Stability, Hopf Bifurcation and Optimal Control of Multilingual Rumor-Spreading Model with Isolation Mechanism
Abstract
1. Introduction
2. 2I2SQR Rumor Model without Time-Delay
2.1. Model Formulation
2.2. Existence of Equilibria
- (i).
- If , Equation (4) has a positive solution.
- (ii).
- If , Equation (4) is transformed intoObviously, or if .
- (iii).
- If and , the following results can be easily verified.(1). If , Equation (4) has two positive roots.(2). If , Equation (4) has two equal positive roots .(3). If , Equation (4) has no positive root.
- (i).
- If , Equation (8) has a positive solution.
- (ii).
- If , Equation (8) has a solution or if and only if .
- (iii).
- If and , one of the following three cases holds(1). If , Equation (8) has two positive roots.(2). If , Equation (8) has two identical positive roots .(3). If , Equation (8) does not have a positive root.Case (2). When , it has . We denote
2.3. Stability and Hopf Bifurcation of the Equilibria
3. Optimal Control Model
4. 2I2SQR Rumor Model with Time-Delays
4.1. Model Formulation
4.2. Stability and Hopf Bifurcation of Equilibria
5. Numerical Simulations
5.1. The Stability of Rumor-Free Equilibrium
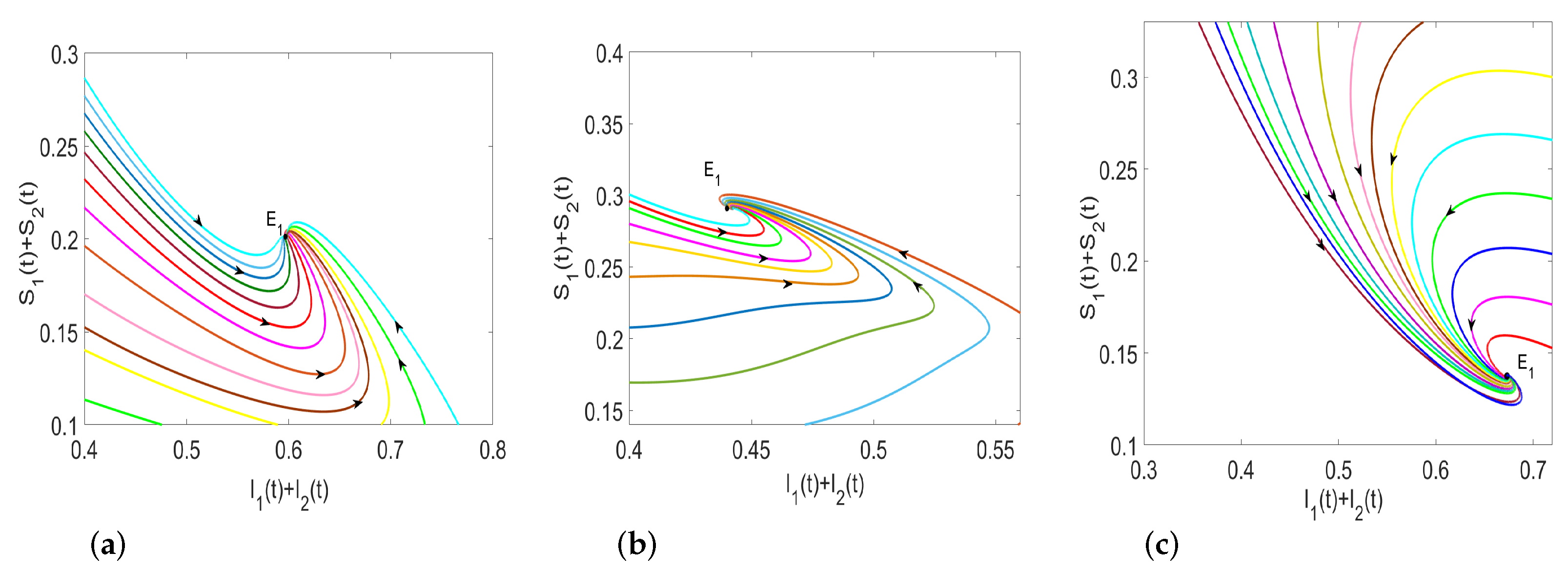
5.2. The Stability of Rumor Equilibrium
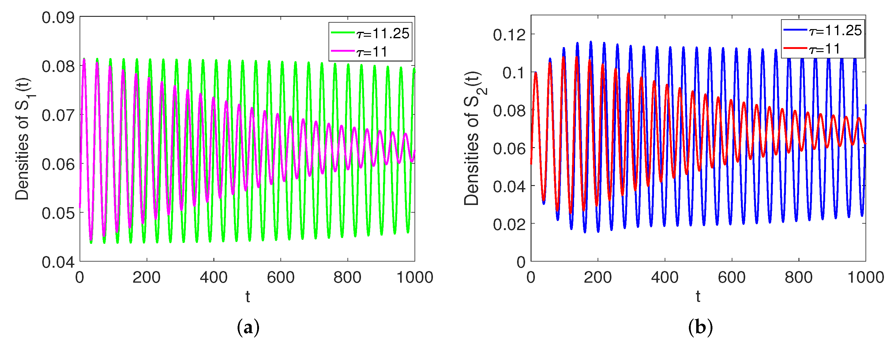
5.3. The Hopf Bifurcation of Rumor Equilibrium
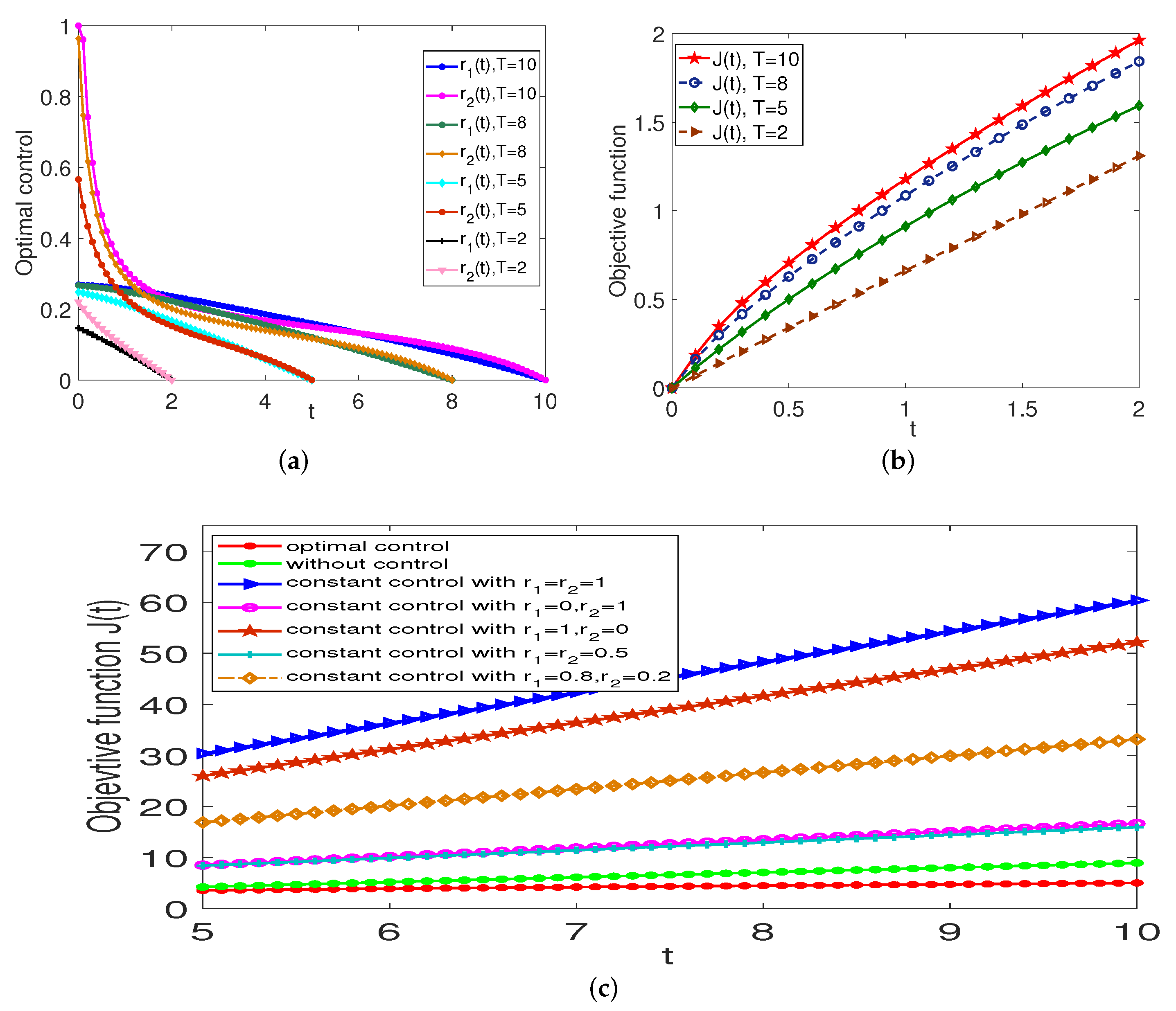
5.4. Feasibility of Optimal Control
6. Conclusions
Author Contributions
Funding
Data Availability Statement
Conflicts of Interest
Abbreviations
| OSNs | online social networks |
| DK | Daley and Kendall |
| MT | Maki and Thompson |
| 2I2SQR model | the model with 2 ignorants, 2 spreaders, quarantined and recovered users |
References
- Doer, B.; Fouz, M.; Friedrich, T. Why rumors spread so quickly in social networks. Commun. ACM 2012, 55, 70–75. [Google Scholar] [CrossRef]
- Centola, D. The spread of behavior in an online social network experiment. Science 2010, 329, 1194–1197. [Google Scholar] [CrossRef] [PubMed]
- Haeupler, B. Simple, fast and deterministic gossip and rumor spreading. J. ACM 2015, 62, 47. [Google Scholar] [CrossRef]
