New Criterias of Synchronization for Discrete-Time Recurrent Neural Networks with Time-Varying Delay via Event-Triggered Control
Abstract
1. Introduction
2. Notations and Preliminaries
3. Main Results
3.1. Stability Analysis for DTRNNs with Time-Varying Delay
3.2. State-Feedback Controller Design for DTRNNs with Time-Varying Delay
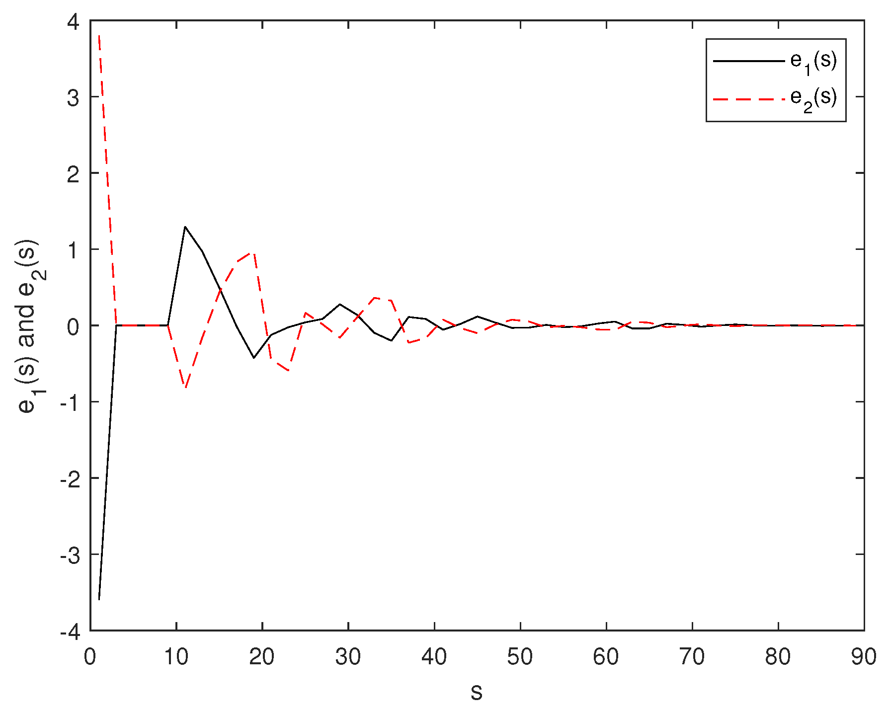
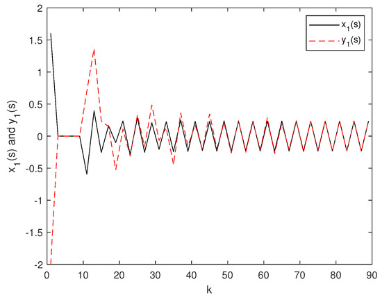
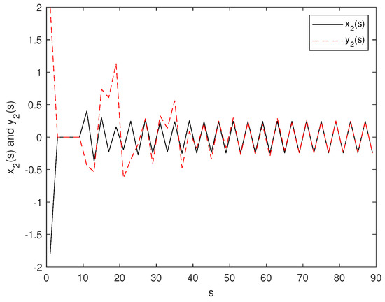
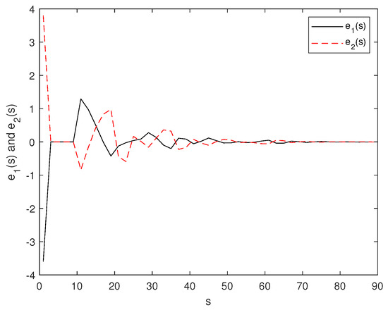
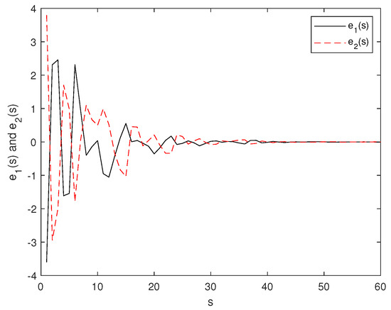
4. Numerical Example with Simulations
5. Conclusions
Author Contributions
Funding
Institutional Review Board Statement
Informed Consent Statement
Conflicts of Interest
References
- Botmart, T.; Niamsup, P. Exponential synchronization of complex dynamical network with mixed time-varying and hybrid coupling delays via intermittent control. Adv. Differ. Equ. 2014, 2014, 1–33. [Google Scholar] [CrossRef][Green Version]
- Vadivel, R.; Ali, M.S.; Joo, Y.H. Event-triggered H∞ synchronization for switched discrete time delayed recurrent neural networks with actuator constraints and nonlinear perturbations. J. Frankl. Inst. 2020, 357, 4079–4108. [Google Scholar] [CrossRef]
- Chen, G.; Gao, Y.; Zhu, S. Finite-time dissipative control for stochastic interval systems with time-delay and Markovian switching. Appl. Math. Comput. 2017, 310, 169–181. [Google Scholar] [CrossRef]
- Wen, S.; Zeng, Z.; Huang, T.; Meng, Q.; Yao, W. Lag synchronization of switched neural networks via neural activation function and applications in image encryption. IEEE Trans. Neural Netw. Learn. Syst. 2015, 26, 1493–1502. [Google Scholar] [CrossRef]
- Niamsup, P.; Botmart, T.; Weera, W. Modified function projective synchronization of complex dynamical networks with mixed time-varying and asymmetric coupling delays via new hybrid pinning adaptive control. Adv. Differ. Equ. 2017, 2017, 1–31. [Google Scholar] [CrossRef]
- Botmart, T.; Yotha, N.; Niamsup, P.; Weera, W. Hybrid adaptive pinning control for function projective synchronization of delayed neural networks with mixed uncertain couplings. Complexity 2017, 2017, 4654020. [Google Scholar] [CrossRef]
- Ali, M.S.; Marudai, M. Stochastic stability of discrete-time uncertain recurrent neural networks with Markovian jumping and time-varying delays. Math. Comput. Model. 2011, 54, 1979–1988. [Google Scholar]
- Liu, X.G.; Wang, F.X.; Shu, Y.J. A novel summation inequality for stability analysis of discrete-time neural networks. J. Comput. Appl. Math. 2016, 304, 160–171. [Google Scholar] [CrossRef]
- Wei, F.; Chen, G.; Wang, W. Finite-time stabilization of memristor-based inertial neural networks with time-varying delays combined with interval matrix method. Knowl.-Based Syst. 2021, 230, 107395. [Google Scholar] [CrossRef]
- Wang, H.; Duan, S.; Huang, T.; Tan, J. Synchronization of memristive delayed neural networks via hybrid impulsive control. Neurocomputing 2017, 267, 615–623. [Google Scholar] [CrossRef]
