Next Article in Journal
Optical Solitons with the Complex Ginzburg–Landau Equation with Kudryashov’s Law of Refractive Index
Next Article in Special Issue
Robust Statistic Estimation of Constrained Optimal Control Problems of Pollution Accumulation (Part I)
Previous Article in Journal
Dynamics Analysis and Optimal Control for a Delayed Rumor-Spreading Model
Previous Article in Special Issue
On the Estimation of the Initial Stock in the Problem of Resource Extraction
 
 
Font Type:
Arial Georgia Verdana
Font Size:
Aa Aa Aa
Line Spacing:
Column Width:
Background:
Article

Estimation of Initial Stock in Pollution Control Problem

Faculty of Applied Mathematics and Control Processes, St. Petersburg State University, 199034 St. Petersburg, Russia
*
Author to whom correspondence should be addressed.
These authors contributed equally to this work.
Mathematics 2022, 10(19), 3457; https://doi.org/10.3390/math10193457
Submission received: 19 August 2022 / Revised: 17 September 2022 / Accepted: 19 September 2022 / Published: 22 September 2022

Abstract

A two-player differential game of pollution control with uncertain initial disturbance stock is considered. In pace with contemporary policy in the resource extraction industry, we initiate our research based on a resource extraction differential model with a rehabilitation process in which the firms are required to compensate the local to rehabilitate the polluted and dilapidated areas. Given the reality that the initial pollution stock plays a critical role in the production, and we cannot rigorously determine its actual value, a simulation of the estimation of the initial stock is alternatively investigated through the Pontryagin maximum principle (PMP). The later analytical results by normalized value of information (NVI) indicate the precious influence brought to the final payoff under various estimations of the initial stock both in the cooperative and non-cooperative cases. With such guidance, the player is capable of making a much more judicious decision when it comes to the determination of the initial stock. Furthermore, a numerical example is additionally presented for better comprehension.

1. Introduction

In assorted subjects, the problems involving the value of information (VoI), which functions as a decision analytic approach for evaluating the potential value contained in uncertainty, are ubiquitous. As indicated in [1], the use of VoI analysis started at least from the 1990s. Its realm of application is widespread over economics, infrastructure, environment, energy, medical system and other fields, partly shown in [2,3,4,5,6,7]. Among them, the VoI hidden in the estimated value of one specific parameter in a model, e.g., the estimation of potential amount of oil underground, plays a significant role in the economic activities.
Speaking of the role of estimated value containing VoI, commonly, when we are trying to calculate the velocity of an object moving with a constant acceleration, the initial speed v 0 has to be observed. It is also inevitable to determine the initial estimated point when we choose to utilize the gradient descent method to solve the optimization problem. The list of such similar cases can be immense, but the unanimous feature of these cases is that the estimated value stands as an indispensable part in all problems, some of which may even dramatically affect the interest of the decision maker.
Apparently, the models based on which the problems are discussed are numerous. However, the mixture of VoI and differential game in which we highlight how the information originated from the uncertainty of the parameter would actually affect the outcome is scarce. Previously, we accomplished several research works on the uncertainty of the model of the differential game in [8]. From [9], this paper will concentrate on the study of the uncertainty of the initial stock in a row. Compared with the former work, in this paper, we bring the pollution control problem with the rehabilitation process into consideration for the first time. Instead of continuing our work in the traditional model, the rehabilitation model symbolizes the updated policy made to optimize the regulation of resource extraction. From the discussion of the force delivered to the investment by the reclamation of responsibility in [10,11] to the disadvantages of reclamation bonds in [12,13], the policy referring to the rehabilitation process is still in reform [10,14,15]. Therefore, on the basis of [16], we will study a differential game with two firms extracting the resource and meanwhile reimbursing for the reclamation. There is also a similar research about the uncertainty in dynamic game of emissions pollution in [17] where the uncertainty is expressed in the form of information available to the players, which can be acquired completely.
Through our work, we offer a full-scale of estimation of initial stock covering overestimation and underestimation under both cooperative and noncooperative cases. The decision makers could touch the whole view of the performance of various estimated initial stock and make a reliable judgment afterwards. Additionally, for simplicity, we simplify the model mentioned in [16] to better pinpoint our interest in the role of the estimated value of the initial stock instead of investing much energy into finding an optimal solution to minimize the firms’ cost brought by the rehabilitation activities. The game is supposed to be homogeneous such that partial parameters of two firms are identical.
The structure of this paper is well organized in the following way. In Section 2, we present the formulation of the problem and admissible results. The players’ payoffs in the cooperative case of overestimation and underestimation of initial stock are demonstrated in Section 3, and the correspondent non-cooperative case is described in Section 4. The elaborate VoI analysis to the problem in terms of the estimation of the initial stock over two possible conditions is explained in Section 5 and an illustrative example is attached in Section 6. Finally, in Section 7, we give our conclusion.

