A Numerical Intuition of Activation Energy in Transient Micropolar Nanofluid Flow Configured by an Exponentially Extended Plat Surface with Thermal Radiation Effects
Abstract
1. Introduction
2. Flow Configuration and Model
3. Parameters of Interest
4. Numerical Solution
5. Discussion
6. Conclusions
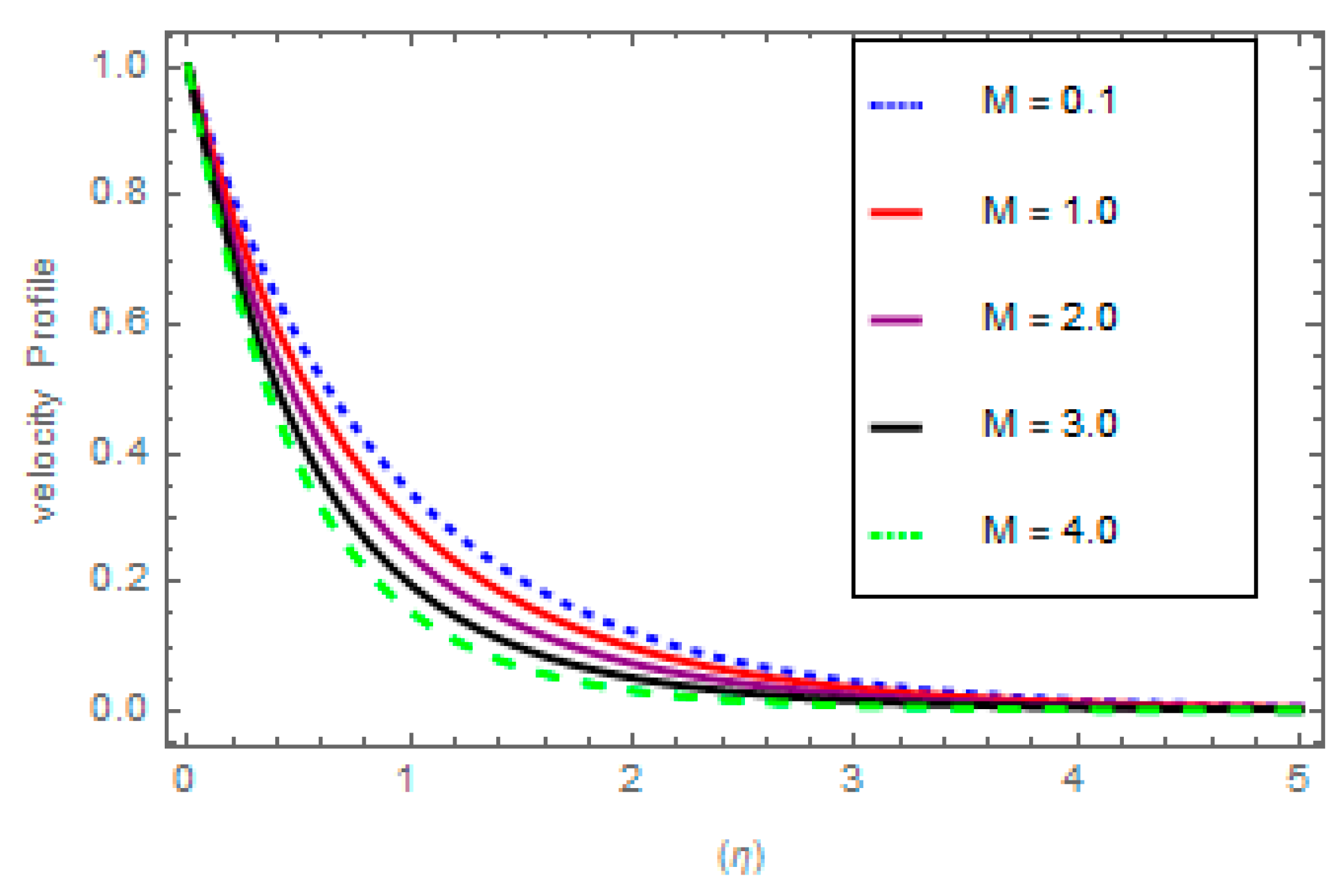
- Velocity outlines increase with the growth of the fluid parameter due to the resistive force, while velocity outlines fall with the increasing values of porosity parameters.
- It is observed that the linear and angular velocity outlines increase subject to variations in the values of micropolar parameters.
