction model. This is the main contribution.
Although our approach is not used for nonlinear analysis, some of the main contributions to probabilistic nonlinear analysis are presented here.
In [11], a Kriging–NARX model was utilized for uncertainty quantification in the time domain and nonlinear stochastic dynamical systems.
In [12], a metamodeling technique was shown to be capable of accounting for uncertainties in nonlinear simulation. Polynomial Chaos (PC) expansion was then used to build stochastic metamodels capable of representing numeric models with the input of uncertain variables.
In [13], an addition to traditional component mode synthesis methods was described in order to compute the response of the steady-state force of nonlinear and dissipative systems.
Finally, the approach presented here deals with the following aspects:
  • The reduction model using the classical eigenvector reduction, which can be used only for deterministic analysis and was extended here for the probabilistic/possibilistic approach
  • The use of base functions to approach the probabilistic/possibilistic variability
  • The possible frequency analysis, which is difficult in other approaches.

2. Dynamic Approach Using the Reduction Probabilistic/Possibilistic Model, RPM

A probabilistic or possibilistic parameter vi is characterized by its law distribution f i ( v i ) (as normal law or uniform law). A different description of the distribution is given by the cumulative distribution function (CDF), which describes the probability that the random variable is no larger than a given value, P i ( v i ) . This gives the probability that the value of a random variable Vi will not exceed vi. The inverse expression v i ( P i ) of P i ( v i ) is used to write the problem as a function of the cumulative distribution functions of the variables. It can be obtained for all probabilistic/possibilistic laws.
In addition, two practical, used probabilistic laws and a trapezoidal evolution of possibilistic parameters are presented and characterized.
Although the approach is valid for any probabilistic/possibilistic application, mechanics was chosen as the application domain for this approach. Consider, then, a dynamic problem containing probabilistic/possibilistic parameters defined by a linear problem:
K · X + M X ¨ = F
K is the stiffness matrix, M is the mass matrix, and F is the force vector. Each parameter v i is defined by its law distribution:
v i Pr o ( P i ) for   a   probabilistic   parameter v i P o s ( α i , δ i ) = v i 1 ( α i ) v i 0 ( α i ) δ i + v i 0 ( α i ) for   a   possibilistic   parameter
Let the following average «eigenvector» basis be defined by:
K ¯ · χ ω ¯ 2 M ¯ · χ = 0
with:
K ¯ = 0 1 0 1 K · [ d P 1 d P n p ] ; M ¯ = 0 1 0 1 M · [ d P 1 d P n p ] for   a   probabilistic   parameter K ¯ = 0 1 0 1 K · [ d α 1 d δ 1 ] [ d α n p d δ n p ] M ¯ = 0 1 0 1 M · [ d α 1 d δ 1 ] [ d α n p d δ n p ] for   a   possibilistic   parameter
Let m be the number of the average “eigenvector” basis chosen to represent the solution. Thus, every vector of the basis verifies:
K ¯ · χ j ω ¯ j 2 M ¯ · χ j = 0 ;   j = 1   t o   m
with:
χ i · K ¯ · χ j = k ¯ i i f   i = j 0 i f   i j ; χ i · M ¯ · χ j = m ¯ i i f   i = j 0 i f   i j ; ω ¯ i 2 = k ¯ i m ¯ i
It is required for this basis to satisfy the following equation, which also leads to determining the coefficients α i j :
K ( 1 + μ j + i = 1 n p k α i j Θ i ) · χ j ω ¯ j 2 M ( 1 + γ j + i = 1 n p m λ i j ϕ i ) · χ j = 0
The α i j , for each eigenvector is determined by projecting on the functions of the probabilistic/possibilistic basis Ω l (= 1, Θ l , ϕ l ) and integrating over the field of probabilistic/possibilistic evolution.
  • For probabilistic problem:
    0 1 0 1 χ j · K · χ j ( 1 + μ j + i = 1 n p k α i j Θ i ) Ω l [ d P 1 d P n p ] ω ¯ j 2 0 1 0 1 χ j · M · χ j ( 1 + γ j + i = 1 n p m λ i j ϕ i ) Ω l [ d P 1 d P n p ] = 0 ;   l = 1   à   n p
  • For possibilistic problem:
    0 1 0 1 χ j · K · χ j ( 1 + μ j + i = 1 n p k α i j Θ i ) Ω l [ d α 1 d δ 1 ] [ d α n p d δ n p ] ω ¯ j 2 0 1 0 1 χ j · M · χ j ( 1 + γ j + i = 1 n p m λ i j ϕ i ) Ω l [ d α 1 d δ 1 ] [ d α n p d δ n p ] = 0 ;   l = 1   à   n p
This leads to estimations of χ j · K · χ j and χ j · M · χ j :
k j = χ j · K ¯ · χ j ( 1 + μ j + i = 1 n p k α i j Θ i ) χ j · K · χ j m j = χ j · M ¯ · χ j ( 1 + γ j + i = 1 n p m λ i j ϕ i ) χ j · M · χ j
By adopting the projection on the average eigenvector basis, the solution takes the following form:
X = i = 1 m β i ( t , P 1 , , P n p ) χ i for   probabilistic   problem X = i = 1 m β i ( t , [ α 1 δ 1 , α n p δ n p ] ) χ i for   possibilistic   problem
The dynamic equation can be written in the time space and Fourier space, respectively, as:
K · X + M · X ¨ = F K · X ˜ ω 2 M · X ˜ = F ˜
Using Equation (7), Equation (8) becomes:
K · i = 1 m β i χ i + M · i = 1 m β ¨ i χ i = F K · i = 1 m β ˜ i χ i ω 2 M · i = 1 m β i χ i = F ˜
Projecting Equation (9) on the basis, it can be deduced that:
χ j · K · χ j β j + χ j · M · χ j β ¨ j = χ j · F χ j · K · χ j β ˜ j ω 2 χ j · M · χ j β ˜ j = χ j · F ˜
Using Equation (6), Equation (10) becomes:
k j ( 1 + μ j + i = 1 n p k α i j Θ i ) β j + m j ( 1 + γ j + i = 1 n p m λ i j ϕ i ) β ¨ j = χ j · F k j ( 1 + μ j + i = 1 n p k α i j Θ i ) β ˜ j ω 2 m j ( 1 + γ j + i = 1 n p m λ i j ϕ i ) β ˜ j = χ j · F ˜
Mainly in the Fourier space, the solution is written as:
X ˜ = j = 1 m χ j · F ˜ k j ( 1 + μ j + i = 1 n p k α i j Θ i ) ω 2 m j ( 1 + γ j + i = 1 n p m λ i j ϕ i ) χ j
The evolution of the circular natural frequency as a function of probabilistic/possibilistic parameters is defined by:
ω j 2 = k j m j ( 1 + γ j + i = 1 n p m λ i j ϕ i ) ( 1 + μ j + i = 1 n p k α i j Θ i )

