Abstract
Complex dynamical networks with time-varying connections have characteristics that allow a better representation of real-world complex systems, especially interest in their not static behavior and topology. Their applications reach areas such as communication systems, electrical systems, medicine, robotic, and more. Both continuous and discrete-time complex dynamical networks and the pinning control technique have been studied. However, even with interest in the research on complex networks combining characteristics of discrete-time, time-varying connections, pinning control, and impulsive control, there are few studies reported in the literature. There are some previous studies dealing with impulsively pin-controlling a discrete-time complex network. Nevertheless, they neglect to deal with time-varying connections; they deal with these systems by experimentally using continuous-time methods or linearizing the node dynamics. In this manner, this paper presents a control scheme that not only deals with pin control on discrete-time complex networks but also includes time-varying connections. This paper proposes an impulsive pin control to a zero state using passivity degrees considering a discrete-time complex network with undirected, linear, and diffusive couplings. Additionally, a corresponding mathematical analysis, which allows the representation of the dynamics as a set of symmetric matrices, is presented. With this, certain kinds of time-varying connections can be integrated into the analysis. Moreover, a particular criterion for selecting nodes to pin is also presented. The behavior of the controller for the non-varying and time-varying coupling cases is shown via numeric simulations.
MSC:
93D20
1. Introduction
Due to the interconnected nature of our world, the study of complex networks has become significant with a wide variety of applications of interest such as infectious diseases, mobile robots, autonomous vehicles, electric systems, and communication systems, among others [1,2,3,4], some of which are of current interest to our research group. The study as dynamical systems has been well-researched in the past and can be observed in numerous studies. In this discipline, we can find the control theory field where dynamic systems are forced to follow a reference signal using a controller. There exist many different algorithms for this, from traditional model-based methods [5] to modern data-driven and learning algorithms [6,7]; the use of any method is the choice of the designer. One of the most used methods for complex networks is pinning control, in which only a fraction of the nodes is locally controlled [8]. This method has been studied in numerous studies; and has been expanded by combining it with other non-linear control methods such as sliding mode control, inverse optimal control, or neural networks [9,10,11,12]. One method not specific to complex networks is impulsive control, in which the control input is not applied continuously [13]. Impulsive control for discrete-time complex networks has been well researched in numerous studies [14,15,16,17]. In [14], a directed and undirected discrete-time network is controlled by selecting pinned nodes according to the norm of synchronization errors.
Nodes of the complex network in [14] have the same self-dynamics. In [15], synchronization of a discrete complex network is achieved through non-pinned impulsive control inputs by linearizing the identical node dynamics and no pinning control. The study developed in [16] synchronizes a discrete-time complex network with heterogeneous impulses, a remarkable feature, but no pinning control exists. The study in [17] achieves local stability through impulsive input saturation, which is particularly useful in practical applications. However, again there is no pinning control to be seen.
On the topic of discrete-time complex networks, we can highlight the work in [18] in which passivity degrees for discrete-time complex networks are defined and can be used similarly to the ones described in the original V-stability [19]; that is, we change the stability problem to a linear algebra problem where we analyze an associated matrix.
Research on time-varying connections has existed for a long time, with numerous interesting studies, especially [20], which has a similar approach to this work with the way it works around the varying aspect of the network couplings by establishing some bounds. Additionally, the study in [21], where a complex network with time-varying connections is controlled by impulse, is particularly interesting. However, this research, as well as that of [20], deals with continuous time, while this paper focuses on the discrete-time case.
The importance of working with complex networks with time-varying connections lies in the interest of its applications. The interactions between the connections of the system are not static but dynamic, as much as the single units that form the complex networks. Inherent phenomena of complex networks, such as the loss of connections nodes, cannot be described with static connections. One example of interest is the complex network representing a pattern formation of a group of mobile robots, where its connections can become stronger or weaker, depending on the control objective, as they move closer or farther from each other. Other examples that include characteristics of time-varying connections are social networks such as the ones found in epidemic diseases and electrical systems.