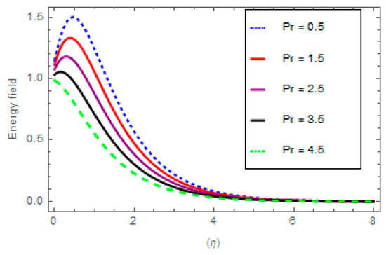
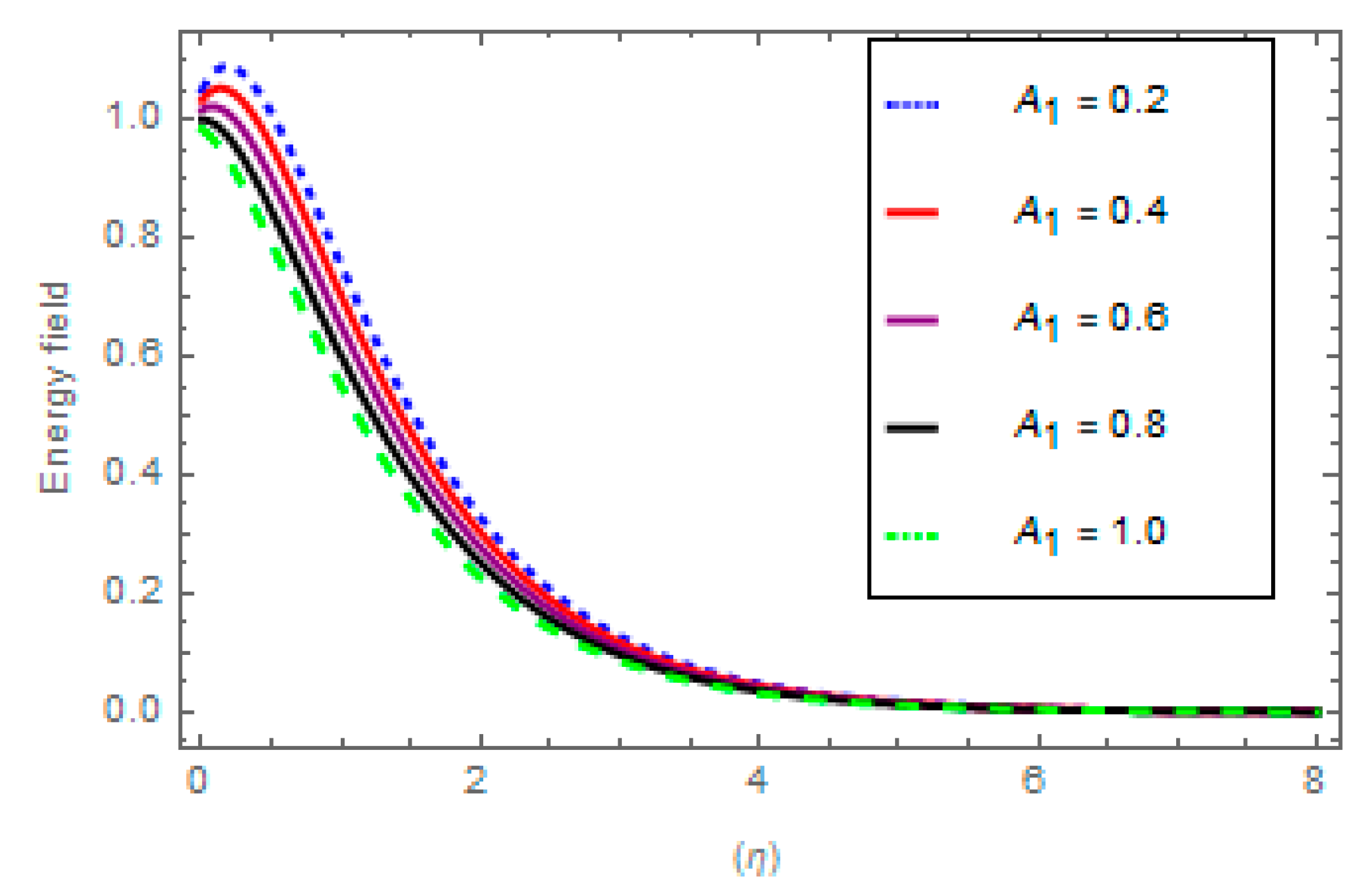
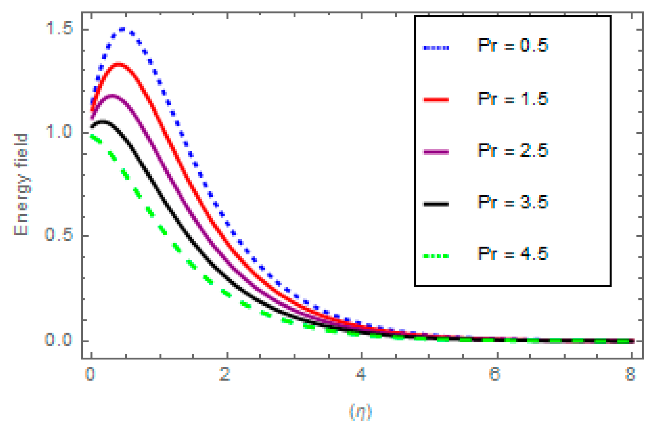
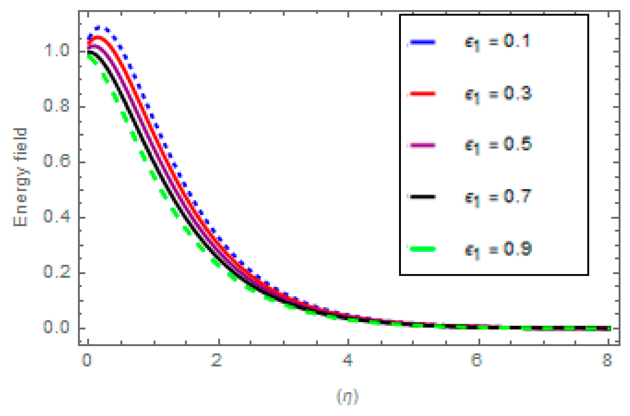
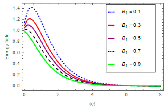
- The temperature profile improves with ascending values of Brownian parameter and thermophoretic diffusion force but diminishes with the increasing values of Prandtl number and thermal slip parameters.
