Implementation of the Hindmarsh–Rose Model Using Stochastic Computing
Abstract
1. Introduction
2. Stochastic Computing Implementation of Analog Systems
2.1. Stochastic Computing Basics
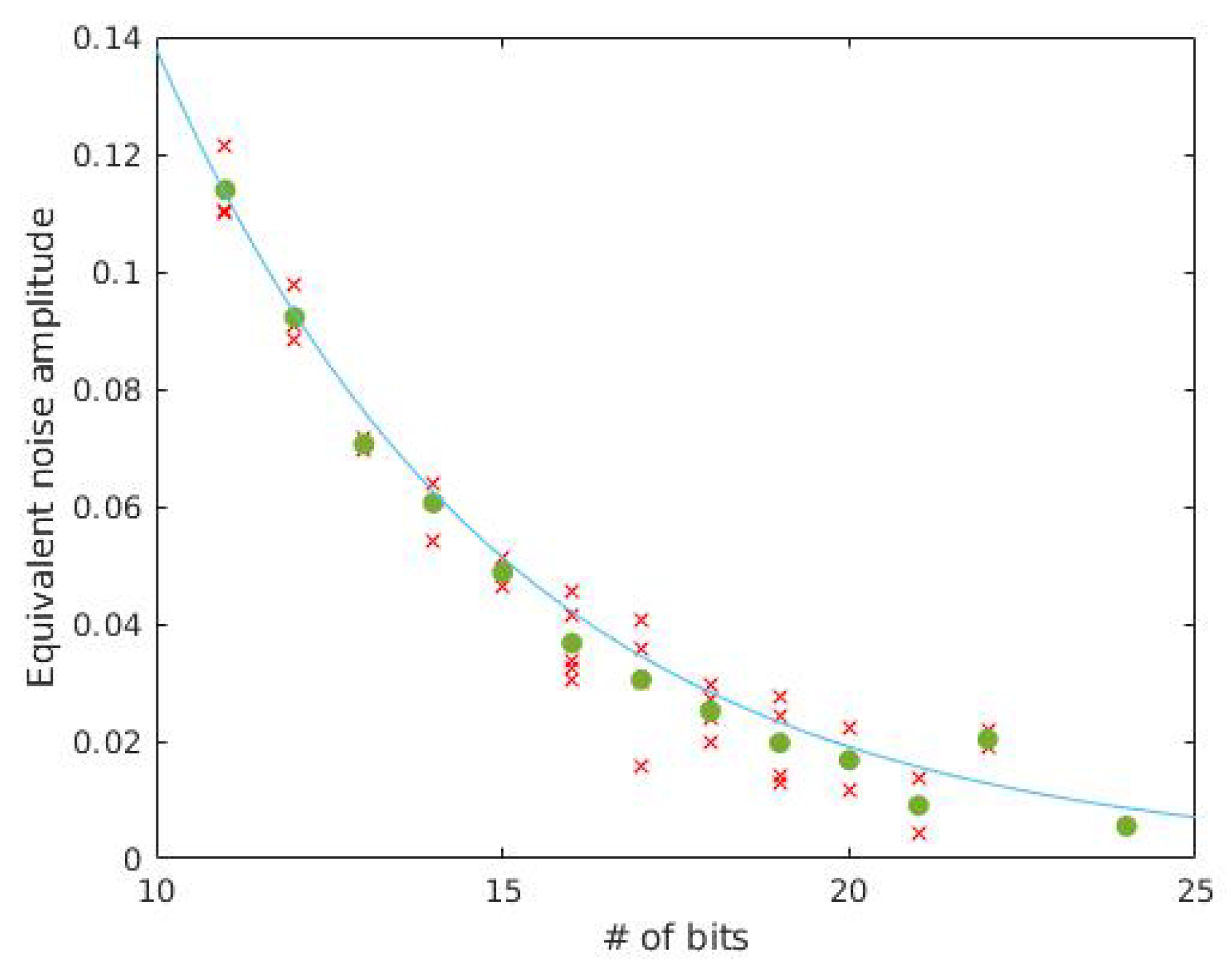
2.2. Error Estimation
2.3. Implementation of Basic Differential Equations
- (1)
- The equation terms must be organised in a form suited to SC. As an example, the additions must be replaced by half additions: , while multiplications remain the same. In the case where more complex operations are needed, an expansive reworking of the equations may be needed to ensure all the operations can be implemented in SC in the or [0, 1] range.
