RMOBF-Net: Network for the Restoration of Motion and Optical Blurred Finger-Vein Images for Improving Recognition Accuracy
Abstract
1. Introduction
- This is the first study on motion and optical blur finger-vein image restoration that can occur during finger-vein recognition.
- We propose a new image restoration network, the network for the restoration of motion and optical blurred finger-vein image (RMOBF-Net). Our proposed network continuously maintains features that can be utilized during motion and optical blur restoration by actively using residual blocks and feature concatenation. Although components such as encoder–decoder, convolutional layers, residual block, and feature concatenation of RMOBF-Net are well-known, we found out that a combination of these components is important when restoring the blurred finger-vein image to improve finger-vein recognition performance.
- The architecture of RMOBF-Net is optimized for the finger-vein image domain. We also experimented with the state-of-the-art deep learning-based restoration network, MPRNet and found that more complex architecture showed more degradation of recognition accuracy. Therefore, we focused on the architecture that is less complex but can preserve features. As a result, in most cases, our proposed model shows better performance than the previous methods.
- The RMOBF-Net, recognition network, and blurred image database according to non-uniform motion blur and blur intensity are publicly available in [19] to allow other researchers to perform fair performance evaluations.
2. Related Works
2.1. Finger-Vein Recognition without Blur Restoration
2.2. Finger-Vein Recognition with Skin Scattering Blur Restoration
2.3. Finger-Vein Recognition with Optical Blur Restoration
2.4. Finger-Vein Recognition with Motion Blur Restoration
3. Proposed Method
3.1. Overview of the Proposed Method
3.2. Preprocessing of Finger-Vein Images
3.3. RMOBF-Net-Based Restoration of Motion and Optical Blurred Finger-Vein Images
3.3.1. Architecture of RMOBF-Net
3.3.2. Loss Function
3.4. Finger-Vein Recognition by Deep CNN
4. Experiments and Analysis
4.1. Datasets for the Experiments
4.2. Motion and Optical Blurred Datasets for the Finger-Vein Image Restoration
4.3. Data Augmentation and Experimental Setup
4.4. Training of RMOBF-Net and DenseNet-161
4.5. Testing Results of the Proposed Method
4.5.1. Evaluation Metrics
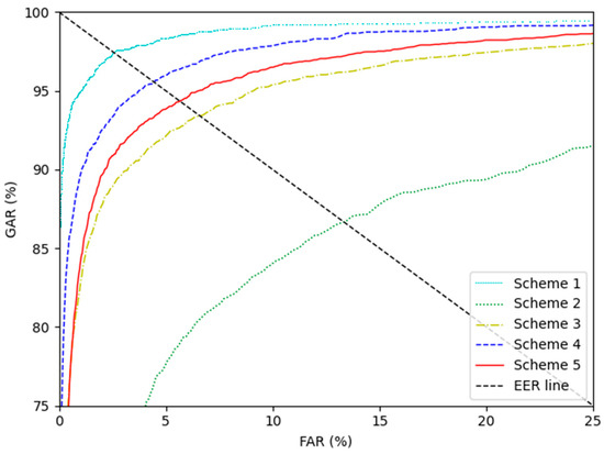
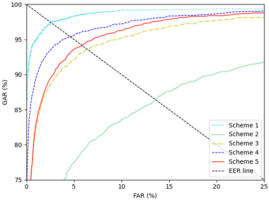
4.5.2. Testing Result with SDU-DB
4.5.2.1. Performance Evaluation of Image Quality
4.5.2.2. Ablation Studies
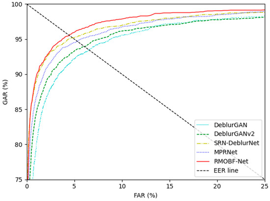
4.5.2.3. Comparisons with the State-of-the-Art Methods
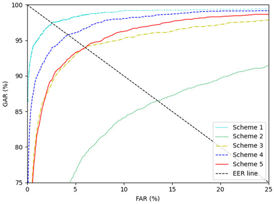
4.5.3. Testing Result with PolyU-DB
4.5.3.1. Performance Evaluation of Image Quality
4.5.3.2. Ablation Studies
4.5.3.3. Comparisons with State-of-the-Art Methods
4.6. Processing Time of the Proposed Method
4.7. Discussion
4.7.1. Cases of Correct and Incorrect Matching after Restoration
4.7.2. Class Activation Map of the Restored Image
5. Conclusions
Author Contributions
Funding
Data Availability Statement
Conflicts of Interest
References
- Hashimoto, J. Finger Vein Authentication Technology and its Future. In VLSI Circuits, Digest of Technical Paper; IEEE: Honolulu, HI, USA, 2006; pp. 5–8. [Google Scholar]
- Liu, Z.; Yin, Y.; Wang, H.; Song, S.; Li, Q. Finger vein recognition with manifold learning. J. Netw. Comput. Appl. 2010, 33, 275–282. [Google Scholar] [CrossRef]
- Lee, E.C.; Park, K.R. Restoration method of skin scattering blurred vein image for finger vein recognition. Electron. Lett. 2009, 45, 1074–1076. [Google Scholar] [CrossRef]
- Yang, J.; Zhang, B.; Shi, Y. Scattering removal for finger-vein image restoration. Sensors 2012, 12, 3627–3640. [Google Scholar] [CrossRef] [PubMed]
- Yang, J.; Shi, Y. Towards finger-vein image restoration and enhancement for finger-vein recognition. Inf. Sci. 2014, 268, 33–52. [Google Scholar] [CrossRef]
- Yang, J.; Bai, G. Finger-vein image restoration based on skin optical property. In Proceedings of the 2012 IEEE 11th International Conference on Signal Processing, Beijing, China, 21–25 October 2012; pp. 749–752. [Google Scholar]
- Yang, J.; Shi, Y.; Yang, J. Finger-Vein Image Restoration Based on a Biological Optical Model. In New Trends and Developments in Biometrics; IntechOpen: London, UK, 2012; pp. 59–76. [Google Scholar]
- Du, S.; Yang, J.; Zhang, H.; Zhang, B.; Su, Z. FVSR-Net: An end-to-end Finger Vein Image Scattering Removal Network. Multimed. Tools Appl. 2021, 80, 10705–10722. [Google Scholar] [CrossRef]
- Lee, E.C.; Park, K.R. Image restoration of skin scattering and optical blurring for finger vein recognition. Opt. Lasers Eng. 2011, 49, 816–828. [Google Scholar] [CrossRef]