3. Application

For all discrete examples, k is the stiffness, m is the mass, f is a force, and x is the local displacement. The probabilistic parameters were defined by their average or expectation of the distribution and the standard deviation; their probability (cumulative distribution function) P(k) was then estimated, and its inverse function k(P) was calculated. The possibilistic parameters were defined by the evolution area. The Reduction Probabilistic/Possibilistic Model (RPM) solutions were computed by means of solutions obtained by Maple tools.
Remark 1.
  • All parameters defined in the examples were considered with a normal distribution characterized by its standard deviation σi and its mean value μi.
  • The exact solution was obtained using the Maple formal tool.

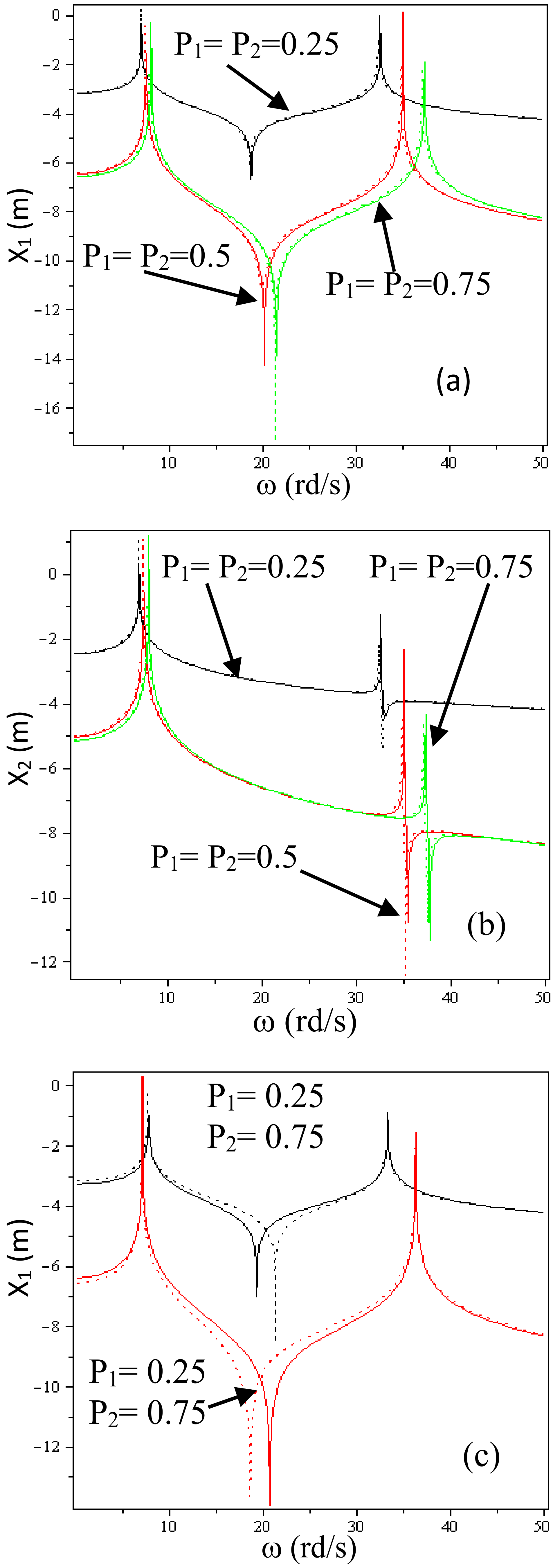
3.1. Example 1: A Two-DOF Discrete System with Two Probabilistic or Possibilistic Parameters

