Analysis of Mixed Convection on Two-Phase Nanofluid Flow Past a Vertical Plate in Brinkman-Extended Darcy Porous Medium with Nield Conditions
Abstract
1. Introduction
2. Mathematical Scenario of the Problem
2.1. Skin Friction Coefficient
2.2. Heat Transfer
3. Numerical Methodology and Validation of the Code
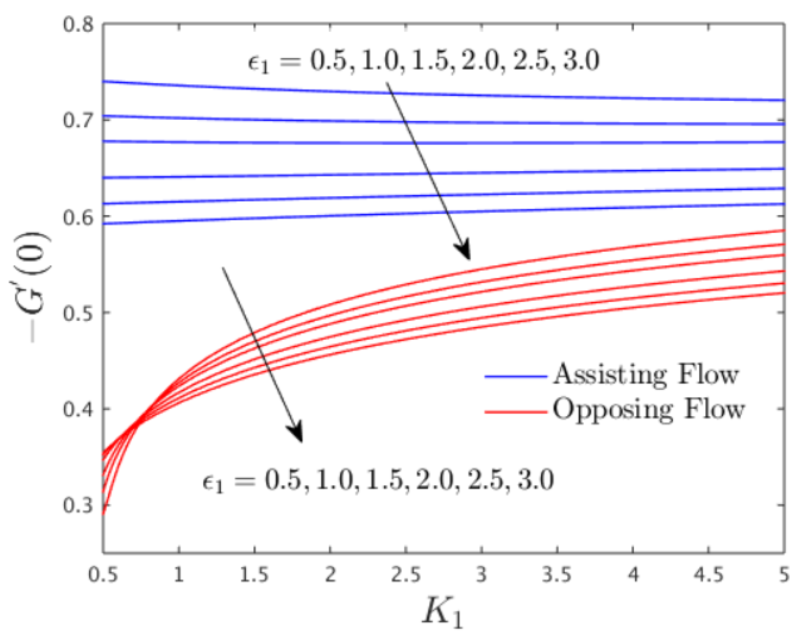
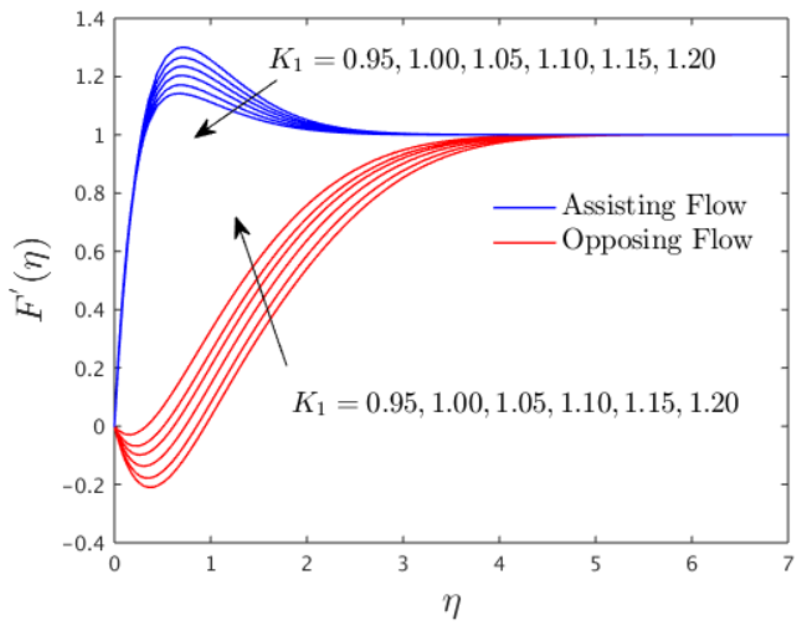
4. Analysis of Results












5. Conclusions
- Outcomes of the given model are discussed throughout the research work for the cases of buoyancy assisting flow (BAF) and buoyancy opposing flow (BOF) with several varying embedded control parameters.
- The profile of velocity declines for the case of BAF as well as BOF due to the larger impacts of , while the trend of velocity is the same for the case of BAF and the opposite for the case of BOF with the larger value of the dimensionless permeability parameter .
- The dimensionless permeability parameter and the Brownian motion parameter raise the temperature for the case of BAF and decline for the case of BOF. On the other hand, the temperature abruptly improves for both cases of mixed convection parameter due to and .