2. Problem Statement

Consider a differential game in which there are two firms z { i , j } working on resource extraction with disturbance stock p t at time t [ 0 , T ] . The extraction rate γ z p t , the environmental disturbance rate e t z = ϵ z γ z p t and the abatement a t z = α z τ t z are separately denoted. γ z , ϵ z , α z are positive constant parameters. The reclamation effort τ t z is the control variable.
The system dynamics are given by
p t ˙ = ( ϵ i γ i + ϵ j γ j δ ) p t α i τ t i α j τ t j , p t > 0 , p ( 0 ) = p 0
where δ > 0 is the natural revitalization rate of the environment and the growth rate of the environmental pollution stock without abatement ϵ i γ i + ϵ j γ j δ > 0 .
The goal of the firms is to take optimal reclamation effort τ t z to minimize their cost devoted to the revitalization procedures. The cooperative objective functional is
K ( p 0 , τ t i , τ t j ) = 0 T [ ( τ t i ) 2 2 + ( τ t j ) 2 2 ] d t + ϕ p T 2 min
while the noncooperative objective functional is
J z ( p 0 , τ t z ) = 0 T ( τ t z ) 2 2 d t + 1 2 ϕ p T 2 min
where p 0 stands for the initial disturbance stock, the reclamation cost is labeled as ( τ t z ) = ( τ t z ) 2 2 , and the abandonment reclamation fee for each firm at the terminal time is f ( p T ) = ϕ p T 2 2 in which ϕ is a constant coefficient of terminal cost. The coefficient ϕ can also be adjusted in accordance with the latest policy.
Since assuming the game is homogeneous, one could rewrite (1) to
p t ˙ = ( 2 ϵ γ δ ) p t α ( τ t i + τ t j )
and the updated constraint is 2 ϵ γ δ > 0 .
This game was presented in [16], where the closed-loop solutions were considered. In our setting, we assume that the players do not have accurate information about the initial stock of perturbations and cannot observe p t at any moment of time. Under such conditions, it is not possible to use closed-loop control, so we focus on the open-loop solution and try to estimate the value of information about the initial state of the system.

3. Cooperative Case

Following [18], to find an open-loop solution, we define the Hamiltonian function in accordance with (2) as
H = ( τ t i ) 2 + ( τ t j ) 2 2 + ψ [ ( 2 ϵ γ δ ) p t α ( τ t i + τ t j ) ]
in which ψ is the adjoint variable, which can be obtained through the canonical system with the transversality condition ψ ( T ) = d d p t ϕ p T 2 t = T = 2 ϕ p T . We obtain ψ ( t ) = 2 ϕ e ( 2 ϵ γ δ ) ( T t ) p T . According to the first-order extremality condition and the sign of the second derivative of H on the control variable, the optimal control for each firm is
( τ t i ) * = ( τ t j ) * = ψ α = 2 α ϕ e ( 2 ϵ γ δ ) ( T t ) p T * ,
where p T * = ( 2 ϵ γ δ ) p 0 e ( 2 ϵ γ δ ) T 2 ϵ γ δ + 2 α 2 ϕ ( e 2 ( 2 ϵ γ δ ) T 1 ) .
Correspondingly, the optimal trajectory for both firm is
p t * = p 0 e ( 2 ϵ γ δ ) t 2 α 2 ϕ e ( 2 ϵ γ δ ) ( T + t ) p T * 2 ϵ γ δ + 2 α 2 ϕ e ( 2 ϵ γ δ ) ( T t ) p T * 2 ϵ γ δ .
The total payoff of both firms is
K ( p 0 , ( τ t i ) * , ( τ t j ) * ) = z i , j 0 T ( ( τ t z ) * ) 2 2 d t + ϕ ( p T * ) 2 = 0 T 2 α ϕ ( 2 ϵ γ δ ) p 0 e ( 2 ϵ γ δ ) ( 2 T t ) 2 ϵ γ δ + 2 α 2 ϕ ( e 2 ( 2 ϵ γ δ ) T 1 ) 2 d t + ϕ ( p T * ) 2 = p 0 2 ϕ ( 2 ϵ γ δ ) e 2 ( 2 ϵ γ δ ) T 2 ϵ γ δ + 2 α 2 ϕ ( e 2 ( 2 ϵ γ δ ) T 1 ) = p 0 ϕ e ( 2 ϵ γ δ ) T p T * .
One can note that using controls ( τ t z ) * , z i , j , the players will not completely clean up the environment by time T, since p T * > 0 .

3.1. Two Cases over Estimation

With respect to the uncertainty of the initial pollution stock, there are two possible cases which could occur when we are delving into the detailed performance of it. The measured value of initial stock can be overestimated compared with the actual one. On the other hand, underestimation is also reasonable. In fact, there is the third case in which the estimation exactly reaches the actual value, but the result can succinctly emerge without further discussion.
Suppose p ^ 0 represents the estimated initial stock. Then the updated optimal control and optimal trajectory are
( τ ^ t i ) * = ( τ ^ t j ) * = ψ α = 2 α ϕ ( 2 ϵ γ δ ) e ( 2 ϵ γ δ ) ( 2 T t ) p ^ 0 2 ϵ γ δ + 2 α 2 ϕ ( e 2 ( 2 ϵ γ δ ) T 1 ) ,
p ^ t * = p 0 e ( 2 ϵ γ δ ) t [ e ( 2 ϵ γ δ ) t 1 e ( 2 ϵ γ δ ) t ] 2 α 2 ϕ e 2 ( 2 ϵ γ δ ) T p ^ 0 2 ϵ γ δ + 2 α 2 ϕ ( e 2 ( 2 ϵ γ δ ) T 1 ) .

