Next Article in Journal
A Multi-Objective Optimisation Mathematical Model with Constraints Conducive to the Healthy Rhythm for Lighting Control Strategy
Next Article in Special Issue
On Convergence of Support Operator Method Schemes for Differential Rotational Operations on Tetrahedral Meshes Applied to Magnetohydrodynamic Problems
Previous Article in Journal
New Hermite–Hadamard and Ostrowski-Type Inequalities for Newly Introduced Co-Ordinated Convexity with Respect to a Pair of Functions
Previous Article in Special Issue
Optical Solitons of the Generalized Nonlinear Schrödinger Equation with Kerr Nonlinearity and Dispersion of Unrestricted Order
 
 
Font Type:
Arial Georgia Verdana
Font Size:
Aa Aa Aa
Line Spacing:
Column Width:
Background:
Article

Mathematical Modeling of Gas Hydrates Dissociation in Porous Media with Water-Ice Phase Transformations Using Differential Constrains

1
Department of Physical and Environmental Science, Texas A&M University—Corpus Christi, Corpus Christi, TX 78412, USA
2
Keldysh Institute of Applied Mathematics of Russian Academy of Sciences, 125047 Moscow, Russia
*
Author to whom correspondence should be addressed.
Mathematics 2022, 10(19), 3470; https://doi.org/10.3390/math10193470
Submission received: 23 August 2022 / Revised: 18 September 2022 / Accepted: 21 September 2022 / Published: 23 September 2022

Abstract

:
2D numerical modeling algorithms of multi-component, multi-phase filtration processes of mass transfer in frost-susceptible rocks using nonlinear partial differential equations are a valuable tool for problems of subsurface hydrodynamics considering the presence of free gas, free water, gas hydrates, ice formation and phase transitions. In this work, a previously developed one-dimensional numerical modeling approach is modified and 2D algorithms are formulated through means of the support-operators method (SOM) and presented for the entire area of the process extension. The SOM is used to generalize the method of finite difference for spatially irregular grids case. The approach is useful for objects where a lithological heterogeneity of rocks has a big influence on formation and accumulation of gas hydrates and therefore it allows to achieve a sufficiently good spatial approximation for numerical modeling of objects related to gas hydrates dissociation in porous media. The modeling approach presented here consistently applies the method of physical process splitting which allows to split the system into dissipative equation and hyperbolic unit. The governing variables were determined in flow areas of the hydrate equilibrium zone by applying the Gibbs phase rule. The problem of interaction of a vertical fault and horizontal formation containing gas hydrates was investigated and test calculations were done for understanding of influence of thermal effect of the fault on the formation fluid dynamic.

1. Introduction

Presently natural gas hydrates are studied extensively worldwide for reasons well beyond energy resources: besides the potential for becoming a novel fuel, methane hydrates present a potential hazard related [1,2] to methane emission during hydrate dissociation, particularly due to influence of climate changes. Part of the discovered and hypothetical occurrences are affiliated with permafrost regions and the Arctic Ocean shelves. In a large number of studies there are hypothesis formulated and detailly investigated about relationship between gas hydrates dissociation and multiple natural processes, including those with possible grave consequences, such as cratering onshore in northern regions and broad-scale gas fluxes through the ocean floor.
Capabilities of modeling of gas hydrates-related processes are still limited leading to a scientific debate on the effects of possible wide-spread gas hydrate dissociation. When applying the modeling to the gas hydrates processes in cryolithic zone of polar regions and shelves of the Arctic Ocean, it is necessary to consider one additional phase in the general scheme for calculations, which is the ice phase. The current study is devoted to mathematical modelling of gas hydrates dissociation in porous media allowing consideration of the presence of ice and the associated phase transitions. As the basis for the study the widely applied model of mass, energy and momentum balance equations is taken into account under the assumption of the thermodynamic equilibrium process behavior. Based on the balance equations, a unique method of physical processes splitting, established for 3-phase system and presented by the authors in their previous paper [3], is improved and applied for the “gas–water–gas hydrates–ice” 4-phase system. Furthermore, it is the first time when the characteristic properties for the splitted 4-phase system (i.e., upward/downward flow direction for saturation unit and ice phase concentration values) are analyzed. This study is dedicated to the newly-presented model of physical processes splitting for the 4-phase system and its results.
As the main method of analysis the physical processes splitting is used. This allows to split the system into dissipative equation and saturation unit, which is responsible for convection transfer of saturation parameters and primarily typified by hyperbolic features. The splitting approach allows to use implicit/explicit numerical solution schemes, which are applicable for phase transition problems, and avoid excessive time step refinement.
A gradual expansion of the method’s capabilities is being conducted in the study by inclusion in the integrated algorithm increasing number of phases and components, which naturally appear in an array of scientific, technical and ecological problems.
In Section 2, in addition to the system “gas–water–gas hydrates”, which was considered in previous works [4], there is a new icy phase included.
In Section 3, the saturation unit equations’ properties are analyzed by method of characteristics.
In Section 4, based on the support-operators method (SOM) there were built difference schemes on nonregular grids of moderate-dimension, applied to the problems at hand, allowing to describe models with complex (heterogeneous) lithological structure and material properties by means of the support operators method [5,6].
In Section 5, the difference schemes, built in Section 4, are used for the models split by physical processes describing the “gas–water–gas hydrate–ice” system. In Section 6, there are test calculations are presented exemplified by the problem of interaction of vertical fault and horizontal seam containing gas hydrates.

Review of the Support-Operators Method (SOM), Mathematical Models and Software for Hydrates Formation

Calculations of gas hydrates phase transitions using different approaches were described in a large number of models considering generation, migration and accumulation of gas through the hydrate stability zone ([7,8,9]). Most models are based on regular grids which require high computational power and time to calculate the results. The support operators’ method makes it possible to numerically simulate a number of problems of mathematical physics in complex inhomogeneous areas. The method was developed by Russian scientists and received worldwide recognition. In English literature, the terms “support operators’ method”, or SOM, and “mimetic finite difference method” are used. A detailed modern review is given in [5].
The application of this method makes it possible to carry out mathematical modeling of various problems of fluid filtration in the process of hydrocarbon production with a detailed account of the features of the geological and lithological structure of the reservoir, tectonic disturbances, allows to analyze both the dynamics of fluids on the scale of the entire field (and more broadly, the region), within the framework of one model, and local processing going on the area that is of most interest to the user.
The support operator method (SOM) is a generalization of the finite difference method to irregular grids. The great advantage of this method in comparison with others is its persistence, i.e., automatic fulfillment of the fluid mass conservation law incorporated into the main formulas of the method. This allows to avoid calculation errors in the form of the appearance of fictitious sources and sinks not related to the physics of the process, which arise on other methods.
The proposed method has been worked out in detail both in theoretical aspects (analysis of convergence, stability, accuracy estimates) and in practical ones. The developed software package supports both building of a computational grid—which is close in all details to the reservoir geometry—with the accuracy required by the user and at the same time with a relatively small number of nodes and carrying out calculations on it.
Application of the SOM to the problems of dissociation of gas hydrates in a porous media is described in [4] with references to earlier works. At present, the complex includes programs for calculating two-dimensional (areal or profile) joint filtration of liquid and gas on an irregular grid, as well as problems of dissociation of gas hydrates in a porous media.
The software package is open for expansion, i.e., to the inclusion of more complex models of hydro- and thermodynamics of reservoir fluids, theology of the reservoir matrix, etc. The proposed set of algorithms and programs can serve as a mathematical basis for predicting the behavior of reservoir fluids in the process of developing oil and gas fields, as well as gas hydrate deposits.
Currently, in addition to the support operator method [4], there are a number of computer systems for calculating fluid dynamics in the reservoir, taking into account gas hydrates, such as CMG STARS, STOMP-HYDT-KE [10], TOUGH+HYDRATE [11], developed by Lawrence Berkeley National Laboratory in the USA; MH21-HYDRES [12], created as part of the national hydration program in Japan with the support of a number of scientific and commercial organizations, RetrasoCodeBright (RCB) created in Norway [13], SuGaR-TCHM, developed in Germany [13], etc. They are based on the use of computer systems for solving ordinary problems of underground fluid dynamics with the inclusion of blocks corresponding to hydrate thermodynamics. These methods, developed earlier, continue to be modernized and supplemented with new blocks that allow us to study more complex problems, include additional phases and other elements of the physics of reservoir systems in the analysis of the deformation properties of reservoirs. New methods continue to emerge, for example [14]. The resulting developments are widely used in mathematical modeling of specific gas hydrate deposits and analysis of the results of laboratory experiments. Many of these software systems account for salt dissolved in water.
A review of several methods at the beginning of 2016 was carried out in [15], published in a special issue of the journal [16] dedicated to gas hydrates. This review reflects the state of mathematical modeling of hydrate fluid dynamics in the reservoir, as well as methods for calculating the kinetics of formation and dissociation of gas hydrates at the beginning of 2016. A modern review of some methods is contained in the work [17] devoted to international cooperation in the field of testing numerical methods for solving problems of underground hydrodynamics related to gas hydrates, in which a significant part of the groups involved in the development of the corresponding software takes part.

