A Novel Fractional-Order Discrete SIR Model for Predicting COVID-19 Behavior
Abstract
:1. Introduction
2. Preliminaries
- If , then the function f is nondecreasing for all .
- If , then the function f is nonincreasing for all .
- If , then for .
- If , then for .
3. Existence and Uniqueness
4. Fixed Points and Stability Analysis
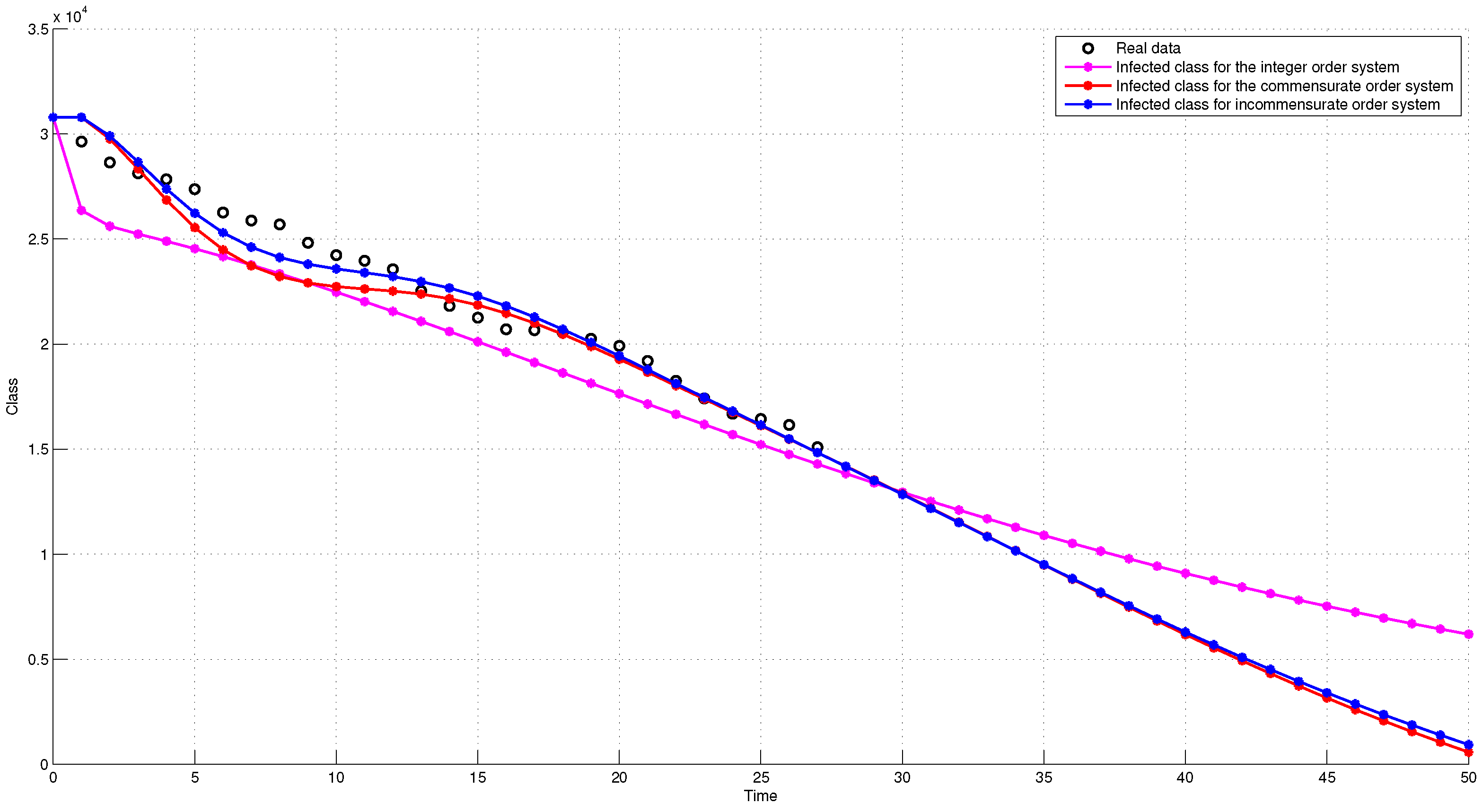
5. Application to Predict the Behavior of COVID-19 in Germany
6. Conclusions
Author Contributions
Funding
Institutional Review Board Statement
Informed Consent Statement
Data Availability Statement
Conflicts of Interest
References
- World Health Organization (WHO). Coronavirus Disease (COVID-19) Outbreak Situation. Available online: https://www.who.int/emergencies/diseases/novel-coronavirus-2019 (accessed on 17 December 2020).
