Next Article in Journal
Selection Criteria for Overlapping Binary Models—A Simulation Study
Next Article in Special Issue
InterCriteria Analysis Applied on Air Pollution Influence on Morbidity
Previous Article in Journal
Analytical Solutions of Viscoelastic Nonlocal Timoshenko Beams
Previous Article in Special Issue
Generalized Net Model of Forest Zone Monitoring by UAVs
 
 
Font Type:
Arial Georgia Verdana
Font Size:
Aa Aa Aa
Line Spacing:
Column Width:
Background:
Article

A Generalized Net Model of the Prostate Gland’s Functioning

by
Martin Lubich
1,†,
Velimir Papazov
2,†,
Elenko Popov
3,4,†,
Radostina Georgieva
3,4,†,
Dmitrii Dmitrenko
3,4,†,
Borislav Bojkov
3,4,†,
Chavdar Slavov
3,4,†,
Peter Vassilev
5,†,
Vassia Atanassova
5,†,
Lyudmila Todorova
5,† and
Krassimir T. Atanassov
5,*,†
1
Department of Nephrology, University Hospital Sofiamed, 16 G. M. Dimitrov Blvd., 1797 Sofia, Bulgaria
2
Department of Dialysis, University Hospital Alexandrovska, 1 Georgi Sofiiski Str., 1431 Sofia, Bulgaria
3
Faculty of Medicine, Medical University-Sofia, 15 Acad. Ivan Geshov Blvd., 1431 Sofia, Bulgaria
4
Department of Urology and Andrology, University Hospital Tsaritsa Yoanna-ISUL, 8 Byalo More Str., 1527 Sofia, Bulgaria
5
Department of Bioinformatics and Mathematical Modelling, Institute of Biophysics and Biomedical Engineering, Bulgarian Academy of Sciences, Acad. G. Bonchev Str., Bl. 105, 1113 Sofia, Bulgaria
*
Author to whom correspondence should be addressed.
These authors contributed equally to this work.
Mathematics 2022, 10(3), 479; https://doi.org/10.3390/math10030479
Submission received: 6 December 2021 / Revised: 26 January 2022 / Accepted: 29 January 2022 / Published: 2 February 2022

Abstract

:
Over the last 20 years, many Generalized Net (GN) models of the ways of functioning of the different systems and organs in the human body and models related to the description of biomedical processes in living organisms have been constructed. In this paper, a GN model of the prostate gland’s functioning was developed, as a continuation of the previous research. The model provides the possibility to trace the logical relations of the interactions of the prostate gland and various individual organs in the human body. The model shows the possibility for the existence of currently unknown feedback loops.

