A Novel Nonsingular Terminal Sliding Mode Observer-Based Sensorless Control for Electrical Drive System
Abstract
:1. Introduction
- (1)
- A nonsingular terminal sliding mode observer is designed for the sensorless speed control of PMSM by using an improved sliding mode reaching law. The estimation accuracy of the speed is improved.
- (2)
- An adaptive observer is used to replace the low-pass filter in the conventional sliding mode observer, which effectively avoids the phase delay problem and further improves the observation accuracy.
- (3)
- The stability of the system is proved by the Lyapunov function. Compared with the conventional SMO and super-twisting SMO, the experimental results show that the proposed method can improve the observation accuracy of the speed and effectively reduce the chattering.
2. Design of the Observer
2.1. Conventional Sliding Mode Observer
2.2. Design of Nonsingular Terminal Sliding Mode Observer
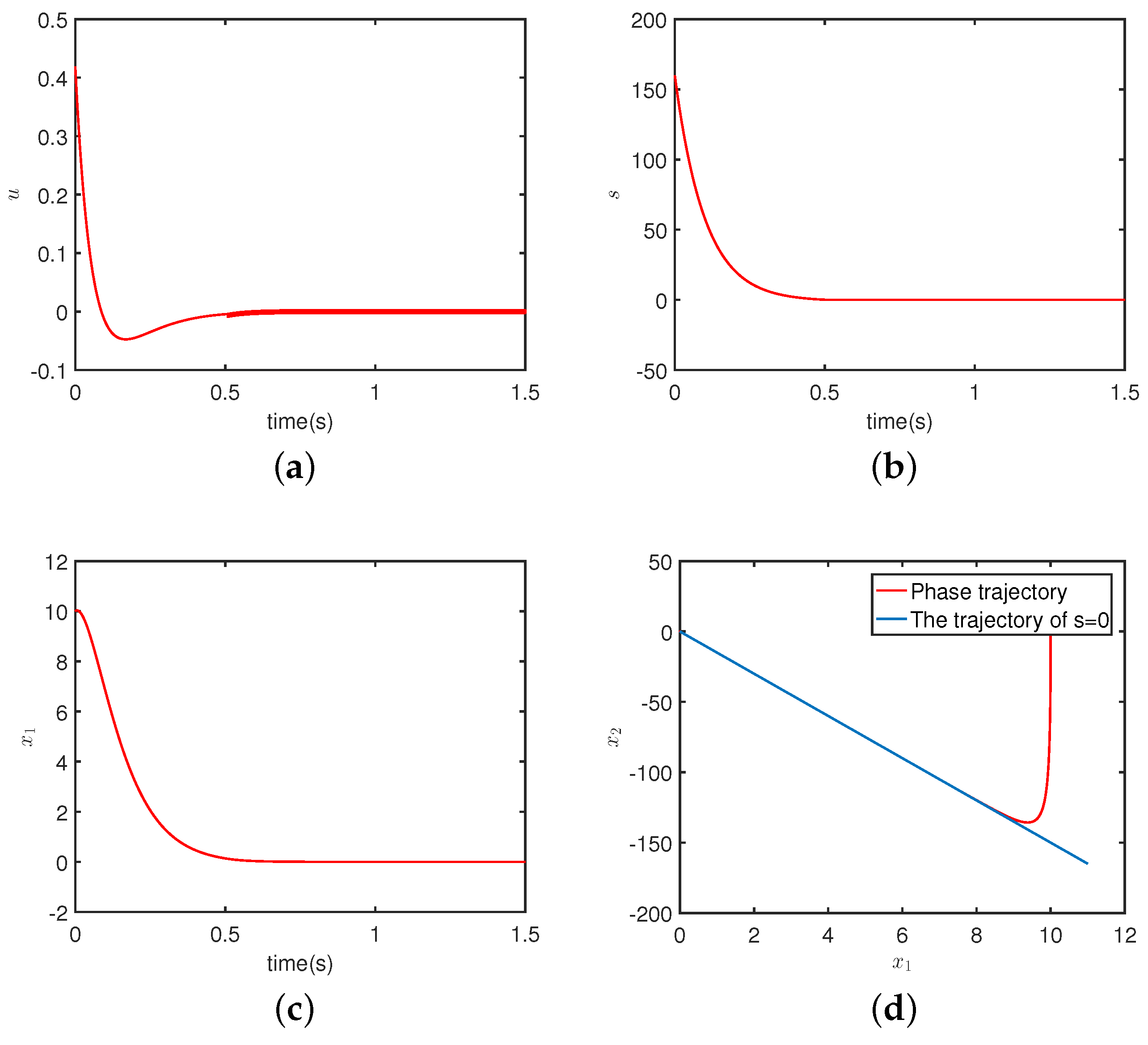
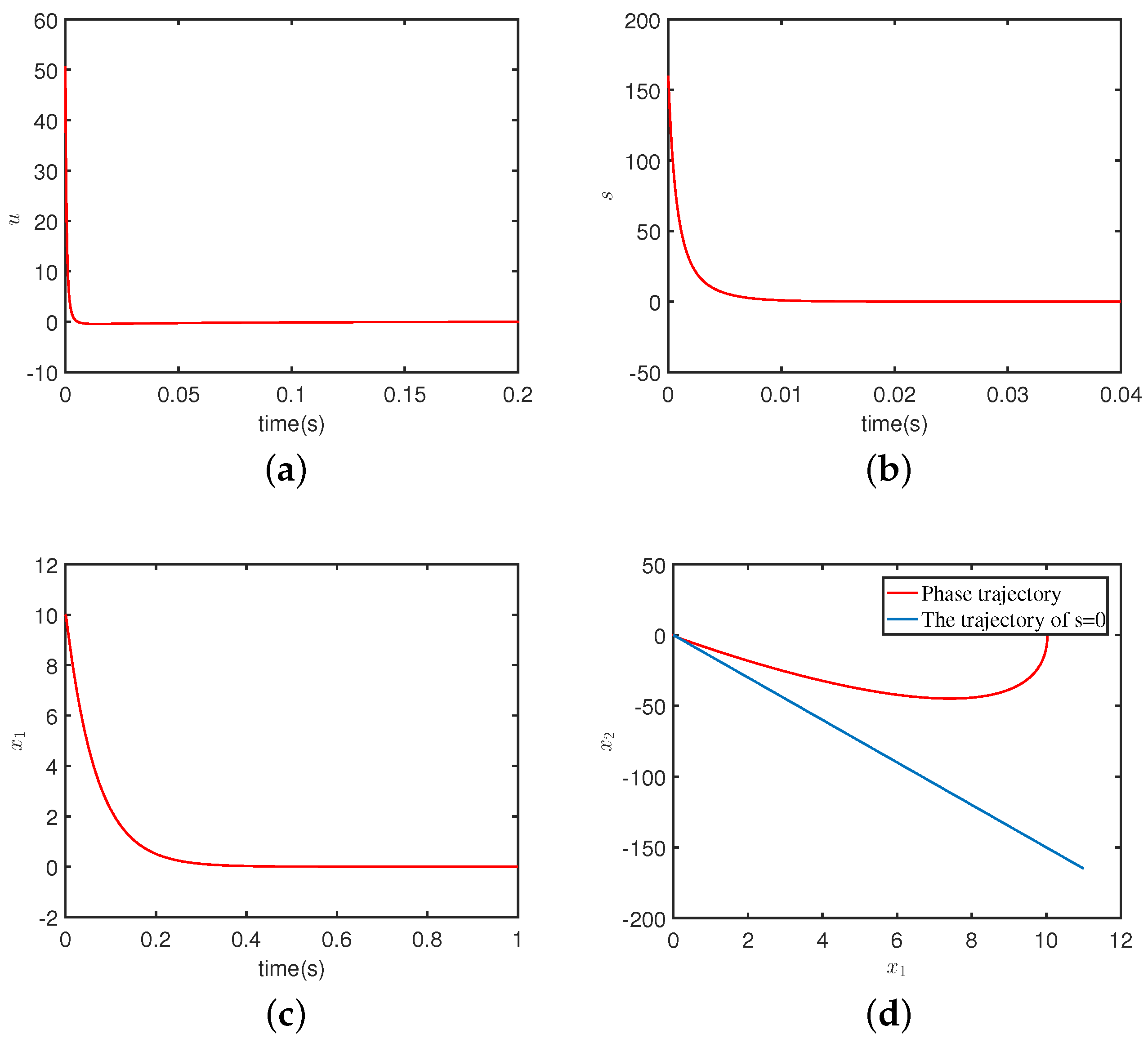
2.3. Numerical Analysis of Reaching Law
3. Experiment Analysis
4. Conclusions
Author Contributions
Funding
Institutional Review Board Statement
Informed Consent Statement
Data Availability Statement
Conflicts of Interest
Abbreviations
| NTSMO | nonsingular terminal sliding mode observer |
| EMF | estimate the back electromotive force |
| PMSM | permanent magnet synchronous motor |
| SMO | sliding mode observer |
| SMC | sliding mode control |
| VSI | voltage source inverter |
| STSMO | super-twisting sliding mode observer |
| FOTSM | full-order terminal sliding mode |
References
- Dianov, A.; Anuchin, A. Design of Constraints for Seeking Maximum Torque per Ampere Techniques in an Interior Permanent Magnet Synchronous Motor Control. Mathematics 2021, 9, 2785. [Google Scholar] [CrossRef]
- Belkhier, Y.; Achour, A. An intelligent passivity-based backstepping approach for optimal control for grid-connecting permanent magnet synchronous generator-based tidal conversion system. Int. J. Energy Res. 2021, 45, 5433–5448. [Google Scholar] [CrossRef]
- Xue, Z.; Li, L.; Wang, X.; Wang, X. A Sensorless Control Strategy for Permanent Magnet Synchronous Motor at Low Switching Frequency. Electronics 2022, 11, 1957. [Google Scholar] [CrossRef]
