Next Article in Journal
The Mediating Effects of Green Innovation and Corporate Social Responsibility on the Link between Transformational Leadership and Performance: An Examination Using SEM Analysis
Previous Article in Journal
Upper and Lower Bounds for the Spectral Radius of Generalized Reciprocal Distance Matrix of a Graph
 
 
Font Type:
Arial Georgia Verdana
Font Size:
Aa Aa Aa
Line Spacing:
Column Width:
Background:
Article

Semi-Analytical Search for Sun-Synchronous and Planet Synchronous Orbits around Jupiter, Saturn, Uranus and Neptune

1
State Key Laboratory of Astronautic Dynamics, Xi’an Satellite Control Center, Xi’an 710043, China
2
School of Electronic and Information Engineering, Xi’an Jiaotong University, Xi’an 710049, China
*
Author to whom correspondence should be addressed.
Mathematics 2022, 10(15), 2684; https://doi.org/10.3390/math10152684
Submission received: 15 June 2022 / Revised: 22 July 2022 / Accepted: 27 July 2022 / Published: 29 July 2022
(This article belongs to the Section E2: Control Theory and Mechanics)

Abstract

:
With the development of aerospace science and technology, more and more probes are expected to be deployed around extraterrestrial planets. In this paper, some special orbits around Jupiter, Saturn, Uranus, and Neptune are discussed and analyzed. The design methods of some special orbits are sorted out, considering the actual motion parameters and main perturbation forces of these four planets. The characteristics of sun-synchronous orbits, repeating ground track orbits, and synchronous planet orbits surrounding these plants are analyzed and compared. The analysis results show that Uranus does not have sun-synchronous orbits in the general sense. This paper also preliminarily calculates the orbital parameters of some special orbits around these planets, including the relationship between the semi-major axis, the eccentricity and the orbital inclination of the sun-synchronous orbits, the range of the regression coefficient of the sun-synchronous repeating ground track orbits, and the orbital parameters of synchronous planet orbits, laying a foundation for more accurate orbit design of future planetary probes.

1. Introduction

Moving towards deep space is an important goal for the development of human civilization, and the exploration of extraterrestrial planets is also the litmus test of human technology. At present, many countries are actively exploring the planets in the solar system. Mars, as a close neighbor of the Earth, already has a number of artificial satellites in its orbit, such as the Odyssey [1], Mars Express [2], Mars Reconnaissance Orbiter [3], and Mars Atmosphere and Volatile Evolution (MAVEN) [4]. In addition, China’s tianwen-1 [5], the US Curiosity [6], InSight [7], and other landers have carried out various tests on the surface of Mars.
The success of the exploration of Mars has further stimulated human enthusiasm for the exploration of other planets: Jupiter, Saturn, Uranus, and Neptune. As early as half a century ago, Voyager 1 was the first to provide detailed photos of Jupiter and Saturn [8]; after that, Voyager 2 [9] made a flyby exploration of all these four planets. However, with the progress of space technology and the in-depth study of the solar system, human beings have long been dissatisfied with this fleeting glimpse.
The new close-range planetary exploration mission has achieved great success. The Juno Jupiter probe launched in 2016 has greatly promoted our understanding of Jupiter’s magnetic field model [10], core composition [11] and dynamic tides [12]. The data from the Cassini Saturn probe [13] has also accelerated our research progress on Saturn’s upper atmosphere [14], satellite system [15], interior structure [16], and ring system [17].
Although Uranus and Neptune are more distant from us, research about them is also of great significance. Guillot’s research shows that Uranus and Neptune are the key to understanding planets with hydrogen atmospheres [18]. Voosen et al. [19] said that Uranus should be the primary goal of NASA. However, at present, our understanding of these two planets is still relatively limited. Helled R. [20] pointed out that Uranus and Neptune are still mysterious planets, and it is obvious that these planets need to be further explored in theory and observation. Brozović’s research [21] shows that the satellite systems of Uranus and Neptune are extremely complex and need further and more detailed observation. Hofstadter et al. [22] pointed out that some key measurements can only be carried out by orbiters of giant planets and detectors falling into their atmospheres.
It is obvious that probes dedicated to exclusive and focused study of Uranus and Neptune are needed. Research on the detection of Uranus and Neptune has been carried out. Rohan et al. [23] have designed the incident orbit of the Neptune detector. Cohen et al. [24] have begun to study the detector design of Uranus. Deniz et al. [25] discussed how to effectively use the time when the detector flies to Uranus and Neptune to detect gravitational waves.

2. Dynamic Model and Symbols

According to previous experience, in order to complete the detection task more efficiently, these orbiting probes often work in some special orbits [26], such as sun-synchronous orbit, repeating ground track orbit, and planet-synchronous orbit. Therefore, it is necessary to analyze and compare some special orbits around these four planets.
This paper uses some traditional symbols to represent the dynamic parameters and the orbital elements: a is the semi-major axis of the orbit. e is the orbital eccentricity. p is the semi-latus rectum and p = a(1 – e2). i is the orbital inclination. Ω is the right ascension of the ascending node. ω is the argument of perigee. M is the mean anomaly. f is the true anomaly. n is the mean angular velocity. The geometric interpretations of these elements are shown in Figure 1. The space coordinate system shown in Figure 1 is a right-hand coordinate system, where O is the center of mass of the planet and a focal point of an elliptical orbit, the x-axis points in the direction of the ascending node of the Sun, the z-axis points in the direction of the angular momentum direction of the planet’s rotation. O’ is the center of the ellipse, C is the perigee of the orbit, A is the apogee of the orbit, B is the ascending node of the orbit and O’ is at the center of the ellipse ABC.
Some relevant dynamic parameters of the four giant planets are shown in the table below:
For a planet, J2 is the second-order zonal harmonic coefficient. Additionally, J4 is the fourth-order zonal harmonic coefficient. All parameters shown in Table 1 can be obtained from the public website of NASA [27]. To make it convenient for readers to verify the calculation results of this paper, the codes of this paper are available and can be obtained through private communication.
The gravitational field functions of the four giant planets are established in the planet centroid system shown in Figure 1. References [28,29] show that the magnitude of the non-spherical perturbation coming from the central body (irregular shape) is usually much larger than the ones coming from the moons, but they give a zero net result concerning variations of energy. Therefore, from this point of view, it is important to study those perturbations individually [28,29].
The main non-spherical perturbation terms of these four planets are J2 and J4, and therefore, their gravitational field functions can be expressed as [30,31]:
U = μ p r [ 1 J 2 2 ( R p r ) 2 ( 3 sin 2 φ 1 ) J 4 8 ( R p r ) 4 ( 35 sin 4 φ 30 sin 2 φ + 3 ) ]
where μp is the gravitational field coefficient, Rp is the equatorial radius, φ is the geographic latitude, λ is the geographic longitude, ωp is the rotational angular velocity, and r is the distance between the probe and the centroid of the planet.