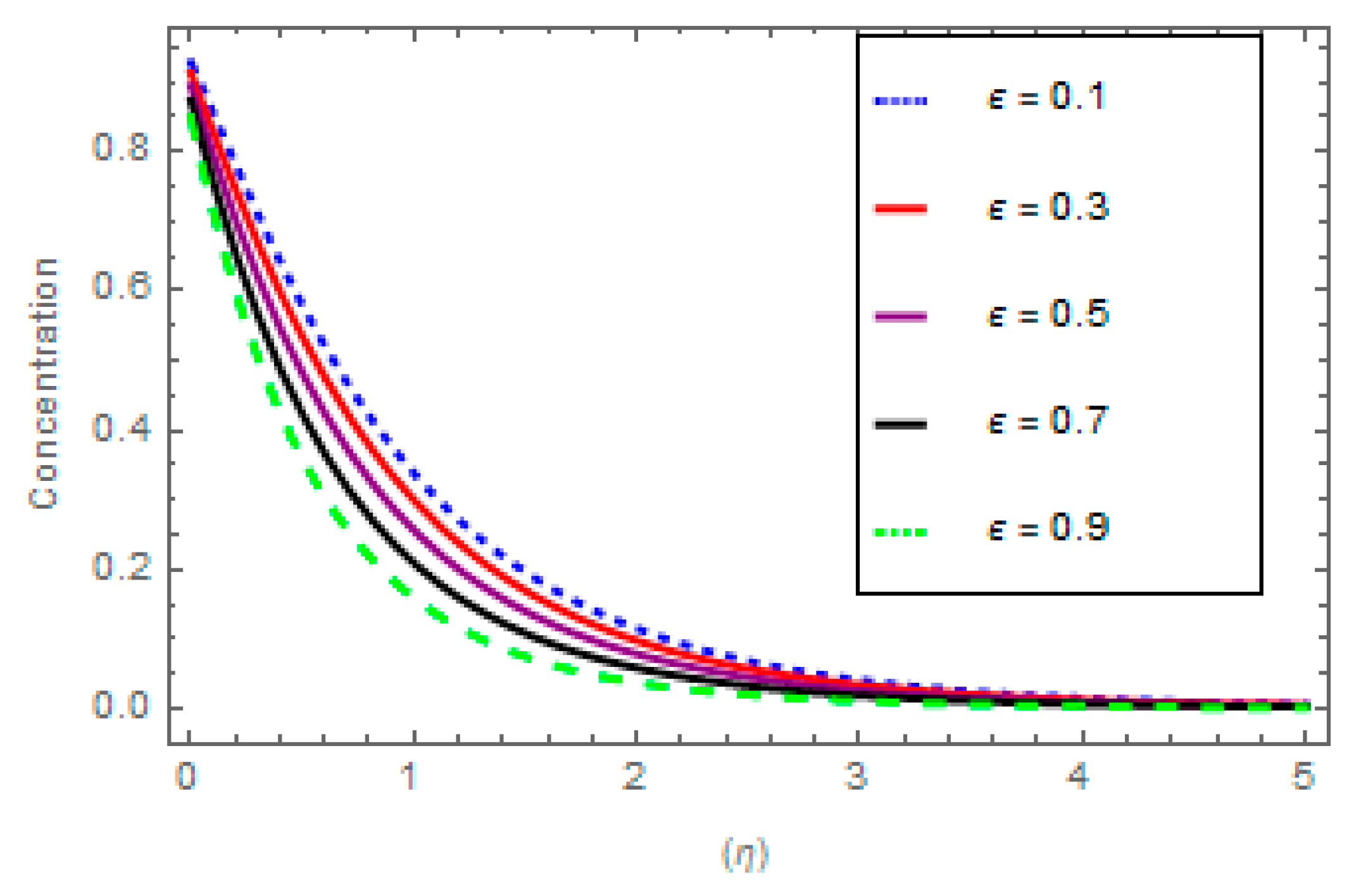
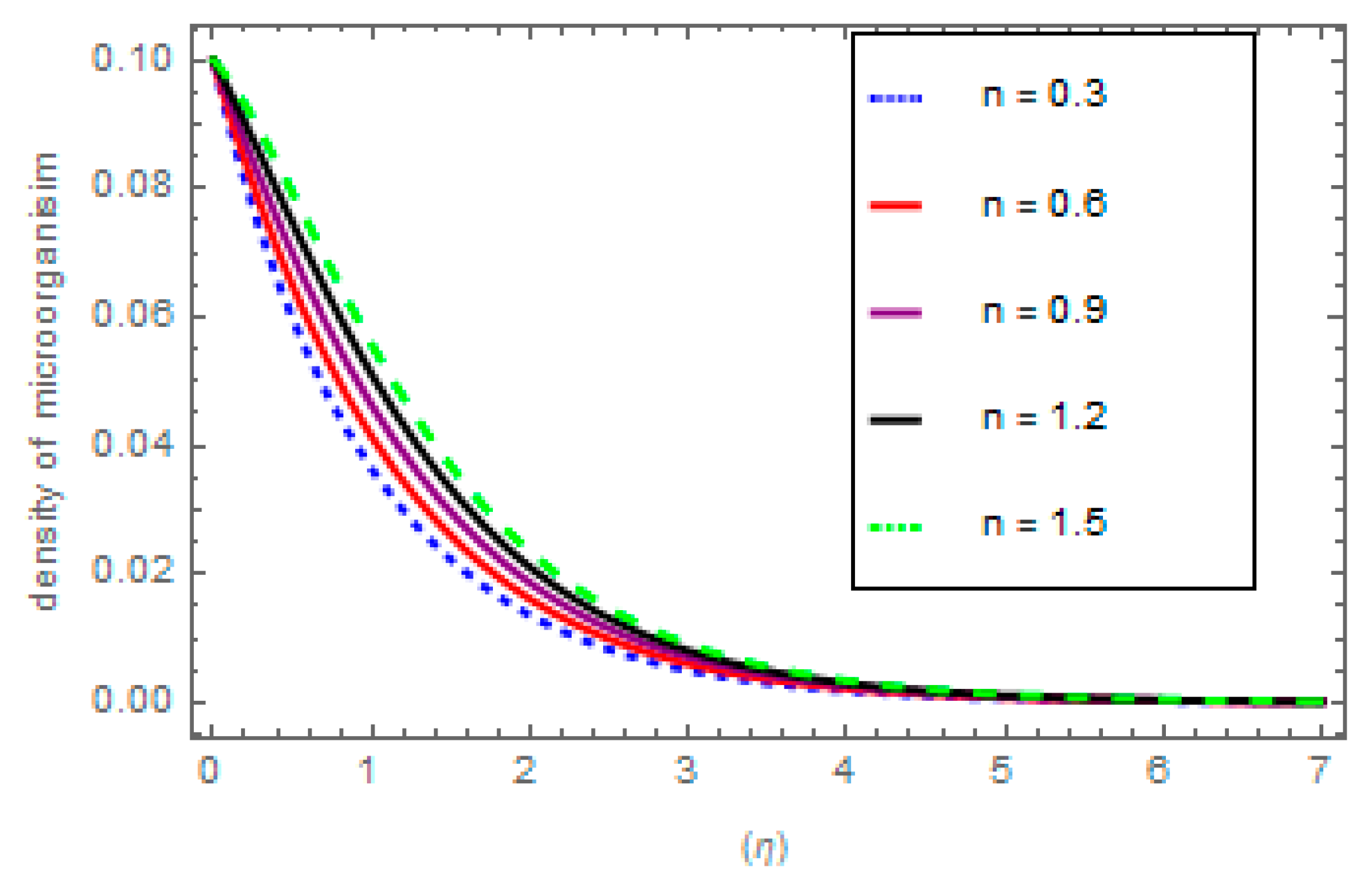
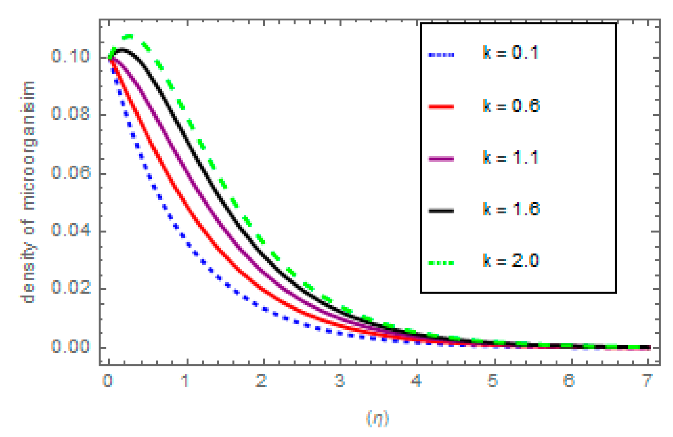
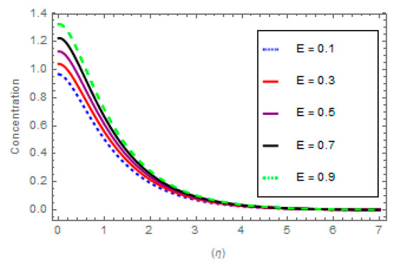
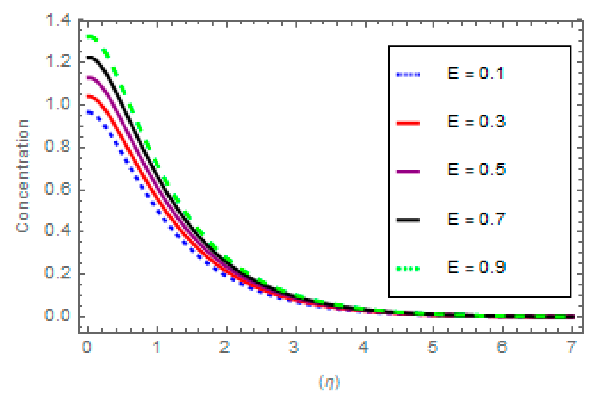
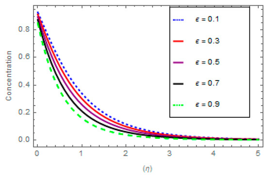
- It has been noticed that the concentration outlines incremented for reaction rate and activation energy parameters but dwindled for expending values of porosity parameters, the Lewis number, and concentration slip parameters.
- Skin fraction values increase because of the growing nature of the micropolar factor.
- Nusselt number upsurges for increasing thermophoretic diffusion parameter while exhibits declining trend for Brownian motion parameter.
- The mass diffusion rate improves when subjected to higher values of Prandtl and Lewis numbers. On the contrary, it decreases with Brownian and thermophoresis diffusion force.
Author Contributions
Funding
Institutional Review Board Statement
Informed Consent Statement
Data Availability Statement
Conflicts of Interest
Nomenclature
| Velocity components along and axes | Motile microorganism component | ||
| Kinematics viscosity | Material parameter of the fluid | ||
| Coefficient of viscosity | Fluid conductivity | ||
| Density parameter | Magnetic field | ||
| Porous medium | Ratio of heat capacitance | ||
| Permeability of the medium | Brownian diffusion | ||
| Spin gradient | Fluid temperature | ||
| Micro inertia | Free stream temperature | ||
| Thermophoretic coefficient | Concentration component | ||
| Specific heat | Ambient concentration | ||
| Chemical reaction rate | Constant | ||
| Stretching velocity of the sheet | Activation energy coefficient | ||
| Thermal slip factor | Exponential stretching coefficient | ||
| Concentration slip coefficient | Microgyration Parameter | ||
| Fluid parameter | Magnetic field | ||
| Porous medium | Prandtl Number | ||
| Dimensionless velocity | Dimensionless temperature | ||
| Dimensionless motile microorganism | Brownian motion | ||
| Dimensionless concentration | Thermophoresis parameter | ||
| Lewis number | Reaction rate | ||
| Thermal slip parameter | Temperature ratio | ||
| Concentration slip parameter | Parameter of Activation energy | ||
| Skin friction | Nusselt number | ||
| Reynolds Number | Sherwood number |
References
- Roberts, P.H. An Introduction to Magnetohydrodynamics; Longmans: London, UK, 1967. [Google Scholar]
- Davidson, P.A. An Introduction to Magnetohydrodynamics; American Association of Physics Teachers: College Park, MD, USA, 2002. [Google Scholar]