- Yao, H.; Yan, Y.; Shi, T. A Novel SVPWM Scheme for Field-Oriented Vector-Controlled PMSM Drive System Fed by Cascaded H-Bridge Inverter. IEEE Trans. Power Electron. 2021, 36, 8988–9000. [Google Scholar] [CrossRef]
- Xu, B.; Ma, J.; Wu, Q.; Qiu, L. Sensorless Control Strategy of Novel Axially Magnetized Vernier Permanent-Magnet Machine. Energies 2022, 15, 5470. [Google Scholar] [CrossRef]
- Ye, S.; Yao, X. An Enhanced SMO-Based Permanent-Magnet Synchronous Machine Sensorless Drive Scheme With Current Measurement Error Compensation. IET Electron. Power Appl. 2021, 9, 4407–4419. [Google Scholar] [CrossRef]
- Mai, Z. HF Pulsating Carrier Voltage Injection Method Based on Improved Position Error Signal Extraction Strategy for PMSM Position Sensorless Control. IEEE Trans. Power Electron. 2021, 36, 9348–9360. [Google Scholar] [CrossRef]
- Lu, Q.; Wang, Y.; Mo, L.; Zhang, T. Pulsating High Frequency Voltage Injection Strategy for Sensorless Permanent Magnet Synchronous Motor Drives. IEEE Trans. Appl. Supercond. 2021, 31, 1–4. [Google Scholar] [CrossRef]
- Liu, Z.; Chen, W. Research on an Improved Sliding Mode Observer for Speed Estimation in Permanent Magnet Synchronous Motor. Processes 2022, 10, 1182. [Google Scholar] [CrossRef]
- Filho, C.J.V.; Xiao, D.; Vieira, R.P.; Emadi, A. Observers for High-Speed Sensorless PMSM Drives: Design Methods, Tuning Challenges and Future Trends. IEEE Access 2021, 9, 56397–56415. [Google Scholar] [CrossRef]
- Shao, Y.; Wang, B.; Yu, Y.; Dong, Q.; Tian, M. An Integral Sliding Mode Back-EMF Observer for Position-Sensorless Permanent Magnet Synchronous Motor Drives. In Proceedings of the 2019 22nd International Conference on Electrical Machines and Systems (ICEMS), Harbin, China, 11–14 August 2019; pp. 1–5. [Google Scholar]
- Wang, Y.; Feng, Y.; Zhang, X.; Liang, J. A New Reaching Law for Antidisturbance Sliding-Mode Control of PMSM Speed Regulation System. IEEE Trans. Power Electron. 2020, 35, 4117–4126. [Google Scholar] [CrossRef]
- Tang, Y.; Xu, W.; Liu, Y.; Dong, D. Dynamic Performance Enhancement Method Based on Improved Model Reference Adaptive System for SPMSM Sensorless Drives. IEEE Access 2021, 9, 135012–135023. [Google Scholar] [CrossRef]