- Choi, J.; Noh, K.J.; Cho, S.W.; Nam, S.H.; Owais, M.; Park, K.R. Modified Conditional Generative Adversarial Network-Based Optical Blur Restoration for Finger-Vein Recognition. IEEE Access 2020, 8, 16281–16301. [Google Scholar] [CrossRef]
- He, J.; Shen, L.; Wang, H.; Zhao, G.; Gu, X.; Ding, W. Finger Vein Image Deblurring Using Neighbors-Based Binary-GAN. IEEE Trans. Emerging Topics Comput. Intell. 2021, 1–13. [Google Scholar] [CrossRef]
- Choi, J.; Hong, J.S.; Owais, M.; Kim, S.G.; Park, K.R. Restoration of Motion Blurred Image by Modified DeblurGAN for Enhancing the Accuracies of Finger-Vein Recognition. Sensors 2021, 21, 4635. [Google Scholar] [CrossRef]
- Kupyn, O.; Budzan, V.; Mykhailych, M.; Mishkin, D.; Matas, J. DeblurGAN: Blind Motion Deblurring Using Conditional Adversarial Networks. In Proceedings of the IEEE Conference on Computer Vision and Pattern Recognition, Salt Lake City, UT, USA, 17–19 June 2018; pp. 8183–8192. [Google Scholar]
- Szeliski, R. Computer Vision: Algorithms and Applications, 1st ed.; Springer: London, UK, 2010. [Google Scholar]
- Kupyn, O.; Martyniuk, T.; Wu, J.; Wang, Z. DeblurGAN-v2: Deblurring (Orders-of-Magnitude) Faster and Better. In Proceedings of the IEEE/CVF International Conference on Computer Vision, Seoul, Korea, 10–17 October 2019; pp. 8878–8887. [Google Scholar]
- Tao, X.; Gao, H.; Shen, X.; Wang, J.; Jia, J. Scale-recurrent Network for Deep Image Deblurring. In Proceedings of the IEEE Conference on Computer Vision and Pattern Recognition, Salt Lake City, UT, USA, 17–19 June 2018; pp. 8174–8182. [Google Scholar]
- Zamir, S.W.; Arora, A.; Khan, S.; Hayat, M.; Khan, F.S.; Yang, M.-H.; Shao, L. Multi-Stage Progressive Image Restoration. In Proceedings of the IEEE/CVF Conference on Computer Vision and Pattern Recognition, Virtual, 19–25 June 2021; pp. 14821–14831. [Google Scholar]
- Zhang, Z.; Liu, Q.; Wang, Y. Road Extraction by Deep Residual U-Net. IEEE Geosci. Remote Sens. Lett. 2018, 15, 749–753. [Google Scholar] [CrossRef]
- Dongguk RMOBF-Net and CNN for Recognition of Blurred Finger-Vein Image with Motion and Optical Blurred Image Database. Available online: https://dm.dongguk.edu/link.html (accessed on 31 May 2022).
- You, W.; Zhou, W.; Huang, J.; Yang, F.; Liu, Y.; Chen, Z. A bilayer image restoration for finger vein recognition. Neurocomputing 2019, 348, 54–65. [Google Scholar] [CrossRef]
- Miura, N.; Nagasaka, A.; Miyatake, T. Extraction of Finger-Vein Patterns Using Maximum Curvature Points in Image Profiles. IEICE Trans. Inf. Syst. 2007, 8, 1185–1194. [Google Scholar] [CrossRef]
- Miura, N.; Nagasaka, A.; Miyatake, T. Feature extraction of finger-vein patterns based on repeated line tracking and its application to personal identification. Mach. Vis. Appl. 2004, 15, 194–203. [Google Scholar] [CrossRef]
- Matsuda, Y.; Miura, N.; Nagasaka, A.; Kiyomizu, H.; Miyatake, T. Finger-vein authentication based on deformation-tolerant feature-point matching. Mach. Vis. Appl. 2016, 27, 237–250. [Google Scholar] [CrossRef]
- Lee, E.C.; Lee, H.C.; Park, K.R. Finger vein recognition using minutia-based alignment and local binary pattern-based feature extraction. Int. J. Imaging Syst. Technol. 2009, 19, 179–186. [Google Scholar] [CrossRef]
- Peng, J.; Wang, N.; El-Latif, A.A.A.; Li, Q.; Niu, X. Finger-vein Verification Using Gabor Filter and SIFT Feature Matching. In Proceedings of the 2012 Eighth International Conference on Intelligent Information Hiding and Multimedia Signal Processing, Piraeus, Greece, 18–20 July 2012; pp. 45–48. [Google Scholar]
- Rosdi, B.A.; Shing, C.W.; Suandi, S.A. Finger Vein Recognition Using Local Line Binary Pattern. Sensors 2011, 11, 11357–11371. [Google Scholar] [CrossRef]
- Hong, H.G.; Lee, M.B.; Park, K.R. Convolutional Neural Network-Based Finger-Vein Recognition Using NIR Image Sensors. Sensors 2017, 17, 1297. [Google Scholar] [CrossRef]
- Kim, W.; Song, J.M.; Park, K.R. Multimodal Biometric Recognition Based on Convolutional Neural Network by the Fusion of Finger-Vein and Finger Shape Using Near-Infrared (NIR) Camera Sensor. Sensors 2018, 18, 2296. [Google Scholar] [CrossRef]
- Simonyan, K.; Zisserman, A. Very Deep Convolutional Networks for Large-Scale Image Recognition. In Proceedings of the International Conference Learning Representations, San Diego, CA, USA, 7–9 May 2015; pp. 1–14. [Google Scholar]
- He, K.; Zhang, X.; Ren, S.; Sun, J. Deep Residual Learning for Image Recognition. In Proceedings of the IEEE Conference on Computer Vision and Pattern Recognition, Las Vegas, NV, USA, 27–30 June 2016; pp. 770–778. [Google Scholar]
- Qin, H.; El-Yacoubi, M.A. Deep Representation-Based Feature Extraction and Recovering for Finger-Vein Verification. IEEE Trans. Inf. Forensic Secur. 2017, 12, 1816–1829. [Google Scholar] [CrossRef]
- Song, J.M.; Kim, W.; Park, K.R. Finger-Vein Recognition Based on Deep DenseNet Using Composite Image. IEEE Access 2019, 7, 66845–66863. [Google Scholar] [CrossRef]