3. Sun-Synchronous Orbits

A remarkable feature of a sun-synchronous orbit is that the solar angle of the orbital plane can maintain long-term stability, which is not only conducive to energy management. However, it also can ensure the relative stability of the light conditions for the observation [32].
In terms of the present technology, the service life of an artificial satellite generally does not exceed ten years [33]. For a planet with a very long tropical orbit period like Neptune, the change in the orbit’s solar angle caused by the planet’s revolution is not significant during the life cycle of the probe. However, with the continuous development of satellite manufacturing and propulsion system technology, the service life of a probe will become longer and longer, especially for a planetary probe, and its service life would be much longer than that of the Earth’s probe. Therefore, it is still necessary to study the sun-synchronous orbits around planets with a long tropical period.
Taking the orbit design of the Earth satellite as a reference, the realization of sun-synchronous orbits mainly utilizes the perturbation of the non-spherical gravitational field of the planet. There will be a long-term drift of the right ascension of the ascending node under the influence of the gravitational field described in Equation (1). Ω ˙ , which represents the drift rate of Ω, can be described as follows [32]:
Ω ˙ = 3 R p 2 2 p 2 n J 2 cos i ( 3 J 2 R p 2 p 2 ) 2 n cos i [ 1 6 e 2 ( 1 + 5 4 sin 2 i ) + 1 e 2 ( 1 3 2 sin 2 i ) + ( 3 2 5 3 sin 2 i ) ] ( 35 8 ) ( J 4 ) R p 4 p 4 n cos i [ e 2 ( 9 7 9 4 sin 2 i ) + ( 6 7 3 2 sin 2 i ) ]
To achieve the characteristics of sun synchronization, it is necessary to use the gravitational field characteristics of different planets to design different semi-major axis, eccentricity, and orbital inclination, so that the following relationship is established:
Ω ˙ = M ˙ s ,
where M ˙ s is the mean angular velocity during one sidereal rotation period of the planet. When combining Equation (2) and Equation (3), we get:
9 n J 2 2 R p 4 4 p 4 [ e 2 ( 5 24 105 J 4 24 J 2 2 ) + 3 2 1 e 2 + 5 3 35 J 4 12 J 2 2 ] cos 3 i + 9 J 2 2 R p 4 4 p 4 [ 2 n p 2 3 J 2 R p 2 + e 2 ( 3 8 + 15 J 4 8 J 2 2 ) 1 2 1 e 2 1 6 + 5 J 4 4 J 2 2 ] cos i + M ˙ s = 0
It can be seen from Equation (4) that with preset a and e, i can be obtained by solving the cubic equation with cosi as the independent variable. The solution of a cubic equation probably has one, two, or three distinct roots.
The properties of the solution of the cubic equation can be obtained by calculating the following discriminant:
Δ = M ˙ s 2 4 Γ 3 2 + Γ 1 3 27 Γ 3 3 ,
where Γ 1 is the coefficient of cosi and Γ 3 is the coefficient of cos3i.
In combination with the dynamic parameters shown in Table 1, the discriminant is calculated, and the results are shown in Figure 2:
As can be seen from Figure 2, the corresponding discriminant of the four giant planets is always greater than zero, which indicates that the equation will have only one real root. That is, for a given a and e, all four planets will be able to find a unique orbital inclination i to meet the requirements of solar synchronous orbit.
Combined with the physical parameters of the four giant planets shown in Table 1, the semi-major axis, eccentricity, and orbital inclination of their solar synchronous orbit are further calculated in this paper. To more intuitively show the change relationship among the three parameters, the value range is wide, and the results are shown in Figure 3.
Calculations show that the orbital inclinations for the sun-synchronous orbits around the four giant planets are greater than 90 degrees, which belong to retrograde orbits. Jupiter’s sun-synchronous orbital inclination varies most significantly with the change of its semi-major axis, while Neptune’s sun-synchronous orbit has the smallest orbital inclination. In addition, for all four planets, when the semi-major axis is larger, and the eccentricity is smaller, the orbital inclination changes more significantly, which indicates that when deploying a probe to near-circular orbits with high orbit altitude, more attention should be paid to the injection accuracy.
For a probe orbiting Uranus, this paper believes that running in this orbit does not mean that it has the characteristics of sun-synchronization, although Equation (4) still has a solution.
As mentioned above, the fundamental feature of a sun-synchronous orbit is that the angle between the orbit plane normal vector and the direction vector of the Sun remains relatively fixed. In the planetary equatorial coordinate system, the motion of the Sun can be described by orbital elements introduced in Section 2, and the unit direction vector of the Sun is [31]:
r ^ s = [ cos Ω s cos ( f s + ω s ) sin Ω s cos i s sin ( f s + ω s ) sin Ω s cos ( f s + ω s ) + cos Ω s cos i s sin ( f s + ω s ) sin i s sin ( f s + ω s ) ]
where Ωs is the right ascension of the ascending node of the Sun, fs is the true anomaly of the Sun, ωs is the argument of perigee of the Sun, and is is the orbital inclination of the Sun.
Under the same coordinate system, the orbit plane normal vector of the probe is [31]:
h ^ = [ sin Ω sin i cos Ω sin i cos i ] .
Therefore, the cosine value of the orbital solar angle is:
cos Ψ = r ^ s h ^ ,
where Ψ is the angle between vector r ^ s and vector h ^ , and Ψ is called the orbital solar angle.
Figure 4 shows the relationship between the location of the Sun and the orbital solar angle Ψ under the coordinate system centered on Uranus. The outer circle represents the trajectory of the Sun during a cycle of Uranus’ revolution.
Considering the long-term stability of planetary revolution and the physical meaning of the right ascension of ascending node, the following simplification can be made [31]:
{ Ω s = 0 f s = M s ,
then Equation (8) can be expressed as:
cos Ψ = sin Ω sin i cos u s cos Ω sin i cos i s sin u s + cos i sin i s sin u s ,
where us = fs + Ms. When taking the derivative of the above equation with respect to time, we get:
d d t ( cos Ψ ) = Ω ˙ ( cos Ω sin i cos u s + sin Ω sin i cos i s sin u s ) + i ˙ ( sin Ω cos i cos u s cos Ω cos i cos i s sin u s sin i sin i s sin u s ) M ˙ s ( cos Ω sin i cos i s cos u s + sin Ω sin i sin u s cos i sin i s cos u s )
where i ˙ is the drift rate of i. The ideal sun-synchronous orbit should meet the following requirements:
d d t ( cos Ψ ) = 0 .
For Earth, Mars, Jupiter, and Saturn, further simplifications tend to be made when designing the sun-synchronous orbits around these planets [27,31,32]:
{ i ˙ = 0 i s = 0 ,
Equation (12) is therefore reduced to:
( Ω ˙ M ˙ s ) ( cos Ω sin i cos u s + sin Ω sin i sin u s ) = 0 .
It is easy to see that the above equation can be established if Ω ˙ = M ˙ s . However, due to the existence of ecliptic obliquity is and the non-uniform speed of the planetary revolution, even if Equation (14) is established, it only ensures that the angle between the orbital plane and the mean Sun remains unchanged, the angle between the orbital plane and the real Sun will still change within one revolution period. In the case of a sun-synchronous satellite orbiting Earth, the solar angle will still change by about 20 degrees within a year, which shows that is has a significant influence on the solar angle of the sun-synchronous orbit.
For Uranus, whose ecliptic obliquity is 97.7 degrees, the is = 0 simplification is no longer an option.
Learning from the design of Earth’s sun-synchronous orbits [27,31,32], we introduce a mean Sun under the coordinate system shown in Figure 3. The mean Sun orbiting Uranus has the same ascending node and orbital period with the apparent Sun. Furthermore, its motion plane is perpendicular to the equatorial plane of Uranus. Under this ideal model, there is is = 90(deg), Equation (11) is simplified to:
d d t ( cos Ψ ) = Ω ˙ cos Ω sin i cos u s + i ˙ ( sin Ω cos i cos u s sin i sin u s ) M ˙ s ( sin Ω sin i sin u s cos i cos u s )
According to the perturbation theory [34], the long-term perturbation of the orbital inclination mainly comes from the influence of the third-body gravitational force. When considering the Sun’s gravity as the main third-body gravitational perturbation term, the long-term average change rate of the orbital inclination angle is [35]:
i ˙ = 3 M ˙ s 2 8 n ( sin 2 Ω sin i + sin 2 i s sin Ω cos i sin 2 Ω cos 2 i s sin i ) = 3 M ˙ s 2 8 n ( sin i sin 2 Ω sin 2 i s + cos i sin Ω sin 2 i s ) .
It can be seen from above that when n is smaller, i ˙ is larger. Taking the planet-synchronous orbits around Uranus for example, n is taken as the rotation angular velocity of Uranus, and with different orbital inclination and right ascension of ascending node, i ˙ is calculated as shown in Figure 5.
As can be seen from Figure 5, the drift rate of orbital inclination i ˙ will change periodically with the change of orbital inclination i and right ascension of ascending node Ω. The right ascension of ascending node Ω mainly determines the direction of the orbital inclination drift rate i ˙ , and its magnitude is mainly determined by the orbital inclination i. In addition, the maximum value of i ˙ is only on the order of 10−14, while the angular velocity of Uranus’s revolution M ˙ s is on the order of 10−9. There is a big difference in magnitude between the two, so Equation (15) can be further simplified as:
d d t ( cos Ψ ) = Ω ˙ cos Ω sin i cos u s M ˙ s ( sin Ω sin i sin u s cos i cos u s ) .
Therefore, the following relationships are required in a sun-synchronous orbit:
Ω ˙ = sin Ω sin i sin u s cos i cos u s cos Ω sin i cos u s M ˙ s .
For Uranus’ sun-synchronous orbits, Ω ˙ should be a periodic function, which indicates that there is no long-term constant Ω ˙ to achieve the stability of the solar angle. However, relevant studies have shown that Ω ˙ is a secular term in a tropical period [30]; for a probe orbiting Uranus, the long-term stability of solar angle would not be realized by orbit design. Therefore, based on the above analysis, this paper believes that Uranus does not have a natural sun-synchronous orbit.
Nevertheless, with the development of new technologies such as electric propulsion, we do not rule out the possibility of achieving long-term stability of the solar angle of Uranus probes through orbit control. After all, for a probe running in Earth’s sun-synchronous orbit, regular orbit control is also essential to achieve the stability of solar angle [32].