The key differences between this research and the previously mentioned studies are the proposals for complex networks with time varying connections and a simpler analysis, as we are interested in approaching the problem using linear algebra as conducted by [18,19]. In this work, an impulsive pin control of a discrete-time complex network with time varying connections to a zero state is proposed, using passivity degrees defined in [18], which will allow us to approach the problem using a set of symmetric matrices, which later will be useful to introduce a time-varying couplings case. Previously, we have worked on discrete-time networks with impulsive control on an experimental level using neural networks [22], developing an algorithm that uses linearization of node self-dynamics [23]. This study expands on the previous work by using passivity degrees defined in [18] instead of the linearized dynamics used before; this facilitates the analysis and application of time-varying connections between nodes. Furthermore, a useful criterion for selecting the pinned nodes for discrete-time networks based on a proposition presented in [19] is discussed.
Many studies are interested in the controllability of complex networks [24,25,26,27]. The interest is to find the number of nodes to control while also using the matrix algebra approach. One main difference with the proposal is that these studies focus only on the structural controllability of networks and developments based on them, but in the proposed methods, network nodes lack dynamics.
Finding nodes to be controlled within a complex network is a highly relevant research field, as shown in [24,25,26,27]; the number of problems to solve that can arise with time-varying connections, such as loss of connection or loss of controllability. Furthermore, with the significant number of applications that this area has, we consider it of great interest to increment the knowledge on this field.
This paper is organized as follows. First, we introduce the models and mathematical concepts necessary to explain the proposed scheme. Second, we present the proposal for the impulsively pinned complex network in discrete-time using passivity degrees and then with time-varying connections along with the pin-selecting criteria. Third, simulations are conducted to illustrate the behavior of the network under the controller, and we discuss the results. Finally, conclusions are given.
2. Mathematical Preliminaries
In this section, we briefly explain the discrete-time complex network model, and passivity degree for discrete-time complex networks. Which are topics used in this research.
2.1. Complex Network Model
Consider the next discrete-time model for a complex network with nodes, undirected diffusive connections, and impulsive control input [23]:
This model has been obtained through a discretization of the form:
where the sampling time , as well as the corresponding summed term , have been absorbed by the other terms in (1) for notation simplicity. In (1), , where is the state of node . , where is a function representing the self-dynamics of node . is the outer connection matrix, with as the connection strength between node and , if there is a connection between node and , and if there is no such connection. Following diffusive condition, , and, consequently, . is the inner coupling matrix representing the connections between node state elements. The control term is:
where is an identity matrix of -th order and
where is a real constant when , and when , with as the time defined for control impulses. Additionally, in accordance with the concept of pinning control, some are always zero.
2.2. Passivity Degrees for Discrete-Time Complex Networks
According to [18], we can define passivity degrees for the corresponding dynamical systems of each node of the discrete-time complex network similarly to the V-stability algorithm for continuous-time complex networks [19]. These passivity degrees let us represent the node dynamics with a single constant defined as follows. Consider the next discrete-time autonomous system:
We assume that there exist a such that the following controlled system:
becomes unstable at equilibrium point . Now, let be the Jacobian of the system (5) at and:
is the Jacobian for the controlled system (6) at . is selected such that the modulus of the -th eigenvalue of , . Then, we define such that is the passivity degree in the sense that if the system can stabilize by itself, while implies that external energy is required for stabilization.
This concept can be used within the stabilization proof where in (1) can be replaced as follows [18]:
3. Proposed Algorithm
We can now use the method developed in [23] but adding passivity degrees to the analysis instead of linearized dynamics. By doing this, we obtain the following:
Theorem 1.
The discrete-time complex network with impulsive control described in (1) is stable at equilibrium point zero if
whereis the largest eigenvalue of matrix, and
whereis an identity matrix of-th order and
withas the passivity degree of node.
Proof.