2. Physical Processes Splitting in Mathematical Model of the “Gas–Water–Gas Hydrates–Ice” System

For the hydrate equilibrium zone (HEZ) the initial conservation Equations (fluid mass balance equations for liquid (or ice) phase and gas in free and bounded state) in porous media can be expressed in the following divergence form (for water and gas accordingly):
t m S ν S w ρ w i + ( 1 S ν ) ρ ν β w + div ρ w V w + q w = 0 ,
t m S ν ( 1 S w ) ρ g + ( 1 S ν ) ρ ν ( 1 β w ) + div ρ g V g + q g = 0 .
Energy balance equation is written as following:
t m S ν ( S w ρ w i ε w i + 1 S w ρ g ε g ) + 1 S ν ρ ν ε ν + 1 m ρ s ε s + div ρ w ε w V w + ρ g ε g V g + P V w + V g + div W + q s = 0 , W = m S ν S w λ w i + 1 S w λ g + 1 S ν λ ν + 1 m λ s T ,
where indexes g, w, i, ν , s are relating to gas, water, ice, hydrate, rock matrix of porous media, w i is relating to ice-water mixture; P—pressure, T—temperature, t—time, m = m ( r , P ) —porosity, r —position vector, S w —water saturation (water and ice), β w —mass fraction of water in hydrate, S g = 1 S w —gas saturation, ν —hydrate saturation, S ν = 1 ν —hydrate thawing, ρ l = ρ l ( P , T ) , λ l = λ l ( P , T ) , ε l = ε l ( P , T ) —densities, thermal conduction coefficients, internal energy of components ( l = g , w , ν , s , i ), V α and q α —filtration velocity and sources density of phase α = w , g .
Let us introduce the following notation:
  • C i + C w = 1 , C i , C w —solid ice and liquid water volume fractions;
  • ρ w i = C w ρ w + C i ρ i —density of water–ice mixture;
  • S ν i = S ν 1 ( 1 C w ) S w —porous volume fraction ( m δ V ) without solid inclusions hydrates and ice;
  • S w i = C w S w C w S w + ( 1 S w ) —fraction of water in the system “liquid water–gas”.
Consequently, solid part of porous volume ( m δ V ) will be given by:
( 1 S ν i ) = ( 1 S ν ) + ( 1 C w ) S w S ν .
Thermodynamic parameters: λ w i = C w λ w + ( 1 C w ) λ i —water–ice mixture thermal conductivity coefficient, ε w i = C w ρ w ε w + ( 1 C w ) ρ i ε i / ρ w i —water–ice mixture internal energy.
Capillary forces are neglected. It is assumed, that filtration velocities of liquid and gaseous phases in porous media satisfy the Darcy’s Law:
V α = k i · k r α i μ α P g ρ α , α = w , g ,
where g—gravity acceleration vector, k i = k r , S ν i , P —recalculation of absolute permeability k r , S ν , P considering part of porous media with frozen water, k r α i = k r α S w i —recalculation of phase relative permeability k r α S w , μ α = μ α P , T —viscosity of water and gas.
The system of Equations (1) and (2) at a fixed value of determinative thermodynamic variables is named saturation unit, meaning that these equations serve for determination of water saturation S w and hydrate thawing S ν .
Dependence of the variables on pressure and temperature in the phase equilibrium zone comes down to dependence on pressure only on virtue phase equilibrium relationship, which in its concrete form does not influence the mathematical structure of the system of equations describing the process. There are a lot of studies devoted to analyzing these relationships. In the numerical calculations that were conducted for the present study, we used the model being developed in present paper, and the following relationship was used [18,19]:
T = T dis P = A ln P + B ,
where A and B—empirical constants.
Hydrate internal energy is being expressed through energies of the gas and water–ice mixture that the hydrate consists of as follows:
β w i w i + 1 β w i g = i ν + h t r ,
where h t r —internal latent heat of hydrate mass unit’s phase transition.
Enthalpy:
i l = ε l + P / ρ l ,
where ε l P , T —phase internal energy, index l denotes a phase (≡ g/w/wi/ ν ).
For the system of equations for thawed zone, where there are no hydrates, S ν = 1 . In this case energy balance conservation Equations (1)–(3) take on the form of:
t ( m S w ρ w i ) + div ρ w V w + q w = 0 ,
t ( m ( 1 S w ) ρ g ) + div ρ g V g + q g = 0 ,
t m ( S w ρ w i ε w i + ( 1 S w ) ρ g ε g ) + ( 1 m ) ρ w ε w + div ρ w ε w V w + ρ g ε g V g + P ( V w + V g ) + div W + q ε = 0 ,
where W = m S w λ w i + 1 S w λ g + 1 m λ s T .
The system of Equations (1)–(5) completely describes filtration processes in porous media with solid rock matrix saturated with gas hydrates considering both its formation and dissociation in the hydrate equilibrium zone. Similarly, the system of Equations (8)–(10) describes filtration processes for the thawed zone with absence of gas hydrates.
The governing piezoconductive dissipative equation of the hydrates theory for determination of pressure P, similarly to [20], is derived as following:
m δ ε S ν S w ρ w i t ρ w i + 1 S w ρ g t ρ g + 1 S ν ρ ν t ρ ν + m t m + ψ m ρ ν m S ν S w ρ w i ε w i t + 1 S w ρ g ε g t + 1 S ν ρ ν ε ν t + ψ m ρ ν 1 m ρ s ε s t + δ ε DIG + ψ m ρ ν DIG ε = 0 ,
where
DIG = 1 ρ w i div ρ w V w + 1 ρ g div ρ g V g + q w ρ w i + q g ρ g ,
DIG ε = div ρ w ε w V w ε w i div ρ w V w + div ρ g ε g V g ε g div ρ g V g + div P V w + V g + div W + q ε ε w i q w ε g q g = ( ε w ε w i ) div ρ w V w + ρ w V w ε w + ρ g V g ε g + div P V w + V g + div W + q ε ε w i q w ε g q g .
Here
ψ m ρ ν = φ 1 ρ ν 0 , φ = β w ρ w i + 1 β w ρ g
—specific (per unit) volume kick,
δ ε = β w ε w i + 1 β w ε g ε ν 0
—specific (per unit) energy kick.
Introducing of hydrate system pressure capacity:
D p = m δ ε S ν S w ρ w i p ρ w i + 1 S w ρ g p ρ g + 1 S ν ρ ν p ρ ν + m p m + ψ m ρ ν m S ν S w ρ w i ε w i p + 1 S w ρ g ε g p + 1 S ν ρ ν ε ν p + 1 m ρ s ε s p ,
will rewrite Equation (11) in compact form:
D p P t + δ ε DIG + ψ m ρ ν DIG ε = 0 .
For the thawed zone without hydrates the dissipative unit:
S w ρ w i t ( m ρ w i ) + 1 S w ρ g t ( m ρ g ) + DIG = 0 ,
where
DIG = 1 ρ w i div ( ρ w V w ) + 1 ρ g div ( ρ g V g ) + q w ρ w i + q g ρ g
and
m S w ρ w i ε w i t + ( 1 S w ) ρ g ε g t + t ( 1 m ) ρ s ε s + DIG ε = 0 ,
where
DIG ε = ( ε w ε w i ) div ρ w V w + ρ w V w ε w + ρ g V g ε g + div [ P ( V w + V g ) ] + div W + ( q ε ε w i q w ε g q g ) .
Therefore, complete physical processes splitting of problems of hydrate equilibrium and thawed zones is conducted using the following numerical solution of connected problems.
The derived system of equations is a generalization of the system obtained in the paper [4], for the processes related to gas hydrates in conditions allowing for the presence of ice.

