Improved Stability Criteria for Delayed Neural Networks via a Relaxed Delay-Product-Type Lapunov–Krasovskii Functional
Abstract
:1. Introduction
- (i)
- A new sufficient and necessary condition for the general polynomial inequalities was developed by introducing some slack variables. The negative definiteness determination method was applied to derive less conservative stablity criteria.
- (ii)
- A suitable delay-product-type LKF was constructed by efficiently introducing some new terms relating to the previous information of neuron activation function. As a result, the stability criterion based on the established LKF becomes more dependent on the technique for dealing with the single integrations of activation function.
- (iii)
- Based on the LKF and the stated negative condition of the general polynomial, two less conservative criteria were derived, which are demonstrated through two numerical examples, and a larger allowable upper bound of delays is achieved.
2. Preliminaries
- (i)
- for all if and only if there exists a scalar such thatwhere , and .
- (ii)
- for all if and only if there exists a scalar such thatwhere , and .
3. Main Results
- ,
- ,
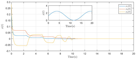
4. Illustrative Examples
5. Conclusions
Author Contributions
Funding
Institutional Review Board Statement
Informed Consent Statement
Data Availability Statement
Conflicts of Interest
References
- Lee, T.H.; Park, M.J.; Park, J.H. An improved stability criterion of neural networks with time-varying delays in the form of quadratic function using novel geometry-based conditions. Appl. Math. Comput. 2021, 404, 126–226. [Google Scholar] [CrossRef]
- Chua, L.; Yang, L. Cellular neural networks: Applications. IEEE Trans. Circuits Syst. 1988, 35, 1273–1290. [Google Scholar] [CrossRef]
- Mestari, M.; Benzirar, M.; Saber, N.; Khouil, M. Solving Nonlinear Equality Constrained Multiobjective Optimization Problems Using Neural Networks. IEEE Trans. Neural Netw. Learn. Syst. 2015, 26, 2500–2520. [Google Scholar] [CrossRef]
- Zhang, H.; Wang, Z.; Liu, D. A Comprehensive Review of Stability Analysis of Continuous-Time Recurrent Neural Networks. IEEE Trans. Neural Netw. Learn. Syst. 2014, 25, 1229–1262. [Google Scholar] [CrossRef]
- Chen, Y.H.; Fang, S.C. Neurocomputing with time delay analysis for solving convex quadratic programming problems. IEEE Trans. Neural Netw. Learn. Syst. 2000, 11, 230–240. [Google Scholar] [CrossRef] [PubMed]
- Melin, P.; Castillo, O. An intelligent hybrid approach for industrial quality control combining neural networks, fuzzy logic and fractal theory. Inf. Sci. 2007, 177, 1543–1557. [Google Scholar] [CrossRef]
- Melin, P.; Mendoza, O.; Castillo, O. Face Recognition With an Improved Interval Type-2 Fuzzy Logic Sugeno Integral and Modular Neural Networks. IEEE Trans. Syst. Man Cybern. A Syst. Hum. 2011, 41, 1001–1012. [Google Scholar] [CrossRef]
- Melin, P.; Sánchez, D.; Castillo, O. Genetic optimization of modular neural networks with fuzzy response integration for human recognition. Inf. Sci. 2012, 197, 1–19. [Google Scholar] [CrossRef]
- Zhang, X.M.; Han, Q.L.; Ge, X.; Ding, D. An overview of recent developments in Lyapunov–Krasovskii functionals and stability criteria for recurrent neural networks with time-varying delays. Neurocomputing 2018, 313, 392–401. [Google Scholar] [CrossRef]
- Zhang, X.M.; Han, Q.L.; Ge, X. An overview of neuronal state estimation of neural networks with time-varying delays. Inf. Sci. 2019, 478, 83–99. [Google Scholar] [CrossRef]