- Xu, W.; Jiang, Y.; Mu, C.; Blaabjergc, F. Improved Nonlinear Flux Observer-Based Second-Order SOIFO for PMSM Sensorless Control. IEEE Trans. Power Electron. 2019, 34, 565–579. [Google Scholar] [CrossRef]
- Cui, J.; Xing, W.; Qin, H.; Hua, Y. Research on Permanent Magnet Synchronous Motor Control System Based on Adaptive Kalman Filter. Appl. Sci. 2022, 12, 4944. [Google Scholar] [CrossRef]
- Novak, Z.; Novak, M. Adaptive PLL-Based Sensorless Control for Improved Dynamics of High-Speed PMSM. IEEE Trans. Power Electron. 2022, 37, 10154–10165. [Google Scholar] [CrossRef]
- Ma, Z.; Zhang, X. FPGA Implementation of Sensorless Sliding Mode Observer with a Novel Rotation Direction Detection for PMSM Drives. IEEE Access 2018, 6, 55528–55536. [Google Scholar] [CrossRef]
- Nicola, M.; Nicola, C.-I.; Selișteanu, D. Improvement of PMSM Sensorless Control Based on Synergetic and Sliding Mode Controllers Using a Reinforcement Learning Deep Deterministic Policy Gradient Agent. Energies 2022, 15, 2208. [Google Scholar] [CrossRef]
- Cui, J.; Xing, W.; Qin, H.; Hua, Y. Ghoneim, Robust interconnection and damping assignment energy-based control for a permanent magnet synchronous motor using high order sliding mode approach and nonlinear observer. Energy Rep. 2022, 8, 1731–1740. [Google Scholar]
- Li, L.; Zhang, Z.; Wang, C. A flexible current tracking control of sensorless induction motors via adaptive observer. ISA Trans. 2019, 93, 180–188. [Google Scholar] [CrossRef]
- Repecho, V.; Waqar, J.; Biel, D. Zero speed sensorless scheme for PMSM under decoupled sliding mode control. IEEE Access 2018, 6, 55528–55536. [Google Scholar]
- Liang, D.; Li, J.; Qu, R.; Kong, W. Adaptive Second-Order Sliding-Mode Observer for PMSM Sensorless Control Considering VSI Nonlinearity. IEEE Trans. Power Electron. 2018, 3, 8994–9004. [Google Scholar] [CrossRef]
- Gong, C.; Hu, Y.; Gao, J.; Wang, Y.; Yan, L. An Improved Delay-Suppressed Sliding-Mode Observer for Sensorless Vector-Controlled PMSM. IEEE Trans. Ind. Electron. 2020, 67, 5913–5923. [Google Scholar] [CrossRef]
- Zhou, M.; Cheng, S.; Feng, Y.; Xu, W.; Wang, L.; Cai, W. Full-Order Terminal Sliding-Mode-Based Sensorless Control of Induction Motor With Gain Adaptation. IEEE J. Emerg. Sel. Top. Power Electron. 2022, 10, 1978–1991. [Google Scholar] [CrossRef]