3. Saturation Unit Analysis Using the Method of Characteristics

For simplification in this section g = 0 .

3.1. Properties of Saturations Transfer Unit S ν , S w if 0 C w 1

From the system of Equations (1) and (2) the following system is derived:
( S ν ) t + 1 ψ ρ w ρ w i P x μ w ( k i k r w i ) x + 1 ψ P x μ g ( k i k r g i ) x = < > ,
( S w ) t ρ w ρ w i ψ g m S ν ψ P x μ w ( k i k r w i ) x + ψ w m S ν ψ P x μ g ( k i k r g i ) x = < > .
Taking only diagonal values of the spatial derivatives matrix for S ν and S w :
( S ν ) t + ( k i ) S ν i ψ ρ w ρ w i k r w i μ w + k r g i μ g P x ( S ν i ) S ν ( S ν ) x + < > ( S w ) x = < > ,
( S w ) t + < > ( S ν ) x + ( k i ) S ν i m S ν ψ ρ w ρ w i k r w i μ w ψ g + k r g i μ g ψ w P x ( S ν i ) S w k i m S ν ψ ρ w ρ w i ( k r w i ) S w i μ w ψ g ( k r g i ) S w i μ g ψ w P x ( S w i ) S w ( S w ) x = < > .
The notation < > denotes an absence of spatial–time derivatives of values S ν and S w in the matrix;
ψ g m ρ ν = 1 β w ρ g 1 S w ρ ν   if   S w i > S w   min , ψ w m ρ ν = β w ρ w i S w ρ ν   if   S w i < S w   max .
Clearly that: ψ = ψ w + ψ g > 0 .
( S ν i ) S ν = ( 1 C i S w ) > 0 , ( S ν i ) S w = C i S ν < 0 , ( S w i ) S w = C w ( 1 C i S w ) 2 > 0 .
Since the analysis of signs of the flow of a system of equations, which is similar to (1)–(4), but without hydrates ( S ν = 1 ), gives for invariant S w expressions, which are similar to P x ψ g and P x ψ w , but without ψ g and ψ w functions—then the necessary condition required to cross-link hydrate and non-hydrate flow areas is the following requirements:
ψ g m ρ ν = 1 β w ρ g 1 S w ρ ν > 0   under the conditions   S w i > S w   min ,
ψ w m ρ ν = β w ρ w i S w ρ ν > 0   under the conditions   S w i < S w   max .
The requirements (27) and (28), from the component-wise kicks of specific (per unit) volume along with phase transition point of view, can be interpreted as following. Under the condition of complete dissociation of hydrate, unit the volume of released gas must be greater than ( 1 S w ) (where S w is the volume fracture in ice of hydrate) and unit of the volume of released water–ice mixture must be greater than S w .
Hyperbolical analysis of saturation unit (1) and (2) demonstrates, that under difference approximation:
  • In fluid components of absolute permeability k i = k S ν i it’s necessary to take hydrate thawing S ν in the downward flow direction, since ρ w ρ w i k r w i μ w + k r g i μ g > 0 .
  • In fluid components of absolute permeability k i = k S ν i water saturation S w is taken in the upward flow direction, if ρ w ρ w i k r w i μ w ψ g + k r g i μ g ψ w > 0 , and S w is taken in the downward flow direction, if ρ w ρ w i k r w i μ w ψ g + k r g i μ g ψ w < 0 .
  • In fluid components of relative permeability k r w i = k r w S w i and k r g i = k r g 1 S w i water saturation S w is taken in the upward flow direction considering ρ w ρ w i ( k r w i ) S w i μ w ψ g ( k r g i ) S w i μ g ψ w > 0 .
Grid approximation (upward/downward flow direction) for C w and C i will be clarified further.