3.1.1. Overestimation of the Initial Stock

When the estimated initial stock p ^ 0 is above the actual one (i.e., p ^ 0 > p 0 ), there are two possible outcomes, which depends on how much p ^ 0 differs from p 0 . If the difference is not very large, then we obtain p ^ T * 0 , as in the original problem. Otherwise, it is possible that firms will clean up and reclaim the environment by time t ^ < T . In that event, p ^ T * < 0 .
First, consider the case when p ^ T * 0 .
According to (7), we have
p 0 e ( 2 ϵ γ δ ) T [ e ( 2 ϵ γ δ ) T 1 e ( 2 ϵ γ δ ) T ] 2 α 2 ϕ e 2 ( 2 ϵ γ δ ) T p ^ 0 2 ϵ γ δ + 2 α 2 ϕ ( e 2 ( 2 ϵ γ δ ) T 1 ) 0 .
This inequality holds if
p 0 p ^ 0 2 α 2 ϕ ( e 2 ( 2 ϵ γ δ ) T 1 ) 2 ϵ γ δ + 2 α 2 ϕ ( e 2 ( 2 ϵ γ δ ) T 1 ) .
Writing p ^ 0 in terms of p 0 as p ^ 0 = r p 0 , we obtain inequality (8) in the form
1 < r 1 + 2 ϵ γ δ 2 α 2 ϕ ( e 2 ( 2 ϵ γ δ ) T 1 ) .
In the case when inequality (9) is satisfied, the players using controls (6) will have the total payoff in the following form:
K ( p 0 , ( τ ^ t i ) * , ( τ ^ t j ) * ) = z i , j 0 T ( ( τ ^ t z ) * ) 2 2 d t + ϕ ( p ^ T * ) 2 = 0 T 2 α ϕ ( 2 ϵ γ δ ) p 0 ^ e ( 2 ϵ γ δ ) ( 2 T t ) 2 ϵ γ δ + 2 α 2 ϕ ( e 2 ( 2 ϵ γ δ ) T 1 ) 2 d t + ϕ ( p ^ T * ) 2 = 2 α 2 ϕ 2 p ^ 0 2 ( 2 ϵ γ δ ) e 4 ( 2 ϵ γ δ ) T ( 1 e 2 ( 2 ϵ γ δ ) T ) ( 2 ϵ γ δ + 2 α 2 ϕ ( e 2 ( 2 ϵ γ δ ) T 1 ) ) 2 + ϕ ( p ^ T * ) 2 .
When condition (9) is not satisfied, we have p ^ T * < 0 . This means that firms will clean up and reclaim the environment by the time t ^ < T . To find the moment t ^ such that p ^ t ^ = 0 , one can solve the equation to pinpoint e 2 ( 2 ϵ γ δ ) t ^ instead of explicit t ^ :
p 0 e ( 2 ϵ γ δ ) t ^ [ e ( 2 ϵ γ δ ) t ^ 1 e ( 2 ϵ γ δ ) t ^ ] 2 α 2 ϕ e 2 ( 2 ϵ γ δ ) T p ^ 0 2 ϵ γ δ + 2 α 2 ϕ ( e 2 ( 2 ϵ γ δ ) T 1 ) = 0 .
Then
e 2 ( 2 ϵ γ δ ) t ^ = 1 2 ϵ γ δ + 2 α 2 ϕ ( e 2 ( 2 ϵ γ δ ) T 1 ) 2 r α 2 ϕ e 2 ( 2 ϵ γ δ ) T .
The resulting expression for controls in this scenario thus reads
( τ ^ t i ) * * = ( τ ^ t j ) * * = 2 α ϕ ( 2 ϵ γ δ ) e ( 2 ϵ γ δ ) ( 2 T t ) p ^ 0 2 ϵ γ δ + 2 α 2 ϕ ( e 2 ( 2 ϵ γ δ ) T 1 ) , t [ t 0 , t ^ ] , 0 , t [ t ^ , T ] .
The latest trajectory goes
p ^ t * * = p 0 e ( 2 ϵ γ δ ) t [ e ( 2 ϵ γ δ ) t 1 e ( 2 ϵ γ δ ) t ] 2 α 2 ϕ e 2 ( 2 ϵ γ δ ) T p ^ 0 2 ϵ γ δ + 2 α 2 ϕ ( e 2 ( 2 ϵ γ δ ) T 1 ) , t [ t 0 , t ^ ] , 0 , t [ t ^ , T ] .
So, if r > 1 + 2 ϵ γ δ 2 α 2 ϕ ( e 2 ( 2 ϵ γ δ ) T 1 ) , the current total payoff is
K ( p 0 , ( τ t i ) * * , ( τ t j ) * * ) = z i , j 0 T ( ( τ ^ t z ) * * ) 2 2 d t + ϕ ( p ^ T * * ) 2 = 0 t ^ 2 α ϕ ( 2 ϵ γ δ ) p 0 ^ e ( 2 ϵ γ δ ) ( 2 T t ) 2 ϵ γ δ + 2 α 2 ϕ ( e 2 ( 2 ϵ γ δ ) T 1 ) 2 d t = 2 α 2 ϕ 2 p ^ 0 2 ( 2 ϵ γ δ ) e 4 ( 2 ϵ γ δ ) T ( 1 e 2 ( 2 ϵ γ δ ) t ^ ) ( 2 ϵ γ δ + 2 α 2 ϕ ( e 2 ( 2 ϵ γ δ ) T 1 ) ) 2 = p 0 p ^ 0 ϕ ( 2 ϵ γ δ ) e 2 ( 2 ϵ γ δ ) T 2 ϵ γ δ + 2 α 2 ϕ ( e 2 ( 2 ϵ γ δ ) T 1 ) .