4. Repeating Ground Track Orbits

Orbits with periodically repeated ground trajectory are called repeating ground track orbits [36]. For a probe running in such orbits, after each regression period, the probe will repass over specific places on the planet, which is conducive to the repeated observation of specific targets and the dynamic monitoring of relevant areas. It is conceivable that if we can have planetary probes running in such orbits, we can make more detailed observations of specific targets on the surface of these planets, such as Jupiter’s mysterious Great Red Spot, Saturn’s peculiar Great White Spot [37], and so on.
According to the definition, the repeating ground track orbits should meet the following requirement [38]:
R T N = N D N ,
where R and N are positive integers, TN is the orbital period of the probe, DN is the node period of the planet’s rotation relative to the orbital plane. The physical meaning of the above equation is as follows: when the probe moves around the planet R times, the planet just rotates N times relative to the orbital plane. Specifically [31]:
T N = 2 π M ˙ + ω ˙ ,
where M ˙ is the angular velocity of the probe’s mean anomaly, and ω ˙ is drift velocity of argument of perigee. The detailed form of M ˙ and ω ˙ are shown in Appendix A. DN can be derived from:
D N = 2 π ω p Ω ˙ .
When the precession direction of the ascending node is the same as the rotation direction of the planet, Ω ˙ is positive, otherwise it is negative.
Many repeating ground track orbits can be designed around a planet. To better distinguish these orbits, this paper uses the parameter Q to describe the different regression characteristics between them, which is defined as:
Q = R N = M ˙ + ω ˙ ω p Ω ˙ .
The physical meaning of the above equation is as follows: after N planetary rotation periods, the probe flies in R circles, and its trajectory on the planetary surface is closed.
Through adding the detailed form of M ˙ and ω ˙ into the above equation, the univariate quadratic equation with sin2i as the independent variable is obtained:
A sin 4 i + B sin 2 i + C Q ( ω J Ω ˙ ) = 0 ,
the detailed form of A, B and C are shown in Appendix B.
According to the quadratic equation, Equation (23) has a solution only when the following inequality is true:
Δ = B 2 4 A ( C Q ( ω p Ω ˙ ) ) 0 .
Solving this inequality yields the minimum value of Q:
Q min = C B 2 4 A ω p Ω ˙ .
By analyzing Equation (22), it can be found that for a certain planet, since Ω ˙ and ω ˙ are both small quantities relative to M ˙ , the maximum value of Q is basically determined by the maximum value of M ˙ , that is, the lower the orbit is, the greater the maximum value of Q. Therefore, the choice of the Q value is not arbitrary when designing the repeating ground track orbits, and different planets have different Q value ranges [35,39].
In addition, a semi-major axis and eccentricity must be preset for the solution of the Q value range; otherwise the inequality cannot be solved. In the actual exploration process, the orbit altitude needs to be determined in combination with the instrument performance carried by the probe, the atmospheric environment of the planet, and the specific exploration task. Therefore, the accurate Q value range of each planet is not given in this paper.
It should be noted that when designing the repeating ground track orbits, the orbital parameters, such as the semi-major axis a and eccentricity e, cannot be completely determined only based on the given Q value. In combination with the characteristics of the Earth’s repeating ground track orbit, it is common that the orbits of this kind basically meet the sun-synchronous characteristics at the same time [27,40], and the orbit altitude fluctuates very little within an orbit period so that the detection instrument can achieve observation of specific targets under stable illumination conditions. Assuming that the repeating ground track orbits around the four Giant planets are also sun-synchronous orbits, Equation (3) is established.
In this paper, the relationship between the a, e, and Q values of the sun-synchronous repeating ground track orbits around these four planets is calculated, as shown in Figure 5. It should be noted that although Uranus does not have a sun-synchronous orbit, to better compare the general characteristics of the repeating ground track orbits around the four giant planets, the analysis of Uranus is also carried out under the condition that Equation (3) is established.
It can be seen from Figure 6 that under the same orbit altitude, the Q value from large to small is Neptune, Uranus, Jupiter, and Saturn. The larger the Q value is, the more times the probe moves around the planet in a sidereal day. Moreover, the Q value of the sun-synchronous repeating ground track orbits around the four giant planets is mainly affected by a. When a is determined, the change of e has little effect on the Q value.
In practical engineering applications, the orbital design of the sun-synchronous repeating ground track orbits around these three planets can be carried out as follows [41]:
First, calculate the intersection period TN. According to the Equation (22), the probe rotates R times around the planet in a regression period, and rotates Q times around the planet every day, thus:
T N = D N Q .
After that, taking the initial values of a and the orbital inclination i, and more accurate values can be obtained through iteration. The selection of the initial value needs to be combined with the physical parameters of different planets:
{ a = R p + H i = π / 2 .
where H represents the estimated orbit altitude. Since the orbital inclination of the sun-synchronous orbits around the four giant planets is close to 90 degrees, π/2 could be a suitable initial value of i. Then, the initial value is carried into the following equation:
{ T 0 = T N 1 + 3 J 2 R p 2 2 a 2 ( 1 4 cos 2 i ) a = [ μ p T 0 2 4 π 2 ] 1 3 i = arccos [ M ˙ s 2 × π 180 × 1 86400 × 2 × a 2 3 n J 2 R p 2 ] × 180 π .
Every calculation of Equation (28) gets a new value of a and i. Repeat this process until the accuracy meets the requirements of the mission.