- Wei, F.; Chen, G.; Wang, W. Finite-time synchronization of memristor neural networks via interval matrix method. Neural Netw. 2020, 127, 7–18. [Google Scholar] [CrossRef] [PubMed]
- Wang, G.; Shen, Y. Exponential synchronization of coupled memristive neural networks with time delays. Neural Comput. Appl. 2014, 24, 1421–1430. [Google Scholar] [CrossRef]
- Wang, S.; Cao, Y.; Wen, S.; Guo, Z.; Huang, T.; Chen, Y. Projective synchroniztion of neural networks via continuous/periodic event-based sampling algorithms. IEEE Trans. Netw. Sci. Eng. 2020, 7, 2746–2754. [Google Scholar] [CrossRef]
- Wang, J.L.; Qin, Z.; Wu, H.N.; Huang, T. Finite-Time Synchronization and H∞ Synchronization of Multiweighted Complex Networks With Adaptive State Couplings. IEEE Trans. Cybern. 2018, 50, 600–612. [Google Scholar] [CrossRef]
- Han, J.; Chen, G.; Hu, J. New results on anti-synchronization in predefined-time for a class of fuzzy inertial neural networks with mixed time delays. Neurocomputing 2022, 495, 26–36. [Google Scholar] [CrossRef]
- Hoppensteadt, F.C.; Izhikevich, E.M. Pattern recognition via synchronization in phase-locked loop neural networks. IEEE Trans. Neural Netw. 2000, 11, 734–738. [Google Scholar] [CrossRef] [PubMed]
- Vassilieva, E.; Pinto, G.; de Barros, J.; Suppes, P. Learning pattern recognition through quasi-synchronization of phase oscillators. IEEE Trans. Neural Netw. 2010, 22, 84–95. [Google Scholar] [CrossRef] [PubMed]
- Liu, Y.; Wang, Z.; Liang, J.; Liu, X. Stability and synchronization of discrete-time Markovian jumping neural networks with mixed mode-dependent time delays. IEEE Trans. Neural Netw. 2009, 20, 1102–1116. [Google Scholar] [PubMed]
- Zhang, L.; Yi, Z.; Zhang, S.L.; Heng, P.A. Activity invariant sets and exponentially stable attractors of linear threshold discrete-time recurrent neural networks. IEEE Trans. Autom. Control. 2009, 54, 1341–1347. [Google Scholar] [CrossRef]
- Bao, H.; Park, J.H.; Cao, J. Adaptive synchronization of fractional-order memristor-based neural networks with time delay. Nonlinear Dyn. 2015, 82, 1343–1354. [Google Scholar] [CrossRef]
- Chandrasekar, A.; Rakkiyappan, R. Impulsive controller design for exponential synchronization of delayed stochastic memristor-based recurrent neural networks. Neurocomputing 2016, 173, 1348–1355. [Google Scholar] [CrossRef]
- Tabuada, P. Event-triggered real-time scheduling of stabilizing control tasks. IEEE Trans. Autom. Control. 2007, 52, 1680–1685. [Google Scholar] [CrossRef]
- Dong, Q.; Yu, P.; Ma, Y. Event-triggered synchronization control of complex networks with adaptive coupling strength. J. Frankl. Inst. 2022, 359, 1215–1234. [Google Scholar] [CrossRef]
- Suo, J.; Wang, Z.; Shen, B. Pinning synchronization control for a class of discrete-time switched stochastic complex networks under event-triggered mechanism. Nonlinear Anal. Hybrid Syst. 2020, 37, 100886. [Google Scholar] [CrossRef]