3.1.2. Underestimation of the Initial Stock

In the case when the players underestimate the initial stock, i.e., utilizing the value p ^ 0 < p 0 as an initial condition (i.e., 0 < r < 1 ), again we obtain p ^ T * 0 . The players use strategies (6) and the total payoff is identical to K ( p 0 , ( τ ^ t i ) * , ( τ ^ t j ) * ) .

4. Non-Cooperative Case

Switching to (3), we again determine the new Hamiltonian function
H z = ( τ t z ) 2 2 + ψ [ ( 2 ϵ γ δ ) p t α ( τ t i + τ t j ) ] .
As the same solution described in the cooperative case, smoothly, the optimal control, optimal trajectory and payoff of each firm can be obtained
( τ t z ) N C = ψ α = α ϕ e ( 2 ϵ γ δ ) ( T t ) p T + ,
where p T + = ( 2 ϵ γ δ ) p 0 e ( 2 ϵ γ δ ) T 2 ϵ γ δ + α 2 ϕ ( e 2 ( 2 ϵ γ δ ) T 1 ) . The optimal trajectory for the firm is
p t N C = p 0 e ( 2 ϵ γ δ ) t α 2 ϕ e ( 2 ϵ γ δ ) ( T + t ) p T + 2 ϵ γ δ + α 2 ϕ e ( 2 ϵ γ δ ) ( T t ) p T + 2 ϵ γ δ .
The total payoff of the firms becomes
J = z i , j J z ( p 0 , ( τ t z ) N C ) = z i , j [ 0 T ( ( τ t z ) N C ) 2 2 d t + 1 2 ϕ ( p T + ) 2 ] = 0 T [ α ϕ e ( 2 ϵ γ δ ) ( T t ) p T + ] 2 d t + ϕ ( p T + ) 2 = ϕ ( p T + ) 2 [ α 2 ϕ ( e 2 ( 2 ϵ γ δ ) T 1 ) 2 ( 2 ϵ γ δ ) + 1 ] .

Two Cases over Estimation

In the non-cooperative case, the analysis over the classification of estimation of the initial stock is identical to the previous—overestimation, equality and underestimation. Assuming that the estimation of the initial stock p ˜ 0 makes no difference to both firms, then the corresponding optimal control and optimal trajectory are
( τ ˜ t z ) N C = ψ α = α ϕ ( 2 ϵ γ δ ) e ( 2 ϵ γ δ ) ( 2 T t ) p ˜ 0 2 ϵ γ δ + α 2 ϕ ( e 2 ( 2 ϵ γ δ ) T 1 ) ,
p ˜ t N C = p 0 e ( 2 ϵ γ δ ) t [ e ( 2 ϵ γ δ ) t 1 e ( 2 ϵ γ δ ) t ] α 2 ϕ e 2 ( 2 ϵ γ δ ) T p ˜ 0 2 ϵ γ δ + α 2 ϕ ( e 2 ( 2 ϵ γ δ ) T 1 ) .
Due to the similar calculations over the overestimation and underestimation as described above, the result in this case is frankly given in Proposition 2.

