Next Article in Journal
Study of Fractional Differential Equations Emerging in the Theory of Chemical Graphs: A Robust Approach
Next Article in Special Issue
Preface to the Special Issue on “Identification, Knowledge Engineering and Digital Modeling for Adaptive and Intelligent Control”—Special Issue Book
Previous Article in Journal
A Finite Volume Method to Solve the Ill-Posed Elliptic Problems
Previous Article in Special Issue
Identification of Quadratic Volterra Polynomials in the “Input–Output” Models of Nonlinear Systems
 
 
Font Type:
Arial Georgia Verdana
Font Size:
Aa Aa Aa
Line Spacing:
Column Width:
Background:
Article

Choice of Regularization Methods in Experiment Processing: Solving Inverse Problems of Thermal Conductivity

by
Alexander Sokolov
1,* and
Irina Nikulina
2
1
Institute for Information Transmission Problem (Kharkevitch Insitute) RAS, Bolshoy Karetny per. 19, Build.1, Moscow 127051, Russia
2
V. A. Trapeznikov Institute of Control Sciences of RAS, 65 Profsoyuznaya Street, Moscow 117997, Russia
*
Author to whom correspondence should be addressed.
Mathematics 2022, 10(22), 4221; https://doi.org/10.3390/math10224221
Submission received: 15 September 2022 / Revised: 23 October 2022 / Accepted: 8 November 2022 / Published: 11 November 2022

Abstract

:
This work is aimed at numerical studies of inverse problems of experiment processing (identification of unknown parameters of mathematical models from experimental data) based on the balanced identification technology. Such problems are inverse in their nature and often turn out to be ill-posed. To solve them, various regularization methods are used, which differ in regularizing additions and methods for choosing the values of the regularization parameters. Balanced identification technology uses the cross-validation root-mean-square error to select the values of the regularization parameters. Its minimization leads to an optimally balanced solution, and the obtained value is used as a quantitative criterion for the correspondence of the model and the regularization method to the data. The approach is illustrated by the problem of identifying the heat-conduction coefficient on temperature. A mixed one-dimensional nonlinear heat conduction problem was chosen as a model. The one-dimensional problem was chosen based on the convenience of the graphical presentation of the results. The experimental data are synthetic data obtained on the basis of a known exact solution with added random errors. In total, nine problems (some original) were considered, differing in data sets and criteria for choosing solutions. This is the first time such a comprehensive study with error analysis has been carried out. Various estimates of the modeling errors are given and show a good agreement with the characteristics of the synthetic data errors. The effectiveness of the technology is confirmed by comparing numerical solutions with exact ones.

1. Introduction

The experiment preparation and processing of the results involve an extensive use of mathematical models of the objects under study. To save costs, they must be carefully planned: one should determine what, when, where and with what accuracy is to be measured to estimate the sought parameters with the given accuracy. These questions can be answered by “rehearsing” the experiment and its processing on a mathematical model simulating the behavior of the object.
Usually, the purpose of an experiment is to evaluate some of the object’s parameters. In the case of an indirect experiment, some parameters are measured, while others are to be evaluated. The relationship between the parameters can be described by complex mathematical models. The formalization of this approach leads to identification problems that are by their nature inverse. Those problems often turn out to be ill-posed, and specific approaches using regularization methods are required for the solution [1]. One of the problems with regularization methods is the choice of regularization weights (penalties): weights that are too large lead to unreasonable simplification (and distortion) of the model, and those that are too small lead to overtraining, an excessive fitting of the model’s trajectory to experimental data. In the balanced identification method [2], the choice of regularization weights is carried out by minimizing the cross-validation error. This makes it possible to find a balanced solution that implements the optimal (in the sense of minimizing the cross-validation error) compromise between the proximity of the model to the data and the simplicity of the model [3], formalized in a regularizing additive.
Usually, for each specific identification problem (see examples of modeling pollutants moving in the river corridor [4], parameter identification in nonlinear mechanical systems [5], identification of conductivity coefficient in heat equation [6,7,8]), a separate special study is carried out, including goal setting, mathematical formalization of the problem, its study, creating a numerical model, preparing a computer program, solving a numerical problem and studying the results, including error estimation, etc.
However, such problems have much in common: the mathematical model description, assignment of operators linking measurements with model variables, formalization of the solution selection criterion, program preparation, error estimation, etc. Additionally, the abundance of similar tasks invariably necessitates a technology that summarizes the accumulated experience.
Balanced Identification Technology or SvF (Simplicity versus Fitting) technology is a step in this direction.
Here is the general “human–computer” scheme of the SvF technology, which implements the balanced identification method (a more detailed description of the technical issues of the technology implementation and the corresponding flowchart can be found in [2]). At the user level, an expert (with knowledge about the object under study) prepares data files and a task file. The data files contain tables with experimental data (as plain text or in MS Excel or MS Access formats). The task file usually contains the data file names, a mathematical description of the object (formalization of the model in a notation close to mathematical, see Appendix A), including a list of unknown parameters, as well as specifications of the cross-validation procedure (CV). These files are transferred to the client program, which replaces the variational problems with discrete ones, creates various sets (training and testing) for the CV procedure, formulates a number of NLP (nonlinear mathematical programming) problems and writes (formalizes) them in the Pyomo package language [9]. The constructed data structures are transferred to a two-level optimization routine that implements an iterative numerical search for unknown model parameters and regularization coefficients to minimize the error of cross-validation. This subroutine can use the parallel solution of mathematical programming problems in a distributed environment of Everest optimization services [10], namely SSOP applications [11]. The Pyomo package converts the NLP description into so-called NL files, which are processed at the server level by special Ipopt solvers [12]. The solutions are then collected and sent back to the client level and subsequently analyzed (for example, complete iterative process conditions are checked). If the iterative process is completed, the program prepares the results (calculates errors, creates solution files, draws graphs of the functions found) and presents them to the researcher (who may not know about the long chain of the tasks preceding the result).
The experts then utilize the results (especially the values of modeling errors–root-mean-square errors of cross validation) for choosing a new (or modified) model or deciding to cease calculations.
The software package together with examples (including some examples of this article) is freely available online (file SvF-2021-11.zip in the Git repository https://github.com/distcomp/SvF, accessed on 1 September 2022).
SvF technology has been successfully applied in various scientific fields (mechanics, plasma physics, biology, plant physiology, epidemiology, meteorology, atmospheric pollution transfer, etc., and a more detailed enumeration can be found in [2]) as an inverse problem solving method. In these studies, the main attention was paid to the construction of object models using specific regularization methods. This article, in contrast, focuses on the study of the regularization methods themselves, and the problem of heat conduction is chosen as a convenient example.
The problem of thermal conductivity is chosen to illustrate the technology. This is a classic problem in mathematical physics. It is well studied, and the one-dimensionality allows you to present the results in the form of graphs. Literature reviews can be found in [7,8]. The main task is to find the dependence of the thermal conductivity coefficient on temperature based on an array of experimental data. In total, nine problems were considered, differing in data sets and criteria for choosing solutions. Some of them are original. This is the first time such a comprehensive study with error analysis has been carried out. Various estimates of the modeling errors are given and turn out to be in good agreement with the characteristics of the synthetic data errors.