- Zeeshan, K.; Rasheed, H.U.; Khan, I.; Abu-Zinadah, H.; Aldahlan, M.A. Mathematical Simulation of Casson MHD Flow through a Permeable Moving Wedge with Nonlinear Chemical Reaction and Nonlinear Thermal Radiation. Materials 2022, 15, 747. [Google Scholar] [CrossRef]
- Rasheed, H.U.; Khan, Z.; El-Zahar, E.R.; Shah, N.A.; Islam, S.; Abbas, T. Homotopic solutions of an unsteady magnetohydrodynamic flow of Casson nanofluid flow by a vertical cylinder with Brownian and viscous dissipation effects. Waves Random Complex Media 2022. [Google Scholar] [CrossRef]
- McWhirter, J.D.; Crawford, M.E.; Klein, D.E. Magnetohydrodynamic flows in porous media II: Experimental results. Fusion Technol. 1998, 34, 187–197. [Google Scholar] [CrossRef]
- Hakeem, A.A.; Saranya, S.; Ganga, B. Comparative study on Newtonian/non-Newtonian base fluids with magnetic/non-magnetic nanoparticles over a flat plate with uniform heat flux. J. Mol. Liq. 2017, 230, 445–452. [Google Scholar] [CrossRef]
- Sarkar, S.; Endalew, M.F.; Makinde, O.D. Study of MHD Second Grade Flow through a Porous Microchannel under the Dual-Phase-Lag Heat and Mass Transfer Model. J. Appl. Comput. Mech. 2019, 5, 763–778. [Google Scholar]
- Rasheed, H.U.; Islam, S.; Zeeshan; Khan, J.; Abbas, T.; Mohmand, M.I. Numerical solution of chemically reactive and thermally radiative MHD Prandtl nanofluid over a curved surface with convective boundary conditions. ZAMM-J. Appl. Math. Mech. 2021, e202100125. [Google Scholar] [CrossRef]
- Rasheed, H.U.; Islam, S.; Zeeshan; Abbas, T.; Khan, J. Analytical treatment of MHD flow and chemically reactive Casson fluid with Joule heating and variable viscosity effect. Waves Random Complex Media 2022. [Google Scholar] [CrossRef]
- Awan, A.B.; Zubair, M.; Memon, Z.A.; Ghalleb, N.; Tlili, I. Comparative analysis of dish Stirling engine and photovoltaic technologies: Energy and economic perspective. Sustain. Energy Technol. Assess. 2021, 44, 101028. [Google Scholar] [CrossRef]
- Raza, Q.; Qureshi, M.Z.A.; Khan, B.A.; Kadhim Hussein, A.; Ali, B.; Chung, J.D. Insight into dynamic of mono and hybrid nanofluids subject to binary chemical reaction, activation energy, and magnetic field through the porous surfaces. Mathematics 2022, 10, 3013. [Google Scholar] [CrossRef]
- Veeram, G.; Poojitha, P.; Katta, H.; Hemalatha, S.; Babu, M.J.; Raju, C.S.K.; Yook, S.-J. Simulation of dissipative hybrid nanofluid (PEG-Water + ZrO2 + MgO) flow by a curved shrinking sheet with thermal radiation and higher order chemical reaction. Mathematics 2022, 10, 1706. [Google Scholar] [CrossRef]