- Chierichetti, F.; Lattanzi, S.; Panconesi, A. Rumor spreading in social networks. Theor. Comput. Sci. 2011, 412, 2601–2610. [Google Scholar] [CrossRef]
- Zhang, Z.; Zhang, Z. An interplay model for rumor spreading and emergency development. Phys. A 2009, 388, 4159–4166. [Google Scholar] [CrossRef]
- Thomas, S. Lies, damn lies, and rumors: An analysis of collective efficacy, rumors, and fear in the wake of Katrina. Sociol. Spectr. 2007, 27, 679–703. [Google Scholar] [CrossRef]
- Daley, D.; Kendall, D. Epidemics and rumours. Nature 1964, 204, 1118. [Google Scholar] [CrossRef]
- Daley, D.; Kendall, D. Stochastic rumours. IMA J. Appl. Math. 1965, 1, 42–55. [Google Scholar] [CrossRef]
- Maki-Thompson, D.P. Mathematical Models and Applications, with Emphasis on Social, Life, and Management Sciences; Pearson College Div: Englewood Cliffs, NJ, USA, 1973; pp. 10–12. [Google Scholar]
- Zanette, D. Criticality behavior of propagation on small-world networks. Phys. Rev. E 2001, 64, 050901. [Google Scholar] [CrossRef]
- Zanette, D. Dynamics of rumor propagation on small-world networks. Phys. Rev. E 2002, 65, 041908. [Google Scholar] [CrossRef]
- Xing, Q.; Zhang, Y.; Liang, Z.; Zhang, F. Dynamics of organizational rumor communication on connecting multi-small-world networks. Chin. Phys. B 2011, 20, 120204. [Google Scholar] [CrossRef]
- Mehrabian, A.; Pourmiri, A. Randomized rumor spreading in poorly connected small-world networks. Random Struct. Algorithms 2014, 8784, 346–360. [Google Scholar]
- Moreno, Y.; Nekovee, M.; Pacheco, A. Dynamic of rumor spreading im complex networks. Phys. Rev. E 2004, 69, 066130. [Google Scholar] [CrossRef] [PubMed]
- Isham, V.; Harden, S.; Nekovee, M. Stchastic epidemics and rumors on finite random network. Phys. A 2010, 389, 561–576. [Google Scholar] [CrossRef]
- Nekovee, M.; Moreno, Y.; Bianconi, G.; Marsili, M. Theory of rumor spreading in complex social networks. Phys. A 2007, 374, 457–470. [Google Scholar] [CrossRef]
- Moreno, Y.; Nekovee, M.; Vespignani, A. Efficiency and reliability of epidemic data dissemination in complex networks. Phys. Rev. E 2004, 69, 055101. [Google Scholar] [CrossRef]