2. Mixed One-Dimensional Thermal Conductivity Problem

Let us denote M = 0 a set of mathematical statements defining the investigated model of thermal conductivity:
M = 0 :     x 0 , 2 ,   t 0 , 5 T t = x K T T x T x , 0 = φ x         T 0 , t = l t             T 2 , t = r t          
where x and t are the spatial and temporal coordinates, T(x,t) is the temperature, K(T) is the (temperature-dependent) thermal conductivity coefficient, φ(t) is the initial condition, l(t) and r(t) are the left and right boundary conditions.
In what follows, all functions in various (non-difference) statements are considered twice continuously differentiable.
Remark. The formulas in (1) actually coincide with the records (descriptions of the model) in the text of the task file (a set of instructions for obtaining a numerical solution) given in Appendix A.
When conducting numerical experiments, the exact solution of the mathematical model (1)
T s x , t = 200 t + 1 x + 1 2 + t + 1 2 K s T = 100 T φ s x = 200 x + 1 2 + 1   l s t = 200 t + 1 1 + t + 1 2 r s t = 200 t + 1 9 + t + 1 2
is used for the generation of pseudo-experimental data sets (observations) and for comparison with the numerical solution (calculation of errors).
In the notation of the functions of the exact solution, ‘s’ is used (short for solution). The functions of the exact solution are shown in Figure 1.

3. Data Sets

Formalizing the concept of a data set (observations or measurements set):
D :       x i , t i , T i , ,   i I ,     I = 0 . . i m a x ,
where Ti is the temperature measurement at point xi at time ti.
For vectors of dimension ǀDǀ, introduce the notation
a i D = a D = 1 D i I a i 2
Below, for numerical experiments, pseudo-experimental data are used, prepared on the basis of the exact solution (2) using pseudo-random number generators. The prepared 4 data sets were chosen as the most illustrative.
A basic data set was generated on a regular 11 × 11 grid (11 points in space 0, 0.2, 0.4 …, 2 and 11 points in time 0, 0.5, 1, … 5)
D _ r e g 11 x 11 :       x i = n * 0.2 ,     t i = j * 0.5 ,     T i = T s x i , t i + ε i ,  
i = 11 * j + n ,     n = 0..10 ,     j = 0..10 ,
where Ts(xi,ti) are the values of the exact solution, εi is the random error with variance
σ d = | | ε | | D .
To generate εi, a normal distribution random number generator (gauss (0.2)) with zero mean and variance equal to 2 (degrees) was used. As a result, the distribution εi was obtained with average md = −0.10 (degrees) and variance σd = 2.06 (degrees). These characteristics of errors are not used in calculations but are taken into account when considering the results.
By analogy, we introduce a data set of exact measurements:
D_reg11x11(ε = 0)
with zero errors εi = 0.
Let us define a data set containing 121 points randomly distributed on the x,t plane:
D _ r n d 121 :       x i = u n i f o r m 0 ,   2 , t i = u n i f o r m 0 ,   5 , T i = T s x i , t i + ε i ,   j = 0 .. 121 .
To do this, use uniform(a, b)—a generator of random numbers uniformly distributed over the interval (a,b). The obtained characteristics of the normal distribution of temperature measurements are: md = −0.19 (degrees) and σd = 2.14 (degrees).
Finally, let us define a data set containing 1000 points, distributed in a random way:
D _ r n d 1000 :       x i = u n i f o r m 0 ,   2 , t i = u n i f o r m 0 ,   5 , T i = T s x i , t i + ε i ,   j = 0..1000 ,
with the characteristics of the normal distribution of temperature measurements: md = −0.02 (degrees) and σd = 2.01 (degrees).
The location of the measurement points of the D_reg11x11, D_rnd121 and D_rnd1000 sets on the x, t plane can be seen in Figure 2.
The data set files can be found in file SvF-2021-11.zip in the Git repository https://github.com/distcomp/SvF (accessed on 1 September 2022).