1. Introduction: Basic Anatomy and Physiology of the Prostate Gland

The prostate gland is an organ with a dense consistency and the shape of a chestnut, which is located just below the bladder, covering the beginning of the urethra. It is an organ with a glandular structure, whose secretion is a part of semen. The gland is also characterized by an incretory function [1]. It weighs approximately 20–25 g and has the following dimensions: height 3 cm, thickness 2 cm, width 4 cm. The gland is surrounded by a capsule that sends to the interior of the prostate barriers of connective tissue of varying thickness and a high content of smooth muscle cells.
The prostate is made up of two main parts: glandular and muscular. The glandular part forms about 30–40 differently sized tubulo-alveolar glands, whose channels partially merge and open into the urethra. The glands are divided into two zones: external and internal. The secretory gland contains a large number of secretory units of the tubulo-alveolar type, which open sequentially in a long drainage channel with a gradually increasing caliber. The glands are surrounded by myoelastic stroma, which divides the parenchyma of the gland into separate partitions. In some cases, the prostate gland hypertrophies as the middle glands grow, developing an adenoma (a benign tumor of the gland) [2]. This formation protrudes into the area of the inner opening of the urethra, which impedes normal urination. Although topographically, the prostate gland is connected to the excretory system, it is more of an endocrine organ that interacts closely with the hypothalamus, pituitary gland, testicles, and adrenal medulla of the adrenal gland [3].
Following [4], we provide a concise description of the Hypothalamus, Pituitary, and Gonadal (HPG) axis. The functioning of the HPG axis is hierarchically orchestrated by the hypothalamus. Feedback control is the principal mechanism through which hormonal regulation occurs. Negative feedback is the main regulatory mechanism in the HPG axis, achieving the maintenance of homeostasis and essentially responsible for minimizing perturbations.
Hypothalamus: Being the integrative center of the HPG axis, the hypothalamus receives neuronal input from the amygdala, thalamus, pons, retina, olfactory cortex, and many other compartments of the brain. The hypothalamus represents a pace-maker for the cyclic secretion of pituitary hormones, and it is linked to the pituitary gland by a portal vascular system, as well as through neuronal pathways. Through the portal vascular system, the released hormones from the hypothalamus are delivered to the anterior pituitary. The main hypothalamic hormone regarding HPG function is Gonadotropin-Releasing Hormone (GnRH). GnRH stimulates the secretion of LH and FSH from the anterior pituitary. GnRH secretion is influenced by levels of stress, exercise, and some diet factors and is subjected to negative feedback regulation from pituitary gonadotropins, as well as from plasma levels of circulating sex hormones.
Anterior pituitary: The pituitary is composed of two anatomically and functionally distinct parts: posterior and anterior. The posterior part, the neurohypophysis, is responsible for the synthesis and secretion of two hormones, oxytocin and vasopressin, being under neuronal control. The anterior part, adenohypophysis, represents the classical endocrine gland, regulated by plasma levels of different bioactive substances, the main being GnRH. GnRH induces the synthesis and secretion of FSH and LH, which are the primary pituitary hormones regulating gonadal function. The circadian rhythm of LH includes between eight and sixteen pulses in 24 h, closely coupled to GnRH levels. Sex hormones exert negative feedback regulation on LH.
The gonads are the sole known site of action of FSH and LH. LH stimulates testicular steroidogenesis within Leydig cells, while FSH has a binding affinity to Sertoli cells and spermatogonial membranes and is a major stimulatory factor of seminiferous tubule growth. FSH is a critical initiating factor for spermatogenesis at puberty. During the adult life, FSH is a potent stimulator of normal spermatogenesis in terms of quantity.
Testis: Normal male development, functioning, and reproduction require the normal function of both the exocrine and endocrine compartments of the testis. The interstitially localized Leydig cells are responsible for steroidogenesis. The seminiferous tubules produce spermatozoa.
Testosterone is metabolized into two main active metabolites: (1) the main intracellular androgen Dihydrotestosterone (DHT), resulting from the action of the enzyme 5 α -reductase, and, predominantly in fatty tissues, (2) the estrogen estradiol through the action of aromatases. DHT has much stronger androgen activity compared to testosterone.
The primary targets of FSH action are Sertoli cells located in seminiferous tubules. Under FSH influence, Sertoli cells produce Androgen-Binding Protein (ABP), transferrin, lactate, ceruloplasmin, clusterin, plasminogen activator, prostaglandins, and growth factors. These molecules exert a paracrine stimulatory effect on the growth of the seminiferous tubule and during puberty on the initiation of sperm production.
Inhibin and activin are two protein hormones secreted by the testis. Inhibin is made by Sertoli cells and has an inhibitory effect on FSH release from the pituitary. Inhibin production is stimulated by circulating FSH levels and represents a negative feedback loop to the pituitary and/or hypothalamus.
Activin has a stimulatory effect on FSH secretion. Activin receptors are found in a variety of tissues, suggesting that there could be some unknown growth factor or regulatory roles of this peptide hormone. Negative feedback inhibition of GnRH release is exerted by testosterone levels through binding with Androgen Receptors (ARs) in the hypothalamus and the pituitary.
Sex hormones’ negative feedback is a result mainly of testosterone binding to ARs, with a lesser role played by estradiol. The main anatomical site of testosterone feedback is the hypothalamus, while estrogens act predominantly on the pituitary. Testosterone is the main regulatory factor for LH secretion, while estradiol (and also inhibin) is the primary regulatory molecule for FSH secretion.
At the present time, there are no defined molecule or molecules that have proven feedback regulatory action on the other participants in the sex hormone axis. Much research on this subject has been performed on Prostate-Specific Antigen (PSA) and other members of the human kallikrein family and a number of paracrine substances in the prostate such as dihydrotestosterone—without a definitive conclusion at the present time [5]. These relationships are not well studied and form the basis for understanding the process of benign prostatic hypertrophy and prostate gland carcinoma [6,7].
After these brief remarks, we note that in Section 2, we propose a GN model of the prostate gland for the first time. In Section 3, we demonstrate how this model would change under the conjectured relations between the prostate gland and the hypothalamus, hypophysis, testes, and adrenal gland.