- Chen, J.; Park, J.H.; Xu, S. Stability Analysis for Delayed Neural Networks With an Improved General Free-Matrix-Based Integral Inequality. IEEE Trans. Neural Netw. Learn. Syst. 2020, 31, 675–684. [Google Scholar] [CrossRef]
- Xu, B.; Li, B. Event-Triggered State Estimation for Fractional-Order Neural Networks. Mathematics 2022, 10, 325. [Google Scholar] [CrossRef]
- Kwon, O.M.; Park, M.J.; Lee, S.M.; Park, J.H.; Cha, E.J. Stability for Neural Networks With Time-Varying Delays via Some New Approaches. IEEE Trans. Neural Netw. Learn. Syst. 2013, 24, 181–193. [Google Scholar] [CrossRef]
- Zhang, X.M.; Han, Q.L. Global Asymptotic Stability for a Class of Generalized Neural Networks with Interval Time-Varying Delays. IEEE Trans. Neural Netw. Learn. Syst. 2011, 22, 1180–1192. [Google Scholar] [CrossRef]
- Long, F.; Zhang, C.K.; He, Y.; Wang, Q.G.; Gao, Z.M.; Wu, M. Hierarchical Passivity Criterion for Delayed Neural Networks via A General Delay-Product-Type Lyapunov-Krasovskii Functional. IEEE Trans. Neural Netw. Learn. Syst. 2021, 1–12. [Google Scholar] [CrossRef]
- Kwon, O.M.; Park, J.H.; Lee, S.M.; Cha, E.J. New augmented Lyapunov–Krasovskii functional approach to stability analysis of neural networks with time-varying delays. Nonlinear Dyn. 2014, 76, 221–236. [Google Scholar] [CrossRef]
- Zhang, C.K.; He, Y.; Jiang, L.; Lin, W.J.; Wu, M. Delay-dependent stability analysis of neural networks with time-varying delay: A generalized free-weighting-matrix approach. Appl. Math. Comput. 2017, 294, 102–120. [Google Scholar] [CrossRef]
- Seuret, A.; Gouaisbaut, F. Wirtinger-based integral inequality: Application to time-delay systems. Automatica 2013, 49, 2860–2866. [Google Scholar] [CrossRef] [Green Version]
- Gu, K. An integral inequality in the stability problem of time-delay systems. In Proceedings of the Proceedings of the 39th IEEE Conference on Decision and Control (Cat. No.00CH37187), Sydney, Australia, 12–15 December 2000; Volume 3, pp. 2805–2810. [Google Scholar]
- Zhang, X.M.; Lin, W.J.; Han, Q.L.; He, Y.; Wu, M. Global Asymptotic Stability for Delayed Neural Networks Using an Integral Inequality Based on Nonorthogonal Polynomials. IEEE Trans. Neural Netw. Learn. Syst. 2018, 29, 4487–4493. [Google Scholar] [CrossRef]
- Park, P.; Ko, J.W.; Jeong, C. Reciprocally convex approach to stability of systems with time-varying delays. Automatica 2011, 47, 235–238. [Google Scholar] [CrossRef]
- Zeng, H.B.; He, Y.; Wu, M.; She, J. Free-Matrix-Based Integral Inequality for Stability Analysis of Systems with Time-Varying Delay. IEEE Trans. Autom. Control 2015, 60, 2768–2772. [Google Scholar] [CrossRef]
- Zhang, X.M.; Han, Q.L.; Seuret, A.; Gouaisbaut, F. An improved reciprocally convex inequality and an augmented Lyapunov–Krasovskii functional for stability of linear systems with time-varying delay. Automatica 2017, 84, 221–226. [Google Scholar] [CrossRef] [Green Version]
- Zhang, X.M.; Han, Q.L.; Ge, X. Novel stability criteria for linear time-delay systems using Lyapunov-Krasovskii functionals with a cubic polynomial on time-varying delay. IEEE/CAA J. Autom. Sin. 2021, 8, 77–85. [Google Scholar] [CrossRef]
- Park, M.; Kwon, O.; Ryu, J. Passivity and stability analysis of neural networks with time-varying delays via extended free-weighting matrices integral inequality. Neural Netw. 2018, 106, 67–78. [Google Scholar] [CrossRef] [PubMed]
- Park, J.; Park, P. Finite-interval quadratic polynomial inequalities and their application to time-delay systems. J. Frankl. Inst. 2020, 357, 4316–4327. [Google Scholar] [CrossRef]
- Ouellette, D.V. Schur complements and statistics. Linear Algebra Appl. 1981, 36, 187–295. [Google Scholar] [CrossRef] [Green Version]