As stated in [18], we can replace in (1) for the right side of Equation (8). Doing this will change Equation (1) to:
and according to (10), we change this to:
At this point, we propose a quadratic Lyapunov function as follows:
that gives
Solving inequality (15) for we obtain:
which means that if the sum in (9) approaches then will decrease as iterations progress and system (1) will be stable. □
Therefore, this result proves the stability for a complex network (1) with a fixed outer connection matrix , using a pin control strategy (3). In this approach, a matrix algebra approach is used to simplify the stability-proof procedure. Now, this result can be extended to a time-varying outer connection matrix This is not an easy task due to structural problems that can cause a loss of controllability and increase stability analysis. However, this is an important research topic due to the increasing applications in this area.
For the case of the time-varying connections, we consider the next model:
where the terms are defined as in (1) and is the time-varying outer connection stable matrix, bounded as:
with , , and , where and are the maximum and minimum possible values of , respectively. The variation in these connections is such that there are no isolated nodes in the network at any point. For this case, Theorem 1 turns into:
Theorem 2.
Network (17) is stable at equilibrium point zero if
whereis the largest eigenvalue of matrixwith
Proof.
Using the passivity degree, dynamics in (17) can be written as:
with
By following the previous proof, we reach:
and because of (18)
then we can return to (23) as:
and solving for will result in
which is like the previous case, where the sum in (19) should now approach as iterations progress, so that system (17) is stable. □
This result is an extension of Theorem 1 for complex networks in which their topology varies with time. This is based on degrees of passivity including an outer connection matrix G(k) subject to topological restrictions to maintain controllability of the network under a pin control technique, simplifying its analysis. The symmetric property of network dynamics resulting from the use of passivity degrees provides the opportunity to make the comparison shown in (24), which is key for completing the analysis.
For discrete-time complex networks, we can derive an important proposition regarding the number of pinned nodes, just like in the original V-Stability article [19], considering and a control input continuous in discrete-time given by .
Proposition 1.
If the matrix sumhasnonnegative eigenvalues, the minimum number of pinned nodes should be.
Proof.
The absolute value for all eigenvalues of the controlled system
should be less than 1 for system (1) (and (17), with instead of ) to be stable. Since matrix modifies in +1 the eigenvalues of the system
then, eigenvalues of (28) should be negative and no lesser than −2. Now, assume that (28) is negative definite, that there are exactly nonnegative eigenvalues for the matrix
and that for diagonal matrix , we have . We rewrite (29)
where is an orthogonal matrix and is the -th eigenvalue of (29). If is defined as
and (28) is negative definite then , but this cannot be true since , which is a contradiction and for it to be true should be at least . □
4. Numerical Simulation
To implement the proposed algorithm, we follow the next steps. Considering the process described in Section 2.2. First, linearize the dynamics of each of the network nodes and obtain the smallest value at which each of the correspondent systems (7) become unstable; that is, where the modulus of its biggest eigenvalue is 1. We can do this by subtracting the real part of the largest eigenvalue to 1, and from there, we obtain the passivity degree . After obtaining the passivity degree for every node, we can construct matrix , and with this, we can obtain matrix (29), as defined in Section 3. By checking the number of non-negative eigenvalues of (29), we obtain the minimum number of nodes to be controlled, and we can construct the diagonal matrix that has at least values different from zero for when ; that is, when the system is being controlled. Now, that we have matrix and , we can construct matrix shown in (10) (or shown in (20) for the time-varying connections), as presented in Section 3. Then, we obtain the natural logarithm of the largest eigenvalue of (or for the time-varying connection case) for both cases, the controlled case, and the uncontrolled case. The sum of these two resulting values should be negative to achieve stability as said in both theorems of Section 3, if not, we should change the values of or select more than values.
Summarizing the steps to apply the algorithm:
- Linearize
- Obtain the largest eigenvalue of to get the passivity degree , satisfying, .
- Build up matrix as defined in (11).
- Obtain the number of negative eigenvalues of the matrix sum to know the minimum number of pinned nodes (Proposition 1).
- Design matrix as defined by (4), with at least values different to to assured controllability.