Consider a mass-spring system with two degrees of freedom, as shown in Figure 1. The system is composed of two punctual masses (m1 and m2), which are connected by two springs with stiffnesses k1 and k2 respectively. The system has two degrees of freedom (DOF), x1 and x2, representing the two masses’ displacement from their original positions. The displacements are supposed to be small. The forces are white noise with levels of f1 = 107 N and f2 = 5. 107 N, respectively. The masses are m1 = 108 kg and m2 = 3. 108 kg.
Case 1: The two stiffness are probabilistic
The stiffnesses k1 and k2 were considered as the probabilistic parameter defined by a normal distribution characterized by their standard deviations σk1 and σk2 and their mean values μk1 and μk2, respectively.
The means or expectations of the distribution and the standard deviations of k1 and k2 were μk1 = 1011 N, σk1 = 2 × 1010 N, μk2 = 2 × 1010 N, σk1 = 4 × 109 N, respectively.
For the discrete linear examples, the base function Θ l is:
Θ 1 ( P 1 ) = μ k 1 k 1 ( P 1 )
k 1 ( P 1 ) designs the cumulative distribution function of the stiffness kl. Using the process defined by Equation (4) to Equation (13), the displacement of each mass was obtained.
Figure 2a–d present the evolutions of x1 and x2 displacements versus the circular natural frequency ω for different values of P1 and P2.
Remark:
For such examples, the RPM estimated solution was superposed to the exact solution. Because of that, it was difficult to distinguish them.
Figure 3 presents, respectively, the evolution of the natural frequencies ω1 and ω2 as a function of the probabilities P1 and P2, respectively, associated with the stiffness k1 and k2.
Remark 2.
The results of these examples show that the RPM approach leads to a good agreement with the exact solution when it exists. In the general case, the classical methods are unable to give solutions in the frequency domain. The RPM method gives it with limited numerical operations and with well-known evolution as a function of probabilistic parameters. The evolution of each circular natural frequency as a function of probabilistic parameters is known and can be optimized, and a constraint can be made on it.
Case 2: The stiffnesses are possibilistic
The stiffnesses k1 and k2 are defined by:
ak1 = 3 × 109 N; bk1 = 5 × 1010 N; βk1 = 0.3; βk1 = 0.7
ak2 = 5 × 108 N; bk2 = 5 × 109 N; βk2 = 0.3; βk2 = 0.7
Figure 4a,b present, respectively, the evolution of the displacement x1 and x2 as a function of the circular natural frequency ω and that for different values of δ1 and δ2.
Figure 5a presents, respectively, the evolution of natural frequencies ω1 and ω2 as a function of different values of δ1 and δ2. Figure 5b presents the safe and the unsafe areas defined by a constraint corresponding to a circular natural frequency greater than 2.5.

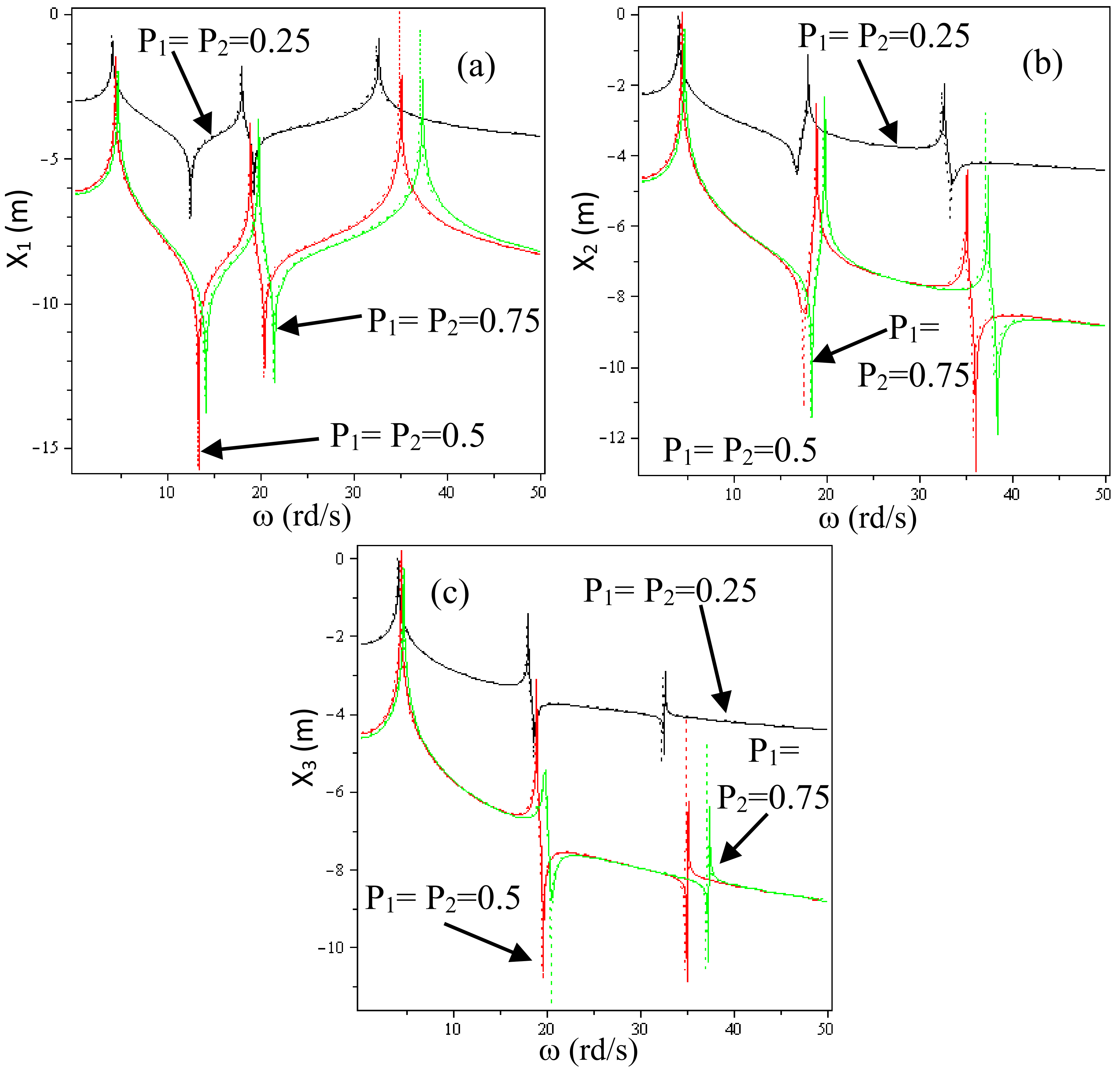
3.2. Example 2: A Three-DOF Discrete System with Three Probabilistic or Possibilistic Parameters