5. Normalized Value of Information for Estimation

We continue the line of research in [8,9], and define the problem of determining the value of information in a continuous time differential game.
Definition 1.
The normalized value of information in a cooperative game is defined as
V C = K ( p 0 , ( τ t i ) * , ( τ t j ) * ) K ( p 0 , ( τ ^ t i ) * , ( τ ^ t j ) * ) K ( p 0 , ( τ t i ) * , ( τ t j ) * ) ,
where K ( p 0 , ( τ t i ) * , ( τ t j ) * ) is the total payoff obtained for the exact information about the values of parameters, while K ( p 0 , ( τ ^ t i ) * , ( τ ^ t j ) * ) is the total payoff obtained for an imprecise estimation of the values.
In contrast to the cooperative case, for a non-cooperative game, when using unreliable information, the costs of players could decline. In this case, we assume that the value of information about the initial condition is equal to zero.
Definition 2.
The normalized value of information in a noncooperative game for player z { i , j } is defined as
V z N C = J z ( p 0 , ( τ t z ) N C ) J z ( p 0 , ( τ ˜ t z ) N C ) J z ( p 0 , ( τ t z ) N C ) , J z ( p 0 , ( τ t z ) N C ) < J z ( p 0 , ( τ ˜ t z ) N C ) 0 , J z ( p 0 , ( τ t z ) N C ) J z ( p 0 , ( τ ˜ t z ) N C )
where J z ( p 0 , ( τ t z ) N C ) is the payoff obtained for the exact information about the values of parameters, while J z ( p 0 , ( τ ˜ t z ) N C ) is the payoff obtained for an uncertain estimation of the values.
NVI characterizes the maximal amount the decision maker may wish to pay to achieve the precise information about the value of the parameter of interest. The larger the values of V C and V N C , the bigger the amount that the decision maker loses when using inadequate information.
Grounding on the results obtained in Section 3, we can formulate the following proposition.
Proposition 1.
In the cooperative game (1) and (2), the value of information about the initial disturbance stock p 0 is given by
V C = ( 1 r ) 2 θ , 0 < r 1 + θ , r 1 , r > 1 + θ .
Here, r = p ^ 0 p 0 , p ^ 0 is an estimation of the initial disturbance stock and
θ = 2 ϵ γ δ 2 α 2 ϕ ( e 2 ( 2 ϵ γ δ ) T 1 ) .
Proof. 
The proof follows directly from the results obtained in Section 3.
Note that when 0 < r < 1 o r 1 < r 1 + θ , for the value of information, we use the formula
V C = K ( p 0 , ( τ t i ) * , ( τ t j ) * ) K ( p 0 , ( τ ^ t i ) * , ( τ ^ t j ) * ) K ( p 0 , ( τ t i ) * , ( τ t j ) * ) .
If r = 1 , then V C = 0 .
If r > 1 + θ , NVI is as follows:
V C = K ( p 0 , ( τ t i ) * , ( τ t j ) * ) K ( p 0 , ( τ ^ t i ) * * , ( τ ^ t j ) * * ) K ( p 0 , ( τ t i ) * , ( τ t j ) * ) .
Proposition 2.
In the noncooperative game (1), (3), the value of information about the initial disturbance stock p 0 is given by
V z N C = ( 1 r ) ( r ( 1 + θ ) 3 θ 1 ) θ ( 1 + 4 θ ) , 0 < r 1 o r 3 θ + 1 θ + 1 < r 1 + 2 θ , 0 , 1 < r 3 θ + 1 θ + 1 , 2 θ + 1 4 θ + 1 r 1 , r > 1 + 2 θ .
Here r = p ˜ 0 p 0 , p ˜ 0 is an estimation of the initial disturbance stock and
θ = 2 ϵ γ δ 2 α 2 ϕ ( e 2 ( 2 ϵ γ δ ) T 1 ) .

6. Analytical Analysis and Numerical Example

6.1. Comparison of Cooperative and Noncooperative Cases

In the considered game, the players are symmetric, which means we can conclude that in the cooperative game, each player will receive a half of the total payoff. Then the value of information for the total payoff will coincide with the value of information for each player separately. With such knowledge, the way to compare the value of information about the initial disturbance stock in the cooperative and non-cooperative game is quite explicit.
The result of comparison between V C and V N C is presented in Table 1 and Table 2. In Table 1, it is assumed that 0 < θ 1 . θ > 1 in Table 2.
It can be noticed that in most cases, the value of information in a cooperative game is higher than in a non-cooperative one, which indicates that the impact of the estimation of the initial stock on the players’ payoffs in a cooperative game is much more significant. Logically, if the players choose cooperative behavior, they should pay more attention to the accuracy of information about the initial condition.

6.2. Comparison of Overestimation and Underestimation

In order to figure out whether overestimation and underestimation under the relatively same level will have an identical impact on the final payoff in each case, first of all, an analytical analysis in cooperative case is given, in which V ¯ C represents NVI in the case of overestimation with oscillated value β p 0 away from p 0 and V ̲ C – NVI in the case of underestimation with the same oscillation. There are various cases depending on the parameters values.
  • Assume 0 β < 1 , θ < 1 .
    In the case of overestimation, for p ^ 0 = p 0 + β p 0 we have
    V ¯ C = β 2 θ , 0 β θ , β , θ < β < 1 .
    In the case of underestimation, if p ^ 0 = p 0 β p 0 , then
    V ̲ C = β 2 θ , for all 0 β < 1 .
    We can find out that
    V ¯ C = V ̲ C , i f 0 β θ ,
    V ¯ C < V ̲ C , i f θ < β < 1 .
  • Assume 0 β < 1 , θ 1 . In this case, V ¯ C = V ̲ C for all 0 β < 1 .
    These two cases show that the influence generated by the underestimation rate always outperforms or is equal to it in overestimation with the counterpart rate.
  • For β 1 , it does not make sense to progress under this circumstance. However, it can still be noted that the loss in the case of overestimation outweighs the largest one under underestimation only if β > 1 θ .
Similar analyses can be made for the non-cooperative case and the terminal cost coefficient case.