- The concentration profile decelerates for the case of BAF as well as BOF owing to higher impacts of parameter , whilst the modified porosity parameter provides a substantial increment for both cases of buoyancy parameter.
- The local skin friction coefficient elevates for the larger value of and while it is declined for .
- The higher impacts of the buoyancy ratio parameter enrich the wall mass transfer for the cases of BAF as well as for BOF.
Author Contributions
Funding
Data Availability Statement
Acknowledgments
Conflicts of Interest
References
- Choi, S.U.S.; Eastman, J.A. Enhancing Thermal Conductivity of Fluids with Nanoparticles. In Proceedings of the 1995 International Mechanical Engineering Congress and Exhibition, San Francisco, CA, USA, 12–17 November 1995. [Google Scholar]
- Das, S.K.; Choi, S.U.S.; Yu, W.; Pradeep, T. Nanofluids: Science and Technology; Wiley-Interscience: Hoboken, NJ, USA, 2007. [Google Scholar]
- Minkowycz, W.J.; Sparrow, E.M.; Abraham, J.P. Nanoparticle Heat Transfer and Fluid Flow; CRC Press: New York, NY, USA; Taylor & Fracis Group: Abingdon, UK, 2013. [Google Scholar]
- Minea, A.A. Advances in New Heat Transfer Fluids: From Numerical to Experimental Techniques; CRC Press: New York, NY, USA; Taylor & Fracis Group: Abingdon, UK, 2017. [Google Scholar]
- Zaib, A.; Haq, R.U.; Sheikholeslami, M.; Khan, U. Numerical analysis of effective Prandtl model on mixed convection flow of γAl2O3–H2O nanoliquids with micropolar liquid driven through wedge. Phys. Scr. 2020, 95, 035005. [Google Scholar] [CrossRef]
- Usman, M.; Zubair, T.; Hamid, M.; Haq, R.U. Novel modification in wavelets method to analyze unsteady flow of nanofluid between two infinitely parallel plates. Chin. J. Phys. 2020, 66, 222–236. [Google Scholar] [CrossRef]
- Waini, I.; Ishak, A.; Pop, I. Nanofluid flow on a shrinking cylinder with Al2O3 nanoparticles. Mathematics 2021, 9, 1612. [Google Scholar] [CrossRef]
- Kotresh, M.J.; Ramesh, G.K.; Shashikala, V.K.R.; Prasannakumara, B.C. Assessment of Arrhenius activation energy in stretched flow of nanofluid over a rotating disc. Heat Transf. 2021, 50, 2807–2828. [Google Scholar] [CrossRef]
- Khan, U.; Zaib, A.; Bakar, S.A.; Ishak, A. Stagnation-point flow of a hybrid nanoliquid over a non-isothermal stretching/shrinking sheet with characteristics of inertial and microstructure. Case Stud. Therm. Eng. 2021, 26, 101150. [Google Scholar] [CrossRef]
- Abderrahmane, A.; Al-Khaleel, M.; Mourad, A.; Laidoudi, H.; Driss, Z.; Younis, O.; Guedri, K.; Marzouki, R. Natural convection within inversed T-shaped enclosure filled by nano-enhanced phase change material: Numerical investigation. Nanomaterials 2022, 12, 2917. [Google Scholar] [CrossRef]
- Abderrahmane, A.; Qasem, N.A.A.; Mourad, A.; Al-Khaleel, M.; Said, Z.; Guedri, K.; Younis, O.; Marzouki, R. Enhancing the melting process of shell-and-tube PCM thermal energy storage unit using modified tube design. Nanomaterials 2022, 12, 3078. [Google Scholar] [CrossRef]
- Abderrahmane, A.; Younis, O.; Al-Khaleel, M.; Laidoudi, H.; Akkurt, N.; Guedri, K.; Marzouki, R. 2D MHD mixed convection in a zigzag trapezoidal thermal energy storage system using NEPCM. Nanomaterials 2022, 12, 3270. [Google Scholar] [CrossRef]
- Merkin, J.H. Mixed convection boundary layer flow on a vertical surface in a saturated porous medium. J. Eng. Math. 1980, 14, 301–313. [Google Scholar] [CrossRef]