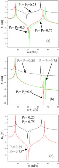
Consider a mass-spring system with three degrees of freedom; Figure 6. The system is composed of three punctual masses m1, m2, and m3, which are connected by springs with stiffnesses k1, k2, and k3. The system has three degrees of freedom (DOF): x1, x2, and x3, which represent the displacement of three masses from their original positions. The system is excited by three forces, f1, f2, and f3, respectively localized at the masses m1, m2, and m3. The displacements are supposed small. The forces are white noises with f1 = 107 N, f2 = 3 × 107 N, and f3 = 5 × 107 N. The masses are m1: = 108 kg, m2: = 3 × 108 N, and m3 = 5 × 108 N.
Case 1: The stiffnesses are probabilistic
The mean or expectation of the distribution and the standard deviations of k1, k2, and k32 are, respectively, μk1 = 1011 N/m, σk1 = 2 × 1010 N/m, μk2 = 2 × 1010 N/m, σk1 = 4 × 109 N/m, μk3 = 6 × 1010 N/3, and σk3 = 8 × 109 N/m.
Figure 7a–c show, respectively, the evolution of x1, x2 and x3 displacements as a function of the circular natural frequency ω and this for different values of P1, P2 and P3: P1 = P2 = P3 = 0.25, P1 = P2 = P3 = 0.5, and P1 = P2 = P3 = 0.75.
Case 2: The stiffnesses are possibilistic
The stiffnesses k1, k2, and k3 are defined by:
αk1 = 5 × 1010 N/m; βk1 = 2 × 1011 N/m; βk1 = 0.3; αk1 = 0.7
αk2 = 1010 N/m; βk2 = 5 × 1010 N/m; βk2 = 0.3; αk2 = 0.7
αk3 = 2 × 1010 N/m; βk3 = 8 × 1010 N/m; βk3 =0.3; αk3 = 0.7
Figure 8a–c present, respectively, the evolution of the displacement x1, x2, and x3 as a function of the circular natural frequency ω and that for δ1 = δ2 = δ3 = 0.25, δ1 = δ2 = δ3 = 0.5, and δ1 = δ2 = δ3 = 0.75.

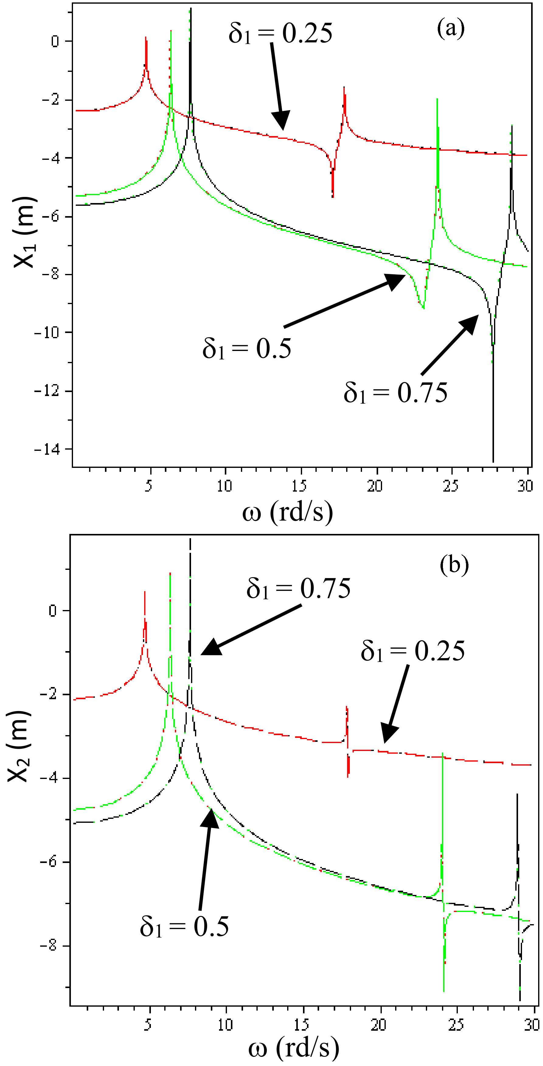
3.3. Example 3: A Two-DOF Discrete System with One Probabilistic or Possibilistic Parameters