- Yuan, Q.; Yang, Y.; Wu, H.; Wu, H. Low Speed Sensorless Control Based on an Improved Sliding Mode Observation and the Inverter Nonlinearity Compensation for SPMSM. IEEE Access 2020, 8, 61299–61310. [Google Scholar] [CrossRef]
- Yin, Z.; Zhang, Y.; Cao, X.; Yuan, D.; Liu, J. Estimated Position Error Suppression Using Novel PLL for IPMSM Sensorless Drives Based on Full-Order SMO. IEEE Trans. Power Electron. 2022, 37, 4463–4474. [Google Scholar] [CrossRef]
- Yang, C.; Ma, T.; Che, Z.; Zhou, L. An Adaptive-Gain Sliding Mode Observer for Sensorless Control of Permanent Magnet Linear Synchronous Motors. IEEE Access 2018, 6, 3469–3478. [Google Scholar] [CrossRef]
- Zhao, Y.; Yu, H.; Wang, S. An Improved Super-Twisting High-Order Sliding Mode Observer for Sensorless Control of Permanent Magnet Synchronous Motor. Energies 2021, 14, 6047. [Google Scholar] [CrossRef]
- Zhang, Y.; Jin, J.; Huang, L. Model-Free Predictive Current Control of PMSM Drives Based on Extended State Observer Using Ultralocal Model. IEEE Trans. Ind. Electron. 2021, 68, 993–1003. [Google Scholar] [CrossRef]
- Lu, H.; Wu, J.; Li, M. A new sliding mode observer for the sensorless control of a PMLSM. In Proceedings of the 2017 29th Chinese Control And Decision Conference (CCDC), Chongqing, China, 28–30 May 2017; pp. 5364–5369. [Google Scholar]
- Jayaramu, M.L.; Suresh, H.N.; Bhaskar, M.S. Real-Time Implementation of Extended Kalman Filter Observer With Improved Speed Estimation for Sensorless Control. IEEE Access 2021, 9, 50452–50465. [Google Scholar] [CrossRef]
- Lee, H.; Lee, J. Design of Iterative Sliding Mode Observer for Sensorless PMSM Control. IIEEE Trans. Control. Syst. Technol. 2013, 21, 1394–1399. [Google Scholar] [CrossRef]
- Yu, X.; Feng, Y.; Man, Z. Terminal Sliding Mode Control—An Overview. IEEE Trans. Ind. Electron. 2021, 2, 36–52. [Google Scholar] [CrossRef]
- Song, L.; Huang, J.; Liang, Q.; Nie, L.; Liang, X.; Zhu, J. Trajectory Tracking Strategy for Sliding Mode Control with Double Closed-Loop for Lawn Mowing Robot Based on ESO. IEEE Access 2022, 1–16. [Google Scholar] [CrossRef]