- Rasheed, H.U.; Zeeshan. Homotopic framework for the Buongiorno model of 2D viscoelastic nanofluid flow toward a porous curve surface with ohmic heating and Brownian diffusion effects. Waves Random Complex Media 2022. [Google Scholar] [CrossRef]
- Lou, Q.; Ali, B.; Rehman, S.U.; Habib, D.; Abdal, S.; Chung, J.D. Micropolar dusty fluid: Coriolis force effects on dynamics of MHD rotating fluid when lorentz force is significant. Mathematics 2022, 10, 2630. [Google Scholar] [CrossRef]
- Ashraf, M.Z.; Rehman, S.U.; Farid, S.; Hussein, A.K.; Ali, B.; Weera, W. Insight into significance of bioconvection on MHD tangent hyperbolic nanofluid flow of irregular thickness across a slender elastic surface. Mathematics 2022, 10, 2592. [Google Scholar] [CrossRef]
- Ur Rasheed, H.; AL-Zubaidi, A.; Islam, S.; Saleem, S.; Khan, Z.; Khan, W. Effects of Joule Heating and Viscous Dissipation on Magnetohydrodynamic Boundary Layer Flow of Jeffrey Nanofluid over a Vertically Stretching Cylinder. Coatings 2021, 11, 353. [Google Scholar] [CrossRef]
- Shah, N.A.; Wakif, A.; El-Zahar, E.R.; Ahmad, S.; Yook, S.-J. Numerical simulation of a thermally enhanced EMHD flow of a heterogeneous micropolar mixture comprising (60%)-ethylene glycol (EG), (40%)-water (W), and copper oxide nanomaterials (CuO). Case Stud. Therm. Eng. 2022, 35, 102046. [Google Scholar] [CrossRef]
- Sajjan, K.; Ahammad, N.A.; Raju, C.S.K.; Kumar, M.D.; Weera, W. Nonlinear Boussinesq and Rosseland approximations on 3D flow in an interruption of Ternary nanoparticles with various shapes of densities and conductivity properties. AIMS Math. 2022, 7, 18416–18449. [Google Scholar] [CrossRef]
- Majeed, A.; Noori, F.M.; Zeeshan, A.; Mahmood, T.; Rehman, S.U.; Khan, I. Analysis of activation energy in magnetohydrodynamic flow with chemical reaction and second order momentum slip model. Case Stud. Therm. Eng. 2018, 12, 765–773. [Google Scholar] [CrossRef]
- Irfan, M.; Khan, M.; Khan, W.A.; Ahmad, L. Influence of binary chemical reaction with Arrhenius activation energy in MHD nonlinear radiative flow of unsteady Carreau nanofluid: Dual solutions. Appl. Phys. A 2019, 125, 179. [Google Scholar] [CrossRef]
- Rasheed, H.U.; Islam, S.; Khan, Z.; Alharbi, S.O.; Khan, W.A.; Khan, W.; Khan, I. Thermal Radiation Effects on Unsteady Stagnation Point Nanofluid Flow in View of Convective Boundary Conditions. Math. Probl. Eng. 2021, 2021, 5557708. [Google Scholar] [CrossRef]