Consider the mass-spring system with two degrees of freedom shown in Figure 9. The system is composed of two punctual masses, m1 and m2, connected by two springs with the same rigidity k1. The system has two degrees of freedom (DOF), x1 and x2, which represent the two masses’ displacements from their original positions. The displacements are supposed small. The forces are white noise with levels of f1 = f2 = 107 N and 5 × 107 N. The masses are m1 = 108 kg and m2 = 3 × 108 kg.
Case 1: The stiffness k1 is probabilistic
The mean or expectation of the distribution and the standard deviation of k1 are μk1 = 1011 N/m and σk1 = 2 × 1010 N/m, respectively.
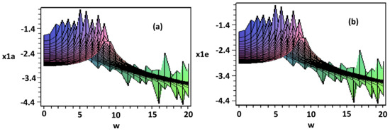
The evolution of the displacement x1 (in the circular natural frequency ω space) as a function of the probability of k1 is shown in Figure 10a (present approach) and Figure 10b (exact solution).
The evolution of the displacement x2 (in the circular natural frequency space) as a function of the probability of k1 is shown in Figure 11a (present approach) and Figure 11b (exact solution).
Figure 12a,b show the evolution of the first and second circular natural frequency, respectively, as a function of the probability P1(k1).
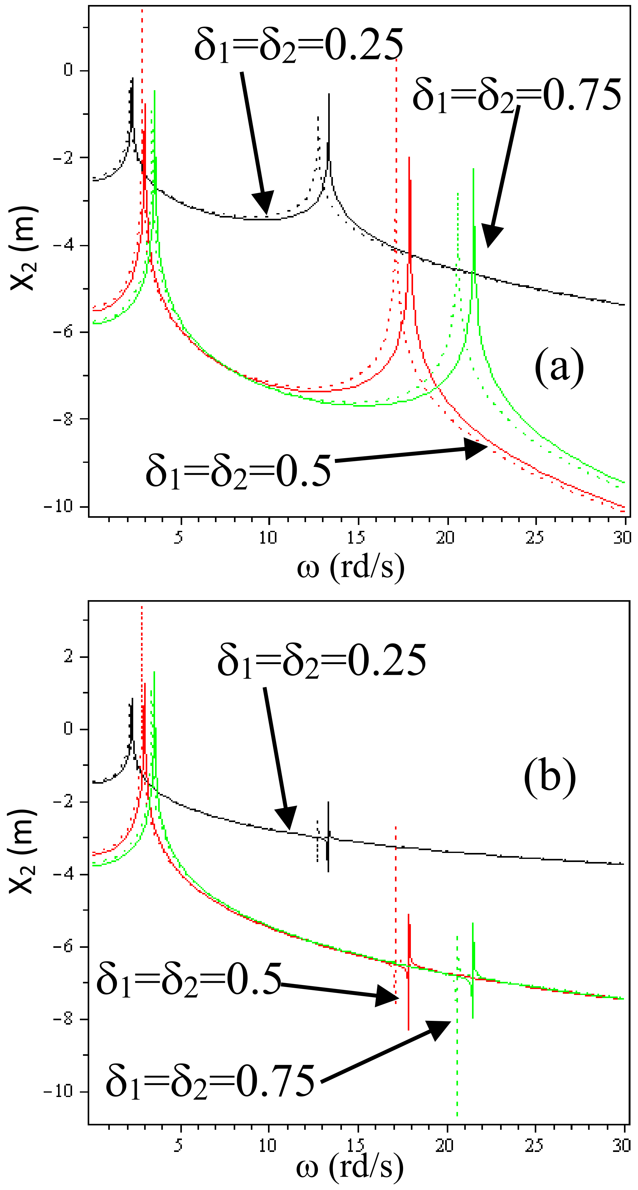
Case 2: The stiffness k1 is possibilistic
The stiffness k1 is defined by: ak1 = 3 × 109; bk1 = 5 × 1010; αk1 = 0.3; αk1 = 0.7.
The evolution of the displacement x1 (in the circular natural frequency space) as a function of the probability of k1 is shown in Figure 13a (present approach) and Figure 13b (exact solution).
The evolution of the displacement x2 (in the circular natural frequency space) as a function of the probability of k1 is shown in Figure 14a (present approach) and Figure 14b (exact solution).
Figure 15a,b show the evolution of the first and second circular natural frequencies, respectively, as a function of δ1(k1).
Circular natural frequency as a function of δ1(k1).
Figure 16 a,b present, respectively, the evolution of the displacement x1 and x2 as a function of the circular natural frequency ω and that for different values of δ1.

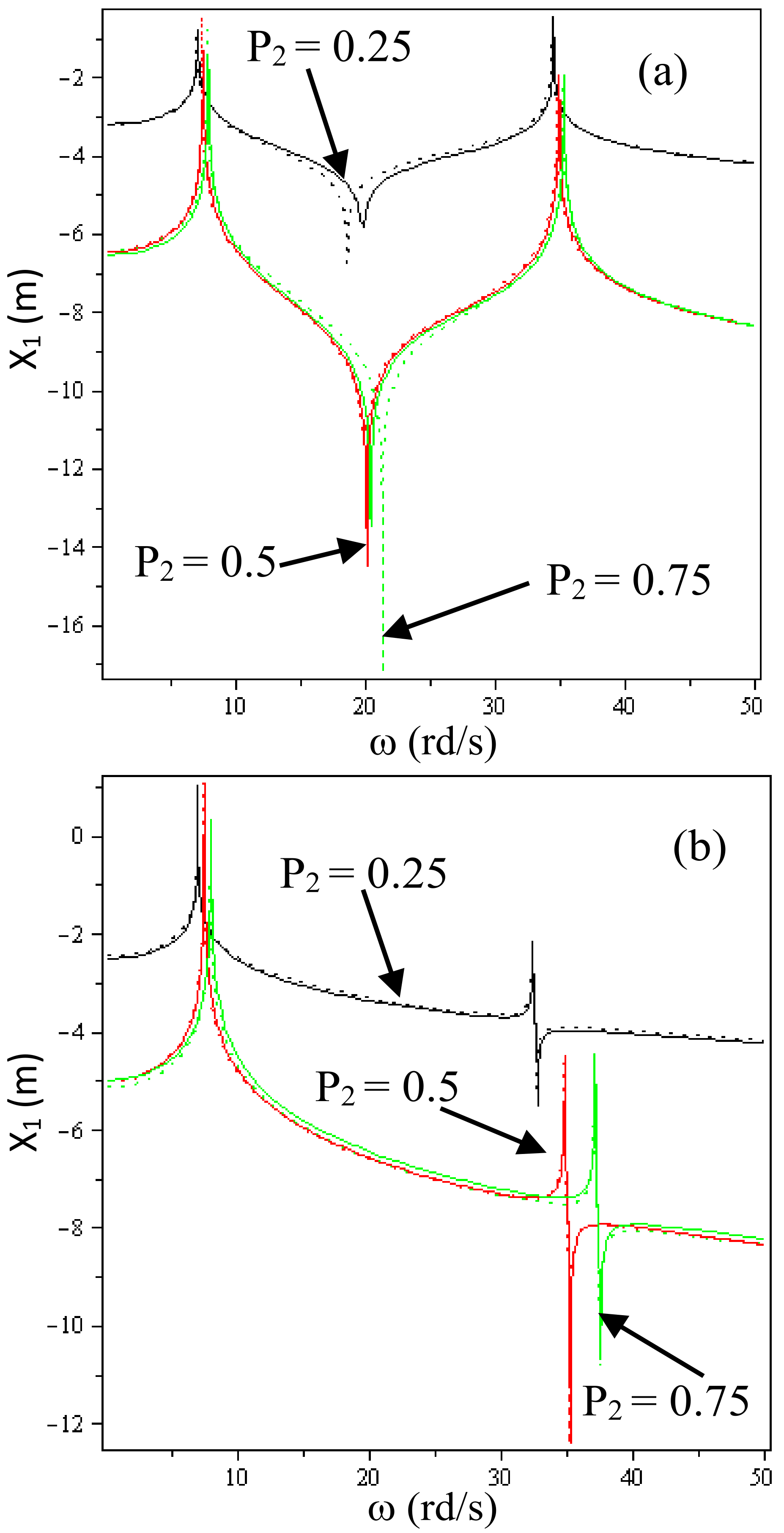
3.4. Example 4: A Three-DOF Discrete System with One Deterministic Parameter