2. A Generalized Net Model

Generalized Nets (GNs) [8,9,10,11] are one of the tools for modeling parallel processes running in real time. GNs are an extension of the classical Petri nets. The complete theory of GNs was presented in [9,10], while a short and concise description was given in [12]. All models described by different types of Petri nets may be represented in terms of GNs. As stated in [13], GN models are most appropriate in the areas of biology and medicine. Indeed, the presence of predicates in the index matrices of the transitions determining the direction of the tokens’ movement and the initial and current characteristics obtained by the tokens, respectively, provide the possibility to model the logical connections in the described process, as well as to gather its evaluations in numerical or linguistic form. For this reason, the process of the prostate gland’s functioning is described through a GN, and the benefit of such a model is discussed. This model is the first generalized net model of the functioning of and the result of work on the prostate gland from the physiological point of view. It is a basis for investigating the changes in the prostate and the interactions of other organ systems as a result of pathological changes. Similar types of models describing the functioning of the excretory and a part of the vascular systems can be found in [14,15], respectively.
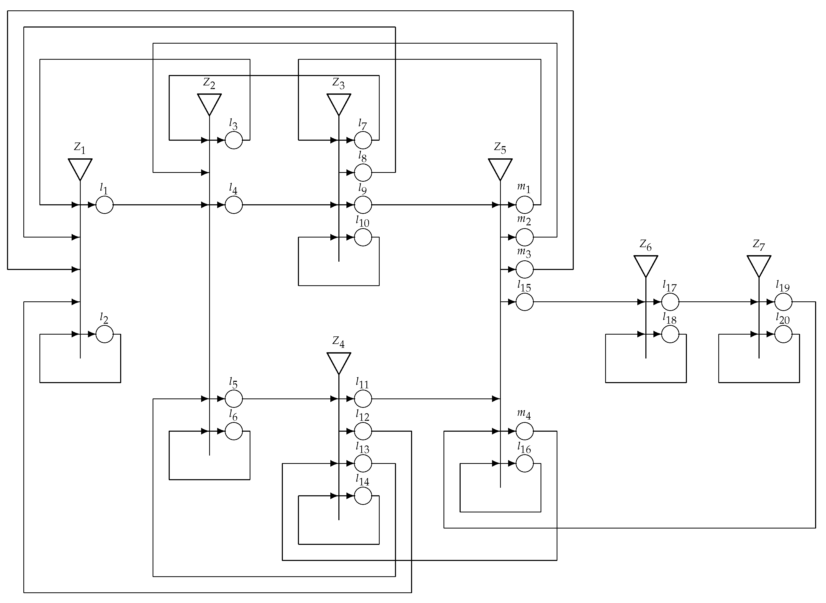
The GN model contains 7 transitions, 20 places, and 15 types of tokens. These GN components are as follows (see Figure 1):
  • χ —token representing the current status of the hypothalamus;
  • φ —token representing the current status of the hypophysis;
  • τ —token representing the current status of the testes;
  • α —token representing the current status of the adrenal gland;
  • π —token representing the current status of the prostate gland;
  • π —token representing the process of the enlargementof the prostate gland;
    σ 1 , 1 , σ 1 , 2 , —tokens representing the signals from the hypothalamus to the hypophysis;
    σ 2 , 1 , σ 2 , 2 , —tokens representing the signals from the hypophysis to the hypothalamus;
    σ 3 , 1 , σ 3 , 2 , —tokens representing the signals from the hypophysis to the testes;
    σ 4 , 1 , σ 4 , 2 , —tokens representing the signals from the hypophysis to the adrenal gland;
    σ 5 , 1 , σ 5 , 2 , —tokens representing the signals from the testes to the hypophysis;
    σ 6 , 1 , σ 6 , 2 , —tokens representing the signals from the testes to the prostate gland;
    σ 7 , 1 , σ 7 , 2 , —tokens representing the signals from the adrenal gland to the prostate gland;
    σ 8 , 1 , σ 8 , 2 , —tokens representing the signals from the adrenal gland to the hypophysis;
  • μ 1 , μ 2 , —tokens representing the signals from the prostate gland to the hypothalamus, hypophysis, testes, and adrenal gland, respectively.
We must mention that the tokens are denoted by Greek letters related to the model by the tokens’ objects. The letter σ corresponds to the biological signals, of which there are of eight types. This is represented by the first index. Since the individual organs sequentially emit signals, the order of the consecutive signals is denoted by the second index of the respective token. The same is valid for tokens μ generated by the prostate.
Here, by signals, we understand any type of biochemical compound produced in one organ effectively impacting another.
For brevity, below, we omit the second indices of the tokens, because they represent the current number of the respective signal.
Transition Z 1 denotes the hypothalamus. It contains the place l 2 in which token χ stays permanently with the initial and current characteristic “the current status of the hypothalamus and its parameters (in the current time moment)”.
Transition Z 2 denotes the hypophysis. It contains the place l 6 in which token φ stays permanently with the initial and current characteristic “the current status of the hypophysis and its parameters (in the current time moment)”.
Transition Z 3 denotes the testes. It contains the place l 10 in which token τ stays permanently with the initial and current characteristic “the current status of the testes and their parameters (in the current time moment)”.
Transition Z 4 denotes the adrenal gland. It contains the place l 14 in which token α stays permanently with the initial and current characteristic “the current status of the adrenal gland and its parameters (in the current time moment)”.
Transition Z 5 denotes the prostate gland. It contains the place l 16 in which token π stays permanently with the initial and current characteristic “the current status of the prostate gland and its parameters (in the current time moment)”.
Transition Z 6 denotes the process of the synthesis of messenger RNA in the prostate gland. It contains the place l 18 in which token π stays permanently with the initial and current characteristic “the current status of the synthesized messenger RNA in the prostate gland and its parameters (in the current time moment)”.