4. Method of Balanced Identification

The general problem is finding a function T(x,t) (and other functions of model (1)) that approximates the data set D and, possibly, satisfies additional conditions (for example, the heat equation). To formalize it, we define an objective function (or selection criterion), which is a weighted sum of two terms: one formalizing the concept of the proximity of the model trajectory to the corresponding observations, the other formalizing the concept of the complexity of the model, expressed in this case through the measure of curvature included in the statement of functions.
Let us introduce a measure of the proximity of the trajectory of the model to measurements (data set D) or the approximation error:
M S D D , T = 1 D i I T i T x i , t i 2 = T i T x i , t i D 2 ,
where D is the number of elements of the set D,
and a measure of curvature (complexity) of functions of one variable
C u r v f x , α = α a b f x 2 d x   ,
where [a, b] is the domain of the function f(x), and two variables
C u r v f x , y , α x , α y = x m i n x m a x y m i n y m a x ( α x 2 f x x 2 + 2 α x α y f x y 2 + α y 2 f y y 2 ) d x d y .
The objective function is a combination of the measures introduced above. Let us give, as an example, the objective function
O b j T , D , α x , α t = M S D D , T + C u r v T x , y , α x , α t .
The second term is the regularizing addition that makes the problem (of the search for a continuous function) correct. The choice of its value determines the quality of the solution. Figure 2 shows two unsuccessful options (A—weights that are too large, C—too small) and one successful (B—optimal weights chosen to minimize the cross-validation error).
Hereinafter, the following designations are used:
  • rmsd = ‖ Ti – T(xi,ti) ‖D – the standard deviation of the solution from the measurements;
  • rmsd* – standard deviation of the balanced solution from measurements;
  • Err(x,t) = T(x,t) − Ts(x,t) – deviation of the solution from the exact solution;
  • Δ = ‖ Err(xi,ti) ‖D – the standard deviation of the SvF solution from the exact solution;
  • Δ* – estimation of Δ;
  • σ c v = T i T α i x i , t i D – error (mean square error) of cross-validation,
where T α i x i , t i is the solution obtained by minimizing the objective functional for given α on the set D without point (xi,ti). A more detailed (and more general) description of the cross-validation procedure can be found in [2].
An optimally balanced SvF solution is obtained by minimizing the cross-validation error by regularization coefficients (α):
σ c v * = min α T i T α i x i , t i D
As a justification for using the minimization of σcv to choose a model (regularization weights), we present the following reasoning (here (·i) stands for (xi,ti)):
σ c v 2 = 1 D i I T i T α i · i 2 = 1 D i I T i T s · i T α i · i T s · i 2
σ c v 2 = 1 D i I ε i 2 2 D i I ε i · T α i · i T s · i + 1 D i I T α i · i T s · i 2
The second term represents the sum of the products of random variables εi by an expression in parentheses, with the value of εi excluded from the calculation (point i was removed from the data set). It is expected to tend to zero with an increase of the observations’ number. Similarly, with an increase of the observations’ number (everywhere dense in space (x,t)), the third term tends to Δ2, since T α i · i T · i . As a result, we obtain the estimate
σ cv 2   σ D 2 + Δ 2 .
Thus, cross-validation error minimizing leads (if a number of observations go to infinity) to minimizing the deviation of the solution found from the (unknown) exact solution. To assess such a deviation, introduce the designation:
Δ * = σ c v * 2 σ D 2 .  
Remark. The payment for the problem regularization, as a rule, is the distortion of the solution. Moreover, the greater the weight of the regularization, the greater the distortion. In the case under consideration, the distortion consists in “straightening” the solution. The extreme case of “straightening” is shown in Figure 2A.