- Ahmad, S.; Pop, I. Mixed convection boundary layer flow from a vertical flat plate embedded in a porous medium filled with nanofluids. Int. Commun. Heat Mass Transf. 2010, 37, 987–991. [Google Scholar] [CrossRef]
- Nazar, R.; Tham, L.; Pop, I.; Ingham, D.B. Mixed convection boundary layer flow from a horizontal circular cylinder embedded in a porous medium filled with a nanofluid. Transp. Porous Media 2011, 86, 517–536. [Google Scholar] [CrossRef]
- Chamkha, A.J.; Abbasbandy, S.; Rashad, A.M.; Vajravelu, K. Radiation effects on mixed convection over a wedge embedded in a porous medium filled with a nanofluid. Transp. Porous Media 2012, 91, 261–279. [Google Scholar] [CrossRef]
- Roşca, N.C.; Roşca, A.V.; Groşan, T.; Pop, I. Mixed convection boundary layer flow past a vertical flat plate embedded in a non-Darcy porous medium saturated by a nanofluid. Int. J. Numer. Methods Heat Fluid Flow 2014, 24, 970–987. [Google Scholar] [CrossRef]
- Sheremet, M.A.; Pop, I. Mixed convection in a lid-driven square cavity filled by a nanofluid: Buongiorno’s mathematical model. Appl. Math. Comput. 2015, 266, 792–808. [Google Scholar] [CrossRef]
- Bakar, S.A.; Arifin, N.M.; Md Ali, F.; Bachok, N.; Nazar, R.; Pop, I. A stability analysis on mixed convection boundary layer flow along a permeable vertical cylinder in a porous medium filled with a nanofluid and thermal radiation. Appl. Sci. 2018, 8, 483. [Google Scholar] [CrossRef]
- Waini, I.; Ishak, A.; Groşan, T.; Pop, I. Mixed convection of a hybrid nanofluid flow along a vertical surface embedded in a porous medium. Int. Comm. Heat Mass Transf. 2020, 114, 104565. [Google Scholar] [CrossRef]
- Dash, G.C.; Das, S.S. Hall effects on MHD flow along an accelerated porous flat plate with mass transfer and internal heat generation. Math. Eng. Indust. 1999, 7, 389–404. [Google Scholar]
- Panda, J.P.; Dash, G.C.; Das, S.S. Unsteady free convective flow and mass transfer of a rotating elastico-viscous liquid through porous media past a vertical porous plate. AMSE J. Mod. Meas. Cont. B 2003, 72, 47–59. [Google Scholar]
- Das, S.S.; Sahoo, S.K.; Dash, G.C. Numerical solution of mass transfer effects on unsteady flow past an accelerated vertical porous plate with suction. Bull. Malays. Math. Sci. Soc. 2006, 29, 33–42. [Google Scholar]
- Sanjayanand, E.; Khan, S.K. On heat and mass transfer in a viscoelastic boundary layer flow over an exponentially stretching sheet. Int. J. Therm. Sci. 2006, 45, 819–828. [Google Scholar] [CrossRef]
- Elbashbeshy, E.M.A.; Emam, T.G.; Abdel-Wahed, M.S. Mass transfer over unsteady stretching surface embedded in porous medium in the presence of variable chemical reaction and suction/injection. Appl. Math. Sci. 2011, 5, 557–571. [Google Scholar]
- Qasim, M.; Khan, Z.H.; Lopez, R.J.; Khan, W.A. Heat and mass transfer in nanofluid thin film over an unsteady stretching sheet using Buongiorno’s model. Eur. Phys. J. Plus 2016, 131, 16. [Google Scholar] [CrossRef]
- Ramudu, A.C.V.; Kumar, K.A.; Sugunamma, V.; Sandeep, N. Heat and mass transfer in MHD Casson nanofluid flow past a stretching sheet with thermophoresis and Brownian motion. Heat Transf. 2020, 49, 5020–5037. [Google Scholar] [CrossRef]
- Alam, A.; Marwat, D.N.K. Heat and mass transfer on a stretching/ shrinking and porous sheet of variable thickness with suction and injection. Proc. Inst. Mech. Eng. Part C J. Mech. Eng. Sci. 2021, 235, 5297–5308. [Google Scholar] [CrossRef]