- Build up matrix for invariant connections or for time-varying connections, Equations (10) and (20), respectively.
- Obtained the largest eigenvalues of and , and their eigenvalues’ logarithms to check conditions of Theorem 1 and Theorem 2, which in few words is the sum of the logarithms is negative.
- If the last condition is not met, change values of selecting different values for the values which are different to , or select more than values.
Simulations for static connections and time-varying connections were made using MATLAB®. For all simulations, a sampling time and a matrix are used, as well as the next set of discretized chaotic dynamics.
The Lorenz system (32) [28] for :
The Chen system (33) [29] for :
The Lü system (34) [30] for :
The Qi system (35) [31] for :
And the Chua system (36) [32] for :
with
These systems were used for test purposes only and as used here they lack any physical meaning or measurement unit.
Passivity degrees for these systems are shown in Table 1:
Table 1.
Passivity degrees for the various discretized chaotic systems.
Connections are given by , where is given by the elements of matrix
with
For the invariant connections case with , and for the case of time-varying connections
According to Proposition 1, for the invariant connections case, we obtain only one nonnegative eigenvalue for its correspondent matrix (28), but since Proposition 1 does not consider the impulsive control input, we shall try with two pinned nodes as it is harder for the network to stabilize. Analysis of the maximum eigenvalues results in a gain of for nodes , and for the rest of the nodes as these maximum eigenvalues for the controlled and uncontrolled cases are and , respectively, which means that by applying the control input every we stabilize the network for the invariant connections case.
Doing the same for the variant connection case using , we also obtain only one nonnegative eigenvalue for its correspondent matrix (28), but as said before concerning the impulsive control inputs and, even more, considering the lower connection strength, this time we try with three pinned nodes. Analysis of the maximum eigenvalues results in a gain of for nodes and for the rest of the nodes, as these maximum eigenvalues for the controlled and uncontrolled case are and , respectively, which means that by applying the control input every , we stabilize the network for the variant connections case.
Figure 1 shows the network arrangement for the invariant and variant connections cases.
Figure 1.
Numbered networks used in simulations: (a) Invariant connections case; (b) Variant connections case.
In these simulations, nodes become unconnected and uncontrolled. At , nodes are connected. At , acontrol input is applied every . Simulation results are illustrated in Figure 2 and Figure 3.
Figure 2.
Node states for the invariant connections case.
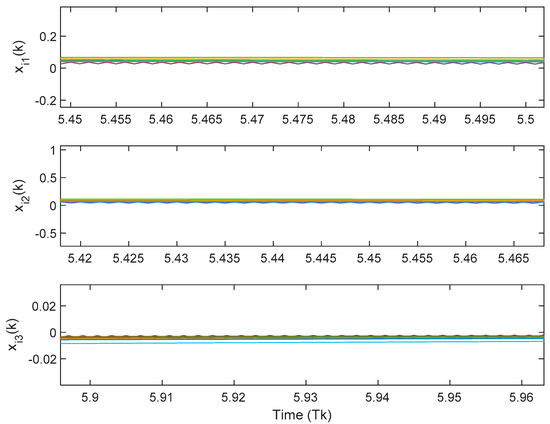
Figure 3.
Node states for the time-variant connections case.
Both Figure 2 and Figure 3 show that stabilization is achieved in quite a similar manner, with the difference being that the variant case requires a much higher gain and number of pinned nodes.
Using the linearization method of a previous study [23], the analysis will bring up a higher gain requirement for stabilization; for example, in the invariant connection case, the gain of for the pinned nodes will not give a stable result and, instead, a will give similar results. This is something we noted previously in the simulations, as lower gain values could also achieve the stabilization goal, but the analysis would not show this. By using passivity degrees, we now obtain a lower gain value than with linearization.
We can see that is equal to of the invariant connections case and that conducting an analysis with this will result in the same gain and pinned nodes as the invariant case, but if we apply these results for the variant case, the network state will present a noticeable stabilization error in the steady state, as shown in Figure 4 and Figure 5.
Figure 4.