- Noh, K.J.; Choi, J.; Hong, J.S.; Park, K.R. Finger-Vein Recognition Based on Densely Connected Convolutional Network Using Score-Level Fusion With Shape and Texture Images. IEEE Access 2020, 8, 96748–96766. [Google Scholar] [CrossRef]
- Noh, K.J.; Choi, J.; Hong, J.S.; Park, K.R. Finger-Vein Recognition Using Heterogeneous Databases by Domain Adaption Based on a Cycle-Consistent Adversarial Network. Sensors 2021, 21, 524. [Google Scholar] [CrossRef] [PubMed]
- Huang, G.; Liu, Z.; van der Maaten, L.; Weinberger, K.Q. Densely Connected Convolutional Networks. In Proceedings of the IEEE Conference on Computer Vision and Pattern Recognition, Honolulu, HI, USA, 21–26 July 2017; pp. 2261–2269. [Google Scholar]
- Qin, H.; Wang, P. Finger-Vein Verification Based on LSTM Recurrent Neural Networks. Appl. Sci. 2019, 9, 1687. [Google Scholar] [CrossRef]
- Zhao, D.; Ma, H.; Yang, Z.; Li, J.; Tian, W. Finger vein recognition based on lightweight CNN combining center loss and dynamic regularization. Infrared Phys. Technol. 2020, 105, 103221. [Google Scholar] [CrossRef]
- Huttenlocher, D.P.; Klanderman, G.A.; Rucklidge, W.J. Comparing images using the Hausdorff distance. IEEE Trans. Pattern Anal. Mach. Intell. 1993, 15, 850–863. [Google Scholar] [CrossRef]
- Kumar, A.; Zhang, D. Personal Recognition Using Hand Shape and Texture. IEEE Trans. Image Process. 2006, 15, 2454–2461. [Google Scholar] [CrossRef]
- Gonzalez, R.C.; Woods, R.E. Digital Image Processing, 2nd ed.; Prentice-Hall: Upper Saddle River, NJ, USA, 2002. [Google Scholar]
- Gonzalez, R.C.; Woods, R.E. Digital Image Processing, 3rd ed.; Prentice-Hall: Upper Saddle River, NJ, USA, 2010. [Google Scholar]
- Sajjadi, M.S.M.; Schölkopf, B.; Hirsch, M. EnhanceNet: Single Image Super-Resolution Through Automated Texture Synthesis. In Proceedings of the IEEE International Conference on Computer Vision, Venice, Italy, 22–29 October 2017; pp. 4491–4500. [Google Scholar]
- He, K.; Zhang, X.; Ren, S.; Sun, J. Delving Deep into Rectifiers: Surpassing Human-Level Performance on ImageNet Classification. In Proceedings of the IEEE International Conference on Computer vision, Santiago, Chile, 7–13 December 2015; pp. 1026–1034. [Google Scholar]
- Nair, V.; Hinton, G.E. Rectified Linear Units Improve Restricted Boltzmann Machines. In Proceedings of the 27th International Conference Machine Learning, Haifa, Israel, 21–24 June 2010; pp. 807–814. [Google Scholar]
- Maas, A.L.; Hannun, A.Y.; Ng, A.Y. Rectifier Nonlinearities Improve Neural Network Acoustic Models. In Proceedings of the 30th International Conference Machine Learning, Atlanta, GA, USA, 16–21 June 2013; pp. 16–21. [Google Scholar]
- Ronneberger, O.; Fischer, P.; Brox, T. U-Net: Convolutional Networks for Biomedical Image Segmentation. In Proceedings of the International Conference on Medical Image Computing and Computer-Assisted Intervention, Munich, Germany, 5–9 October 2015; pp. 234–241. [Google Scholar]
- Lai, W.-S.; Huang, J.-B.; Ahuja, N.; Yang, M.-H. Deep Laplacian Pyramid Networks for Fast and Accurate Super-Resolution. In Proceedings of the IEEE Conference on Computer Vision and Pattern Recognition, Honolulu, HI, USA, 21–26 July 2017; pp. 624–632. [Google Scholar]
- Wu, B.; Duan, H.; Liu, Z.; Sun, G. SRPGAN: Perceptual Generative Adversarial Network for Single Image Super Resolution. arXiv 2017, arXiv:1712.05927. [Google Scholar]
- Sun, D.; Roth, S.; Black, M.J. Secrets of Optical Flow Estimation and Their Principles. In Proceedings of the IEEE Conference on Computer Vision and Pattern Recognition, San Francisco, CA, USA, 13–18 June 2010; pp. 2432–2439. [Google Scholar]
- Isola, P.; Zhu, J.-Y.; Zhou, T.; Efros, A.A. Image-to-Image Translation with Conditional Adversarial Networks. In Proceedings of the IEEE Conference on Computer Vision and Pattern Recognition, Honolulu, HI, USA, 21–26 July 2017; pp. 1125–1134. [Google Scholar]
- Johnson, J.; Alahi, A.; Fei-Fei, L. Perceptual Losses for Real-Time Style Transfer and Super-Resolution. In Proceedings of the IEEE Conference on Computer Vision and Pattern Recognition, Amsterdam, The Netherlands, 11–14 October 2016; pp. 694–711. [Google Scholar]
- Deng, J.; Dong, W.; Socher, R.; Li, L.-J.; Li, K.; Fei-Fei, L. ImageNet: ImageNet: A Large-Scale Hierarchical Image Database. In Proceedings of the IEEE Conference on Computer Vision and Pattern Recognition, Miami, FL, USA, 20–25 June 2009; pp. 248–255. [Google Scholar]
- Zeiler, M.D.; Fergus, R. Visualizing and Understanding Convolutional Networks. In Proceedings of the IEEE Conference on Computer Vision and Pattern Recognition, Zurich, Switzerland, 6–12 September 2014; pp. 818–833. [Google Scholar]
- Image Differencing. Available online: https://en.wikipedia.org/wiki/Image_differencing (accessed on 2 June 2022).