- (2)
- All the variables have to fall inside the chosen domain ([−1…1] or [0…1]).
- (3)
- Any remaining coefficient must be below 1 (in absolute value). This is achieved by using a time scaling.
3. The Hindmarsh–Rose Model
3.1. Original Model
3.2. Stochastic Computing Implementation
- (1)
- All the additions are expressed in a suitable form for stochastic computing.
- (2)
- All the values of x, y and z are inside the [−1, 1] interval.
- (3)
- All the values of the parameters are inside the [−1, 1] interval.
4. Results
5. Discussion
Author Contributions
Funding
Institutional Review Board Statement
Informed Consent Statement
Data Availability Statement
Conflicts of Interest
Abbreviations
| AI | Artificial Intelligence |
| B2S | Binary to Stochastic |
| BEN | Binary Encoded Number |
| FFT | Fast Fourier Transform |
| FPGA | Field Programmable Gate Array |
| IoT | Internet of Things |
| NF | Noise Figure |
| ODE | Ordinary Differential Equation |
| RNG | Random Number Generator |
| SC | Stochastic Computing |
| SCN | Stochastic Computing Number (see also SEN) |
| SEN | Stochastic Encoded Number(s) |
References
- Cattell, R.; Parker, A. Challenges for brain emulation: Why is building a brain so difficult. Nat. Intell. 2012, 1, 17–31. [Google Scholar]
- D’Angelo, E.; Jirsa, V. The quest for multiscale brain modeling. Trends Neurosci. 2022, 45, 777–790. [Google Scholar] [CrossRef] [PubMed]
- Blue, C. Could Quantum Computing Revolutionize Our Study of Human Cognition? APS Obs. 2021, 34, 41–43. [Google Scholar]
- Camuñas-Mesa, L.A.; Linares-Barranco, B.; Serrano-Gotarredona, T. Neuromorphic spiking neural networks and their memristor-CMOS hardware implementations. Materials 2019, 12, 2745. [Google Scholar] [CrossRef]
- Kaiser, J.; Billaudelle, S.; Muller, E.; Tetzlaff, C.; Schemmel, J.; Schmitt, S. Emulating Dendritic Computing Paradigms on Analog Neuromorphic Hardware. Neuroscience 2021, 489, 290–300. [Google Scholar] [CrossRef] [PubMed]
- Höppner, S.; Mayr, C. Spinnaker2-towards extremely efficient digital neuromorphics and multi-scale brain emulation. In Proceedings of the NICE, Neuro-inspired Computational Elements Workshop, Heidelberg, Germany, 17–20 March 2018. [Google Scholar]
- Schemmel, J.; Kriener, L.; Müller, P.; Meier, K. An accelerated analog neuromorphic hardware system emulating NMDA-and calcium-based non-linear dendrites. In Proceedings of the 2017 International Joint Conference on Neural Networks (IJCNN), Anchorage, AK, USA, 14–19 May 2017; pp. 2217–2226. [Google Scholar]
- Yamaura, H.; Igarashi, J.; Yamazaki, T. Simulation of a Human-Scale Cerebellar Network Model on the K Computer. Front. Neuroinform. 2020, 14, 16. [Google Scholar] [CrossRef]
- Ellingsrud, A.J.; Boullé, N.; Farrell, P.E.; Rognes, M.E. Accurate numerical simulation of electrodiffusion and water movement in brain tissue. Math. Med. Biol. A J. IMA 2021, 38, 516–551. [Google Scholar] [CrossRef]
- Schirner, M.; Kong, X.; Yeo, B.T.; Deco, G.; Ritter, P. Dynamic primitives of brain network interaction. NeuroImage 2022, 250, 118928. [Google Scholar] [CrossRef]
- Bunruangses, M.; Youplao, P.; Amiri, I.S.; Pornsuwancharoen, N.; Yupapin, P. Brain sensor and communication model using plasmonic microring antenna network. Opt. Quantum Electron. 2019, 51, 349. [Google Scholar] [CrossRef]