3.2. Properties of Water–Ice Phase Transfer ( 0 < C w < 1 , P t = T t = 0 ) under Hydrate Equilibrium Conditions

In spatial areas, where the phase equilibrium of the water–ice mixture is presented ( 0 < C w < 1 ), phase transition temperature T 0 and pressure P are considered constant and given. With that, piezoconductivity Equation (11) is used for calculation of volume water–ice phase fracture transferring C w . In the areas where there are constant and given C w = 1 (i.e., water if T T 0 ) or C w = 0 (ice if T T 0 ), the same equation is applied for calculation of evolution of thermodynamic parameters T and P. Related areas are changed dynamically in time with optional phase transition surface boundary (Stefan’s problem [21]), and this phenomenon is supposed to be analyzed with specific numerical algorithms. In the present section we study hyperbolic properties of water–ice phase transfer ( 0 < C w < 1 , P t = T t = 0 ) considering hydrate equilibrium.
In the case of four phases (hydrate, gas, water–ice mixture) being in thermodynamic equilibrium the piezoconductivity Equation (11) will take the form of:
m δ ε S ν S w 1 ρ w i ρ w i t + ψ m ρ ν m S ν S w ρ w i ε w i t + δ ε DIG + ψ m ρ ν DIG ε = 0 ,
where
DIG = 1 ρ w i div ρ w V w + 1 ρ g div ρ g V g + q w ρ w i + q g ρ g ,
DIG ε = div ρ w ε w V w ε w div ρ w V w + ( ε w ε w i ) div ρ w V w + + div ρ g ε g V g ε g div ρ g V g + div P V w + V g + div W + + q ε ε w i q w ε g q g .
Considering that
ρ w i t = ( ρ w ρ i ) ( C w ) t , ρ w > ρ i ,
( ε w i ) t = [ ( C w ρ w ε w + C i ρ i ε i ) / ( C w ρ w + C i ρ i ) ] t = = 1 ρ w i 2 [ ρ w i ( ρ w ε w ρ i ε i ) ( C w ) t ρ w i ε w i ( ρ w ρ i ) ( C w ) t ] = = 1 ρ w i [ ρ w ( ε w ε w i ) + ρ i ( ε w i ε i ) ] ( C w ) t , ε w > ε w i > ε i ,
the equation will reach the following form:
m S ν S w δ ε ( ρ w ρ i ) ρ w i + ψ m ρ ν [ ρ w ( ε w ε w i ) + ρ i ( ε w i ε i ) ] ( C w ) t + δ ε DIG + ψ m ρ ν DIG ε = 0 .
Assuming
C w i = m S ν S w δ ε ( ρ w ρ i ) ρ w i + ψ m ρ ν [ ρ w ( ε w ε w i ) + ρ i ( ε w i ε i ) ] > 0 ,
we get a more compact form of the piezoconductivity equation:
C w i ( C w ) t + δ ε DIG + ψ m ρ ν DIG ε = 0 .
Next we will modify (30) and (31):
DIG = ρ w ρ w i 1 μ w ( k i k r w i ) C w + 1 μ g ( k i k r g i ) C w P x ( C w ) x + < > ,
DIG ε = 1 μ w ρ w ( ε w ε w i ) + P 1 μ w ( k i k r w i ) C w + P 1 μ g ( k i k r g i ) C w P x + m S ν S w ( λ w λ i ) T x 1 μ w ( C w ) x + < > .
Here the expressions < > do not contain derivatives of C w with respect to t and x. It is also clear that for thermal conductivity coefficient of water–ice mixture λ w i = C w λ w + ( 1 C w ) λ i it is true that ( λ w i ) C w = λ w λ i . Thus, the value C w in the expression λ w i ( C w ) is being approximated in the upward flow direction ( λ w i T x ), if λ w > λ i . Furthermore, otherwise—in the downward flow direction if λ w < λ i .
For absolute permeability in expressions (37) and (38) the following evaluation is true:
k i = k ( S ν i ) , S ν i = S ν ( 1 C i S w ) , ( S ν i ) C w = S ν S w > 0 , ( k i ) C w = ( k ( S ν i ) ) S ν i ( S ν i ) C w > 0 .
For relative permeability of water, we have:
k r w i = k r w ( S w i ) , S w i = C w S w 1 C i S w , ( S w i ) C w = S w ( 1 S w ) ( 1 C w S w ) 2 , ( k r w i ) C w i = ( k r w ( S w i ) ) S w i ( S w i ) C w > 0 .
Therefore we get ( k i k r w i ) C w > 0 , i.e., in (37) and (38) in expressions ( k i k r w i ) the values C w and C i are approximated in the upward filtration flow direction. Similarly, for relative permeability of gas we have following evaluation:
k r g i = k r g ( 1 S w i ) , ( k r g i ) C w i = ( k r g ( 1 S w i ) ) S w i ( S w i ) C w < 0 .
Hence:
( k i k r g i ) C w = ( k i ) C w k r g i + k i ( k r g i ) C w .
In other words, in (37) and (38) in expressions ( k i k r g i ) the values C w , C i , included in k i , are approximated in the upward flow direction. Otherwise these values C w , C i , included in relative gas permeability k r g i , are approximated in the downward flow direction.

3.3. Properties of Saturation Transfer S w if 0 C w 1 in Hydrate-Thawed Zone ( S ν = 1 )

From Equation (12) we get following form of water saturation transfer equation:
m ρ w i ( S w ) t ρ w 1 μ w ( k i k r w i ) S w P x ( S w ) x = < > .
Here < > does not contain any derivative of S w with respect to t and x, and S ν = 1 .
For permeabilities it is true that
( k i k r w i ) S w = k i ( k r w i ) S w + ( k i ) S w k r w i = k i ( k r w ) S w i ( S w i ) S w + ( k i ) S ν i ( S ν i ) S w k r w i .
Furthermore, the following evaluations are true: (see Section 3.2):
( k r w ) S w i > 0 , ( S w i ) S w > 0 , ( k i ) S ν i > 0 , ( S ν i ) S w < 0 .
Hence in k r w i = k r w ( S w i ) considering S w i = C w S w / ( 1 C i S w ) S w is approximated in the upward flow direction. In k i = k ( S ν i ) if S ν i = 1 C i S w and S ν = 1 take S w in the downward direction.

3.4. Properties of Water–Ice Phase Transfer ( 0 < C w < 1 , T t = 0 ) in Hydrate-Thawed Zone ( S ν = 1 )

The equations of piezoconductivity (18) and energy (20) are being solved simultaneously related to increments P and C w considering T 0 = const in water–ice transfer zone. Particularly, in approximation div W = 0 from (20) we can derive C w through P and substitute in (18). Analysis of water–ice phase transferring process C w in thawed zone ( S ν = 1 ) is the analogue of the hydrate equilibrium case (see Section 3.2).
Particularly, C w , C i are taken in the upward flow direction for k i and k r w i , and for k r g i these values ( C w , C i ) are taken downward.

4. Difference Schemes on Non-Regular Grids

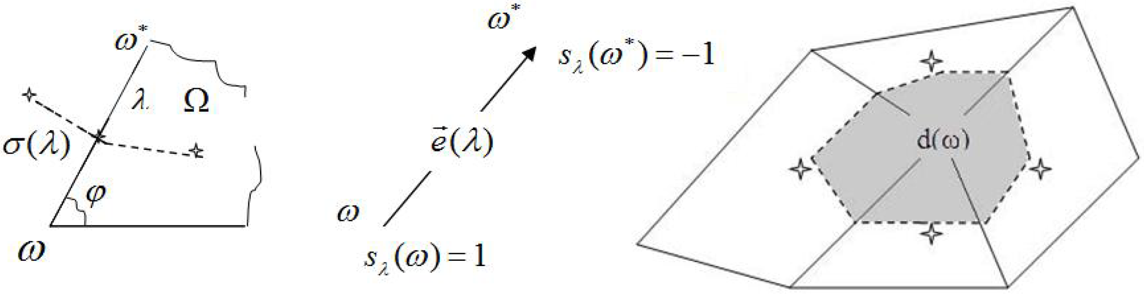
For grids of the support operators method, consisting of cells Ω , formed by nodes ω , faces σ and edges λ , it is characteristic that there is an isolated conjugate grid (“shifted”) consisting of domains d ω around nodes ω (see Figure 1).
Faces of the node domain are determined by the metric operator of the grid σ ( λ ) = φ ( λ ) V φ e φ ( λ ) (see also below). Here, the bases φ ( λ ) are in pairs included in the cells Ω ( λ ) , adjacent to the edge λ . The metric calibration of the difference grid involves choosing the volumes of bases (with natural normalization condition φ ( Ω ) V φ = V Ω ). It determines a construction of an isolated conjugant mesh for various grids classes, such as triangular-quadrangular, tetrahedral, parallelepiped, prismatic, etc. 2D grids or 3D grids and their adaptation for vector analysis of continuous boundary value problems. The example of a triangular-quadrangular 2D grid illustrates the specific choice of local basis volumes V φ .
We introduce a family of irregular difference grids in the region O. We consider the example when the grid consists of triangular and also quadrangular cells ( Ω ), edges ( λ ), nodes ( ω ), bases ( φ ), and related to them the boundaries ( σ ( λ )) of the node balance domains d( ω ) (see Figure 1).
The system of initial (covariant) unit vectors e ( λ ) created by the edges forms the bases φ . We accept the centers of cells Ω and edges λ like the arithmetic mean of radius vectors of their nodes ω . The curve is a surface that connects two adjacent cells through a cell or an edge:
σ ( λ ) = φ ( λ ) v φ e φ ( λ ) .
It is also oriented like the unit vector e ( λ ) . Here e φ ( λ ) are the unit vectors of the reciprocal bases with respect to the initial bases. The expression v φ = 1 6 e ( λ 1 ) e ( λ 2 ) represents the base volume for a triangular cell Ω , containing as basis φ and v φ = 1 4 e ( λ 1 )   ×   e ( λ 2 ) for a quadrangular cell, if λ 1 ( φ ) and λ 2 ( φ ) are the edges forming the basis φ . In a last step, φ ( λ ) is summation over all bases φ , in the configuration of which the edge λ had place. The nodal domains d ( ω ) are formed by the surfaces σ ( λ ( ω ) ) closed around the node ω .
The internal divergence of a vector field DIN : φ ω is defined by approximating of the Gauss’s theorem on d ( ω ) :
DIN X = λ ( ω ) s λ ( ω ) τ X ( λ ) , τ X ( λ ) = φ ( λ ) v φ ( e φ ( λ ) , X φ ) .
Here λ ( ω ) is the summation over all edges λ having a common node ω .
The grid vector field X is given by its representations in the bases X φ . We use ( ) Δ to denote the approximation of the corresponding differential expressions and have:
O X , u d v Δ = O u div X d v O u X , d s Δ = ω ( u ω , DIN X ) = φ v φ ( X φ , GRAD u ) .
Gradient vector field GRAD : ω φ is given by its representations in bases:
GRAD u = λ ( φ ) Δ λ u e φ ( λ ) , Δ λ u = ω ( λ ) s λ ( ω ) u ω = u ω * u ω .
We assume a vector field X φ = K φ GRAD u as X φ in the bases φ and we obtain a self-adjoint nonnegative operator DIN X : ( ω ) ( ω ) or DIN K GRAD : ( ω ) ( ω ) . The flow vector field X here is given by its components in the bases X φ . This flow vector field is determined by the gradient properties of the scalar grid function u given at the nodes ω and the grid symmetric positive definite tensor field of conductivity K, that is given by their representations in the bases K φ . This operator will be strictly positive if the first boundary value problem is specified at least in one boundary node of a connected difference grid, i.e., the scalar grid function becomes zero in this boundary node.
Water and ice saturations, its volume fractions and hydrate thawing are taken in absolute and relative permeabilities in the upward or downward flow direction in according to analysis in Section 3. Particularly, in the absence of ice volume fracture the absolute permeability k ( S ν ) in bases φ at edges ( λ ( φ ) ) , forming these bases, always is taken in the downward flow direction (as thawing). Relative permeabilities k r w ( S w ) and k r g ( 1 S w ) are taken in the upward flow direction (as water- and gas saturations), i.e., as in the case of 2 phases thawed zone with the absence of hydrates.