Consider the mass-spring system with two degrees of freedom shown in Figure 17. The system is composed of two punctual masses, m1 and m2, connected by two springs, k1 and k2. The system has two degrees of freedom (DOF), x1 and x2, which represent the two masses’ displacements from their original positions. The displacements are supposed to be small. The forces are white noise with levels of f1 = f2 = 107 N and 5 × 107 N, respectively. The masses are m1 = 108 kg and m2: = 3 × 108 kg.
k1 = 1E11 N/m is a deterministic parameter, and k2 is a probabilistic one defined by: μk2 = 2 × 1010 N/m, σk2 = 4 × 109 N/m.
Figure 18a,b show, respectively, the evolution of the displacement x1 and x2 according to the functions of the circular natural frequency ω and that for different values of P2 = 0.25, P2 = 0.5, and P2 = 0.75.

4. Empirical Method of Choice of Representative Functions

From the examples, and not demonstrated, the best set of representative functions was obtained by the independent function obtained from the inverse of the elementary matrix. As follows, the set functions associated with classical examples are given.

4.1. Example 1: Discrete System

The discrete system of Figure 1 is defined by its stiffness matrix and its inverse:
K = k 1 + k 2 k 2 k 2 k 2 ;   K 1 = 1 k 1 1 k 1 1 k 1 1 k 1 + 1 k 2
The independent functions ( 1 k 1 , 1 k 2 ) represent the representative set of functions.
The discrete system of Figure 6 is defined by its stiffness matrix and its inverse:
K = k 1 + k 2 k 2 0 k 2 k 2 + k 3 k 3 0 k 3 k 3 ;   K 1 = 1 k 1 1 k 1 1 k 1 1 k 1 1 k 1 + 1 k 2 1 k 1 + 1 k 2 1 k 1 1 k 1 + 1 k 2 1 k 1 + 1 k 2 + 1 k 3
The independent functions ( 1 k 1 , 1 k 2 , 1 k 3 ) represent the representative set of functions.

4.2. Example 2: 2D in Plane Stress

Consider a system with three unknown parameters (ε11, ε22, ε12) with two probabilistic parameters, E and ν, that is related to the following linear system (2D in plane stress). The inverse matrix gives an idea about the set of representative functions.
σ 11 σ 22 σ 12 = E 1 ν 2 ν E 1 ν 2 0 ν E 1 ν 2 E 1 ν 2 0 0 0 E 2 1 + ν · ε 11 ε 22 ε 12 ε 11 ε 22 ε 12 = 1 E ν E 0 ν E 1 E 0 0 0 2 1 + ν E · σ 11 σ 22 σ 12
It is clear that the two functions 1 E and ν E are independent and can be a representative set of functions. It is confirmed that any independent combination can be a representative set of functions: 1 + ν E and 1 ν E .

4.3. Example 3: 2D Beam Element

For a 2D beam, the elementary matrix and its inverse are (E is the young modulus, a and b are the two dimensions of the beam section):
E a b l 0 0 0 E a b 3 l 3 E a b 3 2 l 2 0 E a b 3 2 l 2 E a b 3 3 l l E a b 0 0 0 4 l 3 E a b 3 6 l 2 E a b 3 0 6 l 2 E a b 3 12 l E a b 3
The two representative functions are:
Θ 1 ( P E , P a , P b ) = μ E μ a μ b E ( P E ) a ( P a ) b ( P b ) ;   Θ 2 ( P E , P a , P b ) = μ E μ a μ b 3 E ( P E ) a ( P a ) b 3 ( P b )
Remark 3.
For any other finite element, it is suggested to invert the elementary finite element matrix (the inversed part), and the independent functions will be the representative set functions.

5. Conclusions

For a dynamic analysis (in time and frequency domain) with probabilistic/possibilistic parameters, classical approaches lead to a large problem size. For a good design, reducing its size without any alteration in the solution is suggested.
The dynamic analysis, added to the probabilistic/possibilistic-reliability analysis, makes a reduction in classical approaches available only in the time domain, and it is not possible to use the normal eigenvectors.
A general theory for the dynamic approach for probabilistic/possibilistic analysis was detailed.
For dynamic problems, an average « eigenvector » basis is first determined. An equivalent dynamic problem is proposed, leading to determining the solution and a good estimation of the natural frequencies as a function of the probabilistic/possibilistic parameters.
For discrete probabilistic and possibilistic examples, the RPM approach was compared with the exact analytical solution. A good agreement was observed.
It is important to mention that classical methods are always in the time domain, and it is not possible to use the eigenvector base. The RPM approach is able to give solutions in the frequency domain and gives the analytical frequency evolutions as a function of probabilistic or possibilistic parameters. It can be used to optimize the system or to make a constraint on it.
For continuous structure using a finite element model, the choice of probabilistic base functions is presented here.

Author Contributions

Conceptualization, H.H. and A.J.; methodology, M.O.; software, H.H.; validation, H.H., A.J. and L.K.; formal analysis, H.H.; investigation, L.K.; resources, M.O.; data curation, H.H.; writing—original draft preparation, All authors; writing—review and editing, Al Authors.; supervision, M.O.; project administration, M.O. All authors have read and agreed to the published version of the manuscript.

Funding

This project was funded by the Deanship of Scientific Research (DSR), King Abdulaziz University, Jeddah, under grant No. (D-615-305-1442). The authors, therefore, gratefully acknowledge the DSR’s technical and financial support.