- Biometrics. Available online: https://en.wikipedia.org/wiki/Biometrics (accessed on 2 June 2022).
- Yin, Y.; Liu, L.; Sun, X. SDUMLA-HMT: A Multimodal Biometric Database. In Proceedings of the Chinese Conference on Biometric Recognition, Beijing, China, 3–4 December 2011; pp. 260–268. [Google Scholar]
- Kumar, A.; Zhou, Y. Human Identification Using Finger Images. IEEE Trans. Image Process. 2012, 21, 2228–2244. [Google Scholar] [CrossRef]
- Bascle, B.; Blake, A.; Zisserman, A. Motion Deblurring and Super-resolution from an Image Sequence. In Proceedings of the European Conference on Computer Vision, Cambridge, UK, 14–19 April 1996; pp. 571–582. [Google Scholar]
- NVIDIA GeForce GTX 3060. Available online: https://www.nvidia.com/en-us/geforce/graphics-cards/30-series/rtx-3060-3060ti/ (accessed on 10 June 2022).
- PyTorch. Available online: https://pytorch.org/ (accessed on 3 June 2022).
- Kingma, D.P.; Ba, J. Adam: A method for stochastic optimization. arXiv 2014, arXiv:1412.6980. [Google Scholar]
- Bottou, L. Large-scale machine learning with stochastic gradient descent. In Proceedings of the International Conference Computational Statistics (COMPSTAT), Paris, France, 22–27 August 2010; pp. 177–186. [Google Scholar]
- Peak Signal-to-Noise Ratio. Available online: https://en.wikipedia.org/wiki/Peak_signal-to-noise_ratio (accessed on 13 June 2022).
- Wang, Z.; Bovik, A.C.; Sheikh, H.R.; Simoncelli, E.P. Image Quality Assessment: From Error Visibility to Structural Similarity. IEEE Trans. Image Process. 2004, 13, 600–612. [Google Scholar] [CrossRef]
- Wang, I.S.; Chan, H.-T.; Hsia, C.-H. Finger-Vein Recognition Using a NASNet with a Cutout. In Proceedings of the 2021 International Symposium on Intelligent Signal Processing and Communication Systems (ISPACS), Hualien City, Taiwan, 16–19 November 2021; pp. 1–2. [Google Scholar]
- Jetson TX2 Module. Available online: https://developer.nvidia.com/embedded/jetson-tx2 (accessed on 3 June 2022).
- Ma, N.; Zhang, X.; Zheng, H.-T.; Sun, J. ShuffleNet V2: Practical Guidelines for Efficient CNN Architecture Design. In Proceedings of the European Conference on Computer Vision (ECCV), Munich, Germany, 8–14 September 2018; pp. 122–138. [Google Scholar]
- Selvaraju, R.R.; Cogswell, M.; Das, A.; Vedantam, R.; Rarikh, D.; Batra, D. Grad-CAM: Visual Explanations from Deep Networks via Gradient-based Localization. In Proceedings of the European Conference on Computer Vision (ECCV), Venice, Italy, 22–29 October 2017; pp. 618–626. [Google Scholar]
- Meng, X.; Xi, X.; Yang, G.; Yin, Y. Finger vein recognition based on deformation information. Science China Inf. Sci. 2018, 61, 1–15. [Google Scholar] [CrossRef]