- Shah, Z.; Kumam, P.; Deebani, W. Radiative MHD Casson nanofluid flow with activation energy and chemical reaction over past nonlinearly stretching surface through entropy generation. Sci. Rep. 2020, 10, 4402. [Google Scholar] [CrossRef]
- Khan, M.I.; Waqas, H.; Khan, S.U.; Imran, M.; Chu, Y.M.; Abbasi, A.; Kadry, S. Slip flow of micropolar nanofluid over a porous rotating disk with motile microorganisms, nonlinear thermal radiation and activation energy. Int. Commun. Heat Mass Transf. 2021, 122, 105161. [Google Scholar] [CrossRef]
- Song, Y.Q.; Khan, S.A.; Imran, M.; Waqas, H.; Khan, S.U.; Khan, M.I.; Qayyum, S.; Chu, Y.M. Applications of modified Darcy law and nonlinear thermal radiation in bioconvection flow of micropolar nanofluid over an off centered rotating disk. Alex. Eng. J. 2021, 60, 4607–4618. [Google Scholar] [CrossRef]
- Chu, Y.M.; Khan, M.I.; Khan, N.B.; Kadry, S.; Khan, S.U.; Tlili, I.; Nayak, M.K. Significance of activation energy, bio-convection and magnetohydrodynamic in flow of third grade fluid (non-Newtonian) towards stretched surface: A Buongiorno model analysis. Int. Commun. Heat Mass Transf. 2020, 118, 104893. [Google Scholar] [CrossRef]
- Ramzan, M.; Gul, H.; Kadry, S.; Chu, Y.M. Role of bioconvection in a three dimensional tangent hyperbolic partially ionized magnetized nanofluid flow with Cattaneo-Christov heat flux and activation energy. Int. Commun. Heat Mass Transf. 2021, 120, 104994. [Google Scholar] [CrossRef]
- Waqas, H.; Khan, S.A.; Khan, S.U.; Khan, M.I.; Kadry, S.; Chu, Y.M. Falkner-Skan time-dependent bioconvection flow of cross nanofluid with nonlinear thermal radiation, activation energy and melting process. Int. Commun. Heat Mass Transf. 2021, 120, 105028. [Google Scholar] [CrossRef]
- Xia, W.F.; Haq, F.; Saleem, M.; Ijaz Khan, M.; Khan, S.U.; Chu, Y.M. Irreversibility analysis in natural bio-convective flow of Eyring-Powell nanofluid subject to activation energy and gyrotactic microorganisms. Ain Shams Eng. J. 2021, 12, 4063–4074. [Google Scholar] [CrossRef]
- Ramesh, K.; Khan, S.U.; Jameel, M.; Khan, M.I.; Chu, Y.M.; Kadry, S. Bioconvection assessment in Maxwell nanofluid configured by a Riga surface with nonlinear thermal radiation and activation energy. Surf. Interfaces 2020, 21, 100749. [Google Scholar] [CrossRef]
- Waqas, M.; Jabeen, S.; Hayat, T.; Shehzad, S.A.; Alsaedi, A. Numerical simulation for nonlinear radiated Eyring-Powell nanofluid considering magnetic dipole and activation energy. Int. Commun. Heat Mass Transf. 2020, 112, 104401. [Google Scholar] [CrossRef]