Steady state of the time-variant connections case with for nodes 2, 3 and 4.
Figure 5.
Steady state of the time-variant connections case with for nodes 3 and 4.
Table 2 shows the average absolute error among all signals and average standard deviation of the error among the nodes (between the three state elements of each node) and among the state signals (between the same state element for every node). Values were obtained using data from where the system is in steady state.
Table 2.
Average error and average standard deviation of the error for the different presented cases.
As seen in the table, values for the case of the invariant connections show a small average error and standard deviation, which are promising results from the algorithm. What is interesting, though, is the other two tests. The variant connections case where we use the minimum connectivity analysis shows better results than the one where we use the maximum connection case, reinforcing our hypothesis; this happens because the control input is considered for a network with a low connection strength, and over time this value can become higher, and the control works even better, which is the opposite case for when we use the maximum connectivity of the network.
It is important to consider that the proposal is not limited to 20 nodes as in this example we have considered for the tests; this number is due to hardware limitations that we are currently working to overcome.
We would like to highlight some of the differences between current studies in the literature previously referenced in this research and our proposal. First, we want to begin by saying that each referenced study has made an important contribution to the field, each one with pros and cons, as our proposal also achieves. One of the points of our proposal is the use of pinning control where we can find studies such as [9,10,11,12]; these studies do not consider time-varying connections and they use pinning control techniques based on a neural network model of the complex network, whereas this proposal uses a discretization of the complex network based on passivity degrees. With respect to impulsive control applied to complex networks, we can find related works [14,15,16,17]. Each of the studies applies impulsive control using a specific strategy and [15,16,17] considered discrete-time complex networks. However, again, they do not consider time-varying connections. The studies consider time-varying connections [20,21], which focus on continuous-time complex networks. Other studies such as [24,25,26,27], even if they do not use a similar strategy or consider the time-varying connections, include cases of malicious attacks and node failures, which would make an interesting addition to any scheme.
5. Conclusions
Networks presented in the examples were successfully stabilized using the proposed scheme. Passivity degrees improve the algorithm used in previous studies, as it simplifies terms and reduces the necessary gain obtained in the analysis to guarantee stabilization. Term simplification derived from passivity degrees results in a symmetric matrix, representing the node self-dynamics; this allows us to compare and make the needed substitutions after introducing the time-varying connections. Even though the node selection for pinning control presented defined for discrete-time complex networks does not consider the control input impulses, it gives a general starting idea for selecting such pinned nodes.
It is important to note that this scheme does not include cases of malicious attacks or node failures such as the proposals in studies [24,25,26,27], which is one of the disadvantages of this method. Another disadvantage of this algorithm can be found in the requirement of the network connections to be bounded or to know these bounds. These analyses could be an excellent addition to this proposal and remain a good topic for future study.
Author Contributions
Conceptualization: D.R.-R. and A.Y.A.; methodology: D.R.-R., A.Y.A., J.D.R. and O.D.S.; formal analysis and investigation: D.R.-R.; writing—original draft preparation: D.R.-R.; writing—review and editing: D.R.-R., A.Y.A., J.D.R. and O.D.S.; funding acquisition: A.Y.A.; resources: D.R.-R. and A.Y.A.; supervision: A.Y.A. and O.D.S.; validation: A.Y.A., J.D.R. and O.D.S. All authors have read and agreed to the published version of the manuscript.
Funding
This research was funded by CONACYT Mexico through Project FOP16-2021-01-319619.
Institutional Review Board Statement
Not applicable.
Informed Consent Statement
Not applicable.
Data Availability Statement
Data are available under request to the corresponding author.
Acknowledgments
The authors thank Universidad de Guadalajara for its support in this research.
Conflicts of Interest
The authors declare no conflict of interest. The funders had no role in the design of the study; in the collection, analyses, or interpretation of data; in the writing of the manuscript, or in the decision to publish the results.