Transition Z 7 denotes the process of the generation of initiation factors in the prostate gland. It contains the place l 20 in which token π stays permanently with the initial and current characteristic “the current status of the generation of initiation factors in the prostate gland and its parameters (in the current time moment)”.
Below, we discuss only the characteristics of the remaining GN tokens, different from those discussed in the fixed transition places.
The transitions have the following forms.
Z 1 = { l 2 , l 3 , l 8 , l 12 } , { l 1 , l 2 } , l 1 l 2 l 2 t r u e t r u e l 3 f a l s e t r u e l 8 f a l s e t r u e l 12 f a l s e t r u e .
The token χ in place l 2 splits into two tokens: the original token χ that continues to stay in place l 2 and the token σ 1 that obtains the characteristic “a signal from the hypothalamus to the hypophysis, parameters (e.g., quantity)”.
Z 2 = { l 1 , l 6 , l 7 , l 13 } , { l 3 , l 4 , l 5 , l 6 } , l 3 l 4 l 5 l 6 l 1 f a l s e f a l s e f a l s e t r u e l 6 W 6 , 3 W 6 , 4 W 6 , 5 t r u e l 7 f a l s e f a l s e f a l s e t r u e l 13 f a l s e f a l s e f a l s e t r u e ,
where:
  • W 6 , 3 = “a signal from the hypophysis to the hypothalamus is generated”;
  • W 6 , 4 = “a signal from the hypophysis to the testes is generated”;
  • W 6 , 5 = “a signal from the hypophysis to the adrenal gland is generated”.
The token φ in place l 6 splits into two, three, or four tokens with respect to the validity of the predicates W 6 , 3 , W 6 , 4 , and W 6 , 5 : the original token φ that continues to stay at place l 6 and the tokens σ 2 , σ 3 , σ 4 that obtain the characteristics:
  • “the signal from the hypophysis to the hypothalamus is based on the changes of the levels of the neurotransmitters, parameters (e.g., quantity)”;
  • “luteinization hormone, parameters (e.g., quantity)”;
  • “adrenocorticotropic hormone, parameters (e.g., quantity)”.
Z 3 = { l 4 , l 10 , l 11 } , { l 7 , l 8 , l 9 , l 10 } , l 7 l 8 l 9 l 10 l 4 f a l s e f a l s e f a l s e t r u e l 10 W 10 , 7 W 10 , 8 W 10 , 9 t r u e l 11 f a l s e f a l s e f a l s e t r u e ,
where:
  • W 10 , 7 = “a signal from the testes to the hypophysis is generated”;
  • W 10 , 8 = “a signal from the testes to the prostate gland is generated”;
  • W 10 , 9 = “a signal from the testes to the adrenal gland is generated”.
The token τ in place l 10 splits into two, three, or four tokens with respect to the validity of the predicates W 10 , 7 , W 10 , 8 , and W 10 , 9 : the original token τ that continues to stay in place l 6 and the tokens σ 5 , σ 6 , σ 7 that obtain the equal characteristic “currently generated testosterone, parameters (e.g., quantity)”.
Z 4 = { l 5 , l 9 , l 14 } , { l 11 , l 12 , l 13 , l 14 } , l 11 l 12 l 13 l 14 l 5 f a l s e f a l s e f a l s e t r u e l 9 f a l s e f a l s e f a l s e t r u e l 14 W 14 , 11 W 14 , 12 W 14 , 13 t r u e ,
where:
  • W 14 , 11 = “a signal from the adrenal gland to the testes is generated”;
  • W 14 , 12 = “a signal from the adrenal gland to the prostate gland is generated”;
  • W 14 , 13 = “a signal from the adrenal gland to the hypophysis is generated”.
The token τ in place l 14 splits into two, three, or four tokens with respect to the validity of the predicates W 14 , 11 , W 14 , 12 , and W 14 , 13 : the original token τ that continues to stay in place l 6 and the tokens σ 8 , σ 9 , σ 10 that obtain the equal characteristic “currently generated adrenocorticotropic hormone, parameters (e.g., quantity)”.
Z 5 = { l 9 , l 11 , l 16 , l 19 } , { l 15 , l 16 } , l 15 l 16 l 9 f a l s e t r u e l 11 f a l s e t r u e l 16 W 16 , 15 t r u e l 19 f a l s e t r u e ,
where W 16 , 15 = “there is increasing of testosterone.”
The token π in place l 16 splits into two tokens: the original token π that continues to stay in place l 16 with the characteristic “change of prostate gland volume, parameters”, and the token π that obtains the characteristic “moment of starting the process of transcription and synthesis of messenger RNA”.
Z 6 = { l 15 , l 16 } , { l 17 , l 18 } , l 17 l 18 l 15 f a l s e t r u e l 18 t r u e f a l s e .
The token π from place l 15 enters place l 18 with the characteristic “process of the transcription and synthesis of messenger RNA, parameters (e.g., quantity)”.
After this, it enters place l 17 , and there, it obtains the characteristic “moment of starting the process of translation”.
Z 7 = { l 17 , l 20 } , { l 19 , l 20 } , l 19 l 20 l 17 f a l s e t r u e l 20 t r u e f a l s e .
The token π from place l 7 enters place l 20 with the characteristic “protein and growth hormone, parameters (e.g., quantity)”.
After this, it enters place l 19 , and there, it obtains the characteristic “a process of translation, results”.