- Liu, W.; Li, W.; Sun, L.; Zhang, L.; Chen, P. Finger vein recognition based on deep learning. In Proceedings of the 2017 12th IEEE Conference on Industrial Electronics and Applications (ICIEA), Siem Reap, Cambodia, 18–20 June 2017; pp. 205–210. [Google Scholar]
- Fang, Y.; Wu, Q.; Kang, W. A novel finger vein verification system based on two-stream convolutional network learning. Neurocomputing 2018, 290, 100–107. [Google Scholar] [CrossRef]










































| Category | Methods | Advantages | Disadvantages | |
|---|---|---|---|---|
| Without considering blur restoration | Handcrafted feature-based | Local maximum curvature + template matching [21] | Recognition performance can be improved when the designed optimal filter is accurately modeled in the image spatial domain. |
|
| Repeated line tracking + template matching [22] | ||||
| Feature point matching [23] | ||||
| Minutia points + LBP-based feature extraction + Hamming distance [24] | ||||
| Gabor filter + SIFT feature matching + Euclidean distance [25] | ||||
| Local line binary pattern + Hamming distance [26] | ||||
| Trained feature-based | Difference image + CNN + genuine/imposter matching [27,28] |
| Requires large data for training. | |
| Vein pattern maps + CNN + feature matching [31] | ||||
| Composite image + CNN + shift matching + genuine/imposter matching [32,33,34] | ||||
| SCNN-LSTM + Hamming distance [36] | ||||
| Skin scattering blur restoration | Handcrafted feature-based | PSF + CLS filter [3] | If the light scattering components are accurately estimated, performance can be improved significantly. |
|
| BOM + POC [4] | ||||
| WBOM + ADAGC + LBIM + NSTM + Gabor wavelets + POC [5] | ||||
| PSF + BOM [6] | ||||
| Optical model + POC [7] | ||||
| Trained feature-based | BOM + CNN + matrix matching [8] | Shows robust performance through training with images obtained from various environments. | Did not consider optical and motion blur. | |
| Optical-blur restoration | Handcrafted feature-based | 2 PSFs for optical blur and scattering blur + CLS filter + modified Hausdorff distance [9] |
| Both optical blur and skin scattering blur components require accurate parameter estimation for performance improvement, which can increase processing time. |
| Trained feature-based | Difference image + Conditional GAN + CNN + genuine/imposter matching [10] |
|
| |
| Local blur model + global blur model + GAN-based restoration [11] | Defines blur models considering user condition and temperature condition. | |||