- Que, H.; Fang, M.; Wu, Z.G.; Su, H.; Huang, T.; Zhang, D. Exponential synchronization via aperiodic sampling of complex delayed networks. IEEE Trans. Syst. Man, Cybern. Syst. 2018, 49, 1399–1407. [Google Scholar] [CrossRef]
- Jin, L.; He, Y.; Wu, M. Improved delay-dependent stability analysis of discrete-time neural networks with time-varying delay. J. Frankl. Institute 2017, 354, 1922–1936. [Google Scholar] [CrossRef]
- Ding, S.; Wang, Z. Event-triggered synchronization of discrete-time neural networks: A switching approach. Neural Netw. 2020, 125, 31–40. [Google Scholar] [CrossRef]
- Wen, S.; Zeng, Z.; Chen, M.Z.; Huang, T. Synchronization of switched neural networks with communication delays via the event-triggered control. IEEE Trans. Neural Netw. Learn. Syst. 2016, 28, 2334–2343. [Google Scholar] [CrossRef] [PubMed]
- Kan, X.; Wang, Z.; Shu, H. State estimation for discrete-time delayed neural networks with fractional uncertainties and sensor saturations. Neurocomputing 2013, 117, 64–71. [Google Scholar] [CrossRef]
- Wu, Z.; Su, H.; Chu, J.; Zhou, W. Improved delay-dependent stability condition of discrete recurrent neural networks with time-varying delays. IEEE Trans. Neural Netw. 2010, 21, 692–697. [Google Scholar] [PubMed]
- Wang, H.; Shi, P.; Lim, C.C.; Xue, Q. Event-triggered control for networked Markovian jump systems. Int. J. Robust Nonlinear Control. 2015, 25, 3422–3438. [Google Scholar] [CrossRef]
- Xiong, J.; Lam, J. Stabilization of networked control systems with a logic ZOH. IEEE Trans. Autom. Control. 2009, 54, 358–363. [Google Scholar] [CrossRef]












Publisher’s Note: MDPI stays neutral with regard to jurisdictional claims in published maps and institutional affiliations. |
© 2022 by the authors. Licensee MDPI, Basel, Switzerland. This article is an open access article distributed under the terms and conditions of the Creative Commons Attribution (CC BY) license (https://creativecommons.org/licenses/by/4.0/).
Share and Cite
Yu, L.; Chen, G.; Jiang, F.; Wang, Z. New Criterias of Synchronization for Discrete-Time Recurrent Neural Networks with Time-Varying Delay via Event-Triggered Control. Mathematics 2022, 10, 2816. https://doi.org/10.3390/math10152816
Yu L, Chen G, Jiang F, Wang Z. New Criterias of Synchronization for Discrete-Time Recurrent Neural Networks with Time-Varying Delay via Event-Triggered Control. Mathematics. 2022; 10(15):2816. https://doi.org/10.3390/math10152816
Chicago/Turabian StyleYu, Lei, Guici Chen, Feng Jiang, and Zhi Wang. 2022. "New Criterias of Synchronization for Discrete-Time Recurrent Neural Networks with Time-Varying Delay via Event-Triggered Control" Mathematics 10, no. 15: 2816. https://doi.org/10.3390/math10152816
APA StyleYu, L., Chen, G., Jiang, F., & Wang, Z. (2022). New Criterias of Synchronization for Discrete-Time Recurrent Neural Networks with Time-Varying Delay via Event-Triggered Control. Mathematics, 10(15), 2816. https://doi.org/10.3390/math10152816