3. Conclusions or a New Perspective

As discussed in the literature (see, e.g., [16]), at the present moment, it is not known whether there are signals from the prostate gland and the other objects in our model (hypothalamus, hypophysis, testes, and adrenal gland). The above GN model suggests the idea that we can represent these hypothetical connections. In this case, the model from Figure 1 will have the form shown Figure 2, and transition Z 5 will have the form:
Z 5 = { l 9 , l 11 , l 16 , l 19 } , { l 15 , l 16 , m 1 , m 2 , m 3 , m 4 } ,
l 15 l 16 m 1 m 2 m 3 m 4 l 9 f a l s e t r u e f a l s e f a l s e f a l s e f a l s e l 11 f a l s e t r u e f a l s e f a l s e f a l s e f a l s e l 16 W 16 , 15 t r u e W 16 , 1 W 16 , 2 W 16 , 3 W 16 , 4 l 19 f a l s e t r u e f a l s e f a l s e f a l s e f a l s e ,
where:
  • W 16 , 15 = “there is an increase in testosterone”;
  • W 16 , 1 = “a signal from the prostate gland to the testes is generated”;
  • W 16 , 2 = “a signal from the prostate gland to the hypophysis is generated”;
  • W 16 , 3 = “a signal from the prostate gland to the hypothalamus is generated”;
  • W 16 , 4 = “a signal from the prostate gland to the adrenal gland is generated”.
Figure 2. Second generalized net model.
Figure 2. Second generalized net model.
Mathematics 10 00479 g002
Now, the token π in place l 16 splits into six tokens: the original token π that continues to stay in place l 16 and the tokens π (as before), ρ 1 , ρ 2 , ρ 3 , ρ 4 that obtain the same characteristic “substance secreted by the prostate, exerting a biofeedback effect on the other objects in the model” at places m 1 , m 2 , m 3 , m 4 .
In the future, if such connections are indeed observed in practice, the first model will be replaced by the second one, which will have to be further expanded. In the near future, a GN model of pathological processes in the prostate and their impact on the human body will be investigated.
As was mentioned at the beginning of Section 2, the first model reflects only the physiology of the prostate gland and the logical connections between it and other organs and systems. The external influences on the human organism and in particular on the prostate will be considered for investigation in future studies. Currently, a software product is being developed to implement the generalized net models. Through it, the processes described in the above models can be simulated with the data of a particular patient.