- Trpevski, D.; Tang, W.; Kocarev, L. Model for rumor spreading over network. Phys. Rev. E 2010, 81, 909–912. [Google Scholar] [CrossRef]
- Jia, P.; Wang, C.; Zhang, G.; Ma, J. A rumor spreading model based on two propagation channels in social networks. Phys. A 2019, 524, 342–353. [Google Scholar] [CrossRef]
- Zhang, Y.; Zhu, J. Dynamic behavior of an I2S2R rumor propagation model on weighted contract networks. Phys. A 2019, 536, 120981. [Google Scholar] [CrossRef]
- Han, Q.; Wen, H.; Miao, F. Rumor spreading in interdependent social networks. Peer-to-Peer Netw. Appl. 2018, 11, 955–965. [Google Scholar] [CrossRef]
- Xia, L.; Jiang, G.; Song, B.; Yu, R. Rumor spreading model considering hesitating mechanism in conplex social networks. Phys. A 2015, 437, 295–303. [Google Scholar] [CrossRef]
- Zhao, L.; Xie, W.; Gao, H.; Wang, X.; Zhang, S. A rumor spreading model with variable forgetting rate. Phys. A 2013, 392, 6146–6154. [Google Scholar] [CrossRef]
- Schneider, B. The reference model simpan agent-based modeling of human behavior in panic situations. In Proceedings of the Tenth International Conference on Computer Modeling and Simulation, Cambridge, UK, 1–3 April 2008; pp. 599–604. [Google Scholar]
- Jia, J.; Wu, W. A rumor transmission model with incubation in social networks. Phys. A 2018, 491, 453–462. [Google Scholar] [CrossRef]
- Liu, Q.; Li, T.; Sun, M. The analysis of an SEIR rumor propagation model on heterogeneous network. Phys. A 2017, 469, 372–380. [Google Scholar] [CrossRef]
- Zhao, L.; Cui, H.; Qiu, X.; Wang, X.; Wang, J. SIR rumor spreading model in the new media age. Phys. A 2013, 392, 995–1003. [Google Scholar] [CrossRef]
- Huo, L.; Wang, L.; Song, G. Global stability of a two-mediums rumor spreading model with media coverage. Phys. A 2017, 482, 757–781. [Google Scholar] [CrossRef]
- Zhang, N.; Huang, H.; Su, B.; Zhao, J.; Zhang, B. Dynamic 8-state ICSAR rumor propagation model considering official rumor refutation. Phys. A 2014, 415, 333–346. [Google Scholar] [CrossRef]
- Chen, J.; Song, Q.; Zhou, Z. Agent-based simulation of rumor propagation on social network based on active immune mechanism. J. Syst. Sci. Inf. 2017, 5, 571–584. [Google Scholar] [CrossRef]