5. Various Identification Problems and Their Numerical Solution

Nine different identification tasks are discussed below. They differ in choices of data sets, minimization criteria (various regularizing additives) and additional conditions. For example, in Problem 5.1 MSD(D_reg11x11) + Curv(T):M = 0, the minimization criterion is used:
T , K , φ , l , r = A r g m i n T , K , φ , l , r M S D D r e g 11 x 6 , T + C u r v T , α x , α t : M = 0 ,
which means for the given regularization weights αxt and a given data set D_reg11x11, find a set of functions (T, K, φ, l, r) that minimizes the functional MSD(D_reg11x11,T) + Curv(T,αxt), and the sought functions must satisfy the equations of the model M = 0. This criterion is used to minimize the error of cross-validation, which makes it possible to find the regularization weights and the corresponding balanced SvF solution (T, K, φ, l, r).
To reduce the size of the formulas, a more compact notation for the selection criterion is used:
MSD(D_reg11x11,T) + Curv(T,αxy) → min:(M = 0).
The same notation will be used for the other problems.
The mathematical study of the variational problems is not the subject of the article. Note that even the original inverse problems of this type can have a non-unique solution, in particular, there are different heat conductivity coefficients leading to the same solution T(x,t) [7,8]. Only Problem 5.0 (a spline approximation problem) is known to have a unique solution under rather simple conditions [13].
To find approximate solutions, we will use numerical models, which are obtained from analytical ones by replacing arbitrary mathematical functions with functions specified on the grid or polynomials (only for K(T)), derivatives with their difference analogs, integrals with the sums. Note that the grid used for the numerical model (41 points in x with a step equal to 0.05 and 21 points in t with a step equal to 0.25) is not tied to the measurement points in any way. For simplicity (and stability of calculations), an implicit four-point scheme was chosen [14]. The choice of scheme requires a separate study and is not carried out here. However, apparently, the optimization algorithm used for solving the problem as a whole (residual minimization) makes it possible to avoid a number of problems associated with the stability of calculations.
For the graphs of the exact solution, blue lines will be used, and for the SvF solution, red.
5.0. Problem MSD(D_reg11x11) + Curv(T)
Generally speaking, this simplest problem has nothing to do with the heat equation (therefore, its number is 0). It consists of finding a compromise between the proximity of the surface T(x,t) to observations and its complexity (expressed in terms of the curvature T(x,t)) based on the minimization functional:
MSD(D_reg11x11,T) + Curv(T,αxy) → min
The results of the numerical solution of the identification problem are shown in Figure 3. The estimates obtained (resulting errors)
σ c v *   2.38 ,   rmsd * = 1.44 ,   Δ * = 1.19  
are benchmarks for assessing the errors of further problems.
5.1. Problem MSD(D_reg11x11) + Curv(T): M = 0
Now, the identification problem is related to the heat conduction equation. It consists of minimizing the cross-validation error, provided that the solution sought satisfies the thermal conductivity equation (M = 0), based on the criterion:
MSD(D_reg11x11,T) + Curv(T,αxy) → min:(M = 0)
The results are shown in Figure 4.
Errors: σ c v *  = 2.24, rmsd* = 1.58, Δ* = 0.86.
5.2. Problem MSD(D_reg11x11) + Curv(T): M = 0, l = ls, r = rs
Two additional conditions l = ls, r = rs mean that the SvF solution must coincide with the exact one on the boundaries:
MSD(D_reg11x11,T) + Curv(T,αxy) → min:(M = 0, l = ls, r = rs)
Here and below, the figures show not the entire set of functions, but only the essential ones (the rest do not change much). The results are shown in Figure 5.
Errors: σ c v * = 2.15, rmsd* = 1.86, Δ* = 0.61.
5.3. Problem MSD(D_reg11x11) + Curv(T): M = 0, l = ls, r = rs, φ = φs
Suppose that the initial condition is also known:
MSD(D_reg11x11,T) + Curv(T,αxy) → min:(M = 0, l = ls, r = rs, φ = φs)
Some results are shown in Figure 6.
Errors: σ c v *  = 2.06, rmsd* = 2.01, Δ* = 0.49.
5.4. Problem MSD(D_reg11x11) + Curv(φ) + Curv(l) + Curv(r) + Curv(K):M = 0
The problem differs from Problem 5.1 by the penalties of four functions φ, l, r and K, that determine the solution, replacing the penalty for the curvature of the solution T(x,t):
MSD(D_reg11x11,T) + Curv(φ,α1) + Curv(l,α2) + Curv(r,α3) + Curv(K,α4) → min:(M = 0).
The formulation seems to be more consistent with the physics of the phenomenon—regularization occurs at the level of functions that determine the solution, and not at the solution itself.
Errors: σ c v * = 2.22, rmsd* = 1.82, Δ* = 0.83.
Attention should be paid to the incorrect behavior of the thermal conductivity coefficient near the right border of the graph in Figure 7K.
5.5. Problem MSD(D_reg11x11) + Curv(φ) +Curv(l) + Curv(r) + Curv(K): M = 0, dK/dT <= 0
Let it be additionally known that the thermal conductivity does not increase with increasing temperature dK/dT <= 0:
MSD(D_reg11x11,T) + Curv(φ,α1) + Curv(l,α2) + Curv(r,α3) + Curv(K,α4) → min:(M =0, dK/dT <= 0)
This is an attempt to correct the solution by adding to the formulation of the minimization problem an additional condition formalizing a priori knowledge of the behavior of the coefficient K(T) (see Figure 7K and Figure 8K).
Errors: σ c v *  = 2.23, rmsd* = 1.80, Δ* = 0.85.
5.6. Problem MSD(D_rnd121) + Curv(T): M = 0, l = ls, r = rs, φ = φs
The problem is similar to Problem 5.3, except the data set consists of 121 points on an irregular grid:
MSD(D_rnd121,T) + Curv(T,αxy) → min:(M = 0, l = ls, r = rs, φ = φs)
Some results are shown in Figure 9.
Errors: σ c v * = 2.13, rmsd* = 2.05, Δ* = 0.39.
5.7. Problem MSD(D_rnd1000) + Curv(T): M = 0, l = ls, r = rs , φ = φs
The problem is similar to problem 5.6, except the data set consists of 1000 points:
MSD(D_rnd1000,T) + Curv(T,αxy) → min:(M = 0, l = ls, r = rs, φ = φs)
The results are shown in Figure 10.
Errors: σ c v * = 2.02, rmsd* = 2.01, Δ* = 0.15.
5.8. Problem MSD(D_reg11x11(ε = 0)) + Curv(φ) + Curv(l) + Curv(r) + Curv(K):M = 0
The problem is similar to Problem 5.4, but with a set of exact measurements (εi = 0):
MSD(D_reg11x11(ε=0)),T) + Curv(φ,α1) + Curv(l,α2) + Curv(r,α3) + Curv(K,α4) → min:(M = 0).
Some results are shown in Figure 11.
Errors: σ c v * = 0.06, rmsd* = 0.004, Δ* = 0.
The graphs of the boundary and initial conditions are not shown, since the SvF solutions actually coincide with the exact one.

6. Discussion

The errors obtained during problem solving are summarized in Table 1. Analyzing the table allowed us to identify some of the patterns that appeared during problem modification.
Lines 0–3. Lines 0–3 of Table 1 show some patterns of successive model modifications. As expected, adding the “correct” additional conditions leads to a more accurate (see column Δ) modification of the model. These conditions reduce the set of feasible solutions of the optimization problem, while adding “correct” conditions cuts off unnecessary (non-essential) parts from it. In the technology used, this leads to a decrease in the σ c v * cross-validation error.
The growth of the rmsd* error seems paradoxical: the more accurate the model, the greater its root mean square deviation from observations. However, it is easy to explain. First of all, rmsd* is within the error limits of the initial data σd. Second, the better the model, the closer it is to the exact solution, and for the exact solution rmsd = σd. Of course, if regularization penalties that are too large are chosen, the solution will be distorted so that rmsd will be greater than σd. This situation is shown in Figure 2A.
During modification, every subsequent model (from 0 to 3) is a follow up of the previous one. Previously found solutions are used as initial approximations, which allows us to find solutions faster as well as avoid poorly interpreted solutions.
Lines 4–5. The problems considered differ from Problem 5.1 by the selection criterion: instead of the solution T, the functions φ, l, r, and K (defining the solution) are used for regularization. This formulation seems to be more consistent with the physics of the phenomenon—a penalty imposed on the original functions determining the dynamics of the process, and not on their consequence (solution). The estimates of the cross-validation error (σcv) obtained are similar to Problem 5.1 but with smaller deviation from the exact solution Δ. The decrease in deviation may be associated with a special case of generated errors. The issue requires further research.
In Problem 5.4, the obtained solution of the thermal conductivity coefficient K (T) (see Figure 7K) rises sharply to the right border. Suppose it is known in advance that the coefficient is not to increase. This knowledge can be easily added to the model as an additional condition (dK/dT <= 0). As a result (Problem 5.5), K(T) changed (see Figure 8K). At the same time, the accuracy indicators (line 5) practically stayed unchanged, which indicates that such an additional condition does not contradict the model and observations.
Line 6. Problem similar to Problem 5.3 but with a data set with a random arrangement of observations in space and time. The same number of observations leads to the same error estimates but the deviation from the exact solution is noticeably smaller. The use of such data sets should be carefully considered.
Line 7. Increasing the number of observations to 1000 significantly improves the accuracy of the solution.
Line 8. Using a data set with precise measurements allows us to get a close-to-exact solution.
General notes. The Δ* estimate generally describes Δ (the standard deviation of the SvF solution from the exact one) well enough. Note, that the data error σd (usually unknown) is used for the calculations.
Figure 4Err, Figure 6Err, Figure 8Err, Figure 9T and Figure 10Err show how the regularization distorts the solution. As expected, distortions are mainly observed in regions with high curvature (large values of the squares of the second derivatives).
It is easy to see that almost for all problems (except problem 5.8), the following inequalities hold:
σ cv * σ d rmsd * .
It appears to be true when the model used, the regularization method, and the chosen cross-validation procedure are consistent with the data used and the physics of the phenomenon. At least, if the wrong model is chosen for describing the data (an incorrect mathematical description or too severe a regularization penalty), then the right-hand side of the inequality does not hold. If the errors in setting the data are not random (for example, space position related) or the cross-validation procedure is chosen incorrectly, the left side of the inequality will be violated. Thus, the violation of the inequality above is a sign of something going wrong.