| Motion blur restoration | Trained feature-based | Difference image + Modified DeblurGAN + CNN + genuine/imposter matching [12] | Shows performance improvement considering possible motion blur during finger-vein recognition. | Requires large data for restoration and recognition. |
| Motion blur + optical blur restoration | Trained feature-based | Difference image + RMOBF-Net + CNN + genuine/imposter matching (Proposed method) |
| Requires a long (approximately 14 h) training process. |
| Layer | Input Feature Size (Height × Width × Channel) | Output Feature Size | Size of Kernel (Height × Width) | Stride | Padding | |
|---|---|---|---|---|---|---|
| Input (enc 0) | 256 × 256 × 3 | |||||
| Encoder | Conv | 256 × 256 × 3 | 256 × 256 × 48 | 3 × 3 | 1 | 1 |
| Residual block × 3 (enc 1) | 256 × 256 × 48 | 256 × 256 × 48 | 3 × 3 | 1 | 1 | |
| Downsample + Conv | 256 × 256 × 48 | 128 × 128 × 96 | 3 × 3 | 1 | 1 | |
| Residual block × 3 (enc 2) | 128 × 128 × 96 | 128 × 128 × 96 | 3 × 3 | 1 | 1 | |
| Downsample + Conv | 128 × 128 × 96 | 64 × 64 × 192 | 3 × 3 | 1 | 1 | |
| Residual block × 3 (enc 3) | 64 × 64 × 192 | 64 × 64 × 192 | 3 × 3 | 1 | 1 | |
| Downsample + Conv | 64 × 64 × 192 | 32 × 32 × 288 | 3 × 3 | 1 | 1 | |
| Residual block × 3 (enc 4) | 32 × 32 × 288 | 32 × 32 × 288 | 3 × 3 | 1 | 1 | |
| Downsample + Conv | 32 × 32 × 288 | 16 × 16 × 384 | 3 × 3 | 1 | 1 | |
| Residual block × 3 (enc 5) | 16 × 16 × 384 | 16 × 16 × 384 | 3 × 3 | 1 | 1 | |
| Downsample + Conv | 16 × 16 × 384 | 8 × 8 × 480 | 3 × 3 | 1 | 1 | |
| Residual block × 3 | 8 × 8 × 480 | 8 × 8 × 480 | 3 × 3 | 1 | 1 | |
| Decoder | Upsample (dec 5) | 8 × 8 × 480 | 16 × 16 × 384 | 3 × 3 | 1 | 1 |
| Concat | 16 × 16 × 384 (dec 5) 16 × 16 × 384 (enc 5) | 16 × 16 × 768 | ||||
| Conv | 16 × 16 × 768 | 16 × 16 × 384 | 1 × 1 | 1 | 0 | |
| Residual block × 3 | 16 × 16 × 384 | 16 × 16 × 384 | 3 × 3 | 1 | 1 | |
| Upsample + Conv (dec 4) | 16 × 16 × 384 | 32 × 32 × 288 | 3 × 3 | 1 | 1 | |
| Concat | 32 × 32 × 288 (dec 4) 32 × 32 × 288 (enc 4) | 32 × 32 × 576 | ||||
| Conv | 32 × 32 × 576 | 32 × 32 × 288 | 1 × 1 | 1 | 0 | |
| Residual block × 3 | 32 × 32 × 288 | 32 × 32 × 288 | 3 × 3 | 1 | 1 | |
| Upsample + Conv (dec 3) | 32 × 32 × 288 | 64 × 64 × 192 | 3 × 3 | 1 | 1 | |
| Concat | 64 × 64 × 192 (dec 3) 64 × 64 × 192 (enc 3) | 64 × 64 × 384 | ||||
| Conv | 64 × 64 × 384 | 64 × 64 × 192 | 1 × 1 | 1 | 0 | |
| Residual block × 3 | 64 × 64 × 192 | 64 × 64 × 192 | 3 × 3 | 1 | 1 | |
| Upsample + Conv (dec 2) | 64 × 64 × 192 | 128 × 128 × 96 | 3 × 3 | 1 | 1 | |
| Concat | 128 × 128 × 96 (dec 2) 128 × 128 × 96 (enc 2) | 128 × 128 × 192 | ||||
| Conv | 128 × 128 × 192 | 128 × 128 × 96 | 1 × 1 | 1 | 0 | |
| Residual block × 3 | 128 × 128 × 96 | 128 × 128 × 96 | 3 × 3 | 1 | 1 | |