Institutional Review Board Statement

Not applicable.

Informed Consent Statement

Not applicable.

Data Availability Statement

Not applicable.

Conflicts of Interest

The authors declare no conflict of interest.

References

  1. Jacquelin, E.; Adhikari, S.; Sinou, J.-J.; Friswell, M. Polynomial Chaos Expansion and Steady-State Response of a Class of Random Dynamical Systems. J. Eng. Mech. 2015, 141, 04014145. [Google Scholar] [CrossRef] [Green Version]
  2. Zhou, K.; Tang, J. Computational inference of vibratory system with incomplete modal information using parallel, interactive and adaptive Markov chains. J. Sound Vib. 2021, 511, 116331. [Google Scholar] [CrossRef]
  3. Behmanesh, I.; Moaveni, B. Probabilistic identification of simulated damage on the Dowling Hall footbridge through Bayesian finite element model updating. Struct. Control Health Monit. 2014, 22, 463–483. [Google Scholar] [CrossRef]
  4. Zhou, K.; Tang, J. Highly Efficient Probabilistic Finite Element Model Updating Using Intelligent Inference with Incomplete Modal Information. J. Vib. Acoust. 2016, 138, 051016. [Google Scholar] [CrossRef] [Green Version]
  5. Papadimitriou, C.; Papadioti, D.-C. Component mode synthesis techniques for finite element model updating. Comput. Struct. 2013, 126, 15–28. [Google Scholar] [CrossRef]
  6. Bhattacharyya, B. Uncertainty quantification of dynamical systems by a POD–Kriging surrogate model. J. Comput. Sci. 2022, 60, 101602. [Google Scholar] [CrossRef]
  7. Jacquelin, E.; Baldanzini, N.; Bhattacharyya, B.; Brizard, D.; Pierini, M. Random dynamical system in time domain: A POD-PC model. Mech. Syst. Signal Process. 2019, 133, 106251. [Google Scholar] [CrossRef] [Green Version]
  8. Kundu, A.; Adhikari, S. Transient Response of Structural Dynamic Systems with Parametric Uncertainty. J. Eng. Mech. 2014, 140, 315–331. [Google Scholar] [CrossRef] [Green Version]
  9. Le Maître, O.P.; Mathelin, L.; Knio, O.M.; Hussaini, M.Y. Asynchronous time integration for polynomial chaos expansion of uncertain periodic dynamics. Discret. Contin. Dyn. Syst. 2010, 28, 199–226. [Google Scholar] [CrossRef]
  10. Behmanesh, I.; Moaveni, B.; Lombaert, G.; Papadimitriou, C. Hierarchical Bayesian model updating for structural identification. Mech. Syst. Signal Process. 2015, 64–65, 360–376. [Google Scholar] [CrossRef] [Green Version]
  11. Bhattacharyya, B.; Jacquelin, E.; Brizard, D. A Kriging–NARX Model for Uncertainty Quantification of Nonlinear Stochastic Dynamical Systems in Time Domain. J. Eng. Mech. 2020, 146, 04020070. [Google Scholar] [CrossRef]
  12. Spiridonakos, M.; Chatzi, E. Metamodeling of dynamic nonlinear structural systems through polynomial chaos NARX models. Comput. Struct. 2015, 157, 99–113. [Google Scholar] [CrossRef]
  13. Benjamin, C.J.; Thouvereza, C.F.; Oustyb, J.; Mbaye, M. A nonlinear component mode synthesis method for the computation of steady-state vibrations in non-conservative systems. Mech. Syst. Signal Process. 2017, 83, 75–92. [Google Scholar]
Figure 1. A system with two degrees of freedom (DOF).
Figure 1. A system with two degrees of freedom (DOF).
Mathematics 10 01554 g001
Figure 2. (a). Displacement x1 versus the circular natural frequency ω: superposition of the solution by the RPM (____) and the exact solution (-----). (b). Displacement x2 versus the circular natural frequency ω: superposition of the solution by RPM approach (____) and the exact solution (------). (c). Displacement x1 versus the circular natural frequency ω: superposition of the solution by the RPM approach (____) and the exact solution (-----).
Figure 2. (a). Displacement x1 versus the circular natural frequency ω: superposition of the solution by the RPM (____) and the exact solution (-----). (b). Displacement x2 versus the circular natural frequency ω: superposition of the solution by RPM approach (____) and the exact solution (------). (c). Displacement x1 versus the circular natural frequency ω: superposition of the solution by the RPM approach (____) and the exact solution (-----).
Mathematics 10 01554 g002
Figure 3. Evolution of circular natural frequencies ω1 and ω2 versus the probabilities P1 and P2.
Figure 3. Evolution of circular natural frequencies ω1 and ω2 versus the probabilities P1 and P2.
Mathematics 10 01554 g003
Figure 4. (a). Displacement x1 versus the circular natural frequency ω. (b). Displacement x2 versus the circular natural frequency ω. Superposition of the solution by the RPM approach (_____) and the exact solution (------).
Figure 4. (a). Displacement x1 versus the circular natural frequency ω. (b). Displacement x2 versus the circular natural frequency ω. Superposition of the solution by the RPM approach (_____) and the exact solution (------).
Mathematics 10 01554 g004
Figure 5. (a) Evolution of natural frequency ω1 as a function of different values of δ1 and δ2. (b) Safe and unsafe areas defined by ω1 > 2.5.
Figure 5. (a) Evolution of natural frequency ω1 as a function of different values of δ1 and δ2. (b) Safe and unsafe areas defined by ω1 > 2.5.
Mathematics 10 01554 g005
Figure 6. Mass-spring system with three degrees of freedom.
Figure 6. Mass-spring system with three degrees of freedom.
Mathematics 10 01554 g006
Figure 7. (a). Displacement x1 versus the circular natural frequency ω. Superposition of the solution by the RPM approach (____) and the exact solution (----). (b). Displacement x2 versus the circular natural frequency ω. Superposition of the solution by the RPM approach (____) and the exact solution (----). (c). Displacement x3 versus the circular natural frequency ω. Superposition of the solution by the RPM approach (____) and the exact solution (----).
Figure 7. (a). Displacement x1 versus the circular natural frequency ω. Superposition of the solution by the RPM approach (____) and the exact solution (----). (b). Displacement x2 versus the circular natural frequency ω. Superposition of the solution by the RPM approach (____) and the exact solution (----). (c). Displacement x3 versus the circular natural frequency ω. Superposition of the solution by the RPM approach (____) and the exact solution (----).
Mathematics 10 01554 g007
Figure 8. (a). Displacement x1 versus the circular natural frequency ω. Superposition of the solution by the RPM approach (____) and the exact solution (-----). (b). Displacement x2 versus the circular natural frequency ω. Superposition of the solution by the RPM approach (____) and the exact solution (-----), (c). Displacement x3 versus the circular natural frequency ω. Superposition of the solution by the RPM approach (____) and the exact solution (-----).
Figure 8. (a). Displacement x1 versus the circular natural frequency ω. Superposition of the solution by the RPM approach (____) and the exact solution (-----). (b). Displacement x2 versus the circular natural frequency ω. Superposition of the solution by the RPM approach (____) and the exact solution (-----), (c). Displacement x3 versus the circular natural frequency ω. Superposition of the solution by the RPM approach (____) and the exact solution (-----).
Mathematics 10 01554 g008
Figure 9. A two degrees of freedom (DOF) system with.
Figure 9. A two degrees of freedom (DOF) system with.
Mathematics 10 01554 g009
Figure 10. Evolution of x1(w) as a function of P1: (a): Present approach. (b): Exact solution.
Figure 10. Evolution of x1(w) as a function of P1: (a): Present approach. (b): Exact solution.
Mathematics 10 01554 g010
Figure 11. Evolution of x2(w) as a function of P1: (a): Present approach (b): Exact solution.
Figure 11. Evolution of x2(w) as a function of P1: (a): Present approach (b): Exact solution.
Mathematics 10 01554 g011
Figure 12. Circular natural frequency as a function of the probability P1(k1) (a) Evolution of the first (b) Evolution of the second.
Figure 12. Circular natural frequency as a function of the probability P1(k1) (a) Evolution of the first (b) Evolution of the second.
Mathematics 10 01554 g012
Figure 13. Evolution of x1(w) as a function of P1: (a): Present approach. (b): Exact solution.
Figure 13. Evolution of x1(w) as a function of P1: (a): Present approach. (b): Exact solution.
Mathematics 10 01554 g013
Figure 14. Evolution of x2(w) as a function of P1.: (a): Present approach. (b): Exact solution.
Figure 14. Evolution of x2(w) as a function of P1.: (a): Present approach. (b): Exact solution.
Mathematics 10 01554 g014
Figure 15. (a) Evolution of the first. (b) Evolution of the second.
Figure 15. (a) Evolution of the first. (b) Evolution of the second.
Mathematics 10 01554 g015
Figure 16. (a). Displacement x1 versus the circular natural frequency ω. Superposition of the solution by the RPM approach (____) and the exact solution (-----). (b). Displacement x2 versus the circular natural frequency ω. Superposition of the solution by the RPM approach (____) and the exact solution (-----).
Figure 16. (a). Displacement x1 versus the circular natural frequency ω. Superposition of the solution by the RPM approach (____) and the exact solution (-----). (b). Displacement x2 versus the circular natural frequency ω. Superposition of the solution by the RPM approach (____) and the exact solution (-----).
Mathematics 10 01554 g016
Figure 17. Mass-spring system with two degrees of freedom.
Figure 17. Mass-spring system with two degrees of freedom.
Mathematics 10 01554 g017
Figure 18. (a). Displacement x1 versus the circular natural frequency ω. Superposition of the solution by the RPM approach (____) and the exact solution (----). (b). Displacement x1 versus the circular natural frequency ω. Superposition of the solution by the RPM approach (____) and the exact solution (-----).
Figure 18. (a). Displacement x1 versus the circular natural frequency ω. Superposition of the solution by the RPM approach (____) and the exact solution (----). (b). Displacement x1 versus the circular natural frequency ω. Superposition of the solution by the RPM approach (____) and the exact solution (-----).
Mathematics 10 01554 g018
Publisher’s Note: MDPI stays neutral with regard to jurisdictional claims in published maps and institutional affiliations.