- Amunts, K.; Ebell, C.; Muller, J.; Telefont, M.; Knoll, A.; Lippert, T. The human brain project: Creating a European research infrastructure to decode the human brain. Neuron 2016, 92, 574–581. [Google Scholar] [CrossRef]
- Schirner, M.; Domide, L.; Perdikis, D.; Triebkorn, P.; Stefanovski, L.; Pai, R.; Popa, P.; Valean, B.; Palmer, J.; Langford, C.; et al. Brain Modelling as a Service: The Virtual Brain on EBRAINS. arXiv 2021, arXiv:2102.05888. [Google Scholar] [CrossRef]
- Gleeson, P.; Cantarelli, M.; Marin, B.; Quintana, A.; Earnshaw, M.; Sadeh, S.; Piasini, E.; Birgiolas, J.; Cannon, R.C.; Cayco-Gajic, N.A.; et al. Open Source Brain: A Collaborative Resource for Visualizing, Analyzing, Simulating, and Developing Standardized Models of Neurons and Circuits. Neuron 2019, 103, 395–411.e5. [Google Scholar] [CrossRef] [PubMed]
- Sy, M.F.; Roman, B.; Kerrien, S.; Mendez, D.M.; Genet, H.; Wajerowicz, W.; Dupont, M.; Lavriushev, I.; Machon, J.; Pirman, K.; et al. Blue Brain Nexus: An open, secure, scalable system for knowledge graph management and data-driven science. Semant. Web 2021, 1–31, Pre-press. [Google Scholar] [CrossRef]
- Gao, M.; Wang, Q.; Arafin, M.T.; Lyu, Y.; Qu, G. Approximate computing for low power and security in the internet of things. Computer 2017, 50, 27–34. [Google Scholar] [CrossRef]
- Von Neumann, J. Probabilistic logics and the synthesis of reliable organisms from unreliable components. Autom. Stud. 1956, 34, 43–98. [Google Scholar]
- Moons, B.; Verhelst, M. Energy-Efficiency and Accuracy of Stochastic Computing Circuits in Emerging Technologies. IEEE J. Emerg. Sel. Top. Circuits Syst. 2014, 4, 475–486. [Google Scholar] [CrossRef]
- Li, S.; Glova, A.O.; Hu, X.; Gu, P.; Niu, D.; Malladi, K.T.; Zheng, H.; Brennan, B.; Xie, Y. SCOPE: A Stochastic Computing Engine for DRAM-Based In-Situ Accelerator. In Proceedings of the 2018 51st Annual IEEE/ACM International Symposium on Microarchitecture (MICRO), Fukuoka, Japan, 20–24 October 2018; pp. 696–709. [Google Scholar]
- Ardakani, A.; Leduc-Primeau, F.; Onizawa, N.; Hanyu, T.; Gross, W.J. VLSI implementation of deep neural network using integral stochastic computing. IEEE Trans. Very Large Scale Integr. (VLSI) Syst. 2017, 25, 2688–2699. [Google Scholar] [CrossRef]
- Gaines, B.R. Stochastic computing systems. In Advances in Information Systems Science; Springer: Boston, MA, USA, 1969; pp. 37–172. [Google Scholar]
- Gross, W.J.; Gaudet, V.C. Stochastic Computing: Techniques and Applications; Springer: Berlin/Heidelberg, Germany, 2019. [Google Scholar]
- Toral, S.; Quero, J.; Franquelo, L. Stochastic pulse coded arithmetic. In Proceedings of the 2000 IEEE International Symposium on Circuits and Systems, Geneva, Switzerland, 28–31 May 2000; Volume 1, pp. 599–602. [Google Scholar]
- Marin, S.T.; Reboul, J.Q.; Franquelo, L.G. Digital stochastic realization of complex analog controllers. IEEE Trans. Ind. Electron. 2002, 49, 1101–1109. [Google Scholar] [CrossRef]
- Khanday, F.A.; Akhtar, R. Reversible stochastic computing. Int. J. Numer. Model. Electron. Netw. Devices Fields 2020, 33, e2711. [Google Scholar] [CrossRef]
- Camps, O.; Picos, R.; de Benito, C.; Al Chawa, M.M.; Stavrinides, S.G. Effective accuracy estimation and representation error reduction for stochastic logic operations. In Proceedings of the 2018 7th International Conference on Modern Circuits and Systems Technologies (MOCAST), Thessaloniki, Greece, 7–9 May 2018; pp. 1–4. [Google Scholar]