- Roşca, A.V.; Roşca, N.C.; Pop, I. Mixed convection heat and mass from a vertical surface embedded in a porous medium. Transp. Porous Media 2015, 109, 279–295. [Google Scholar] [CrossRef]
- Mahanthesh, B.; Gireesha, B.J.; Gorla, R.S.R. Heat and mass transfer effects on the mixed convective flow of chemically reacting nanofluid past a moving/stationary vertical plate. Alex. Eng. J. 2016, 55, 569–581. [Google Scholar] [CrossRef]
- Waini, I.; Ishak, A.; Pop, I. Dufour and Soret effects on Al2O3-water nanofluid flow over a moving thin needle: Tiwari and Das model. Int. J. Num. Meth. Heat Fluid Flow 2020, 31, 766–782. [Google Scholar] [CrossRef]
- Bakar, S.A.; Md Arifin, N.; Khashi’ie, N.S.; Bachok, N. Hybrid nanofluid flow over a permeable shrinking sheet embedded in a porous medium with radiation and slip impacts. Mathematics 2021, 9, 878. [Google Scholar] [CrossRef]
- Mohamed, M.K.A.; Salleh, M.Z.; Ishak, A. Effects of viscous dissipation on mixed convection boundary layer flow past a vertical moving plate in a nanofluid. J. Adv. Res. Fluid Mech. Therm. Sci. 2020, 69, 1–18. [Google Scholar] [CrossRef]
- Bejan, A.; Khair, K.R. Heat and mass transfer by natural convection in a porous medium. Int. J. Heat Mass Transf. 1985, 28, 909–918. [Google Scholar] [CrossRef]
- Kuznetsov, A.V.; Nield, D.A. Natural convective boundary-layer flow of a nanofluid past a vertical plate. Int. J. Therm. Sci. 2010, 49, 243–247. [Google Scholar] [CrossRef]
- Shampine, L.F.; Gladwell, I.; Thompson, S. Solving ODEs with Matlab; Cambridge University Press: Cambridge, UK, 2003. [Google Scholar]
- Chu, Y.M.; Khan, U.; Shafiq, A.; Zaib, A. Numerical simulations of time-dependent micro-rotation blood flow induced by a curved moving surface through conduction of gold particles with non-uniform heat sink/source. Arab. J. Sci. Eng. 2021, 46, 2413–2427. [Google Scholar] [CrossRef]
- Khan, U.; Zaib, A.; Ishak, A.; Abu Bakar, S.; Animasaun, I.L.; Yook, S.-J. Insights into the dynamics of blood conveying gold nanoparticles on a curved surface when suction, thermal radiation, and Lorentz force are significant: The case of Non-Newtonian Williamson fluid. Math. Comput. Simul. 2022, 193, 250–268. [Google Scholar] [CrossRef]
- Rosali, H.; Ishak, A.; Pop, I. Mixed convection stagnation-point flow over a vertical plate with prescribed heat flux embedded in a porous medium: Brinkman-extended Darcy formulation. Trans. Porous Media 2011, 90, 709–719. [Google Scholar] [CrossRef]
- Khan, U.; Zaib, A.; Khan, I.; Nisar, K.S.; Baleanu, D. Insights into the stability of mixed convective Darcy–Forchheimer flows of cross liquids from a vertical plate with consideration of the significant impact of velocity and thermal slip conditions. Mathematics 2020, 8, 31. [Google Scholar] [CrossRef]

| Rosali et al. [39] | Khan et al. [40] | Present Results | ||
|---|---|---|---|---|
| 0.1 | −0.5 | 4.1508 | 4.1389 | 4.13883456 |
| 1.0 | 6.4874 | 6.4864 | 6.48737453 | |
| 2.0 | 7.7611 | 7.7614 | 7.76132675 | |
| 0.5 | −0.5 | 1.8821 | 1.8838 | 1.88374657 |
| 1.0 | 2.8597 | 2.8453 | 2.84523589 | |
| 2.0 | 3.3944 | 3.3944 | 3.39431567 | |
| 0.7 | −0.5 | 1.5967 | 1.6008 | 1.60073245 |
| 1.0 | 2.4074 | 2.4124 | 2.41232897 | |
| 2.0 | 2.8514 | 2.8499 | 2.84984563 | |
| 1.0 | −0.5 | 1.3418 | 1.3488 | 1.34371245 |