7. Conclusions

The problems (and their solution) considered in the article illustrate the effectiveness of the application of regularization methods and, in particular, the use of balanced identification technology.
The results above confirm the thesis: the more data, the higher the accuracy, and the more knowledge about the object, the more complex and accurate models can be constructed. The technology used allows us to organize the evolutionary process of building models, from simple to complex. In this case, the indicator determining “the winner in the competitive struggle of models” is the error of cross-validation—reducing the error is a big argument in favor of this model.
In addition, this gradual (evolutionary) modification is highly desirable as the formulations under consideration are complex two-level (possibly multi-extreme) optimization problems and their solution requires significant resources. Thus, finding a solution without a “plausible” initial approximation would require computational resources that are too large and, in addition, one cannot be sure that the solution found (one of the local minima of the optimization problem) will have a subject interpretation that satisfies the researcher.
This step-by-step complication of the problem, together with specific techniques such as doubling the number of grid nodes, can significantly save computational resources. All of this work’s results were obtained on a modern laptop (CORE i5 processor) within a reasonable time (up to 1 h). The two-level optimization problem, which in this case allows parallelization, consumes the majority of the resources. Tools for the solution of more complex resource-intensive tasks exist for high-performance multiprocessor complexes [10,11].
As for computing resources, SvF technology is resource intensive. This is justified as it is aimed at saving the researcher’s time.
Appendix A contains a listing of the task file. The notation used is close to the mathematical one—a formal description of the model for calculations practically coincides with the formulas of the model (1). This allows for an easy model modification (no “manual” program code rewriting). For example, to take into account the heat flux at the border, a corresponding condition defining the derivative at the border has to be added to the task file.
Let us take a look at unsolved problems and possible solutions.
One problem is possible local minima. However, there are special solvers designed to search for global extrema, for example, SCIP [15] (source codes are available) which implements the branch-and-bound algorithm, including global optimization problems with continuous variables. Perhaps, if a previously found solution is used as an initial approximation, a confirmation that the found minimum is global might be obtained in a reasonable time.
Finally, the paper considers various errors’ estimates of solution T(x,t) only and not the other functions’ identification accuracy. The evaluation of the accuracy of determining the thermal conductivity coefficient is particularly interesting. Another problem is the formalization of errors that arise when replacing a real physical object with a mathematical model and real observations with a measurement error model. In the future, these issues should be researched.

Author Contributions

Conceptualization, A.S.; methodology, A.S.; software, A.S. and I.N.; validation, A.S. and I.N.; formal analysis, A.S. and I.N.; investigation, A.S. and I.N.; resources, A.S. and I.N.; data curation, A.S. and I.N.; writing—original draft preparation, A.S. and I.N.; writing—review and editing, A.S.; visualization, A.S. and I.N.; supervision, A.S. and I.N.; project administration, A.S. and I.N.; funding acquisition, A.S. All authors have read and agreed to the published version of the manuscript.

Funding

This work was supported by the Russian Science Foundation under grant no. 22-11-00317, https://rscf.ru/project/22-11-00317/, accessed on 1 November 2022. This work has been carried out using computing resources of the federal collective usage center Complex for Simulation and Data Processing for Megascience Facilities at NRC “Kurchatov Institute”.

Institutional Review Board Statement

Not applicable.

Informed Consent Statement

Not applicable.

Data Availability Statement

The software package together with a task file (MSD(D_reg11x11) + Curv(T):M = 0.odt) is freely available online in the Git repository https://github.com/distcomp/SvF, accessed on 1 November 2022 (file SvF-2021-11.zip).

Conflicts of Interest

The authors declare no conflict of interest. The funders had no role in the design of the study; in the collection, analyses, or interpretation of data; in the writing of the manuscript; or in the decision to publish the results.