- Chang, X.; Bloomberg; Liu, L. Sensorless control of permanent magnet synchronous motor with a novel non-singular terminal sliding mode observer. J. Jiaotong Univ. 2016, 50, 85–91. [Google Scholar]



















| Description | Value | Unit |
|---|---|---|
| rated speed | 1000 | r/min |
| rated torque | 14.5 | N · m |
| stator resistance | 1.84 | |
| d-axis inductance | 6.65 | mH |
| q-axis inductance | 6.65 | mH |
| rotor flux | 0.32 | Wb |
| moment of inertia | 0.0027 | Kg · m2 |
| Speed | Method | Actual Speed (rpm) | Estimated Speed (rpm) | Speed Error (rpm) |
|---|---|---|---|---|
| SMO | −192∼208 | −191.5∼209.3 | −15.1∼14.8 | |
| 200 rpm | FTSMO | −194∼206 | −194.1∼205.8 | −12.5∼14.4 |
| NTSMO | −195∼205 | −194.9∼205.1 | −11.2∼11.3 | |
| SMO | −596∼604 | −584.9∼615.1 | −17.2∼17.3 | |
| 600 rpm | FTSMO | −593∼602 | −588.2∼612.3 | −13.3∼13.1 |
| NTSMO | −599∼601 | −592.2∼607.5 | −8.7∼8.7 | |
| SMO | −996∼1004 | −978.6∼1021.5 | −23.2∼23.8 | |
| 1000 rpm | FTSMO | −997∼1003 | −981.3∼1013.2 | −14.3∼18.8 |
| NTSMO | −999∼1002 | −988.8∼1011.2 | −12.6∼12.9 |
Publisher’s Note: MDPI stays neutral with regard to jurisdictional claims in published maps and institutional affiliations. |
© 2022 by the authors. Licensee MDPI, Basel, Switzerland. This article is an open access article distributed under the terms and conditions of the Creative Commons Attribution (CC BY) license (https://creativecommons.org/licenses/by/4.0/).
Share and Cite
Yang, Y.; Liu, X. A Novel Nonsingular Terminal Sliding Mode Observer-Based Sensorless Control for Electrical Drive System. Mathematics 2022, 10, 3123. https://doi.org/10.3390/math10173123
Yang Y, Liu X. A Novel Nonsingular Terminal Sliding Mode Observer-Based Sensorless Control for Electrical Drive System. Mathematics. 2022; 10(17):3123. https://doi.org/10.3390/math10173123
Chicago/Turabian StyleYang, Yongjie, and Xudong Liu. 2022. "A Novel Nonsingular Terminal Sliding Mode Observer-Based Sensorless Control for Electrical Drive System" Mathematics 10, no. 17: 3123. https://doi.org/10.3390/math10173123
APA StyleYang, Y., & Liu, X. (2022). A Novel Nonsingular Terminal Sliding Mode Observer-Based Sensorless Control for Electrical Drive System. Mathematics, 10(17), 3123. https://doi.org/10.3390/math10173123