- Afassinou, K. Analysis of the impact of education rate on the rumor spreading mechanism. Phys. A 2014, 414, 43–52. [Google Scholar] [CrossRef]
- Jain, A.; Dhar, J.; Gupta, V. Rumor model on homogeneous social network incorporating delay in expert intervention and government action. Commun. Nonlinear Sci. Numer. Simul. 2020, 84, 105189. [Google Scholar] [CrossRef]
- Ding, L.; Hu, P.; Guan, Z.; Li, T. An efficient hybrid control strategy for restraining rumor spreading. IEEE Trans. Syst. Man Cybern. Syst. 2021, 51, 6779–6791. [Google Scholar] [CrossRef]
- Zhu, L.; Wang, B. Stability analysis of a SAIR rumor spreading model with control strategies in onlinear social network. Inf. Sci. 2020, 526, 1–19. [Google Scholar] [CrossRef]
- Zhu, L.; Liu, W.; Zhang, Z. Delay differential equations modeling of rumor propagation in both homogeneous and heterogeneous networks with a forced silence function. Appl. Math. Comput. 2020, 370, 124925. [Google Scholar] [CrossRef]
- Li, J.; Jiang, H.; Yu, Z.; Hu, C. Dynamical analysis of rumor spreading model in homogeneous complex networks. Appl. Math. Comput. 2019, 359, 374–385. [Google Scholar] [CrossRef]
- Wang, J.; Jiang, H.; Ma, T.; Hu, C. Global dynamics of the multi-lingual SIR rumor spreading model with cross-transmitted mechanism. Chaos Solitons Fractals 2019, 126, 148–157. [Google Scholar] [CrossRef]
- Li, J.; Jiang, H.; Mei, X.; Hu, C.; Zhang, G. Dynamical analysis of rumor spreading model in multi-lingual environment and heterogeneous complex networks. Inf. Sci. 2020, 536, 391–408. [Google Scholar] [CrossRef]
- Yu, S.; Yu, Z.; Jiang, H.; Mei, X.; Li, J. The spread and control of rumors in a multilingual environment. Nonlinear Dyn. 2020, 100, 2933–2951. [Google Scholar] [CrossRef]
- Chen, F. On a nonlinear nonautonomous predator-prey model with diffusion and distributed delay. J. Comput. Appl. Math. 2005, 180, 33–49. [Google Scholar] [CrossRef]
- Grass, D.; Vienna, A.; Caulkins, J.; Feichtinger, G.; Tragler, G. Optimal Control of Nonlinear Processes; Springer: Berlin, Germany, 2008. [Google Scholar]




