Appendix A. Task File Sample

The software package together with the considered task file (MSD(D_reg11x11) + Curv(T):M = 0.odt) is freely available online in the Git repository https://github.com/distcomp/SvF, accessed on 1 November 2022 (file SvF-2021-11.zip) (accessed on 1 September 2022).
Format: .odt-Open/Libre Office.
The file contains a complete formal description of Problem 5.1 (identification of unknown functions of the mathematical model MSD(D_reg11x11) + Curv(T):M = 0 and a number of service instructions required for a numerical solution based on the balanced identification technology.
The first line (see Figure A1) specifies the maximum number of iterations, the second specifies the difference scheme, the third specifies the data source (data set), and the fourth specifies the cross-validation procedure parameters. The following describes the mathematical model: Set: defines the sets, Var: defines unknown variables—functions to be identified, EQ: equations of the mathematical model, Obj: objective function (selection criterion). Note that the first equation was made in the formula editor (Tex notation). A different, less visual encoding of formulas (commented out line, marked with a # symbol) can be used instead.
Figure A1. Listing of the example task file.
Figure A1. Listing of the example task file.
Mathematics 10 04221 g0a1

References

  1. Tikhonov, A.N.; Goncharsky, A.V.; Stepanov, V.V.; Yagola, A.G. Numerical Methods for the Solution of Ill-Posed Problems; Springer: Berlin/Heidelberg, Germany, 1995; 262p. [Google Scholar]
  2. Sokolov, A.V.; Voloshinov, V.V. Model Selection by Balanced Identification: The Interplay of Optimization and Distributed Computing. Open Comput. Sci. 2020, 10, 283–295. [Google Scholar] [CrossRef]
  3. Tikhonov, A.N. On mathematical methods for automating the processing of observations. In Computational Mathematics Problems; Moscow State University Publishing House: Moscow, Russia, 1980; pp. 3–17. [Google Scholar]
  4. Zhang, Y.; Zhou, D.; Wei, W.; Frame, J.M.; Sun, H.; Sun, A.Y.; Chen, X. Hierarchical Fractional Advection-Dispersion Equation (FADE) to Quantify Anomalous Transport in River Corridor over a Broad Spectrum of Scales. Mathematics 2021, 9, 790. [Google Scholar] [CrossRef]
  5. Manikantan, R.; Chakraborty, S.; Uchida, T.K.; Vyasarayani, C.P. Parameter Identification in Nonlinear Mechanical Systems with Noisy Partial State Measurement Using PID-Controller Penalty Functions. Mathematics 2020, 8, 1084. [Google Scholar] [CrossRef]
  6. Kolesnik, S.A.; Stifeev, E.M. Inverse retrospective problem for nonlinear heat conduction equations. In Proceedings of the XXII International Conference on Computational Mechanics and Modern Applied Software Systems, Alushta, Russia, 4–13 September 2021; Moscow Aviation University Publishing House: Moscow, Russia, 2021; pp. 43–45. [Google Scholar]
  7. Albu, A.F.; Zubov, V.I. Identification of Thermal Conductivity Coefficient Using a Given Temperature Field. Comput. Math. Math. Phys. 2018, 58, 1585–1599. [Google Scholar] [CrossRef]
  8. Albu, A.F.; Zubov, V.I. Identification of the Thermal Conductivity Coefficient in the Three-Dimensional Case by Solving a Corresponding Optimization Problem. Comput. Math. Math. Phys. 2021, 61, 1416–1431. [Google Scholar] [CrossRef]
  9. Python Optimization Modeling Objects. Available online: http://www.pyomo.org (accessed on 1 September 2022).
  10. Sukhoroslov, O.; Volkov, S.; Afanasiev, A. A Web-Based Platform for Publication and Distributed Execution of Computing Applications. In Proceedings of the Parallel and Distributed Computing, 14th International Symposium on IEEE, Limassol, Cyprus, 29 June–2 July 2015; pp. 175–184. [Google Scholar]