| Upsample + Conv (dec 1) | 128 × 128 × 96 | 256 × 256 × 48 | 3 × 3 | 1 | 1 | |
| Concat | 256 × 256 × 48 (dec 1) 256 × 256 × 48 (enc 1) | 256 × 256 × 96 | ||||
| Conv | 256 × 256 × 96 | 256 × 256 × 48 | 1 × 1 | 1 | 0 | |
| Residual block × 3 | 256 × 256 × 48 | 256 × 256 × 48 | 3 × 3 | 1 | 1 | |
| Conv (dec 0) | 256 × 256 × 48 | 256 × 256 × 3 | 3 × 3 | 1 | 1 | |
| Concat | 256 × 256 × 3 (enc 0) 256 × 256 × 3 (dec 0) | 256 × 256 × 6 | ||||
| Ouput | 256 × 256 × 6 | 256 × 256 × 3 | 1 × 1 | 1 | 0 | |
| Methods | 11 × 11 | 15 × 15 | 19 × 19 | |||
|---|---|---|---|---|---|---|
| PSNR | SSIM | PSNR | SSIM | PSNR | SSIM | |
| DeblurGAN [13] | 29.79 | 0.910 | 29.764 | 0.914 | 29.839 | 0.916 |
| DeblurGANv2 [15] | 31.092 | 0.913 | 31.058 | 0.916 | 30.545 | 0.890 |
| SRN-DeblurNet [16] | 32.705 | 0.958 | 32.58 | 0.957 | 32.553 | 0.957 |
| MPRNet [17] | 31.395 | 0.948 | 30.239 | 0.937 | 31.158 | 0.947 |
| RMOBF-Net | 32.775 | 0.955 | 32.668 | 0.954 | 32.574 | 0.954 |
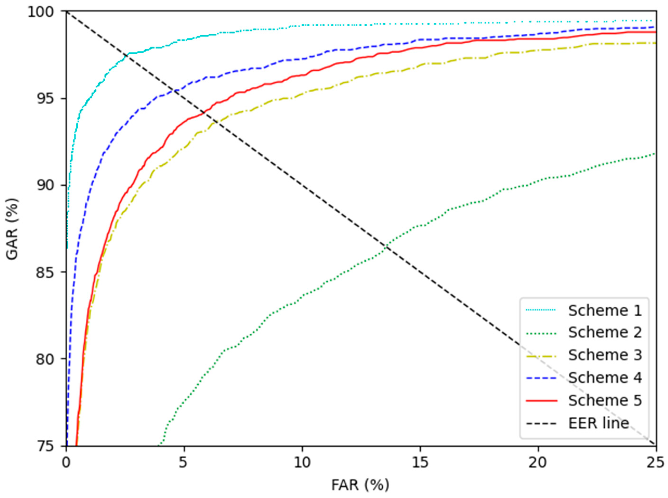
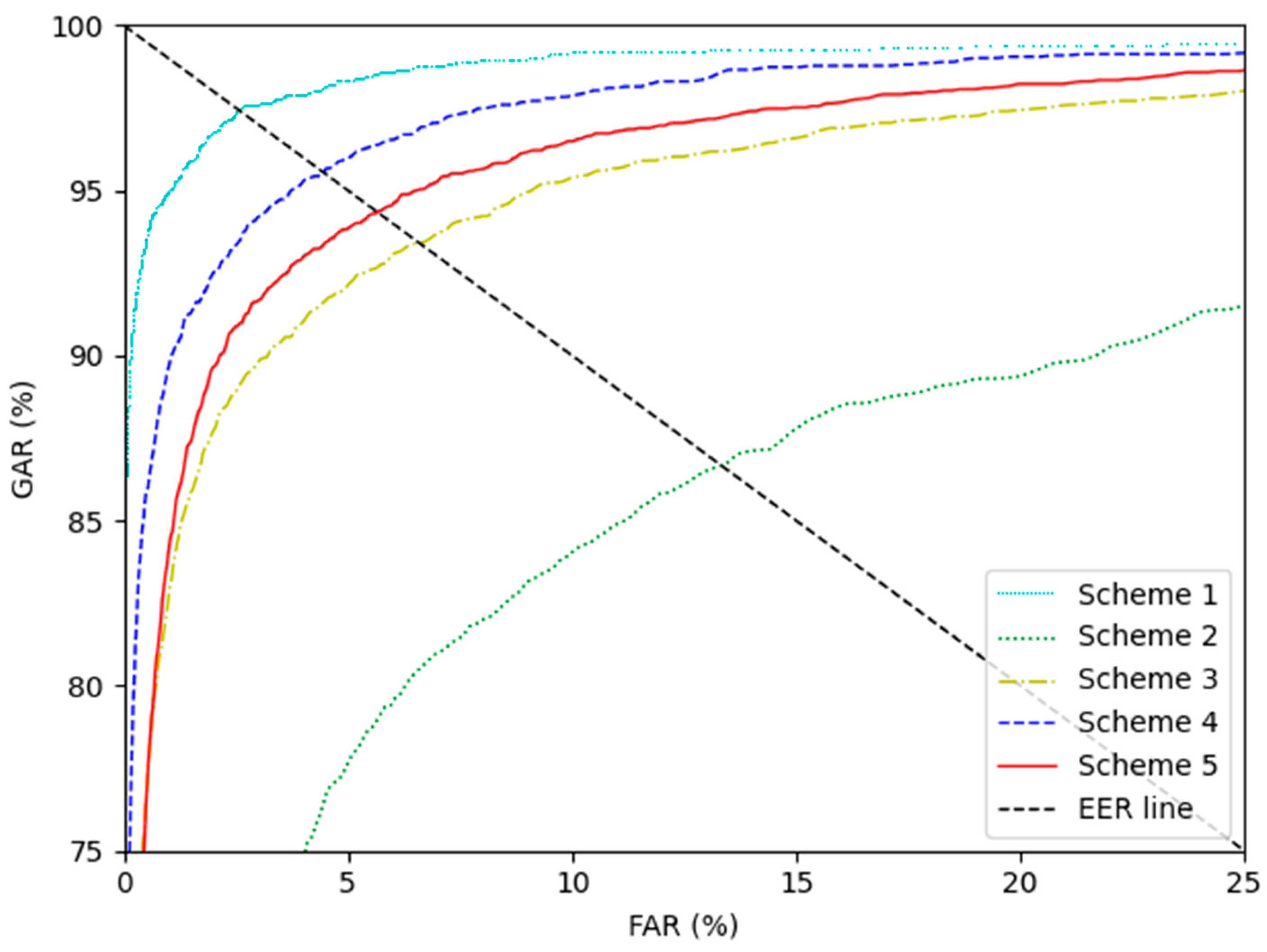
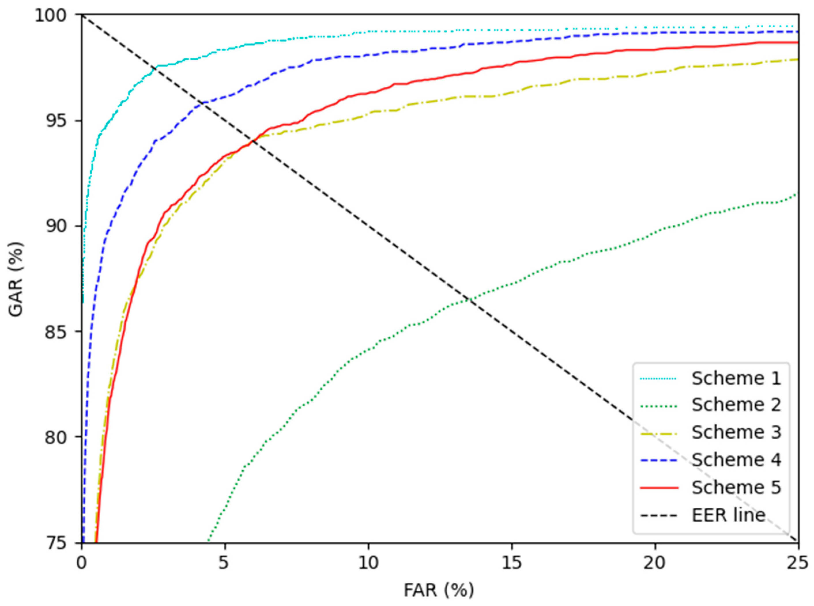
| Optical Blur Intensity (Gaussian Filter Size, Std.) | Scheme 1 | Scheme 2 | Scheme 3 | Scheme 4 | Scheme 5 |
|---|---|---|---|---|---|
| 11 × 11, 11 | 2.647 | 13.473 | 6.367 | 4.638 | 5.754 |
| 15 × 15, 15 | 13.311 | 6.604 | 4.336 | 5.488 | |
| 19 × 19, 19 | 13.494 | 6.624 | 4.290 | 5.779 |
| Methods | Scheme 4 | Scheme 5 | ||||
|---|---|---|---|---|---|---|
| 11 × 11 | 15 × 15 | 19 × 19 | 11 × 11 | 15 × 15 | 19 × 19 | |
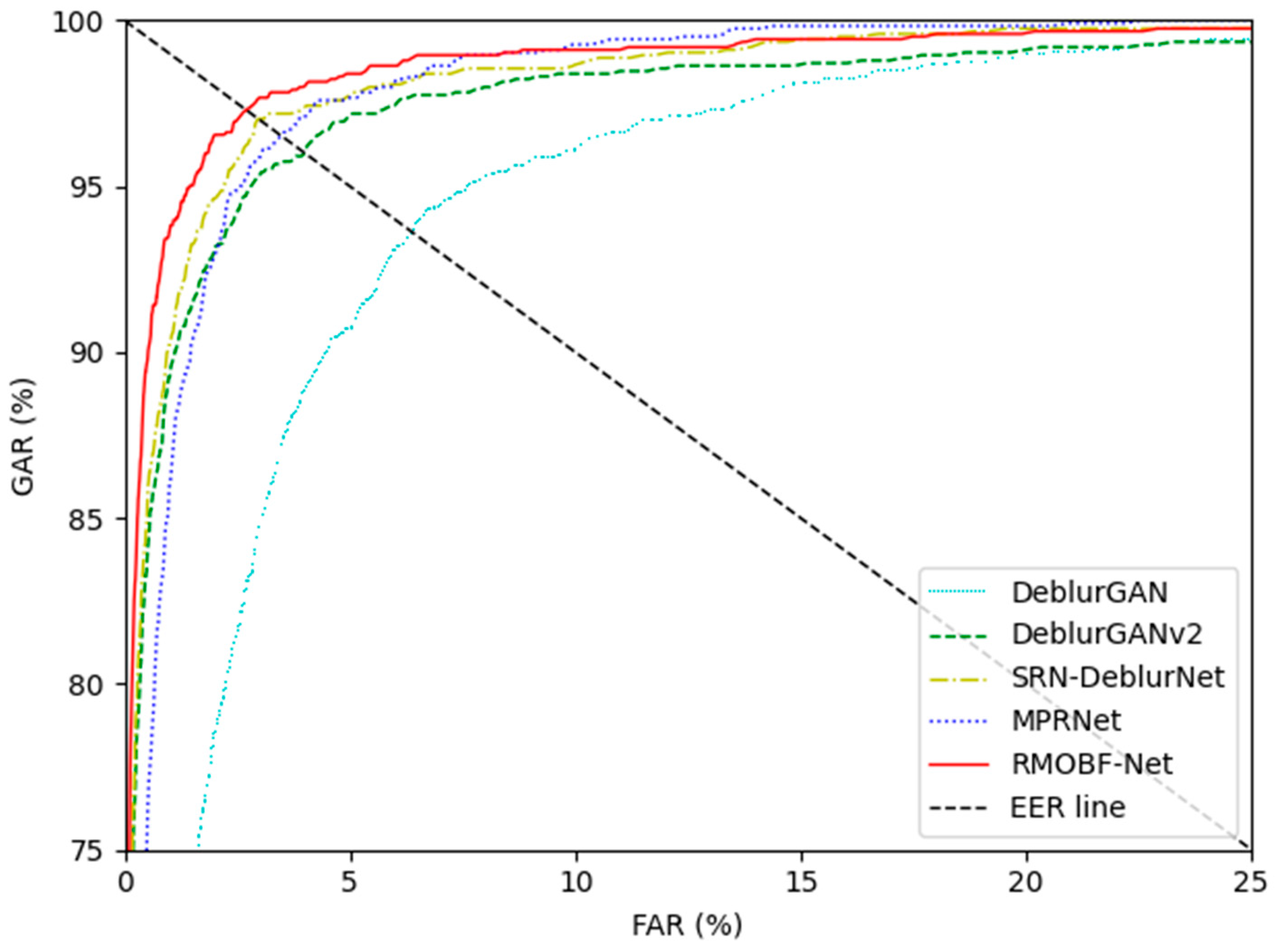
| DeblurGAN [13] | 6.706 | 6.471 | 5.651 | 12.701 | 13.443 | 12.176 |
| DeblurGANv2 [15] | 5.933 | 5.828 | 5.594 | 8.315 | 8.483 | 9.127 |
| SRN-DeblurNet [16] | 4.410 | 4.676 | 4.848 | 7.215 | 7.458 | 7.402 |
| MPRNet [17] | 5.145 | 5.348 | 5.430 | 9.211 | 8.819 | 9.421 |
| RMOBF-Net | 4.638 | 4.336 | 4.290 | 5.754 | 5.488 | 5.779 |
| Methods | Scheme 1 | Scheme 2 | Scheme 3 | Scheme 4 | Scheme 5 |
|---|---|---|---|---|---|
| DenseNet-161 | 2.647 | 13.494 | 6.624 | 4.290 | 5.779 |
| NASNet [65] | 3.269 | 21.793 | 9.306 | 4.849 | 8.284 |
| Methods | 11 × 11 | 15 × 15 | 19 × 19 | |||
|---|---|---|---|---|---|---|
| PSNR | SSIM | PSNR | SSIM | PSNR | SSIM | |
| DeblurGAN [13] | 31.185 | 0.936 | 30.564 | 0.93 | 31.071 | 0.934 |
| DeblurGANv2 [15] | 31.741 | 0.933 | 31.373 | 0.924 | 31.255 | 0.927 |
| SRN-DeblurNet [16] | 33.199 | 0.969 | 33.031 | 0.969 | 32.889 | 0.968 |
| MPRNet [17] | 32.494 | 0.966 | 32.609 | 0.967 | 32.382 | 0.966 |
| RMOBF-Net | 33.701 | 0.968 | 33.577 | 0.968 | 33.276 | 0.967 |
| Optical Blur Intensity (Gaussian Filter Size, Std.) | Scheme 1 | Scheme 2 | Scheme 3 | Scheme 4 | Scheme 5 |