5. Planet-Synchronous Orbits

In a broad sense, a planet-synchronous orbit refers to an orbit with the same orbital period as the planetary rotation period. According to Kepler’s third law, the square of the orbit period is inversely proportional to the cube of the semi-major axis of the orbit. Therefore, theoretically, the design of planet-synchronous orbit is mainly constrained by the semi-major axis of the orbit, and there are no special requirements for parameters such as orbit eccentricity and orbital inclination.
However, in practical engineering applications, it is often not enough to only meet the requirements that the orbital period is the same as the planetary rotation period. The main value of planet-synchronous orbits is to keep the longitude and latitude of the sub-satellite point of the probe basically unchanged, which is extremely advantageous in relay communication and other application scenarios [42]. A planet-synchronous orbit with such characteristics is called a stationary orbit.
If generalized coordinates q = [r, λ, φ] are defined, the Lagrange equation can be established [29]:
d d t ( T q ˙ ) T q = U q ,
where T = 1 2 ( r ˙ 2 + r 2 φ ˙ 2 + r 2 cos 2 φ λ ˙ 2 ) , substituting the potential function shown in Equation (1) into Equation (29), we get:
{ r ¨ r φ ˙ 2 r cos 2 φ λ ˙ 2 = μ r 2 + 3 μ p J 2 R p 2 2 r 4 ( 3 sin 2 φ 1 ) + 5 μ p J 4 R p 4 8 r 6 ( 35 sin 4 φ 30 sin 2 φ + 3 ) d d t ( r 2 cos 2 φ λ ˙ ) = 0 d d t ( r 2 φ ˙ ) + 1 2 r 2 sin ( 2 φ ) λ ˙ 2 = [ 3 μ p J 2 R p 2 2 r 3 + μ p J 4 R p 4 8 r 5 ( 70 sin 2 φ 30 ) ] sin 2 φ .
According to the physical meaning of stationary orbit, the motion equation should satisfy:
{ λ ˙ = ω p , λ ¨ = 0 φ = φ ˙ = φ ¨ = 0 r ˙ = r ¨ = 0 ,
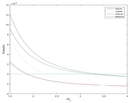
The function f(r) is defined as:
f ( r ) = μ p r 3 + 3 μ p J 2 R p 2 2 r 5 15 μ p J 4 R p 4 8 r 7 ω p .
Taking different r values and calculating the f(r) of the four giant planets respectively, the resulting values are shown in Figure 7.
According to the definition, the abscissas corresponding to the intersections of the curves and f(r) = 0 are the semi-major axes of each planets’ stationary orbit. The orbital semi-major axes of the stationary orbits around Jupiter, Saturn, Uranus, and Neptune are obtained using the method above, as shown in Table 2.
The results show that the orbit altitude of Jupiter’s stationary orbit is much higher than that of the other three planets. Although the volume of Saturn is much larger than that of Uranus and Neptune, its stationary orbit altitude is very close to that of the latter two planets. If sorted according to the value of r/Rp, Neptune, Uranus, Jupiter, and Saturn are in order from the largest to the smallest, which is also not proportional to the volume of the planets. Combined with the planetary parameters shown in Table 1, it can be found that for the two planets with similar rotation angular velocity, the value of r/Rp is likely to be positively related to planet density.

6. Conclusions

In this paper, considering the perturbation of J2 and J4 terms, the sun-synchronous orbits, the repeating ground track orbits, and the planet-synchronous orbits around Saturn, Jupiter, Uranus, and Neptune are analyzed.
First, the sun-synchronous orbits around the four giant planets are studied. The calculation results of the discriminant show that for a given semi-major axis and eccentricity, the four giant planets can find a unique orbital inclination, making the declination drift rate of the right ascension of ascending node equal to the planet revolution rate, which satisfies the theoretical requirements of the sun-synchronous orbits design. The numerical relationship between these three orbital parameters is then calculated. Since Uranus’ ecliptic obliquity is close to 90 degrees, this paper defines a mean Sun moving around Uranus with an orbital inclination of 90 degrees. Under this motion model, the variation law of the solar angle of the probe orbiting around Uranus is theoretically analyzed. The results show that, unlike the other three planets, considering the long-term invariance of the semi-major axis, eccentricity, and orbital inclination, Uranus does not have a natural sun-synchronous orbit in theory.
After that, this paper analyzes the repeating ground track orbits around these four planets in combination with the parameter Q. Relevant studies have shown that for the design of the repeating ground track orbits around a specific planet, the Q value cannot be taken arbitrarily. This paper describes the calculation method of the Q value range. This paper calculates the relationship between the orbital parameters of the sun-synchronous repeating ground track orbits around each planet and gives the design methods except for that of Uranus, aiming at the most probable application scenario.
Then, the planet-synchronous orbits around the four giant planets are analyzed, and the parameters of the most typical representative, the stationary orbits, are calculated. The results show that the altitudes of stationary orbits around Jupiter, Neptune, Uranus, and Saturn are in descending order. A planet with a larger volume does not necessarily have a higher stationary orbit altitude, while a fast-rotating and dense planet tends to have this feature.
Furthermore, the real perturbation environments of the four giant planets are extremely complex under the influence of their ring system and satellite system [28,29]. How to conduct a more precise and long-term analysis of the special orbits around the four giant planets in a more realistic and complex perturbation environment is a work that needs further exploration. It would be worth it to learn even more from the “Integral Indexes” and the perturbation maps used as references [28,29] to study the dynamical behavior of the orbits around planets analysis methods.
Finally, to make the planetary probe work in designed orbits throughout its life cycle, orbit control is usually indispensable [23,32,39,40,41]; the orbit control methods applicable to the four giant planets’ probes are also worthy of in-depth study.

Author Contributions

Conceptualization, B.Y. and Y.J.; methodology, B.Y.; software, C.J.; validation, B.Y., C.J. and Y.L.; formal analysis, H.L.; resources, Y.J.; data curation, C.Z.; writing—original draft preparation, B.Y.; writing—review and editing, H.J.; visualization, Y.D.; supervision, H.L.; project administration, H.L.; funding acquisition, H.L. All authors have read and agreed to the published version of the manuscript.

Funding

This research was funded by the National Natural Science Foundation of China (Grant No. 11772356).

Acknowledgments

The authors gratefully acknowledge the anonymous reviewers for their careful work and thoughtful suggestions that have helped improve this paper substantially.

Conflicts of Interest

The authors declare no conflict of interest.