- Sandhya, G.; Sarojamma, G.; Satya Narayana, P.V.; Venkateswarlu, B. Buoyancy forces and activation energy on the MHD radiative flow over an exponentially stretching sheet with second-order slip. Heat Transf. 2021, 50, 784–800. [Google Scholar] [CrossRef]
- Irfan, M.; Rafiq, K.; Khan, M.; Waqas, M.; Anwar, M.S. Theoretical analysis of new mass flux theory and Arrhenius activation energy in Carreau nanofluid with magnetic influence. Int. Commun. Heat Mass Transf. 2021, 120, 105051. [Google Scholar] [CrossRef]
- Khan, M.I.; Alzahrani, F. Nonlinear dissipative slip flow of Jeffrey nanomaterial towards a curved surface with entropy generation and activation energy. Math. Comput. Simul. 2021, 185, 47–61. [Google Scholar] [CrossRef]
- Rasheed, H.U.; Khan, W.; Khan, I.; Alshammari, N.; Hamadneh, N. Numerical computation of 3D Brownian motion of thin film nanofluid flow of convective heat transfer over a stretchable rotating surface. Sci. Rep. 2022, 12, 2708. [Google Scholar] [CrossRef]
- Koriko, O.K.; Saleem, S.; Chung, J.D.; Omowaye, A.J.; Oreyeni, T. Exploration of bioconvection flow of MHD thixotropic nanofluid past a vertical surface coexisting with both nanoparticles and gyrotactic microorganisms. Sci. Rep. 2021, 11, 16627. [Google Scholar] [CrossRef] [PubMed]
- Islam, S.; Ur Rasheed, H.; Nisar, K.S.; Alshehri, N.A.; Zakarya, M. Numerical Simulation of Heat Mass Transfer Effects on MHD Flow of Williamson Nanofluid by a Stretching Surface with Thermal Conductivity and Variable Thickness. Coatings 2021, 11, 684. [Google Scholar] [CrossRef]
- Abderrahmane, A.; Qasem, N.A.A.; Younis, O.; Marzouki, R.; Mourad, A.; Chung, J.D. MHD hybrid nanofluid mixed convection heat transfer and entropy generation in a 3-D triangular porous cavity with zigzag wall and rotating cylinder. Mathematics 2022, 10, 769. [Google Scholar] [CrossRef]
- Rehman, S.; Zeeshan; Rasheed, H.U.; Islam, S. Visualization of multiple slip effects on the hydromagnetic Casson nanofluid past a nonlinear extended permeable surface: A numerical approach. Waves Random Complex Media 2022. [Google Scholar] [CrossRef]
- Rasool, G.; Shah, N.A.; El-Zahar, E.R.; Wakif, A. Numerical investigation of EMHD nanofluid flows over a convectively heated riga pattern positioned horizontally in a Darcy-Forchheimer porous medium: Application of passive control strategy and generalized transfer laws. Waves Random Complex Media 2022, 1–20. [Google Scholar] [CrossRef]
- Nadeem, S.; Tumreen, M.; Ishtiaq, B.; Abbas, N.; Shatanawi, W. Second-grade nanofluid flow above a vertical slandering Riga surface with double diffusion model. Int. J. Mod. Phys. B 2022, 2250237. [Google Scholar] [CrossRef]