5. Approximation of Divergent-Piezoconductive Difference Schemes in the Thawed Zone in the Medium with Gas Hydrate Inclusions and Water–Ice Phase

5.1. Hydrate-Equilibrium Zone with Water–Ice Phase

We introduce some notations for the grid functions of the support operator method (Section 4, see Figure 1) as well. We will refer to its nodes ω previously employed in the continuum model values
m ¯ , S ν , S ν i , S w , S w i , C w , C i , ρ ν , ρ w , ρ i , ρ w i , ρ g , ρ s , P , T , ε ν , ε w , ε i , ε w i , ε g , ε s , μ w , μ g , k r w i , k r g i , q w , q g , q ε .
We assign the vector functions to the grid bases φ in accordance with Section 4
V w , V g , ε w , ε g , P , T , W .
We assign the grid functions that represent the discontinuous material properties of substances to cell Ω
m , k , λ ν , λ w , λ g , λ s .
The relations are clear
m ¯ ω = φ ( ω ) V φ m Ω ( φ ) , ( 1 m ) ¯ ω = φ ( ω ) V φ ( 1 m Ω ( φ ) ) = V ω m ¯ ω , V ω = φ ( ω ) V φ ,
i.e., m ¯ ω and ( 1 m ) ¯ ω perform the volume of the pore domain d ( ω ) (see Figure 1) and its frame part, respectively.
Then, we introduce the difference derivatives on time and the space-point (in the grid nodes ω ) time interpolations a t = ( a ^ a ) / τ , a ( δ ) = δ a ^ + ( 1 δ ) a on the time layers t and t ^ = t + τ ( τ > 0 is the time step). Here the interpolation weight δ may depend on the spatial grid node ω . Under the value
δ ν = ( m ¯ S ν ) 1 ^ ( m ¯ S ν ) 1 ^ + ( m ¯ S ν ) , 0 < S ν < 1 .
we will understand the free-volume time approximation of the grid functions given at the nodes ω . The proportion of the pore volume, intended for free movement of the liquid and gas will determine the interpolation weight δ ν . The result of such an approximation allows us to conduct discrete transformations of equations related to their splitting by physical processes, which will be similar to continual ones. Other arbitrary interpolations with respect to time will be denoted [ ] . They can relate to different elements, such as grid nodes ω , bases φ etc.
We express the approximation of Equations (1) and (2) in the following form.
Conservation equations which are representing by themselves balance of water and gas components
m ¯ S ν S w ρ w i + ( 1 S ν ) ρ ν β w t + DIN ( ρ w V w ) + q w = 0 ,
m ¯ S ν ( 1 S w ) ρ g + ( 1 S ν ) ρ ν ( 1 β w ) t + DIN ( ρ g V g ) + q g = 0 .
By the means of GRAD operator flow of water ( ρ w V w ) and gas ( ρ g V g ) are approximated in the grid bases φ considering discretization of Darcy’s law (4) on implicit time layer by any of the standard methods [6,22]:
( ρ w V w ) φ P = ρ w k i k r w i μ w Δ ̲ φ GRAD P + ρ w 2 k i k r w i μ w Δ ̲ φ g k , ( ρ g V g ) φ P = ρ g k i k r g i μ g Δ ̲ φ GRAD P + ρ g 2 k i k r g i μ g Δ ̲ φ g k .
Under ( ) Δ ̲ φ are considered approximation of corresponding expressions in the grid bases φ with some time interpolation.
However, in the presence of thermobaric relationship in the form of (5), for conservation of continuum properties of quadratic forms legitimacy of thermodynamic values gradients in the form of ε div ( ρ V ) d V (see also (43) below) it’s more appropriate to have the Darcy’s law energetic form. We will get one from the assumptions below.
Considering pressure–temperature relationships (5) in three phase equilibrium zone hydrate–water–gas it’s allowed to write
d ε w = ε w p d P , d ε g = ε g p d P ,
where ε w p and ε g p —full derivatives from internal energy with respect to pressure.
That way Darcy’s law (4) in the grid bases φ (that is formed by nodes, in which is fulfilled the thermobaric relationship (5)) we present in the energetic form:
( ρ w V w ) φ ε = ρ w k i k r w i μ w ε w p Δ ̲ φ GRAD ε w ( δ ν ) + ρ w 2 k i k r w i μ w Δ ̲ φ g k , ( ρ g V g ) φ ε = ρ g k i k r g i μ g ε g p Δ ̲ φ GRAD ε g ( δ ν ) + ρ g 2 k i k r g i μ g Δ ̲ φ g k .
Thus
( ρ w V w ) φ = ( ρ w V w ) φ P ( ρ w V w ) φ ε , ( ρ g V g ) φ = ( ρ g V g ) φ P ( ρ g V g ) φ ε .
Internal energy balance equation that is approximating (3) has the form of:
m ¯ S ν S w ρ w i ε w i + 1 S w ρ g ε g + 1 S ν ρ ν ε ν + 1 m ¯ ρ s ε s t + DIN ε w δ ν up ρ w V w + DIN ε g δ ν up ρ g V g + DIN P V w + V g + DIN W + q ε = 0 .
Index “up” in the expression for water energy ( ε w ( δ ν ) ) up denotes, that corresponding values are taken in the upward direction of flow ( ρ w V w ) in earlier determined divergence DIN ( ρ w V w ) . The index “up” is understood similarly in the expression for gas energy ( ε g ( δ ν ) ) up .
Energy from pressure forces work [ P ( V w + V g ) ] and full heat flow W in the media are approximated in the grid basis φ , for example, at the implicit time layer by standard method [6,22]:
P ( V w + V g ) φ = P ρ w φ ( ρ w V w ) φ P + P ρ g φ ( ρ g V g ) φ P .
Next, discrete analogue of piezoconductivity dissipative Equation (11), disintegrated by physical processes with saturation processes transfer unit, (39) and (40), but differentially equal to system of the model initial conservation law (39)–(41), has the form of:
δ ε ( δ ν ) [ ( m ¯ S ν ) S w ] ( 1 δ ν ) ρ w i t ( ρ w i ) ( δ ν ) + [ ( m ¯ S ν ) 1 S w ] ( 1 δ ν ) ρ g t ( ρ g ) ( δ ν ) + [ m ¯ 1 S ν ] ( 1 δ ν ) ρ ν t ( ρ ν ) ( δ ν ) + m ¯ t + ψ ( m ρ ν ) [ ( m ¯ S ν ) S w ρ w i ] ( 1 δ ν ) ε w i t + [ ( m ¯ S ν ) 1 S w ρ g ] ( 1 δ ν ) ε g t + [ m ¯ 1 S ν ρ ν ] ( 1 δ ν ) ε ν t + 1 m ¯ ρ s ε s t + δ ε ( δ ν ) DIG + ψ ( m ρ ν ) DIG ε = 0 ,
δ ε = [ β w ε w i + 1 β w ε g ] ε ν , ψ ( m ρ ν ) = β w / ( ρ w i ) ( δ ν ) + 1 β w / ( ρ g ) ( δ ν ) 1 / ( ρ ν ) ( δ ν ) , DIG = 1 ( ρ w i ) ( δ ν ) DIN ρ w V w + 1 ( ρ g ) ( δ ν ) DIN ρ g V g + q w ( ρ w i ) ( δ ν ) + q g ( ρ g ) ( δ ν ) , DIG ε = DIN ( ε w ( δ ν ) ) up ( ρ w V w ) ( ε w i ) ( δ ν ) DIN ρ w V w + DIN ( ε g ( δ ν ) ) up ( ρ g V g ) ( ε g ) ( δ ν ) DIN ρ g V g + DIN P V w + V g + DIN W + q ε ε w i ( δ ν ) q w ε g ( δ ν ) q g .