- Albadarneh, R.B.; Batiha, I.M.; Ouannas, A.; Momani, S. Modeling COVID-19 Pandemic Outbreak using Fractional-Order Systems. Int. J. Math. Comput. Sci. 2021, 16, 1405–1421. [Google Scholar]
- Moussaoui, A.; Auger, P. Prediction of confinement effects on the number of COVID-19 outbreak in Algeria. Math. Model. Nat. Phenom. 2020, 15, 37. [Google Scholar] [CrossRef]
- Farooq, F.; Khan, J.; Khan, M.U.G. Effect of Lockdown on the spread of COVID-19 in Pakistan. arXiv 2020, arXiv:2005.09422v1. [Google Scholar]
- Ramos, A.M.; Vela-Pérez, M.; Ferrández, M.R.; Kubik, A.B.; Ivorra, B. Modeling the impact of SARS-CoV-2 variants and vaccines on the spread of COVID-19. Commun. Nonlinear Sci. Numer. Simul. 2021, 102, 105937. [Google Scholar] [CrossRef] [PubMed]
- Acuña-Zegarra, M.A.; Díaz-Infante, S.; Baca-Carrasco, D.; Olmos-Liceaga, D. COVID-19 optimal vaccination policies: A modeling study on efficacy, natural and vaccine-induced immunity responses. Math. Biosci. 2021, 337, 108614. [Google Scholar] [CrossRef]
- Varotsos, C.A.; Krapivin, V.F. new model for the spread of COVID-19 and the improvement of safety. A Saf. Sci. 2020, 132, 104962. [Google Scholar] [CrossRef] [PubMed]
- Gao, W.; Veeresha, P.; Baskonus, H.M.; Prakasha, D.G.; Kumar, P. A new study of unreported cases of 2019-nCOV epidemic outbreaks. Chaos Solitons Fractals 2020, 138, 109929. [Google Scholar] [CrossRef]
- Owusu-Mensah, I.; Akinyemi, L.; Oduro, B.; Iyiola, O.S. A fractional order approach to modeling and simulations of the novel COVID-19. Adv. Differ. Equ. 2020, 2020, 683. [Google Scholar] [CrossRef]
- Tuan, N.H.; Mohammadi, H.; Rezapour, S. A mathematical model for COVID-19 transmission by using the Caputo fractional derivative. Chaos Solitons Fractals 2020, 140, 110107. [Google Scholar] [CrossRef]
- Iyiola, O.; Oduro, B.; Zabilowicz, T.; Iyiola, B.; Kenes, D. System of Time Fractional Models for COVID-19: Modeling, Analysis and Solutions. Symmetry 2021, 13, 787. [Google Scholar] [CrossRef]
- Shah, N.H.; Suthar, A.H.; Jayswal, E.N.; Sikarwar, A. Fractional SIR-Model for Estimating Transmission Dynamics of COVID-19 in India. J 2021, 4, 86–100. [Google Scholar] [CrossRef]
- Angstmann, C.N.; Henry, B.I.; McGann, A.V. A Fractional-Order Infectivity and Recovery SIR Model. Fractal Fract. 2017, 1, 11. [Google Scholar] [CrossRef] [Green Version]
- Agarwal, P.; Nieto, J.J.; Ruzhansky, M.; Torres, D.F.M. Analysis of Infectious Disease Problems (COVID-19) and Their Global Impact; Infosys Science Foundation Series in Mathematical Sciences; Springer: Singapore, 2021. [Google Scholar]
- Blackledge, J.M. On the Evolution Equation for Modelling the Covid-19 Pandemic. In Analysis of Infectious Disease Problems (COVID-19) and Their Global Impact; Agarwal, P., Nieto, J.J., Ruzhansky, M., Torres, D.F.M., Eds.; Infosys Science Foundation Series; Springer: Singapore, 2021. [Google Scholar] [CrossRef]
- He, Z.-Y.; Abbes, A.; Jahanshahi, H.; Alotaibi, N.D.; Wang, Y. Fractional-Order Discrete-Time SIR Epidemic Model with Vaccination: Chaos and Complexity. Mathematics 2022, 10, 165. [Google Scholar] [CrossRef]