References
- Chen, G.; Wang, X.; Li, X. Fundamentals of Complex Networks: Models, Structures and Dynamics, 1st ed.; Wiley: Singapore, 2015. [Google Scholar]
- Newman, M.E.J. The Structure and Function of Complex Networks. SIAM Rev. 2003, 45, 167–256. [Google Scholar] [CrossRef]
- Newman, M.; Barabási, A.; Watts, D.J. Structure and Dynamics of Networks, 1st ed.; Princeton University Press: Princeton, NJ, USA, 2006. [Google Scholar]
- Boccaletti, S.; Latora, V.; Moreno, Y.; Chavez, M.; Hwang, D.-U. Complex Networks: Structure and Dynamics. Phys. Rep. 2006, 424, 175–308. [Google Scholar] [CrossRef]
- Khalil, H. Nonlinear Systems, 3rd ed.; Prentice-Hall: Hoboken, NJ, USA, 2002. [Google Scholar]
- Roman, R.-C.; Precup, R.-E.; Petriu, E.M. Hybrid Data-Driven Fuzzy Active Disturbance Rejection Control for Tower Crane Systems. Eur. J. Control. 2020, 58, 372–387. [Google Scholar] [CrossRef]
- Chi, R.; Li, H.; Shen, D.; Hou, Z.; Huang, B. Enhanced P-type Control: Indirect Adaptive Learning from Set-point Updates. IEEE Trans. Autom. Control 2022, 1-1. [Google Scholar] [CrossRef]
- Li, X.; Wang, X.; Chen, G. Pinning a Complex Dynamical Network to its Equilibrium. IEEE Trans. Circuits Syst.-I Regul. Pap. 2004, 51, 2074–2087. [Google Scholar] [CrossRef]
- Vega, C.J.; Sanchez, E.N.; Alzate, R. Inverse Optimal Pinning Control for Synchronization of Complex Networks with Nonidentical Chaotic Nodes. IFAC-Pap. Online 2018, 51, 235–239. [Google Scholar] [CrossRef]
- Vega, C.J.; Sanchez, E.N.; Suarez, O.J. Synchronization of Complex Networks with Nonidentical Nodes Via Discrete-Time Neural Inverse Optimal Pinning Control. In Proceedings of the 2018 IEEE Latin American Conference on Computational Intelligence (LA-CCI), Guadalajara, Mexico, 7–9 November 2018. [Google Scholar] [CrossRef]
- Vega, C.J.; Sanchez, E.N.; Suarez, O.J. Discrete-Time Neural Sliding-Mode Pinning Control for Synchronization of Complex Networks. In Proceedings of the 2019 16th International Conference on Electrical Engineering, Computing Science and Automatic Control (CCE), Mexico City, Mexico, 11–13 September 2019. [Google Scholar] [CrossRef]
- Suarez, O.J.; Vega, C.J.; Sanchez, E.N.; Chen, G.; Elvira-Ceja, J.S.; Rodriguez, D.I. Neural Sliding-Mode Control for Output Synchronization for Uncertain General Complex Networks. Automatica 2020, 112, 108694. [Google Scholar] [CrossRef]
- Haddad, W.; Chellaboina, V.; Nersesov, S. Impulsive and Hybrid Dynamical Systems, 1st ed.; Princeton University Press: Princeton, NJ, USA, 2006. [Google Scholar]
- Wu, Z.; Wang, H. Impulsive Pinning Synchronization of Discrete-Time Network. Adv. Differ. Equ. 2016, 2016, 36. [Google Scholar] [CrossRef]
- Zhang, Q.; Lu, J.-A.; Zhao, J. Impulsive Synchronization of General Continuous and Discrete-Time Complex Dynamical Networks. Commun. Nonlinear Sci. Numer. Simul. 2010, 15, 1063–1070. [Google Scholar] [CrossRef]
- Li, Z.; Zhang, W.; Fang, J.-A.; He, G. Synchronisation of Discrete-Time Complex Networks with Delayed Heterogeneous Impulses. IET Control Theory Appl. 2015, 9, 2648–2656. [Google Scholar] [CrossRef]