5.2. Two-Phase Thawed Zone

Similarly to Section 5.1, considering the grid function S ν = 1 in nodes ω , we get two-phase series of completely conservative differential schemes in the thawed zone. Instead of using an interpolation weight δ ν , we here consequently introduce the weight
δ 1 = ( m ¯ ) 1 ^ ( m ¯ ) 1 ^ + ( m ¯ )
in the grid nodes ω .
Conservation equations, representing by themselves mass balance of water and gas components in the thawed zone will have the form of:
m ¯ S w ρ w i t + DIN ( ρ w V w ) + q w = 0 ,
m ¯ ( 1 S w ) ρ g t + DIN ( ρ g V g ) + q g = 0 .
In the thawed zone by means of GRAD operator the flows of water ( ρ w V w ) and gas ( ρ g V g ) are determined in non-energetic form, i.e., are approximated in the grad bases φ by values ( ρ w V w ) φ P and ( ρ g V g ) φ P accordingly (see Section 5.1).
Internal energy balance in the thawed zone approximating (10), has the form of:
m ¯ S w ρ w i ε w i + 1 S w ρ g ε g + 1 m ¯ ρ s ε s t + DIN ε w δ 1 up ρ w V w + DIN ε g δ 1 up ρ g V g + DIN P V w + V g + DIN W + q ε = 0 .
Definition of differential objects (indexes “up”, pressure forces, heat flow) are the same as in Section 5.1.
Further excluding the S w function, which is determined in the grid nodes ω , from the differential derivative sign with respect to time, from (44)–(46), we get completely conservative differential equations determining non-isothermal process of piezoconductivity in thawed zone:
S w ( δ 1 ) ( ρ w i ) ( δ 1 ) m ¯ ρ w i t + 1 S w ( δ 1 ) ( ρ g ) ( δ 1 ) m ¯ ρ g t + DIG = 0 ,
( m ¯ ) ( 1 δ 1 ) S w ρ w i ( δ 1 ) ε w i t + 1 S w ρ g ( δ 1 ) ε g t + 1 m ¯ ρ s ε s t + DIG ε = 0 .
The combination of difference mass DIG and energy DIG ε divergences in the grid nodes ω along with operation of active sources q w , q g , q ε are determined similarly to (43), but with change of interpolation weight δ ν to weight δ 1 .

5.3. On the Expediency of Using Numerical Simulation of One-Dimensional Problems of Dissociation of Gas Hydrates in a Porous Media: A Vertical Fault in a Large Strike Formation

Building non-one-dimensional models requires very large geological and geophysical information, which, especially in hard-to-reach northern regions or on the seabed, is difficult, costly, and sometimes impossible to obtain. The results of the calculations are not always easily visible, behind the details one cannot see the main defining characteristics of the process. Conducting a large number of calculations to compare the results and obtain final conclusions can require a significant amount of time. Therefore, the study of one-dimensional problems that require much less initial information and are much easier and faster to solve can be useful in many cases. In addition, downsizing of the models is possible if one of the scales is much larger than the others (for example, the case of a thin layer), and if the area under consideration is much larger than the size of the inhomogeneities.
One of these problems is to study the dissociation of gas hydrate from a vertical fault at the boundary of a large strike area along a plane whose vertical dimensions are small compared to the horizontal ones. Problems of this kind may correspond to the structure of observed areas of degassing in several seas often associated with fault systems.
To illustrate, consider a typical geological profile (Figure 2) and its discretization in 2D modeling [4]:
With a good knowledge of the reservoir, knowledge of its properties, water, and hydrate saturation in each grid node, two-dimensional numerical modeling can be used. However, if there is little initial information and it is inaccurate, which is natural in this kind of problems, the use of high-precision methods is impractical. A model that matches the accuracy of the available data is more likely to be a one-dimensional vertically averaged model.
Models of this kind are widely used in problems associated with gas hydrates in a porous medium.

6. Test Calculation for the Problem of Interaction of Vertical Fault and Horizontal Seam Containing Gas Hydrates

We consider the problem of interaction of vertical fault and horizontal seam containing gas hydrate, that in initial approximation can be considered as one-dimensional horizontal problem in Cartesian coordinates x [ 0 , L ] , L is the length of calculation area. Herewith, gravity, due to the horizontal geometry, does not affect the process. We are interested in the region near the fault x [ 0 , L 1 ] ( L 1 is about few meters). Note that, due to the parabolic nature of the pressure problem, the computational domain must greatly exceed the region of interest, L 1 L , so that the solution in the vicinity of the fault (at a distance of about a meter from it) is practically independent of the boundary conditions at the other boundary of the area. L is taken about 300 m.
It is assumed that the depth of the formation corresponds to the conditions for the existence of methane hydrates, and initially the pore space of the formation is uniformly filled with water, gas, and gas hydrate. Thus, for initial time moment we set:
S w x , t = 0 = S w * = 0.6 , S ν x , t = 0 = S ν * = 0.7 , P x , t = 0 = P 0 = 30   bar , T x , t = 0 = T 0 = T dis P 0 .
The initial pressure corresponds to a depth of 300 m, at which the existence of thermodynamically equilibrium methane hydrates is possible in the region of the permafrost.
The fault corresponds to the left boundary x = 0 . The difference grid is uniform with a step h = 0.01 m at a distance of up to 1 m from the fault, and then increases exponentially with q = 1.05 . The time steps are constant τ = 10 sec. The condition S ν = 1 is set on the fault. For joining two-phase and three-phase regions, the overheated state method is used [23].
The problem of thermal influence of a fault is considered. On the left boundary, an increased temperature value is set, compared to the reservoir one:
T x = 0 , t = T 1 = T 0 + 5 > T 0 = T dis P 0
and non-flow conditions:
x P x = 0 , t = 0 .
On the right (remote) boundary, unperturbed boundary conditions are set—the values of the variables coincide with their initial values:
S w x = L , t = S w * , S ν x = L , t = S ν * , P x = L , t = P 0 , T x = L , t = T 0 .
Due to the zero flow velocity on the fault wall (due to the no-flow condition), the saturation values at x = 0 do not affect the process.
For the calculation, values of the parameters characteristic of the Messoyakha gas hydrate field were chosen [4].
Figure 3, Figure 4, Figure 5 and Figure 6, below show the results of numerical calculations for a number of time points: pressure, temperature, thawing, water saturation profiles.