- Camps, O.; Stavrinides, S.G.; Picos, R. Stochastic computing implementation of chaotic systems. Mathematics 2021, 9, 375. [Google Scholar] [CrossRef]
- Liu, S.; Gross, W.J.; Han, J. Introduction to Dynamic Stochastic Computing. IEEE Circuits Syst. Mag. 2020, 20, 19–33. [Google Scholar] [CrossRef]
- Hindmarsh, J.; Rose, R. A model of the nerve impulse using two first-order differential equations. Nature 1982, 296, 162–164. [Google Scholar] [CrossRef] [PubMed]
- Hindmarsh, J.L.; Rose, R. A model of neuronal bursting using three coupled first order differential equations. Proc. R. Soc. Lond. Ser. Biol. Sci. 1984, 221, 87–102. [Google Scholar]
- Mukae, J.; Totoki, Y.; Suemitsu, H.; Matsuo, T. Parameter and input estimation in Hindmarsh-Rose neuron by adaptive observer. In Proceedings of the 2011 IEEE/SICE International Symposium on System Integration (SII), Kyoto, Japan, 20–22 December 2011; pp. 1090–1095. [Google Scholar] [CrossRef]
- Fradkov, A.L.; Kovalchukov, A.; Andrievsky, B. Parameter Estimation for Hindmarsh–Rose Neurons. Electronics 2022, 11, 885. [Google Scholar] [CrossRef]
- Beyhan, S. Affine TS fuzzy model-based estimation and control of Hindmarsh–Rose neuronal model. IEEE Trans. Syst. Man Cybern. Syst. 2017, 47, 2342–2350. [Google Scholar] [CrossRef]
- Heidarpur, M.; Ahmadi, A.; Kandalaft, N. A digital implementation of 2D Hindmarsh–Rose neuron. Nonlinear Dyn. 2017, 89, 2259–2272. [Google Scholar] [CrossRef]
- Malik, S.; Mir, A.H. Discrete multiplierless implementation of fractional order hindmarsh–rose model. IEEE Trans. Emerg. Top. Comput. Intell. 2020, 5, 792–802. [Google Scholar] [CrossRef]
- Peng, Y.; Jian, Z.; Wang, J. Study on discharge patterns of Hindmarsh-Rose neurons under slow wave current stimulation. In Lecture Notes in Computer Science: Proceedings of the International Conference on Natural Computation, Xi’an, China, 24–28 September 2006; Springer: Berlin/Heidelberg, Germany, 2006; pp. 127–134. [Google Scholar]






| Operation | Implementation | Function Name |
|---|---|---|
| (x + y)/2 | OR(AND(p,x), AND(,y) ) | add(x,y) |
| x*y | XNOR(x,y) | mult(x,y) |
| −x | NOT(x) | neg(x) |
| Real number to SEN | 0 if q > x; 1 otherwise | get_sn(x) |
Publisher’s Note: MDPI stays neutral with regard to jurisdictional claims in published maps and institutional affiliations. |
© 2022 by the authors. Licensee MDPI, Basel, Switzerland. This article is an open access article distributed under the terms and conditions of the Creative Commons Attribution (CC BY) license (https://creativecommons.org/licenses/by/4.0/).
Share and Cite
Camps, O.; Stavrinides, S.G.; de Benito, C.; Picos, R. Implementation of the Hindmarsh–Rose Model Using Stochastic Computing. Mathematics 2022, 10, 4628. https://doi.org/10.3390/math10234628
Camps O, Stavrinides SG, de Benito C, Picos R. Implementation of the Hindmarsh–Rose Model Using Stochastic Computing. Mathematics. 2022; 10(23):4628. https://doi.org/10.3390/math10234628
Chicago/Turabian StyleCamps, Oscar, Stavros G. Stavrinides, Carol de Benito, and Rodrigo Picos. 2022. "Implementation of the Hindmarsh–Rose Model Using Stochastic Computing" Mathematics 10, no. 23: 4628. https://doi.org/10.3390/math10234628
APA StyleCamps, O., Stavrinides, S. G., de Benito, C., & Picos, R. (2022). Implementation of the Hindmarsh–Rose Model Using Stochastic Computing. Mathematics, 10(23), 4628. https://doi.org/10.3390/math10234628