| Parameters | Set 1 | Set 2 | Set 3 | Set 4 | Set 5 | Set 6 | Set 7 |
|---|---|---|---|---|---|---|---|
| 0.1 | 0.11 | 0.11 | 0.11 | 0.09 | 0.03 | 0.1 | |
| 0.1 | 0.1 | 0.1 | 0.1 | 0.13 | 0.18 | 0.1 | |
| 0.27 | 0.25 | 0.25 | 0.23 | 0.2 | 0.32 | 0.23 | |
| 0.26 | 0.14 | 0.25 | 0.15 | 0.25 | 0.25 | 0.15 | |
| 0.01 | 0.01 | 0.01 | 0.01 | 0.01 | 0.01 | 0.01 | |
| 0.3 | 0.01 | 0.01 | 0.01 | 0.01 | 0.3 | 0.01 | |
| 0.13 | 0.13 | 0.13 | 0.13 | 0.24 | 0.08 | 0.13 | |
| 0.12 | 0.15 | 0.15 | 0.14 | 0.15 | 0.08 | 0.14 | |
| c | 0.1 | 0.1 | 0.1 | 0.1 | 0.1 | 0.1 | 0.1 |
| 0.003 | 0.52 | 0.52 | 0.41 | 0.5 | 0.58 | 0.5 | |
| 0.0028 | 0.51 | 0.51 | 0.4 | 0.52 | 0.5 | 0.5 | |
| 0.001 | 0.02 | 0.02 | 0.05 | 0.1 | 0.1 | 0.06 | |
| 0.001 | 0.05 | 0.03 | 0.05 | 0.08 | 0.0005 | 0.06 | |
| d | 0.2 | 0.21 | 0.21 | 0.21 | 0.21 | 0.21 | 0.2 |
| 0.08 | 0.03 | 0.03 | 0.08 | 0.05 | 0.08 | 0.08 | |
| 3.5 | 7 | 7 | 7 | 7 | 3.5 | 7 |
Publisher’s Note: MDPI stays neutral with regard to jurisdictional claims in published maps and institutional affiliations. |
© 2022 by the authors. Licensee MDPI, Basel, Switzerland. This article is an open access article distributed under the terms and conditions of the Creative Commons Attribution (CC BY) license (https://creativecommons.org/licenses/by/4.0/).
Share and Cite
Yu, S.; Yu, Z.; Jiang, H. Stability, Hopf Bifurcation and Optimal Control of Multilingual Rumor-Spreading Model with Isolation Mechanism. Mathematics 2022, 10, 4556. https://doi.org/10.3390/math10234556
Yu S, Yu Z, Jiang H. Stability, Hopf Bifurcation and Optimal Control of Multilingual Rumor-Spreading Model with Isolation Mechanism. Mathematics. 2022; 10(23):4556. https://doi.org/10.3390/math10234556
Chicago/Turabian StyleYu, Shuzhen, Zhiyong Yu, and Haijun Jiang. 2022. "Stability, Hopf Bifurcation and Optimal Control of Multilingual Rumor-Spreading Model with Isolation Mechanism" Mathematics 10, no. 23: 4556. https://doi.org/10.3390/math10234556
APA StyleYu, S., Yu, Z., & Jiang, H. (2022). Stability, Hopf Bifurcation and Optimal Control of Multilingual Rumor-Spreading Model with Isolation Mechanism. Mathematics, 10(23), 4556. https://doi.org/10.3390/math10234556