7. Conclusions

Two-dimensional modeling algorithms elaborated in the paper are useful for a problem of filtering multiphase and multicomponent flows for porous media with joint solid-phase inclusions from hydrates and water-ice mixture. A two-units mathematical model is implemented, which makes it possible to single out hyperbolic and dissipative subsystems in the corresponding system of equations and allows to build effective numerical algorithms for solving fluid dynamic problems in multi-component and multi-phase system. The Gibbs phase rule is used for systems with one thermodynamic degree of freedom in the hydrate-equilibrium zone to determine types of dissociative bonds between thermodynamic variables. The calculations performed show the interaction dynamic of a three-phase zone containing hydrate, gas and water, and a two-phase zone containing only gas and water. The results show the possibility of applying the developed methods to real problems related to gas hydrates. The approach can be successfully applied for study of natural gas hydrates in frozen-susceptible rocks.

Author Contributions

Conceptualization, N.A., R.C. and I.P.; methodology, P.R.; software, V.P.; formal analysis, P.R.; investigation, N.A., V.P. and P.R.; writing—original draft preparation, N.A., V.P. and P.R.; writing—review and editing, N.A., R.C. and I.P.; visualization, V.P.; supervision, R.C.; project administration, N.A. and I.P.; funding acquisition, V.P. and P.R. All authors have read and agreed to the published version of the manuscript.

Funding

The work of Rahimly P. (mathematical model, analysis) was supported by the Russian Science Foundation (project № 22-71-10109). The work of Podryga V. (numerical calculations) was carried out within the framework of the state assignment of KIAM RAS.

Institutional Review Board Statement

Not applicable.

Informed Consent Statement

Not applicable.

Data Availability Statement

Not applicable.

Conflicts of Interest

The authors declare no conflict of interest.