Appendix A

Under the gravitational field described in Equation (1), we have:
M ˙ = n + 3 n J 2 R J 2 2 p 2 ( 1 3 2 sin 2 i ) 1 e 2 + 9 n J 2 2 R J 4 4 p 4 1 e 2 [ 1 2 ( 1 3 2 sin 2 i ) 2 1 e 2 + e 2 ( 10 3 26 3 sin 2 i + 103 12 sin 4 i ) + ( 5 2 19 3 sin 2 i + 233 48 sin 4 i ) + e 4 1 e 2 ( 35 12 35 4 sin 2 i + 315 32 sin 4 i ) 35 J 4 18 J 2 2 e 2 ( 9 14 45 14 sin 2 i + 45 16 sin 4 i ) ]
and:
ω ˙ = 3 n J 2 R J 2 2 p 2 ( 5 2 sin 2 i 2 ) + 9 n J 2 2 R J 4 p 4 { e 2 ( 7 12 3 8 sin 2 i 15 32 sin 4 i ) + 1 e 2 ( 2 11 2 sin 2 i + 15 4 sin 4 i ) + ( 4 103 12 sin 2 i + 215 48 sin 4 i ) 35 J 4 18 J 2 2 [ e 2 ( 27 14 27 4 sin 2 i + 81 16 sin 4 i ) + ( 12 7 93 14 sin 2 i + 21 4 sin 4 i ) ] }

Appendix B

The detailed form of A, B and C are:
A = 9 n J 2 2 R p 4 4 p 4 [ 1 e 2 ( 9 8 1 e 2 + 413 48 + 103 12 e 2 + 315 e 4 32 ( 1 e 2 ) 105 J 4 32 J 2 2 e 2 ) + 215 48 15 32 e 2 35 J 4 18 J 2 2 ( 21 4 + 81 16 e 2 ) ]
B = 9 n J 2 2 R p 4 4 p 4 [ 1 e 2 ( 3 2 1 e 2 71 6 26 3 e 2 35 e 4 4 ( 1 e 2 ) + 25 J 4 4 J 2 2 e 2 p 2 J 2 ) 103 12 3 8 e 2 + 35 J 4 6 J 2 2 ( 31 14 + 9 4 e 2 ) 5 p 2 3 J 2 ]
C = 9 n J 2 2 R p 4 4 p 4 [ 1 e 2 ( 1 2 1 e 2 + 9 2 + 10 3 e 2 35 e 4 12 ( 1 e 2 ) 5 J 4 4 J 2 2 e 2 2 p 2 3 J 2 ) + 4 + 7 12 e 2 5 J 4 6 J 2 2 ( 4 + 9 2 e 2 ) + 4 p 2 3 J 2 ] + n