| 1.0 | 2.0050 | 2.0050 | 2.00501345 | |
| 2.0 | 2.3690 | 2.3620 | 2.36201965 | |
| Assisting Flow | Opposing Flow | |||
|---|---|---|---|---|
| 0.25 | 0.75 | 0.50 | 6.1487376 | −0.98035728 |
| 0.50 | 4.1754402 | −0.75291722 | ||
| 0.75 | 3.3192327 | −0.59739661 | ||
| 1.00 | 2.8170001 | −0.47427638 | ||
| 0.50 | 0.75 | 0.50 | 4.1754402 | −0.75291722 |
| 0.80 | 4.1854688 | −0.74086792 | ||
| 0.85 | 4.1955118 | −0.72308883 | ||
| 0.90 | 4.2055694 | −0.69391372 | ||
| 0.50 | 0.75 | 0.40 | 4.1623374 | −0.76864007 |
| 0.43 | 4.1662691 | −0.76368910 | ||
| 0.46 | 4.1702001 | −0.75894785 | ||
| 0.50 | 4.1754402 | −0.75291722 |
| Assisting Flow | Opposing Flow | ||||||
|---|---|---|---|---|---|---|---|
| 0.25 | 0.10 | 0.10 | 10 | 0.75 | 0.50 | 0.75434984 | 0.21760305 |
| 0.50 | 0.70714096 | 0.22880305 | |||||
| 0.75 | 0.67674755 | 0.23700267 | |||||
| 1.00 | 0.65425212 | 0.25756980 | |||||
| 0.50 | 0.10 | 0.10 | 10 | 0.75 | 0.50 | 0.70714096 | 0.22880305 |
| 0.30 | 0.65015345 | 0.23965033 | |||||
| 0.50 | 0.60002187 | 0.23109820 | |||||
| 0.70 | 0.55559080 | 0.21769050 | |||||
| 0.50 | 0.10 | 0.10 | 10 | 0.75 | 0.50 | 0.70714096 | 0.22880305 |
| 0.11 | 0.70681943 | 0.22631427 | |||||
| 0.12 | 0.70655117 | 0.22514745 | |||||
| 0.13 | 0.70632394 | 0.22402853 | |||||
| 0.50 | 0.10 | 0.10 | 2.0 | 0.75 | 0.50 | 0.71776362 | 0.15705795 |
| 4.0 | 0.71119458 | 0.18919402 | |||||
| 10.0 | 0.70714096 | 0.22880305 | |||||
| 15.0 | 0.70625285 | 0.24466209 | |||||
| 0.5 | 0.1 | 0.1 | 10 | 0.75 | 0.5 | 0.71776362 | 0.22880305 |
| 0.80 | 0.70697765 | 0.23609696 | |||||
| 0.85 | 0.70681868 | 0.24595134 | |||||
| 0.90 | 0.70666444 | 0.26005883 | |||||
| 0.5 | 0.1 | 0.1 | 10 | 0.75 | 0.40 | 0.70643304 | 0.22295484 |
| 0.43 | 0.70664563 | 0.22485683 | |||||
| 0.46 | 0.70685804 | 0.22662686 | |||||
| 0.50 | 0.70714096 | 0.22880305 |
Publisher’s Note: MDPI stays neutral with regard to jurisdictional claims in published maps and institutional affiliations. |
© 2022 by the authors. Licensee MDPI, Basel, Switzerland. This article is an open access article distributed under the terms and conditions of the Creative Commons Attribution (CC BY) license (https://creativecommons.org/licenses/by/4.0/).
Share and Cite
Gasmi, H.; Khan, U.; Zaib, A.; Ishak, A.; Eldin, S.M.; Raizah, Z. Analysis of Mixed Convection on Two-Phase Nanofluid Flow Past a Vertical Plate in Brinkman-Extended Darcy Porous Medium with Nield Conditions. Mathematics 2022, 10, 3918. https://doi.org/10.3390/math10203918
Gasmi H, Khan U, Zaib A, Ishak A, Eldin SM, Raizah Z. Analysis of Mixed Convection on Two-Phase Nanofluid Flow Past a Vertical Plate in Brinkman-Extended Darcy Porous Medium with Nield Conditions. Mathematics. 2022; 10(20):3918. https://doi.org/10.3390/math10203918
Chicago/Turabian StyleGasmi, Hatem, Umair Khan, Aurang Zaib, Anuar Ishak, Sayed M. Eldin, and Zehba Raizah. 2022. "Analysis of Mixed Convection on Two-Phase Nanofluid Flow Past a Vertical Plate in Brinkman-Extended Darcy Porous Medium with Nield Conditions" Mathematics 10, no. 20: 3918. https://doi.org/10.3390/math10203918
APA StyleGasmi, H., Khan, U., Zaib, A., Ishak, A., Eldin, S. M., & Raizah, Z. (2022). Analysis of Mixed Convection on Two-Phase Nanofluid Flow Past a Vertical Plate in Brinkman-Extended Darcy Porous Medium with Nield Conditions. Mathematics, 10(20), 3918. https://doi.org/10.3390/math10203918