References

  1. Makogon, Y.F. Natural Gas Hydrates; PennWell Publishing Co.: Tulsa, OK, USA, 1997. [Google Scholar]
  2. Sloan, E.D. Clathrate Hydrates of Natural Gases; Marcel Dekker: New York, NY, USA, 1990. [Google Scholar]
  3. Marchuk, G.I. Splitting and Alternating Direction Methods. In Handbook of Numerical Analysis; Ciarlet, P., Lions, J., Eds.; North-Holland: Amsterdam, The Netherlands, 1990; Volume 1, pp. 197–462. [Google Scholar]
  4. Poveshchenko, Y.A.; Rahimly, P.I.; Rahimly, O.R.; Podryga, V.O.; Gasilova, I.V. A Numerical Approach to Study the Thermal Influence on Gas Hydrates by Physical Process Splitting. Int. J. Numer. Anal. Model. 2020, 17, 404–433. [Google Scholar]
  5. Lipnikov, K.; Manzini, G.; Shashkov, M. Mimetic finite difference method. J. Comput. Phys. 2014, 257, 1163–1227. [Google Scholar] [CrossRef]
  6. Samarskii, A.A.; Koldoba, A.V.; Poveshchenko, Y.A.; Tishkin, V.F.; Favorskii, A.P. Difference Schemes on Irregular Grids; ZAO “Kriterii”: Minsk, Belarus, 1996. (In Russian) [Google Scholar]
  7. Zatsepina, O.Y.; Buffet, B.A. Phase equilibrium of gas hydrate: Implications for the formation of hydrate in the deep sea floor. Geophys. Res. Lett. 1997, 24, 1567–1570. [Google Scholar] [CrossRef]
  8. Xu, W.; Ruppel, C. Predicting the occurrence, distribution, and evolution of methane gas hydrate in porous marine sediments. J. Geophys. Res. Solid Earth 1999, 104, 5081–5095. [Google Scholar] [CrossRef]
  9. Liu, X.; Flemings, P.B. Dynamic multiphase flow model of hydrate formation in marine sediments. J. Geophys. Res. Solid Earth 2007, 112, B03101:1–B03101:23. [Google Scholar] [CrossRef]
  10. White, M.D. STOMP-HYDT-KE A Numerical Simulator for the Production of Natural Gas Hydrate Using Guest Molecule Exchange with CO2 and N2; Pacific Northwest National Laboratory PNNL-22130: Richland, WA, USA, 2012. [Google Scholar]
  11. Moridis, G.J.; Kowalsky, M.B.; Pruess, K. TOUGH+HYDRATE v1.2 User’s Manual: A Code for the Simulation of System Behavior in Hydrate-Bearing Geologic Media; Lawrence Berkeley National Laboratory Report LBNL-0149E: Berkeley, CA, USA, 2012. [Google Scholar]
  12. Qorbani, K.; Kvamme, B. Non-equilibrium simulation of CH4 production from gas hydrate reservoirs through the depressurization method. J. Nat. Gas Sci. Eng. 2016, 35 Part B, 1544–1554. [Google Scholar] [CrossRef]
  13. Qorbani, K.; Kvamme, B. Olsen, R. Non-equilibrium simulation of hydrate formation and dissociation from CO2 in the aqueous phase. J. Nat. Gas Sci. Eng. 2016, 35, 1555–1565. [Google Scholar] [CrossRef]
  14. Gupta, S.; Wohlmuth, B.; Haeckel, M. An All-At-Once Newton Strategy for Marine Methane Hydrate Reservoir Models. Energies 2020, 13, 503. [Google Scholar] [CrossRef]
  15. Yin, Z.; Chong, Z.R.; Tan, H.K.; Linga, P. Review of gas hydrate dissociation kinetic models for energy recovery. J. Nat. Gas Sci. Eng. 2016, 35, 1362–1387. [Google Scholar] [CrossRef]
  16. Linga, P.; Clarke, M.A.; Englezos, P. Gas Hydrates and Applications. J. Nat. Gas Sci. Eng. 2016, 35, 1353–1608. [Google Scholar] [CrossRef]
  17. White, M.D.; Kneafsey, T.J.; Seol, Y.; Waite, W.F.; Uchida, S.; Lin, J.S.; Myshakin, E.M.; Gai, X.; Gupta, S.; Reagan, M.T.; et al. An international code comparison study on coupled thermal, hydrologic and geomechanical processes of natural gas hydrate-bearing sediments. Mar. Pet. Geol. 2020, 120, 104566:1–104566:55. [Google Scholar] [CrossRef]
  18. Istomin, V.A.; Yakushev, V.S. Gas Hydrates in Natural Conditions; Nedra: Moscow, Russia, 1992. (In Russian) [Google Scholar]
  19. Bondarev, E.A.; Babe, G.D.; Groisman, A.G.; Kanibolotsky, M.A. Mechanics of Hydrate Formation in Gas Flows; Nauka: Novosibirsk, Russia, 1976. (In Russian) [Google Scholar]
  20. Rahimly, P.I.; Poveshchenko, Y.A.; Rahimly, O.R.; Podryga, V.O.; Kazakevich, G.I.; Gasilova, I.V. The use of splitting with respect to physical processes for modeling the dissociation of gas hydrates. Math. Models Comput. Simul. 2018, 10, 69–78. [Google Scholar] [CrossRef]
  21. Grzymkowski, R.; Pleszczynski, M.; Slota, D. The Two-Phase Stefan Problem Solved by the Adomian Decomposition Method. In Proceedings of the 15th IASTED International Conference on Applied Simulation and Modelling, Rhodes, Greece, 26–28 June 2006; pp. 511–516. [Google Scholar]
  22. Koldoba, A.V.; Poveshchenko, Y.A.; Samarskaya, E.A.; Tishkin, V.F. Methods of Mathematical Modeling of the Environment; Nauka: Moscow, Russia, 2000. (In Russian) [Google Scholar]
  23. Rahimly, P.I.; Poveshchenko, Y.A.; Podryga, V.O.; Rahimly, O.R.; Popov, S.B. Modeling the processes of joint filtration in melted zone and piezocunductive medium with gas hydrate inclusions. Prepr. Keldysh Inst. Appl. Math. 2018, 40, 1–32. [Google Scholar] [CrossRef]
Figure 1. A basis building using the SOM algorithms. Solid lines determine cells created in modeling area and responsible for different sediment matter. Dashed lines serve to create a border at a homogeneous matter and to calculate the flow over the border.
Figure 1. A basis building using the SOM algorithms. Solid lines determine cells created in modeling area and responsible for different sediment matter. Dashed lines serve to create a border at a homogeneous matter and to calculate the flow over the border.
Mathematics 10 03470 g001
Figure 2. Geological profile of the Varandey–Adzvinskaya structure zone (above): K1–Q—Lower Cretaceous–Quaternary, J—Jurassic, T3—Upper Triassic, P2—Upper Permian, P1—Lower Permian, C1–P1—Lower Carboniferous–Lower Permian, D3—Upper Devonian, D2—Mid Devonian, S1—Lower Devonian Ordovician, D—Devonian, S—Silurian, T–P—Triassic–Permian; grid approximation of the upper profile (bottom).
Figure 2. Geological profile of the Varandey–Adzvinskaya structure zone (above): K1–Q—Lower Cretaceous–Quaternary, J—Jurassic, T3—Upper Triassic, P2—Upper Permian, P1—Lower Permian, C1–P1—Lower Carboniferous–Lower Permian, D3—Upper Devonian, D2—Mid Devonian, S1—Lower Devonian Ordovician, D—Devonian, S—Silurian, T–P—Triassic–Permian; grid approximation of the upper profile (bottom).
Mathematics 10 03470 g002
Figure 3. Pressure profile of deviation from initial pressure value P P 0 , P 0 = 30 bar ( P 0 —initial value, P—instantaneous value), for time moments t = 0.1 , 1 , 10 days. X-axis: calculation length in horizontal direction of the reservoir is taken long way from the fault (up to 100 m), where 0 X-value represents the fault.
Figure 3. Pressure profile of deviation from initial pressure value P P 0 , P 0 = 30 bar ( P 0 —initial value, P—instantaneous value), for time moments t = 0.1 , 1 , 10 days. X-axis: calculation length in horizontal direction of the reservoir is taken long way from the fault (up to 100 m), where 0 X-value represents the fault.
Mathematics 10 03470 g003
Figure 4. (a) Temperature profile T for time moments t = 0.1 , 1 , 10 days. X-axis: calculation length in horizontal direction of the reservoir is taken long way from the fault (up to 100 m), where 0 X-value represents the fault. (b) Temperature profile T in the nearest area around the fault for time moments t = 0.1 , 1 , 10 , 100 days. X-axis: calculation length in horizontal direction of the reservoir is taken close to the fault (up to 2 m), where 0 X-value represents the fault. (c) Temperature increasing profile T T dis ( P ) ( T dis ( P ) is the temperature of the dissociation that is a function of pressure instantaneous value) in the area around the fault for time moments t = 0.1 , 1 , 10 , 100 days. X-axis: calculation length in horizontal direction of the reservoir is taken close to the fault (up to 2 m), where 0 X-value represents the fault.
Figure 4. (a) Temperature profile T for time moments t = 0.1 , 1 , 10 days. X-axis: calculation length in horizontal direction of the reservoir is taken long way from the fault (up to 100 m), where 0 X-value represents the fault. (b) Temperature profile T in the nearest area around the fault for time moments t = 0.1 , 1 , 10 , 100 days. X-axis: calculation length in horizontal direction of the reservoir is taken close to the fault (up to 2 m), where 0 X-value represents the fault. (c) Temperature increasing profile T T dis ( P ) ( T dis ( P ) is the temperature of the dissociation that is a function of pressure instantaneous value) in the area around the fault for time moments t = 0.1 , 1 , 10 , 100 days. X-axis: calculation length in horizontal direction of the reservoir is taken close to the fault (up to 2 m), where 0 X-value represents the fault.
Mathematics 10 03470 g004
Figure 5. Hydrate thawing profile S ν in the area of the fault for the time moments t = 0.1 , 1 , 10 , 100 days. X-axis: calculation length in horizontal direction of the reservoir is taken close to the fault (up to 2 m), where 0 X-value represents the fault.
Figure 5. Hydrate thawing profile S ν in the area of the fault for the time moments t = 0.1 , 1 , 10 , 100 days. X-axis: calculation length in horizontal direction of the reservoir is taken close to the fault (up to 2 m), where 0 X-value represents the fault.
Mathematics 10 03470 g005
Figure 6. Water saturation profile S w in the area of the fault for the time moments t = 0.1 , 1 , 10 , 100 days. X-axis: calculation length in horizontal direction of the reservoir is taken close to the fault (up to 2 m), where 0 X-value represents the fault.
Figure 6. Water saturation profile S w in the area of the fault for the time moments t = 0.1 , 1 , 10 , 100 days. X-axis: calculation length in horizontal direction of the reservoir is taken close to the fault (up to 2 m), where 0 X-value represents the fault.
Mathematics 10 03470 g006
Publisher’s Note: MDPI stays neutral with regard to jurisdictional claims in published maps and institutional affiliations.

Share and Cite

MDPI and ACS Style

Alekseeva, N.; Podryga, V.; Rahimly, P.; Coffin, R.; Pecher, I. Mathematical Modeling of Gas Hydrates Dissociation in Porous Media with Water-Ice Phase Transformations Using Differential Constrains. Mathematics 2022, 10, 3470. https://doi.org/10.3390/math10193470

AMA Style

Alekseeva N, Podryga V, Rahimly P, Coffin R, Pecher I. Mathematical Modeling of Gas Hydrates Dissociation in Porous Media with Water-Ice Phase Transformations Using Differential Constrains. Mathematics. 2022; 10(19):3470. https://doi.org/10.3390/math10193470

Chicago/Turabian Style

Alekseeva, Natalia, Viktoriia Podryga, Parvin Rahimly, Richard Coffin, and Ingo Pecher. 2022. "Mathematical Modeling of Gas Hydrates Dissociation in Porous Media with Water-Ice Phase Transformations Using Differential Constrains" Mathematics 10, no. 19: 3470. https://doi.org/10.3390/math10193470

APA Style

Alekseeva, N., Podryga, V., Rahimly, P., Coffin, R., & Pecher, I. (2022). Mathematical Modeling of Gas Hydrates Dissociation in Porous Media with Water-Ice Phase Transformations Using Differential Constrains. Mathematics, 10(19), 3470. https://doi.org/10.3390/math10193470

Note that from the first issue of 2016, this journal uses article numbers instead of page numbers. See further details here.

Article Metrics

Back to TopTop