Author Contributions

Conceptualization M.L., K.T.A., E.P. and C.S.; methodology M.L., E.P., D.D., C.S., R.G., B.B., K.T.A., L.T., P.V. and V.A.; validation E.P. and V.P.; formal analysis K.T.A. and C.S.; investigation K.T.A., C.S., E.P., L.T., D.D., V.P., R.G. and B.B.; writing—original draft preparation, K.T.A., L.T., C.S., R.G., E.P., B.B. and M.L.; writing—review and editing K.T.A., P.V., V.A., V.P. and D.D.; supervision C.S. and K.T.A.; funding acquisition C.S. and L.T. All authors have read and agreed to the published version of the manuscript.

Funding

The authors are grateful for the support provided by the Bulgarian National Science Fund under Grant Ref. No. KP-06-N43/7/30.11.2020 “Creating a prognostic model predicting life expectancy in prostate cancer patients and providing better quality of life after definitive surgical treatment”.

Institutional Review Board Statement

Not applicable.

Informed Consent Statement

Not applicable.

Data Availability Statement

Not applicable.

Conflicts of Interest

The authors declare no conflict of interest.

References

  1. Calogero, A.E.; Burgio, G.; Condorelli, R.A.; Cannarella, R.; La Vignera, S. Lower urinary tract symptoms/benign prostatic hyperplasia and erectile dysfunction: From physiology to clinical aspects. Aging Male 2018, 21, 261–271. [Google Scholar] [CrossRef] [PubMed]
  2. Foo, K.T. Pathophysiology of clinical benign prostatic hyperplasia. Asian J. Urol. 2017, 4, 152–157. [Google Scholar] [CrossRef] [PubMed]
  3. Ho, Y.; Dehm, S.M. Androgen receptor rearrangement and splicing variants in resistance to endocrine therapies in prostate cancer. Endocrinology 2017, 158, 1533–1542. [Google Scholar] [CrossRef] [PubMed]
  4. Turek, P.J. Male Reproductive Physiology. In Campbell-Welsh-Wein Urology; Wein, A.J., Kavoussi, L.R., Partin, A.W., Peters, C.A., Eds.; Elsevier, Inc.: Amsterdam, The Netherlands, 2020; Volume 2. [Google Scholar]
  5. Farhood, B.; Mortezaee, K.; Haghi-Aminjan, H.; Khanlarkhani, N.; Salehi, E.; Nashtaei, M.S.; Najafi, M.; Sahebkar, A. A systematic review of radiation-induced testicular toxicities following radiotherapy for prostate cancer. J. Cell. Physiol. 2019, 234, 14828–14837. [Google Scholar] [CrossRef] [PubMed]
  6. Bader, D.A.; McGuire, S.E. Tumour metabolism and its unique properties in prostate adenocarcinoma. Nat. Rev. Urol. 2020, 17, 214–231. [Google Scholar] [CrossRef] [PubMed]
  7. Conti, D.V.; Darst, B.F.; Moss, L.C.; Saunders, E.J.; Sheng, X.; Chou, A.; Schumacher, F.R.; Olama, A.A.A.; Benlloch, S.; Dadaev, T.; et al. Trans-ancestry genome-wide association meta-analysis of prostate cancer identifies new susceptibility loci and informs genetic risk prediction. Nat. Genet. 2021, 53, 65–75, Erratum in Nat. Genet.. [Google Scholar] [CrossRef] [PubMed]
  8. Alexieva, J.; Choy, E.; Koycheva, E. Review and bibliography on generalized nets theory and applications. In A Survey of Generalized Nets; Choy, E., Krawczak, M., Shannon, A., Szmidt, E., Eds.; Raffles KvB Monograph No. 10; Raffles KvB: Sydney, Australia, 2007; pp. 207–301. [Google Scholar]
  9. Atanassov, K. Generalized Nets; World Scientific: Singapore, 1991. [Google Scholar]