6.3. Numerical Example

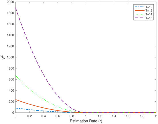
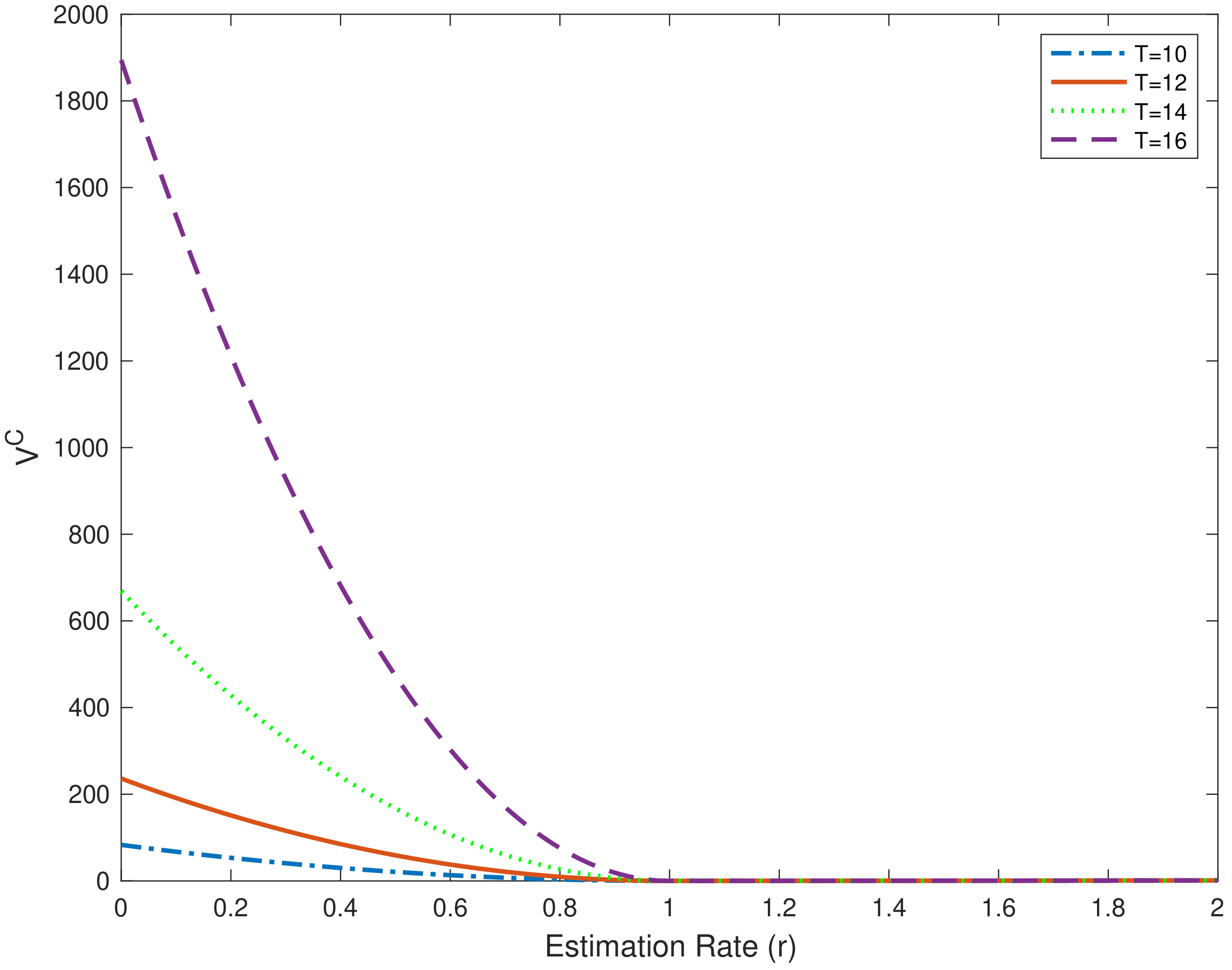
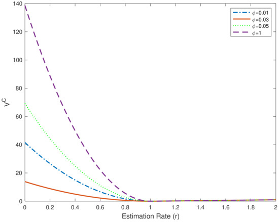
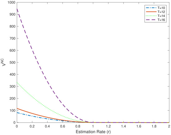
Based on Propositions 1 and 2, a numerical example is demonstrated to analyze the influence of various cases of estimation. The parameter values are assigned randomly; let us denote γ = 1.8 , ϵ = 0.1 , α = 1 , ϕ = 0.06 , p 0 = 100 , δ = 0.1 , r ( 0 , 2 ] for both cases. Specifically, in our example, we compare four different plots with ending times T = 10 , 12 , 14 and 16.
Generally, from Figure 1 and Figure 2, it is distinguishable that the classification of the game, cooperative and non-cooperative, does demonstrate a similar curve but with different magnitude. Obviously, compared with overestimation on the right, underestimation on the left would bring more cost to the players if we observe them from the whole view, which further corroborates our previous analytical analysis. With the fixed initial time, the larger the terminal time, the sharper the increased cost would be generated by underestimation. On the contrary, the linear-like curve of NVI on overestimation is much more stable and gentle. Combined what we have obtained in the analytical analysis, we have reasons to believe that the decision maker would consider adding more weights to the overestimation of the initial stock after obtaining an observed range of initial volume, e.g., given the range of initial stock [ A ± B ] . In our case, we turn to A + B . Moreover, because of the larger influence shown from the cooperative case, it requires extra effort for the decision maker to maximally make sure a high reliability of the estimated initial stock.
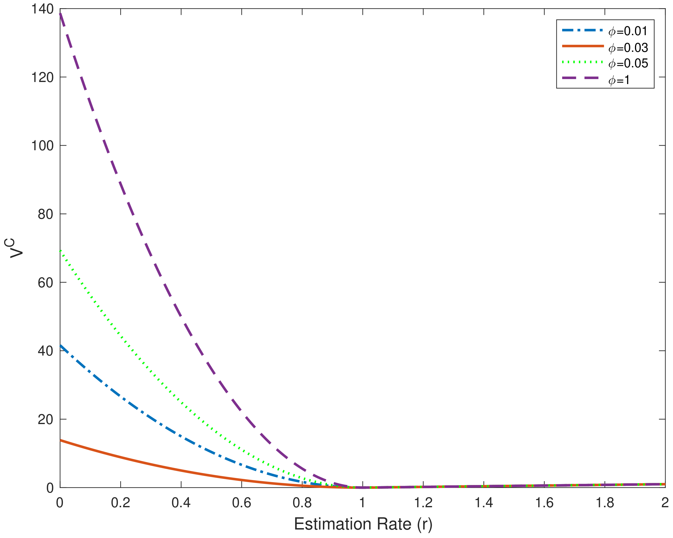
In addition, we think it is meaningful to study the implication of the change of terminal cost coefficient ϕ . This parameter determines the penalty that a firm should pay to the regulator if it fails to reclaim the environment to the terminal time. Figure 3 demonstrates four different plots with ϕ = 0.01 , ϕ = 0.03 , ϕ = 0.05 and ϕ = 0.1 . The design of these four values for ϕ is out of the consideration of the full-scale testing from the upper and lower intervals. The overall trends of NVI under different terminal times in the cooperative and non-cooperative cases are proximate; we only present the result under T = 10 .
From Figure 3, it can be learned that in the case of underestimation, the NVI greatly increases with the increase in ϕ . What is more, the overall plot here is in accordance with the performance of NVI under different terminal time. Hence, we think it is more acceptable to make an overestimation over the initial pollution stock when the decision maker cannot guarantee that the estimation they obtain is accurate enough to be followed.