|---|---|---|---|---|---|
| 11 × 11, 11 | 1.205 | 18.424 | 5.307 | 2.669 | 5.428 |
| 15 × 15, 15 | 20.707 | 5.416 | 2.465 | 5.887 | |
| 19 × 19, 19 | 23.612 | 5.750 | 3.096 | 6.663 |
| Methods | Scheme 4 | Scheme 5 | ||||
|---|---|---|---|---|---|---|
| 11 × 11 | 15 × 15 | 19 × 19 | 11 × 11 | 15 × 15 | 19 × 19 | |
| DeblurGAN [13] | 6.092 | 6.303 | 6.510 | 14.663 | 13.710 | 15.318 |
| DeblurGANv2 [15] | 3.739 | 4.060 | 3.888 | 5.224 | 6.079 | 7.161 |
| SRN-DeblurNet [16] | 3.045 | 3.245 | 3.503 | 7.727 | 9.870 | 7.815 |
| MPRNet [17] | 3.332 | 2.265 | 4.770 | 11.808 | 13.897 | 13.731 |
| RMOBF-Net | 2.669 | 2.465 | 3.096 | 5.428 | 5.887 | 6.663 |
| Category | RMOBF-Net | DenseNet-161 | Total | |
|---|---|---|---|---|
| Processing time (ms) | Desktop computer | 17.7 | 34.2 | 51.9 |
| Jetson TX2 | 73.1 | 125.3 | 198.4 | |
| FLOPs (G) | 75.5 | 7.82 | 83.32 | |
| Number of parameters (M) | 49.83 | 28.68 | 78.51 | |
| Category | Processing Time (ms) | Frame per Second (fps) |
|---|---|---|
| DeblurGAN [13] | 53.1 | 18.83 |
| DeblurGANv2 [15] | 591.84 | 1.69 |
| SRN-DeblurNet [16] | 950.57 | 1.05 |
| MPRNet [17] | 758.74 | 1.32 |
| RMOBF-Net | 73.1 | 13.7 |
Publisher’s Note: MDPI stays neutral with regard to jurisdictional claims in published maps and institutional affiliations. |
© 2022 by the authors. Licensee MDPI, Basel, Switzerland. This article is an open access article distributed under the terms and conditions of the Creative Commons Attribution (CC BY) license (https://creativecommons.org/licenses/by/4.0/).
Share and Cite
Choi, J.; Hong, J.S.; Kim, S.G.; Park, C.; Nam, S.H.; Park, K.R. RMOBF-Net: Network for the Restoration of Motion and Optical Blurred Finger-Vein Images for Improving Recognition Accuracy. Mathematics 2022, 10, 3948. https://doi.org/10.3390/math10213948
Choi J, Hong JS, Kim SG, Park C, Nam SH, Park KR. RMOBF-Net: Network for the Restoration of Motion and Optical Blurred Finger-Vein Images for Improving Recognition Accuracy. Mathematics. 2022; 10(21):3948. https://doi.org/10.3390/math10213948
Chicago/Turabian StyleChoi, Jiho, Jin Seong Hong, Seung Gu Kim, Chanhum Park, Se Hyun Nam, and Kang Ryoung Park. 2022. "RMOBF-Net: Network for the Restoration of Motion and Optical Blurred Finger-Vein Images for Improving Recognition Accuracy" Mathematics 10, no. 21: 3948. https://doi.org/10.3390/math10213948
APA StyleChoi, J., Hong, J. S., Kim, S. G., Park, C., Nam, S. H., & Park, K. R. (2022). RMOBF-Net: Network for the Restoration of Motion and Optical Blurred Finger-Vein Images for Improving Recognition Accuracy. Mathematics, 10(21), 3948. https://doi.org/10.3390/math10213948