  10. Atanassov, K. On Generalized Nets Theory; “Prof. M. Drinov” Academic Publishing House: Sofia, Bulgaria, 2007. [Google Scholar]
  11. Zoteva, D.; Krawczak, M. Generalized Nets as a Tool for the Modelling of Data Mining Processes. A Survey. In Issues in Intuitionistic Fuzzy Sets and Generalized Nets; Springer: Cham, Switzerland, 2017; Volume 13, pp. 1–60. [Google Scholar]
  12. Stratiev, D.D.; Stratiev, D.; Atanassov, K. Modelling the Process of Production of Diesel Fuels by the Use of Generalized Nets. Mathematics 2021, 9, 2351. [Google Scholar] [CrossRef]
  13. Will, J.; Heiner, M. Petri Nets in Biology, Chemistry, and Medicine: Bibliography; BTU, Institute of Computer Science: Cottbus, Germany, 2002. [Google Scholar]
  14. Lubich, M.; Andonov, V.; Shannon, A.; Slavov, C.; Pencheva, T.; Atanassov, K. A Generalized Net Model of the Human Body Excretory System. In Advances and New Developments in Fuzzy Logic and Technology; IWIFSGN 2019; Atanassov, K.T., Atanassova, V., Kacprzyk, K., Kałuszko, A., Krawczak, M., Owsiński, J.W., Sotirov, S.N., Sotirova, E., Szmidt, E., Zadrożny, S., Eds.; Advances in Intelligent Systems and Computing; Springer: Cham, Switzerland, 2021; Volume 1308. [Google Scholar] [CrossRef]
  15. Ribagin, S.; Chakarov, V.; Atanassov, K. Generalized net model of the upper limb vascular system. In Proceedings of the 6th IEEE International Conference Intelligent Systems, Sofia, Bulgaria, 6–8 September 2012; pp. 229–232. [Google Scholar]
  16. Slavov, C. Emergency Urology; “Prof. Marin Drinov” Publishing House: Sofia, Bulgaria, 2020. (In Bulgarian) [Google Scholar]
Figure 1. First generalized net model.
Figure 1. First generalized net model.
Mathematics 10 00479 g001
Publisher’s Note: MDPI stays neutral with regard to jurisdictional claims in published maps and institutional affiliations.

Share and Cite

MDPI and ACS Style

Lubich, M.; Papazov, V.; Popov, E.; Georgieva, R.; Dmitrenko, D.; Bojkov, B.; Slavov, C.; Vassilev, P.; Atanassova, V.; Todorova, L.; et al. A Generalized Net Model of the Prostate Gland’s Functioning. Mathematics 2022, 10, 479. https://doi.org/10.3390/math10030479

AMA Style

Lubich M, Papazov V, Popov E, Georgieva R, Dmitrenko D, Bojkov B, Slavov C, Vassilev P, Atanassova V, Todorova L, et al. A Generalized Net Model of the Prostate Gland’s Functioning. Mathematics. 2022; 10(3):479. https://doi.org/10.3390/math10030479

Chicago/Turabian Style

Lubich, Martin, Velimir Papazov, Elenko Popov, Radostina Georgieva, Dmitrii Dmitrenko, Borislav Bojkov, Chavdar Slavov, Peter Vassilev, Vassia Atanassova, Lyudmila Todorova, and et al. 2022. "A Generalized Net Model of the Prostate Gland’s Functioning" Mathematics 10, no. 3: 479. https://doi.org/10.3390/math10030479

APA Style

Lubich, M., Papazov, V., Popov, E., Georgieva, R., Dmitrenko, D., Bojkov, B., Slavov, C., Vassilev, P., Atanassova, V., Todorova, L., & Atanassov, K. T. (2022). A Generalized Net Model of the Prostate Gland’s Functioning. Mathematics, 10(3), 479. https://doi.org/10.3390/math10030479

Note that from the first issue of 2016, this journal uses article numbers instead of page numbers. See further details here.

Article Metrics

Back to TopTop