- Nadeem, S.; Ishtiaq, B.; Almutairi, S.; Ghazwani, H.A. Impact of Cattaneo–Christov double diffusion on 3d stagnation point axisymmetric flow of second-grade nanofluid towards a riga plate. Int. J. Mod. Phys. B 2022, 2250205. [Google Scholar] [CrossRef]
- Ishtiaq, B.; Zidan, A.M.; Nadeem, S.; Alaoui, M.K. Analysis of entropy generation in the nonlinear thermal radiative micropolar nanofluid flow towards a stagnation point with catalytic effects. Phys. Scr. 2022, 97, 085204. [Google Scholar] [CrossRef]
- Nadeem, S.; Fuzhang, W.; Alharbi, F.M.; Sajid, F.; Abbas, N.; El-Shafay, A.S.; Al-Mubaddel, F.S. Numerical computations for buongiorno nano fluid model on the boundary layer flow of viscoelastic fluid towards a nonlinear stretching sheet. Alex. Eng. J. 2022, 61, 1769–1778. [Google Scholar] [CrossRef]



























Publisher’s Note: MDPI stays neutral with regard to jurisdictional claims in published maps and institutional affiliations. |
© 2022 by the authors. Licensee MDPI, Basel, Switzerland. This article is an open access article distributed under the terms and conditions of the Creative Commons Attribution (CC BY) license (https://creativecommons.org/licenses/by/4.0/).
Share and Cite
Zeeshan; Ahammad, N.A.; Rasheed, H.U.; El-Deeb, A.A.; Almarri, B.; Shah, N.A. A Numerical Intuition of Activation Energy in Transient Micropolar Nanofluid Flow Configured by an Exponentially Extended Plat Surface with Thermal Radiation Effects. Mathematics 2022, 10, 4046. https://doi.org/10.3390/math10214046
Zeeshan, Ahammad NA, Rasheed HU, El-Deeb AA, Almarri B, Shah NA. A Numerical Intuition of Activation Energy in Transient Micropolar Nanofluid Flow Configured by an Exponentially Extended Plat Surface with Thermal Radiation Effects. Mathematics. 2022; 10(21):4046. https://doi.org/10.3390/math10214046
Chicago/Turabian StyleZeeshan, N. Ameer Ahammad, Haroon Ur Rasheed, Ahmed A. El-Deeb, Barakah Almarri, and Nehad Ali Shah. 2022. "A Numerical Intuition of Activation Energy in Transient Micropolar Nanofluid Flow Configured by an Exponentially Extended Plat Surface with Thermal Radiation Effects" Mathematics 10, no. 21: 4046. https://doi.org/10.3390/math10214046
APA StyleZeeshan, Ahammad, N. A., Rasheed, H. U., El-Deeb, A. A., Almarri, B., & Shah, N. A. (2022). A Numerical Intuition of Activation Energy in Transient Micropolar Nanofluid Flow Configured by an Exponentially Extended Plat Surface with Thermal Radiation Effects. Mathematics, 10(21), 4046. https://doi.org/10.3390/math10214046