References

  1. Konopliv, A.S.; Park, R.S.; Rivoldini, A.; Baland, R.; Le Maistre, S.; Van Hoolst, T.; Yseboodt, M.; Dehant, V. Detection of the Chandler Wobble of Mars From Orbiting Spacecraft. Geophys. Res. Lett. 2020, 47, e2020GL090568. [Google Scholar] [CrossRef]
  2. Ma, M.; Calvés, G.M.; Cimò, G.; Zhang, P.; Xiong, M.; Li, P.; Kummamuru, P.; Chu, Z.; Jiang, T.; Xia, B.; et al. VLBI Data Processing on Coronal Radio-sounding Experiments of Mars Express. Astron. J. 2021, 162, 141–153. [Google Scholar] [CrossRef]
  3. Mcewen, A.S.; Eliason, E.M.; Bergstrom, J.W. Special Section: Mars Reconnaissance Orbiter Mission and Science Investigations-E05S02-Mars Reconnaissance Orbiter’s High Resolution Imaging Science Experiment (HiRISE). J. Geophys. Res. 2007, 112, E05S02. [Google Scholar]
  4. Jakosky, B.M.; Jakosky, B.M. Preface: The Mars Atmosphere and Volatile Evolution (MAVEN) Mission. Space Sci. Rev. 2015, 195, 1–2. [Google Scholar] [CrossRef]
  5. Li, C.; Zhang, R.; Yu, D.; Dong, G.; Liu, J.; Geng, Y.; Sun, Z.; Yan, W.; Ren, X.; Su, Y.; et al. China’s Mars Exploration Mission and Science Investigation. Space Sci. Rev. 2021, 217, 57–80. [Google Scholar] [CrossRef]
  6. Vasavada, A.R. Mission Overview and Scientific Contributions from the Mars Science Laboratory Curiosity Rover after Eight Years of Surface Operations. Space Sci. Rev. 2022, 218, 14. [Google Scholar] [CrossRef]
  7. Chatain, A.; Spiga, A.; Banfield, D.; Forget, F.; Murdoch, N. Seasonal Variability of the Daytime and Nighttime Atmospheric Turbulence Experienced by InSight on Mars. Geophys. Res. Lett. 2021, 48, e2021GL095453. [Google Scholar] [CrossRef]
  8. Martin, V. On the location of the Io plasma torus: Voyager 1 observations. Ann. Geophys. 2018, 36, 831–839. [Google Scholar]
  9. Hammel, H.B. Lessons learned from (and since) the Voyager 2 flybys of Uranus and Neptune. Philos. Trans. R. Soc. A 2020, 378, 20190485. [Google Scholar] [CrossRef]
  10. Connerney, J.E.P.; Timmins, S.; Oliversen, R.J.; Espley, J.R.; Joergensen, J.L.; Kotsiaros, S.; Joergensen, P.S.; Merayo, J.M.G.; Herceg, M.; Bloxham, J.; et al. A New Model of Jupiter’s Magnetic Field at the Completion of Juno’s Prime Mission. J. Geophys. Res. Planets 2022, 127, e2021JE007055. [Google Scholar] [CrossRef]
  11. Ni, D. Empirical models of Jupiter’s interior from Juno data. Astron. Astrophys. 2018, 613, a32. [Google Scholar] [CrossRef]
  12. Idini, B.; Stevenson, D.J. The Gravitational Imprint of an Interior–Orbital Resonance in Jupiter–Io. Planet. Sci. J. 2022, 3, 89. [Google Scholar] [CrossRef]
  13. Ingersoll, A.P. Cassini Exploration of the Planet Saturn: A Comprehensive Review. Space Sci. Rev. 2020, 216, 122. [Google Scholar] [CrossRef]
  14. Chadney, J.M.; Koskinen, T.; Hu, X.; Galand, M.; Lavvas, P.; Unruh, Y.; Serigano, J.; Hörst, S.; Yelle, R. Energy deposition in Saturn’s equatorial upper atmosphere. Icarus 2022, 372, 114724. [Google Scholar] [CrossRef]
  15. Filacchione, G.; Ciarniello, M.; D’Aversa, E.; Capaccioni, F.; Clark, R.N.; Buratti, B.J.; Helfenstein, P.; Stephan, K.; Plainaki, C. Saturn’s icy satellites investigated by Cassini-VIMS. V. Spectrophotometry. Icarus 2022, 375, 114803. [Google Scholar] [CrossRef]
  16. Koskinen, T.T.; Guerlet, S. The Atmospheric structure and helium abundance on Saturn from Cassini/UVIS and CIRS observations. Icarus 2018, 307, 161–171. [Google Scholar] [CrossRef]
  17. Tiscareno, M.S.; Nicholson, P.D.; Cuzzi, J.N.; Spilker, L.J.; Murray, C.D.; Hedman, M.M.; Colwell, J.E.; Burns, J.A.; Brooks, S.M.; Clark, R.N.; et al. Close-range remote sensing of Saturn’s rings during Cassini’s ring-grazing orbits and Grand Finale. Science 2019, 364, eaau1017. [Google Scholar] [CrossRef]
  18. Guillot, T. Uranus and Neptune are key to understand planets with hydrogen atmospheres. Exp. Astron. 2021, 30, 1–23. [Google Scholar] [CrossRef]
  19. Voosen, P. Uranus should be NASA’s top target, report finds. Science 2022, 376, 332–333. [Google Scholar] [CrossRef]
  20. Helled, R.; Fortney, J. The interiors of Uranus and Neptune: Current understanding and open questions. Philos. Trans. R. Soc. A 2020, 378, 20190474. [Google Scholar] [CrossRef]
  21. Brozović, M.; Jacobson, R.A. Orbits of the Irregular Satellites of Uranus and Neptune. Astron. J. 2022, 163, 241–252. [Google Scholar] [CrossRef]
  22. Hofstadter, M.D.; Fletcher, L.N.; Simon, A.A.; Masters, A.; Turrini, D.; Arridge, C.S. Future Missions to the Giant Planets that Can Advance Atmospheric Science Objectives. Space Sci. Rev. 2020, 216, 91–107. [Google Scholar] [CrossRef]
  23. Deshmukh, R.G.; Spencer, D.A.; Dutta, S. Flight control methodologies for Neptune aerocapture trajectories. Acta Astronaut. 2022, 193, 255–268. [Google Scholar] [CrossRef]
  24. Cohen, I.J.; Beddingfield, C.; Chancia, R.; DiBraccio, G.; Hedman, M.; MacKenzie, S.; Mauk, B.; Sayanagi, K.M.; Soderlund, K.M.; Turtle, E.; et al. The Case for a New Frontiers–Class Uranus Orbiter: System Science at an Underexplored and Unique World with a Mid-scale Mission. Planet. Sci. J. 2022, 3, 58–71. [Google Scholar] [CrossRef]
  25. Soyuer, D.; Zwick, L.; D’Orazio, D.J.; Saha, P. Searching for gravitational waves via Doppler tracking by future missions to Uranus and Neptune. Mon. Not. R. Astron. Soc. Lett. 2021, 503, 73–79. [Google Scholar] [CrossRef]
  26. Paek, S.; Kim, S.; Kronig, L.; de Weck, O. Sun-synchronous repeat ground tracks and other useful orbits for future space missions. Aeronaut. J. 2020, 124, 917–939. [Google Scholar] [CrossRef]