- Zeng, H.B.; Park, J.H.; Zhang, C.F.; Wang, W. Stability and dissipativity analysis of static neural networks with interval time-varying delay. J. Frankl. Inst. 2015, 352, 1284–1295. [Google Scholar] [CrossRef]
- Chang, X.H.; Yang, G.H. Nonfragile H∞ Filtering of Continuous-Time Fuzzy Systems. IEEE Trans. Signal Process. 2011, 59, 1528–1538. [Google Scholar] [CrossRef]
- Lee, T.H.; Wu, Z.G.; Park, J.H. Synchronization of a complex dynamical network with coupling time-varying delays via sampled-data control. Appl. Math. Comput. 2012, 219, 1354–1366. [Google Scholar] [CrossRef]
- Zeng, H.B.; Teo, K.L.; He, Y.; Wang, W. Sampled-data stabilization of chaotic systems based on a T-S fuzzy model. Inf. Sci. 2019, 483, 262–272. [Google Scholar] [CrossRef]
- Chen, J.; Park, J.H.; Xu, S. Stability Analysis for Neural Networks with Time-Varying Delay via Improved Techniques. IEEE Trans. Cybern. 2019, 49, 4495–4500. [Google Scholar] [CrossRef]
- Zhang, X.M.; Han, Q.L.; Zeng, Z. Hierarchical Type Stability Criteria for Delayed Neural Networks via Canonical Bessel–Legendre Inequalities. IEEE Trans. Cybern. 2018, 48, 1660–1671. [Google Scholar] [CrossRef]
- Chen, Y.; Chen, G. Stability analysis of delayed neural networks based on a relaxed delay-product-type Lyapunov functional. Neurocomputing 2021, 439, 340–347. [Google Scholar] [CrossRef]
- Li, Z.; Yan, H.; Zhang, H.; Zhan, X.; Huang, C. Stability Analysis for Delayed Neural Networks via Improved Auxiliary Polynomial-Based Functions. IEEE Trans. Neural Netw. Learn. Syst. 2019, 30, 2562–2568. [Google Scholar] [CrossRef] [PubMed]


| Methods | ||
|---|---|---|
| Theorem 1 (Case II) [32] | 8.5669 | 7.2809 |
| Theorem 3 [17] | 13.8671 | 10.0050 |
| Proposition 3 [33] | 23.8409 | 14.8593 |
| Corollary 1 [34] | 24.2322 | 15.0214 |
| Theorem 1 [34] | 33.5828 | 18.4200 |
| Corollary 1 | 27.4594 | 14.9889 |
| Theorem 1 | 42.2617 | 22.4641 |
| Improvement | 25.8433% | 21.9549% |
| Methods | ||
|---|---|---|
| Theorem 1 [11] | 1.1545 | 0.6010 |
| Proposition 3 [33] | 1.1554 | 0.5967 |
| Corollary 1 [34] | 1.1612 | 0.6162 |
| Theorem 1 [34] | 1.1845 | 0.6572 |
| Theorem 1 [35] | 2.0497 | 0.9860 |
| Theorem 1 [1] | 2.3679 | 1.0187 |
| Corollary 1 | 7.9145 | 1.5412 |
| Theorem 1 | 10.9334 | 2.4705 |
| Improvement | 361.7340% | 142.5149% |
Publisher’s Note: MDPI stays neutral with regard to jurisdictional claims in published maps and institutional affiliations. |
© 2022 by the authors. Licensee MDPI, Basel, Switzerland. This article is an open access article distributed under the terms and conditions of the Creative Commons Attribution (CC BY) license (https://creativecommons.org/licenses/by/4.0/).
Share and Cite
Wang, S.; Shi, K.; Yang, J. Improved Stability Criteria for Delayed Neural Networks via a Relaxed Delay-Product-Type Lapunov–Krasovskii Functional. Mathematics 2022, 10, 2768. https://doi.org/10.3390/math10152768
Wang S, Shi K, Yang J. Improved Stability Criteria for Delayed Neural Networks via a Relaxed Delay-Product-Type Lapunov–Krasovskii Functional. Mathematics. 2022; 10(15):2768. https://doi.org/10.3390/math10152768
Chicago/Turabian StyleWang, Shuoting, Kaibo Shi, and Jin Yang. 2022. "Improved Stability Criteria for Delayed Neural Networks via a Relaxed Delay-Product-Type Lapunov–Krasovskii Functional" Mathematics 10, no. 15: 2768. https://doi.org/10.3390/math10152768
APA StyleWang, S., Shi, K., & Yang, J. (2022). Improved Stability Criteria for Delayed Neural Networks via a Relaxed Delay-Product-Type Lapunov–Krasovskii Functional. Mathematics, 10(15), 2768. https://doi.org/10.3390/math10152768