- Allen, L.J. Some discrete-time SI, SIR, and SIS epidemic models. Math. Biosci. 1994, 124, 83–105. [Google Scholar] [CrossRef]
- Cao, H.; Zhou, Y.; Ma, Z. Bifurcation analysis of a discrete SIS model with bilinear incidence depending on new infection. Math. Biosci. Eng. 2013, 10, 1399. [Google Scholar]
- Parsamanesh, M.; Mehrshad, S. Stability of the equilibria in a discrete-time sivs epidemic model with standard incidence. Filomat 2019, 33, 2393–2408. [Google Scholar] [CrossRef]
- Parsamanesh, M.; Erfanian, M. Stability and bifurcations in a discrete-time SIVS model with saturated incidence rate. Chaos Solitons Fractals 2021, 150, 111178. [Google Scholar] [CrossRef]
- Rashidinia, J.; Sajjadian, M.; Duarte, J.; Januário, C.; Martins, N. On the dynamical complexity of a seasonally forced discrete SIR epidemic model with a constant vaccination strategy. Complexity 2018, 2018, 7191487. [Google Scholar] [CrossRef]
- Parsamanesh, M.; Erfanian, M.; Mehrshad, S. Stability and bifurcations in a discrete-time epidemic model with vaccination and vital dynamics. BMC Bioinform. 2020, 21, 1–5. [Google Scholar] [CrossRef]
- Xiang, L.; Zhang, Y.; Huang, J. Stability analysis of a discrete SIRS epidemic model with vaccination. J. Differ. Equ. Appl. 2020, 26, 309–327. [Google Scholar] [CrossRef]
- Kozioł, K.; Stanisławski, R.; Bialic, G. Fractional-Order SIR Epidemic Model for Transmission Prediction of COVID-19 Disease. Appl. Sci. 2020, 10, 8316. [Google Scholar] [CrossRef]
- Wang, B.; Liu, J.; Alassafi, M.O.; Alsaadi, F.E.; Jahanshahi, H.; Bekiros, S. Intelligent parameter identification and prediction of variable time fractional derivative and application in a symmetric chaotic financial system. Chaos Solitons Fractals 2021, 28, 111590. [Google Scholar] [CrossRef]
- Jahanshahi, H.; Yousefpour, A.; Munoz-Pacheco, J.M.; Moroz, I.; Wei, Z.; Castillo, O. A new multi-stable fractional-order fourdimensional system with self-excited and hidden chaotic attractors: Dynamic analysis and adaptive synchronization using a novel fuzzy adaptive sliding mode control method. Appl. Soft Comput. 2020, 87, 105943. [Google Scholar] [CrossRef]
- Albadarneh, R.B.; Batiha, I.M.; Zurigat, M. Numerical solutions for linear fractional differential equations of order 1 < α < 2 using finite difference method (ffdm). Int. J. Math. Comput. Sci. 2016, 16, 103–111. [Google Scholar]
- Batiha, I.M.; El-Khazali, R.; AlSaedi, A.; Momani, S. The general solution of singular fractional-order linear time-invariant continuous systems with regular pencils. Entropy 2018, 20, 400. [Google Scholar] [CrossRef] [PubMed] [Green Version]
- Albadarneh, R.B.; Zerqat, M.; Batiha, I.M. Numerical solutions for linear and non-linear fractional differential equations. Int. J. Pure Appl. Math. 2016, 106, 859–871. [Google Scholar] [CrossRef]
- Albadarneh, R.; Batiha, I.; Tahat, N.; Alomari, A.K. Analytical solutions of linear and non-linear incommensurate fractional-order coupled systems. Indones. J. Electr. Eng. Comput. Sci. 2021, 21, 5. [Google Scholar] [CrossRef]