7. Conclusions

In this paper, we accomplished the study of how the estimated initial stock could influence the performance of two players in terms of the rehabilitation process in cooperative and non-cooperative differential games. Two cases, including overestimation and underestimation, were explained and NVI was applied to quantify the value of information contained in the initial stock parameter. Through the rigorous analytical analysis by comparing NVI under various terminal times in both the cooperative and non-cooperative case, we firstly found out that the uncertainty in initial stock brings more disturbance to the cooperative case which reminds the players to be vigilant in that case. Then in both cases, a common phenomenon in which overestimation of initial stock carries less weight to the final payoff was observed. As also demonstrated in the numerical example, overestimation of the initial stock has significantly less effect on the players’ interest, while the estimation generally deviates from the actual. Therefore, after making an observation of the targeted subject, the result shows that the decision makers could greatly reduce their cost if they incline toward overestimation when they receive the evaluation report of the estimated initial stock from the observation team, especially in cooperative case.
In addition, due to the lack of historical data, in our case, we cannot formulate the regular pattern of the final initial stock the player decides to leverage in contrast to the estimated interval, which means we are not able to proceed in empirical research. The pollution control problem is our current concern. However, we expect to apply the analysis in other economic problems in which the estimation of the initial value plays a critical role in their production activities.

Author Contributions

Conceptualization, A.T.; methodology, A.T. and S.S.; formal analysis, A.T. and S.S.; investigation, S.S.; writing—original draft preparation, A.T. and S.S.; writing—review and editing, A.T. and S.S.; visualization, S.S.; funding acquisition, A.T. All authors have read and agreed to the published version of the manuscript.

Funding

This research was funded by RFBR and DFG, project number 21-51-12007.

Institutional Review Board Statement

Not applicable.

Informed Consent Statement

Not applicable.

Data Availability Statement

Not applicable.

Conflicts of Interest

The authors declare no conflict of interest.