- Chen, K.; Li, C.; Li, L. Locally Exponential Stability of Discrete-Time Complex Networks with Impulsive Input Saturation. Int. J. Control Autom. Syst. 2019, 17, 948–956. [Google Scholar] [CrossRef]
- Florez-Vargas, J.A. Discrete-Time Neural Pinning Control for Drone Formation. Ph.D. Thesis, CINVESTAV-IPN Unidad Guadalajara, Zapopan, Mexico, 2021. [Google Scholar]
- Xiang, J.; Chen, G. On the V-Stability of Complex Dynamical Networks. Automatica 2007, 43, 1049–1057. [Google Scholar] [CrossRef]
- Zhang, Y.; Yan, W.; Yang, Q. Synchronization Control of Time-Varying Complex Dynamic Network with Nonidentical Nodes and Coupling Time-Delay. Math. Probl. Eng. 2014, 2014, 461635. [Google Scholar] [CrossRef]
- Leng, H.; Wu, Z. Impulsive Synchronization of a Network with Time-Varying Topology and Delay. Adv. Differ. Equ. 2017, 2017, 299. [Google Scholar] [CrossRef]
- Ríos-Rivera, D.; Alanis, A.Y.; Sanchez, E.N. Neural-Impulsive Pinning Control for Complex Networks Based on V-Stability. Mathematics 2020, 8, 1388. [Google Scholar] [CrossRef]
- Alanis, A.Y.; Ríos-Rivera, D.; Sanchez, E.N.; Sanchez, O.D. Learning Impulsive Pinning Control of Complex Networks. Mathematics 2021, 9, 2436. [Google Scholar] [CrossRef]
- Liu, Y.-Y.; Slotine, J.-J.; Barabási, A.-L. Controllability of complex networks. Nature 2011, 473, 167–173. [Google Scholar] [CrossRef]
- Yuan, Z.; Zhao, C.; Di, Z.; Wang, W.-X.; Lai, Y.-C. Exact controllability of complex networks. Nat. Commun. 2013, 4, 2447. [Google Scholar] [CrossRef]
- Lou, Y.; He, Y.; Wang, L.; Chen, G. Predicting Network Controllability Robustness: A Convolutional Neural Network Approach. IEEE Trans. Cybern. 2022, 52, 4052–4063. [Google Scholar] [CrossRef] [PubMed]
- Lou, Y.; He, Y.; Wang, L.; Tsang, K.F.; Chen, G. Knowledge-Based Prediction of Network Controllability Robustness. IEEE Trans. Neural Netw. Learn. Syst. 2022, 33, 5739–5750. [Google Scholar] [CrossRef]
- Lorenz, E.N. Deterministic Nonperiodic Flow. J. Atmos. Sci. 1963, 20, 130–141. [Google Scholar] [CrossRef]
- Chen, G.; Ueta, T. Yet another Chaotic Attractor. Int. J. Bifurc. Chaos 1999, 9, 1465–1466. [Google Scholar] [CrossRef]
- Lü, J.; Chen, G. A New Chaotic Attractor Coined. Int. J. Bifurc. Chaos 2002, 12, 659–661. [Google Scholar] [CrossRef]
- Qi, G.; Chen, G.; Du, S.; Chen, Z.; Yuan, Z. Analysis of a New Chaotic System. Phys. A Stat. Mech. Its Appl. 2005, 352, 295–308. [Google Scholar] [CrossRef]
- Zeraoulia, E.; Julien, S.C. The Unified Chaotic System Describing the Lorenz and Chua Systems. Fracta Unversitatis—Ser. Electron. Energetics 2010, 23, 345–355. [Google Scholar] [CrossRef]
Publisher’s Note: MDPI stays neutral with regard to jurisdictional claims in published maps and institutional affiliations. |
© 2022 by the authors. Licensee MDPI, Basel, Switzerland. This article is an open access article distributed under the terms and conditions of the Creative Commons Attribution (CC BY) license (https://creativecommons.org/licenses/by/4.0/).