- Xie, W.; Wang, C.; Lin, H. A fractional-order multistable locally active memristor and its chaotic system with transient transition, state jump. Nonlinear Dyn. 2021, 104, 4523–4541. [Google Scholar] [CrossRef]
- Podlubny, I. Fractional Differential Equations: An Introduction to Fractional Derivatives, Fractional Differential Equations, to Methods of Their Solution and Some of Their Applications; Elsevier: Amsterdam, The Netherlands, 1998. [Google Scholar]
- Atici, F.M.; Eloe, P.W. Discrete fractional calculus with the nabla operator. Electron. J. Qual. Theory Differ. Equ. 2009, 1, 1–99. [Google Scholar] [CrossRef]
- Diaz, J.B.; Osler, T.J. Differences of fractional order. Math. Comput. 1974, 28, 185–202. [Google Scholar] [CrossRef] [Green Version]
- Anastassiou, G.A. Principles of delta fractional calculus on time scales and inequalities. Math. Comput. Model. 2010, 52, 556–566. [Google Scholar] [CrossRef]
- Djenina, N.; Ouannas, A.; Batiha, I.M.; Grassi, G.; Pham, V.T. On the stability of linear incommensurate fractional-order difference systems. Mathematics 2020, 8, 1754. [Google Scholar] [CrossRef]
- Batiha, I.M.; Albadarneh, R.B.; Momani, S.; Jebril, I.H. Dynamics analysis of fractional-order Hopfield neural networks. Int. J. Biomath. 2020, 13, 2050083. [Google Scholar] [CrossRef]
- El-Saka, H.A. The fractional-order SIR and SIRS epidemic models with variable population size. Math. Sci. Lett. 2013, 2, 195. [Google Scholar] [CrossRef]
- Javeed, S.; Anjum, S.; Alimgeer, K.S.; Atif, M.; Khan, M.S.; Farooq, W.A.; Hanif, A.; Ahmed, H.; Yao, S.W. A Novel Mathematical Model for COVID-19 with Remedial Strategies. Results Phys. 2021, 8, 104248. [Google Scholar] [CrossRef] [PubMed]
- Batiha, I.M.; Momani, S.; Ouannas, A.; Momani, Z.; Hadid, S.B. Fractional-order COVID-19 pandemic outbreak: Modeling and stability analysis. Int. J. Biomath. 2021, 15, 2150090. [Google Scholar] [CrossRef]
- Selvam, A.G.; Vianny, D.A. Discrete fractional order SIR epidemic model and it’s stability. In Journal of Physics: Conference Series; IOP Publishing: Bristol, UK, 2018; Volume 1139, p. 012008. [Google Scholar]
- Naik, P.A. Global dynamics of a fractional-order SIR epidemic model with memory. Int. J. Biomath. 2020, 13, 2050071. [Google Scholar] [CrossRef]
- Ahmad, S.; Javeed, S.; Ahmad, H.; Khushi, J.; Elagan, S.K.; Khames, A. Analysis and numerical solution of novel fractional model for dengue. Results Phys. 2021, 28, 104669. [Google Scholar] [CrossRef]
- Liu, F.; Huang, S.; Zheng, S.; Wang, H.O. Stability Analysis and Bifurcation Control for a Fractional Order SIR Epidemic Model with Delay. In Proceedings of the 2020 39th Chinese Control Conference (CCC), Shenyang, China, 27–29 July 2020; pp. 724–729. [Google Scholar]
- Abdeljawad, T. On Riemann and Caputo fractional diferences. Comput. Math. Appl. 2011, 62, 1602–1611. [Google Scholar] [CrossRef] [Green Version]
- Anastassiou, G.A. Discrete fractional calculus and inequalities. arXiv 2009, arXiv:0911.3370v1. [Google Scholar]