Share and Cite

MDPI and ACS Style

Hassis, H.; Jendoubi, A.; Kolsi, L.; Omri, M. A Dynamic Analysis for Probabilistic/Possibilistic Problems Model Reduction Analysis Using Special Functions. Mathematics 2022, 10, 1554. https://doi.org/10.3390/math10091554

AMA Style

Hassis H, Jendoubi A, Kolsi L, Omri M. A Dynamic Analysis for Probabilistic/Possibilistic Problems Model Reduction Analysis Using Special Functions. Mathematics. 2022; 10(9):1554. https://doi.org/10.3390/math10091554

Chicago/Turabian Style

Hassis, Hedi, Abir Jendoubi, Lioua Kolsi, and Mohamed Omri. 2022. "A Dynamic Analysis for Probabilistic/Possibilistic Problems Model Reduction Analysis Using Special Functions" Mathematics 10, no. 9: 1554. https://doi.org/10.3390/math10091554

APA Style

Hassis, H., Jendoubi, A., Kolsi, L., & Omri, M. (2022). A Dynamic Analysis for Probabilistic/Possibilistic Problems Model Reduction Analysis Using Special Functions. Mathematics, 10(9), 1554. https://doi.org/10.3390/math10091554

Note that from the first issue of 2016, this journal uses article numbers instead of page numbers. See further details here.

Article Metrics

Back to TopTop