  27. Available online: https://nssdc.gsfc.nasa.gov/planetary/factsheet (accessed on 14 July 2022).
  28. Dos Santos, J.C.; Prado, A.F.B.A.; Carvalho, J.P.S.; Vilhena de Moraes, R. Search for less disturbed regions for spacecrafts in planetary systems. In Proceedings of the SPACE 2016-AAS/AIAA Astrodynamics Specialist Conference, Long Beach, CA, USA, 13 September 2016. [Google Scholar]
  29. Dos Santos, J.C. Study of the Dynamics around Celestial Bodies Using Analytical and Semi-Analytical Techniques. Ph.D. Thesis, Department of Physics, School of Engineering, São Paulo State University (UNESP), Guaratinguetá, Brazil, 2018. [Google Scholar]
  30. Brouwer, D. Solution of the problem of artificial satellite theory without drag. Astron. J. 1959, 64, 378–395. [Google Scholar] [CrossRef]
  31. Liu, L. Orbit Theory of Spacecraft; National Defense Industry Press: Beijing, China, 2000; pp. 58–96. (In Chinese) [Google Scholar]
  32. Nazarenko, A.I. Sun synchronous orbits. predicting the local solar time of the ascending node. Acta Astronaut. 2021, 181, 585–593. [Google Scholar] [CrossRef]
  33. Zeng, H.; Xia, X.W.; Liu, Z.G.; Wu, L. Navigation Satellite’s Lifetime Model and Optimization Design. In Applied Mechanics and Materials; Trans Tech Publications Ltd.: Zurich, Switzerland, 2014; Volume 513, pp. 4346–4351. [Google Scholar]
  34. Cook, G.E. Luni-Solar perturbations of the orbit of an earth satellite. Geophys. J. Int. 1962, 6, 271–291. [Google Scholar] [CrossRef] [Green Version]
  35. Jiang, C.; Liu, Y.; Jiang, Y.; Li, H. Orbital Design and Control for Jupiter-Observation Spacecraft. Aerospace 2021, 8, 282. [Google Scholar] [CrossRef]
  36. Ortore, E.; Cinelli, M.; Circi, C. A ground track-based approach to design satellite constellations. Aerosp. Sci. Technol. 2017, 69, 458–464. [Google Scholar] [CrossRef]
  37. Hyman, R. Wild weather of the solar system. Astronomy 2022, 50, 16–23. [Google Scholar]
  38. Liao, C.; Xu, M.; Jia, X.; Dong, Y. Semi-analytical acquisition algorithm for repeat-groundtrack orbit maintenance. Astrodynamics 2018, 2, 161–173. [Google Scholar] [CrossRef]
  39. Zhan, C.; Jiang, Y.; Li, H.; Liu, Y. Dynamics and Control of Typical Orbits around Saturn. Appl. Sci. 2022, 12, 1462. [Google Scholar] [CrossRef]
  40. Liu, Y.; Jiang, Y.; Li, H.; Zhang, H. Some Special Types of Orbits around Jupiter. Aerospace 2021, 8, 183. [Google Scholar] [CrossRef]
  41. Jiang, Y. Control of Satellite Formation Flying and Constellation; National Defense Industry Press: Beijing, China, in press.
  42. Kopp, B.; Harris, J.; Lauand, C. Utilizing Existing Commercial Geostationary Earth Orbit Fixed Satellite Services for Low Earth Orbit Satellite Communication Relays with Earth. New Space 2019, 7, 19–30. [Google Scholar] [CrossRef]
Figure 1. Schematic diagram of some orbital elements.
Figure 1. Schematic diagram of some orbital elements.
Mathematics 10 02684 g001
Figure 2. Calculation results of discriminant under different semi-major axes and eccentricities.
Figure 2. Calculation results of discriminant under different semi-major axes and eccentricities.
Mathematics 10 02684 g002
Figure 3. The relationship between the orbital inclination, semi-major axis, and eccentricity of sun-synchronous orbits.
Figure 3. The relationship between the orbital inclination, semi-major axis, and eccentricity of sun-synchronous orbits.
Mathematics 10 02684 g003
Figure 4. Right-hand coordinate system centered on Uranus, where O is the center of mass of Uranus, the x-axis points in the direction of the ascending node of the Sun, the z-axis points in the direction of the angular momentum direction of Uranus’ rotation.
Figure 4. Right-hand coordinate system centered on Uranus, where O is the center of mass of Uranus, the x-axis points in the direction of the ascending node of the Sun, the z-axis points in the direction of the angular momentum direction of Uranus’ rotation.
Mathematics 10 02684 g004
Figure 5. The relationship between the orbital inclination, right ascension of ascending node, and long-term perturbation of the orbital inclination around Uranus.
Figure 5. The relationship between the orbital inclination, right ascension of ascending node, and long-term perturbation of the orbital inclination around Uranus.
Mathematics 10 02684 g005
Figure 6. The relationship between the semi-major axis, eccentricity, and Q value of the sun-synchronous repeating ground track orbits.
Figure 6. The relationship between the semi-major axis, eccentricity, and Q value of the sun-synchronous repeating ground track orbits.
Mathematics 10 02684 g006
Figure 7. The relationship between r and f(r).
Figure 7. The relationship between r and f(r).
Mathematics 10 02684 g007
Table 1. Main dynamic parameters of each planet [27].
Table 1. Main dynamic parameters of each planet [27].
ParametersJupiterSaturnUranusNeptune
Mass(1024 kg)1898.13568.3286.81102.41
Equatorial radius(km)71,49260,26825,55924,764
Tropical orbit period(days)4330.5910,746.9430,588.7459,799.90
Sidereal rotation period(hours)9.9210.6517.2416.11
Inclination of equator(deg)3.1326.7397.7728.32
J2 (10−6)14,73616,29833433411
J4 (10−6)−586.61−935.31−34.52−38.01
Table 2. Parameters of the stationary orbits around each planet.
Table 2. Parameters of the stationary orbits around each planet.
ParametersJupiterSaturnUranusNeptune
r/Rp2.2411.8673.2353.373
Centroid distance (km)160,247112,50682,70083,520
Orbit altitude (km)88,75552,23857,14158,756
Publisher’s Note: MDPI stays neutral with regard to jurisdictional claims in published maps and institutional affiliations.