  11. SSOP (Solve Set of Optimization Problems). Available online: https://optmod.distcomp.org/apps/vladimirv/SSOP (accessed on 1 September 2022).
  12. Ipopt (Coin-OR Interior Point Optimizer, NLP). Available online: https://github.com/coin-or/Ipopt (accessed on 1 September 2022).
  13. Rozhenko, A.I. Theory and Algorithms of Variational Spline-Approximation; ICM&MG SB RAS Publishing: Novosibirsk, Russia, 2005; 244p. [Google Scholar]
  14. Samarskii, A.A. The Theory of Difference Schemes; Marcel Dekker, Inc.: New York, NY, USA, 2001; 762p. [Google Scholar]
  15. SCIP. Available online: https://www.scipopt.org/ (accessed on 1 September 2022).
Figure 1. Functions of the exact solution: (T) contour lines of Ts(x,t); (T6) 6 time slices of Ts(x,t): Ts(x,0), Ts(x,1),…, Ts(x,5); (K) thermal conductivity K(T); (φ) initial condition φs(t); (l&r) left ls(x) and right rs(x) boundary conditions.
Figure 1. Functions of the exact solution: (T) contour lines of Ts(x,t); (T6) 6 time slices of Ts(x,t): Ts(x,0), Ts(x,1),…, Ts(x,5); (K) thermal conductivity K(T); (φ) initial condition φs(t); (l&r) left ls(x) and right rs(x) boundary conditions.
Mathematics 10 04221 g001
Figure 2. Solutions with different weights of regularization (penalties): (A) too big a penalty (undertrained solution); (B) optimally balanced SvF solution; (C) too small a penalty (overtrained solution).
Figure 2. Solutions with different weights of regularization (penalties): (A) too big a penalty (undertrained solution); (B) optimally balanced SvF solution; (C) too small a penalty (overtrained solution).
Mathematics 10 04221 g002
Figure 3. SvF solution of Problem 5.0: (T) contour lines of T(x,t); (T6) 6 slices of T(x,t); (Err) Err(x,t) = T(x,t) − Ts(x,t) – deviation of the SvF solution from the exact solution; (φ) is the initial condition; (l&r) left and right boundary conditions.
Figure 3. SvF solution of Problem 5.0: (T) contour lines of T(x,t); (T6) 6 slices of T(x,t); (Err) Err(x,t) = T(x,t) − Ts(x,t) – deviation of the SvF solution from the exact solution; (φ) is the initial condition; (l&r) left and right boundary conditions.
Mathematics 10 04221 g003
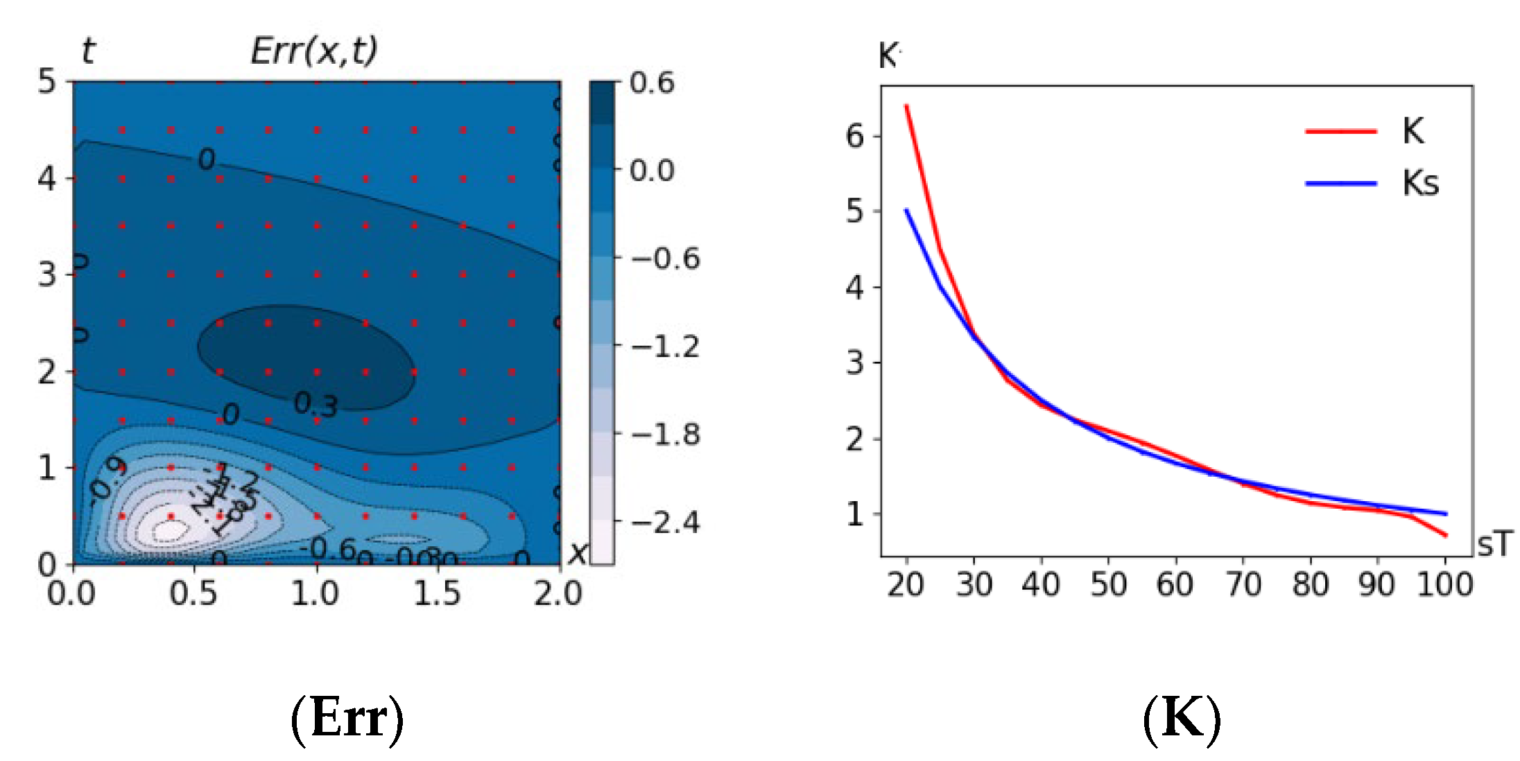
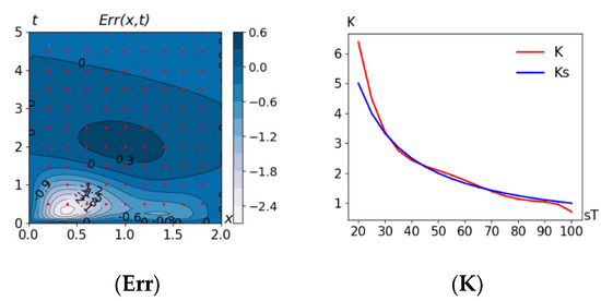
Figure 4. SvF solution of Problem 5.1: (T) contour lines of T(x,t); (T6) 6 slices of T(x,t); (Err) Err(x,t) = T(x,t)-Ts(x,t); (φ) the initial condition; (l&r) boundary conditions; (K) the thermal conductivity coefficient K(t).
Figure 4. SvF solution of Problem 5.1: (T) contour lines of T(x,t); (T6) 6 slices of T(x,t); (Err) Err(x,t) = T(x,t)-Ts(x,t); (φ) the initial condition; (l&r) boundary conditions; (K) the thermal conductivity coefficient K(t).
Mathematics 10 04221 g004aMathematics 10 04221 g004b
Figure 5. SvF solution of Problem 5.2: (T) contour lines of T(x,t); (φ) the initial condition; (K) the thermal conductivity coefficient K(t).
Figure 5. SvF solution of Problem 5.2: (T) contour lines of T(x,t); (φ) the initial condition; (K) the thermal conductivity coefficient K(t).
Mathematics 10 04221 g005
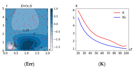
Figure 6. SvF solution of Problem 5.3: (Err) Err(x,t) = T(x,t)-Ts(x,t); (K) the thermal conductivity coefficient K(t).
Figure 6. SvF solution of Problem 5.3: (Err) Err(x,t) = T(x,t)-Ts(x,t); (K) the thermal conductivity coefficient K(t).
Mathematics 10 04221 g006
Figure 7. SvF solution of Problem 5.4: (φ) the initial condition; (l&r) boundary conditions; (K) the thermal conductivity coefficient.
Figure 7. SvF solution of Problem 5.4: (φ) the initial condition; (l&r) boundary conditions; (K) the thermal conductivity coefficient.