References

  1. Keisler, J.M.; Collier, Z.A.; Chu, E.; Nina, S.; Igor, L. Value of information analysis: The state of application. Environ. Syst. Decis. 2014, 34, 3–23. [Google Scholar] [CrossRef]
  2. Bhattacharjya, D.; Eidsvik, J.; Mukerji, T. The Value of Information in Spatial Decision Making. Math. Geosci. 2010, 42, 141–163. [Google Scholar] [CrossRef]
  3. Dutta, G.; Mukerji, T.; Eidsvik, J. Value of information analysis for subsurface energy resources applications. Appl. Energy 2019, 252, 113436. [Google Scholar] [CrossRef]
  4. Laxminarayan, R.; Macauley, M.K. The Value of Information; Springer: Washington, DC, USA, 2012. [Google Scholar]
  5. Macauley, M.K. The value of information: Measuring the contribution of space-derived earth science data to resource management. Space Policy 2006, 22, 274–282. [Google Scholar] [CrossRef]
  6. Straub, D. Value of information analysis with structural reliability methods. Struct. Saf. 2014, 49, 75–85. [Google Scholar] [CrossRef]
  7. Yokota, F.; Thompson, K.M. Value of information analysis in environmental health risk management decisions: Past, present, and future. Risk Anal 2004, 24, 635–650. [Google Scholar] [CrossRef]
  8. Chebotareva, A.; Su, S.; Tretyakova, S.; Gromova, E. On the value of the preexisting knowledge in an optimal control of pollution emissions. Contrib. Game Theory Manag. 2021, 14, 48–57. [Google Scholar] [CrossRef]
  9. Tur, A.; Gromova, E.; Gromov, D. On the estimation of the initial stock in the problem of resource extraction. Mathematics 2021, 9, 3099. [Google Scholar] [CrossRef]
  10. Dachis, B.; Shaffer, B.; Thivierge, V. All’s Well That Ends Well: Addressing End-of-Life Liabilities for Oil Gas Wells; C.D. Howe Institute Commentary 492; C.D. Howe Institute: Toronto, ON, Canada, 2017. [Google Scholar]
  11. Espinoza, R.D.; Morris, J.W.F. Towards sustainable mining (Part 2): Accounting for mine reclamation and post reclamation care liabilities. Resour. Policy 2017, 52, 29–38. [Google Scholar] [CrossRef]
  12. Andersen, M.; Coupal, R. Economics issues and policies affecting reclamation in Wyoming’s oil and gas industry. In Proceedings of the 2009 National Meeting of the America Society of Mining and Reclamation, Lexington, KC, USA, 30 May–5 June 2009. [Google Scholar]
  13. Mitchell, A.L.; Casman, E.A. Economic incentives and regulatory framework for shale gas well site reclamation in Pennsylvania. Environ. Sci. Technol. 2011, 45, 9506–9514. [Google Scholar] [CrossRef]
  14. Bishop, R.E. Historical analysis of oil and gas well plugging in New York: Is the regulatory system working? New Solut. 2013, 23, 103–116. [Google Scholar] [CrossRef]
  15. Kargt, M.E.; Manero, A. Identifying industry practice, barriers, and opportunities for mine rehabilitation completion criteria in western Australia. J. Environ. Manag. 2021, 287, 112258. [Google Scholar] [CrossRef]
  16. Marsiglio, S.; Masoudi, N. Reclamation of a resource extraction site: A dynamic game approach. Metroeconomica 2022, 73, 770–802. [Google Scholar] [CrossRef]
  17. Masoudi, N.; Santugini, M.; Zaccour, G. A Dynamic Game of Emissions Pollution with Uncertainty and Learning. Environ. Resour. Econ. 2016, 64, 349–372. [Google Scholar] [CrossRef]
  18. Pontryagin, L.; Boltyanskii, V.; Gamkrelidze, R.; Mishchenko, E. The Mathematical Theory of Optimal Processes; Interscience: New York, NY, USA, 1962. [Google Scholar]
Figure 1. Normalized value of information for varied estimated initial pollution stock under different time intervals (X-axis denotes the estimation rate, Y-axis denotes the value of V C ).
Figure 1. Normalized value of information for varied estimated initial pollution stock under different time intervals (X-axis denotes the estimation rate, Y-axis denotes the value of V C ).
Mathematics 10 03457 g001
Figure 2. Normalized value of information for varied estimated initial pollution stock under different time intervals (X-axis denotes the estimation rate, Y-axis denotes the value of V N C ).
Figure 2. Normalized value of information for varied estimated initial pollution stock under different time intervals (X-axis denotes the estimation rate, Y-axis denotes the value of V N C ).
Mathematics 10 03457 g002
Figure 3. Normalized value of information for varied estimated initial pollution stock under different coefficient ϕ when T = 10 (X-axis denotes the estimation rate, Y-axis denotes the value of V C ).
Figure 3. Normalized value of information for varied estimated initial pollution stock under different coefficient ϕ when T = 10 (X-axis denotes the estimation rate, Y-axis denotes the value of V C ).
Mathematics 10 03457 g003
Table 1. Comparison of NVI for 0 < θ 1 .
Table 1. Comparison of NVI for 0 < θ 1 .
0 < r < 1 1 < r 1 + 3 θ θ + 1 1 + 3 θ θ + 1 < r < 1 + 2 θ r 1 + 2 θ
V C > V N C V C > V N C V C < V N C V C > V N C
Table 2. Comparison of NVI for θ > 1 .
Table 2. Comparison of NVI for θ > 1 .
0 < r < 1 1 < r 1 + 3 θ θ + 1 1 + 3 θ θ + 1 < r < 1 + θ r 1 + θ
V C > V N C V C > V N C V C < V N C V C > V N C
Publisher’s Note: MDPI stays neutral with regard to jurisdictional claims in published maps and institutional affiliations.

Share and Cite

MDPI and ACS Style

Su, S.; Tur, A. Estimation of Initial Stock in Pollution Control Problem. Mathematics 2022, 10, 3457. https://doi.org/10.3390/math10193457

AMA Style

Su S, Tur A. Estimation of Initial Stock in Pollution Control Problem. Mathematics. 2022; 10(19):3457. https://doi.org/10.3390/math10193457

Chicago/Turabian Style

Su, Shimai, and Anna Tur. 2022. "Estimation of Initial Stock in Pollution Control Problem" Mathematics 10, no. 19: 3457. https://doi.org/10.3390/math10193457

APA Style

Su, S., & Tur, A. (2022). Estimation of Initial Stock in Pollution Control Problem. Mathematics, 10(19), 3457. https://doi.org/10.3390/math10193457

Note that from the first issue of 2016, this journal uses article numbers instead of page numbers. See further details here.

Article Metrics

Back to TopTop