Share and Cite

MDPI and ACS Style

Yang, B.; Jiang, Y.; Li, H.; Jiang, C.; Liu, Y.; Zhan, C.; Jing, H.; Dong, Y. Semi-Analytical Search for Sun-Synchronous and Planet Synchronous Orbits around Jupiter, Saturn, Uranus and Neptune. Mathematics 2022, 10, 2684. https://doi.org/10.3390/math10152684

AMA Style

Yang B, Jiang Y, Li H, Jiang C, Liu Y, Zhan C, Jing H, Dong Y. Semi-Analytical Search for Sun-Synchronous and Planet Synchronous Orbits around Jupiter, Saturn, Uranus and Neptune. Mathematics. 2022; 10(15):2684. https://doi.org/10.3390/math10152684

Chicago/Turabian Style

Yang, Biao, Yu Jiang, Hengnian Li, Chunsheng Jiang, Yongjie Liu, Chaojin Zhan, Hongbao Jing, and Yake Dong. 2022. "Semi-Analytical Search for Sun-Synchronous and Planet Synchronous Orbits around Jupiter, Saturn, Uranus and Neptune" Mathematics 10, no. 15: 2684. https://doi.org/10.3390/math10152684

APA Style

Yang, B., Jiang, Y., Li, H., Jiang, C., Liu, Y., Zhan, C., Jing, H., & Dong, Y. (2022). Semi-Analytical Search for Sun-Synchronous and Planet Synchronous Orbits around Jupiter, Saturn, Uranus and Neptune. Mathematics, 10(15), 2684. https://doi.org/10.3390/math10152684

Note that from the first issue of 2016, this journal uses article numbers instead of page numbers. See further details here.

Article Metrics

Back to TopTop