Mathematics 10 04221 g007
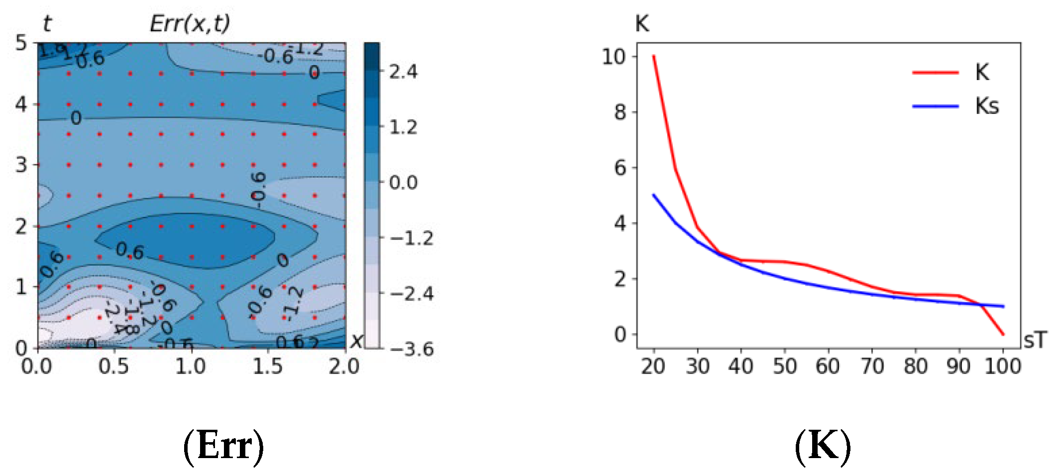
Figure 8. SvF solution of Problem 5.5: (Err) Err(x,t) = T(x,t)-Ts(x,t); (K) the thermal conductivity coefficient.
Figure 8. SvF solution of Problem 5.5: (Err) Err(x,t) = T(x,t)-Ts(x,t); (K) the thermal conductivity coefficient.
Mathematics 10 04221 g008
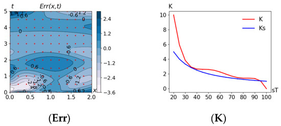
Figure 9. SvF solution of Problem 5.6: (Err) Err(x,t) = T(x,t)-Ts(x,t); (K) the thermal conductivity coefficient.
Figure 9. SvF solution of Problem 5.6: (Err) Err(x,t) = T(x,t)-Ts(x,t); (K) the thermal conductivity coefficient.
Mathematics 10 04221 g009
Figure 10. SvF solution of Problem 5.7: (Err) Err(x,t) = T(x,t)-Ts(x,t); (K) the thermal conductivity coefficient.
Figure 10. SvF solution of Problem 5.7: (Err) Err(x,t) = T(x,t)-Ts(x,t); (K) the thermal conductivity coefficient.
Mathematics 10 04221 g010
Figure 11. SvF solution of Problem 5.8: (T) contour lines of T(x,t); (K) the thermal conductivity coefficient.
Figure 11. SvF solution of Problem 5.8: (T) contour lines of T(x,t); (K) the thermal conductivity coefficient.
Mathematics 10 04221 g011
Table 1. Errors: σ c v * –error of cross-validation, the main indicator of the “quality” of the constructed model; rmsd* is the standard deviation of the SvF solution from observations, σd is the data error, Δ is the standard deviation of the SvF solution from the exact solution, Δ* is the estimate of Δ determined by Formula (3).
Table 1. Errors: σ c v * –error of cross-validation, the main indicator of the “quality” of the constructed model; rmsd* is the standard deviation of the SvF solution from observations, σd is the data error, Δ is the standard deviation of the SvF solution from the exact solution, Δ* is the estimate of Δ determined by Formula (3).
#Problem σ c v * rmsd*σdΔΔ*
0MSD(D_reg11x11) + Curv(T)2.381.442.061.081.19
1MSD(D_reg11x11) + Curv(T): M = 02.241.582.061.060.89
2MSD(D_reg11x11) + Curv(T): M = 0, l = ls, r = rs2.151.862.060.610.61
3MSD(D_reg11x11) + Curv(T): M = 0, l = ls, r = rs, φ = φs2.062.012.060.420
4MSD(D_reg11x11) + Curv(φ) + Curv(l) + Curv(r) + Curv(K): M = 02.221.822.060.830.83
5MSD(D_reg11x11) + Curv(φ) + Curv(l) + Curv(r) + Curv(K): M = 0, K/dT<=02.231.802.060.830.85
6MSD(D_rnd121) + Curv(T): M = 0, l = ls, r = rs , φ = φs2.132.052.080.240.39
7MSD(D_rnd1000) + Curv(T): M = 0, l = ls, r = rs , φ = φs2.022.012.010.130.15
8MSD(D_reg11x11(ε = 0)) + Curv(φ) + Curv(l) + Curv(r) + Curv(K): M = 00.060.004 00.060
Publisher’s Note: MDPI stays neutral with regard to jurisdictional claims in published maps and institutional affiliations.

Share and Cite

MDPI and ACS Style

Sokolov, A.; Nikulina, I. Choice of Regularization Methods in Experiment Processing: Solving Inverse Problems of Thermal Conductivity. Mathematics 2022, 10, 4221. https://doi.org/10.3390/math10224221

AMA Style

Sokolov A, Nikulina I. Choice of Regularization Methods in Experiment Processing: Solving Inverse Problems of Thermal Conductivity. Mathematics. 2022; 10(22):4221. https://doi.org/10.3390/math10224221

Chicago/Turabian Style

Sokolov, Alexander, and Irina Nikulina. 2022. "Choice of Regularization Methods in Experiment Processing: Solving Inverse Problems of Thermal Conductivity" Mathematics 10, no. 22: 4221. https://doi.org/10.3390/math10224221

APA Style

Sokolov, A., & Nikulina, I. (2022). Choice of Regularization Methods in Experiment Processing: Solving Inverse Problems of Thermal Conductivity. Mathematics, 10(22), 4221. https://doi.org/10.3390/math10224221

Note that from the first issue of 2016, this journal uses article numbers instead of page numbers. See further details here.

Article Metrics

Back to TopTop