- Lu, Q.; Zhu, Y. Comparison theorems and distributions of solutions to uncertain fractional difference equations. J. Comput. Appl. Math. 2020, 376, 112884. [Google Scholar] [CrossRef]
- Shatnawi, M.T.; Djenina, N.; Ouannas, A.; Batiha, I.M.; Grassi, G. Novel convenient conditions for the stability of nonlinear incommensurate fractional-order difference systems. Alex. Eng. J. 2022, 61, 1655–1663. [Google Scholar] [CrossRef]
- Čermák, J.; Gyori, I.; Nechvátal, L. On explicit stability conditions for a linear farctional difference system. Fract. Calc. Appl. Anal. 2015, 18, 651–672. [Google Scholar] [CrossRef]
- Staudinger, U.; Schneider, N.F. Demographic Facts and Trends in Germany 2010–2020; Federal Institute for Population Research: Wiesbaden, Germany, 2020. [Google Scholar]
- Available online: https://www.worldometers.info (accessed on 30 May 2020).





| Parameters | Description |
|---|---|
| Corona death rate | |
| Natural death rate | |
| The number of new births | |
| b | Infection rate |
| e | Recovery rate |
| The rate at which a recovering person is at risk of infection |
| 26-Apr | 27-Apr | 28-Apr | 29-Apr | 30-Apr | 1-May | 2-May |
|---|---|---|---|---|---|---|
| 30,791 | 29,637 | 28,642 | 28,126 | 27,845 | 27,375 | 26,262 |
| 3-May | 4-May | 5-May | 6-May | 7-May | 8-May | 9-May |
| 25,884 | 25,693 | 24,826 | 24,234 | 23,968 | 23,565 | 22,531 |
| 10-May | 11-May | 12-May | 13-May | 14-May | 15-May | 16-May |
| 21,817 | 21,253 | 20,707 | 20,664 | 20,557 | 20,250 | 19,914 |
| 17-May | 18-May | 19-May | 20-May | 21-May | 22-May | 23-May |
| 19,200 | 18,254 | 17,411 | 16,687 | 16,435 | 16,151 | 15,092 |
Publisher’s Note: MDPI stays neutral with regard to jurisdictional claims in published maps and institutional affiliations. |
© 2022 by the authors. Licensee MDPI, Basel, Switzerland. This article is an open access article distributed under the terms and conditions of the Creative Commons Attribution (CC BY) license (https://creativecommons.org/licenses/by/4.0/).
Share and Cite
Djenina, N.; Ouannas, A.; Batiha, I.M.; Grassi, G.; Oussaeif, T.-E.; Momani, S. A Novel Fractional-Order Discrete SIR Model for Predicting COVID-19 Behavior. Mathematics 2022, 10, 2224. https://doi.org/10.3390/math10132224
Djenina N, Ouannas A, Batiha IM, Grassi G, Oussaeif T-E, Momani S. A Novel Fractional-Order Discrete SIR Model for Predicting COVID-19 Behavior. Mathematics. 2022; 10(13):2224. https://doi.org/10.3390/math10132224
Chicago/Turabian StyleDjenina, Noureddine, Adel Ouannas, Iqbal M. Batiha, Giuseppe Grassi, Taki-Eddine Oussaeif, and Shaher Momani. 2022. "A Novel Fractional-Order Discrete SIR Model for Predicting COVID-19 Behavior" Mathematics 10, no. 13: 2224. https://doi.org/10.3390/math10132224
APA StyleDjenina, N., Ouannas, A., Batiha, I. M., Grassi, G., Oussaeif, T.-E., & Momani, S. (2022). A Novel Fractional-Order Discrete SIR Model for Predicting COVID-19 Behavior. Mathematics, 10(13), 2224. https://doi.org/10.3390/math10132224

