Abstract
In the current article, the nonlocal thermoelastic theory is used to discuss the wave propagation in unbounded thermoelastic materials. Due to the inclusion of relaxation time in thermal conduction formulation and the equations of motion, this model was developed using Lord and Shulman’s generalized thermoelastic model. The theory of the nonlocal continuum proposed by Eringen is used to obtain this model. The integral transforms of the Laplace transform methods used to generate an analytical solution for physical variables are utilized to produce the analytical solutions for the thermal stress, displacement, and temperature distribution. The effects of nonlocal parameters and relaxation time on the wave propagation distributions of physical fields for material are visually shown and explored.
Keywords:
nonlocal thermo-elastic model; Laplace transform; thermal relaxation time; eigenvalue approach MSC:
74Q15; 74G22
1. Introduction
Due to their nanoscale size implications, matching nonlocal beam theories have received much attention from the authors. Traditionally, the strain state and stress conditions are defined simultaneously. Nonlocal continuums models, on the other hand, regard the stress state at a given site as a function of the strain states at all points of the body. Local (classical) elasticity researchers contend that material particles continuously circulate and interact with short-range forces. Using the algebraic linkages of the Hookes model, the strain tensor at a point of reference is utilized to define the stress tensor. Eringen [1] was the first to promote the nonlocal elastic hypothesis. Eringen [2] investigated the notion of nonlocal thermoelasticity for two years. He addressed, by using constitutive formulations, governing relations, rules of equilibriums, and displacement equations/temperatures in nonlocal elastic theory. Eringen [3] investigated nonlocal electro-magnetic solids and super-conductivity under the elastic theory. Nonlocal theory of elastic field has been presented in detail by Eringen [4] concerning continuum mechanics. Povstenko [5] recommended the nonlocal elastic theory to take into account the force of action between atom. Zenkour and Abouelregal [6] investigated the vibration of thermal conductive caused by harmonically changing heat sources using nonlocal thermoelastic theory. Yu and Liu [7] used a size-dependent model to investigate Eringen’s nonlocal theory of thermoelasticity. Narendra and Gopalakrishnan [8] studied the effects of the characteristics of ultrasonic waves in the context of the nonlocal theory of elasticity with nanorods. When prompted by the Fourier law of heat conductivity, Biot [9] produced the coupled thermo-elasticity theory (CD theory), which became applicable for modern technical applications, notably in high-temperatures applications. However, thermoelastic theories are physically unsuitable at low temperatures and cannot achieve an equilibrium condition. To address this paradox, Lord and Shulman [10] (LS) introduced one relaxation period into the heat equation (Fourier’s law of heat conduction). Sarkar et al. [11] investigated the Lord–Shulman model for the propagations of the photothermal waves in semiconductors in nonlocal elastic mediums. Sarkar [12] investigated the thermo-elastic response of a nonlocal elastic rod due to nonlocal heat conduction. Bachher and Sarkar [13] studied the nonlocal model of thermoelasticity medium with voids and fractional derivative heat transfer. Bayones et al. [14] studied the effects of mobile heat sources on a magneto-thermo-elastic rod using Eringen’s nonlocal model with a memory-dependent derivative and three-phase lag model. Gupta et al. [15] examined the memory response in a nonlocal micropolar double porous thermo-elastic material with variable thermal conductivity using the Moore–Gibson–Thompson thermoelasticity theory. Yang et al. [16] exhibited nonlocal rectangular nanoplates with dual-phase-lag thermoelastic damping. Nonlocal impacts on wave propagations in a generalized thermos-elastic half-space were examined by Singh and Rupender [17]. Nonlocal rotating elastic materials with temperature-dependent properties were the subject of research by Sheoran et al. [18]. For thermoelastic problems with temperature-dependent thermal conductivity, Luo et al. [19] investigated nonlocal thermoelasticity and its application. Li et al. [20] addressed an extended thermo-diffusion problem with respect to a thin plate under ultrashort laser pulses with a memory-dependent effect and spatially nonlocal effect. Lata and Singh [21] explored Stoneley wave propagations in a nonlocal magneto–thermo–elastic medium with multi-dual-phase lag heat transfers. Based on nonlocal heat conduction and nonlocal elasticity, Yu et al. [22] investigated nonlocal thermoelasticity. For nano-machined beam resonators exposed to diverse boundary conditions, Zenkour [23] explored the nonlocal thermoelasticity theory without energy dissipations. Lei et al. [24] studied the effects of nonlocal thermoelastic on buckling of axially and functionally graded nanobeam. Yu and Deng [25] reported new findings on microscale transient thermoelastic reactions in metals with electron–lattice couplings. Barretta et al. [26] investigated nonlocal integral thermoelasticity as a thermodynamic framework for functionally graded beams. Hosseini [27] studied the analytical solutions for nonlocal coupled thermoelastic analysis in a heat-affected MEMS/NEMS beam resonator based on the Green–Naghdi model. Lata and Himanshi [28] used the GN-II model to investigate the fractional influences of normal forces in an orthotropic magneto–thermo–elastic spinning solid. The eigenvalue approach provides the exact solution in the Laplace domain without any assumed restrictions on the actual physical variables. Several studies, including [29,30,31,32,33,34,35,36,37,38,39,40], were conducted using different genialized thermoelastic theories.
The present paper attempts to obtain analytical solutions for the nonlocal thermo-elastic problem using Laplace transforms and the eigenvalue method. The numerical estimates for the temperature, displacement, and stress distributions are graphed. The impact of nonlocal factors and relaxation time on the wave propagation distributions of physical fields for the medium is visually shown and explored.
2. The Nonlocal Thermoelasticity Model
In the absence of a body force and a heat source, the basic equations for a nonlocal thermoelastic material, according to Eringen [41] and Lord–Shulman [10], are as follows.
This model may be summarized as follows:
- (i)
- (LTEM) is the local thermo-elastic model.
- (ii)
- (NLEM) is the nonlocal elastic model.
- (iii)
- (NLTM) is the nonlocal thermal model.
- (iv)
- (NLTEM) is the nonlocal thermoelastic model.
Here, are Lame’s constants, involves displacements, , is the temperature variations, is the reference temperature, is the time, is the thermal relaxation time, is the specific heat at constant strain, is the density of the material, is the coefficient of linear thermal expansion, are the stresses components, is the heat conductivity, and is the nonlocal parameter. Now, we consider a half-space () with the x-axis pointing into the medium. To simplify the analysis, a one-dimensional problem is considered. The components of displacement for a one-dimension medium are defined by the following.
The relations between the strain and displacement components may be represented as follows.
From Equations (4) and (5) in Equation (1), the equation of motion can be provided by the following.
From Equations (4) and (5) in Equation (2), the heat equation can be expressed by the following.
While the stress–strain relation can the following form.
3. Application
The problem can be solved with appropriate starting and ending points. The initial conditions are supposed by the following.
The mechanical and thermal boundary conditions, on the other hand, can be written as follows.
On the other hand, the thermal boundary condition on the surface is [42]:
in which represents the characteristic time of pulse heat flux, and is a constant. The non-dimension variables listed below may be utilized to obtain the main fields in a dimensionless format:
where and . The governing equations may be represented as follows by ignoring the dashes and using variables of nondimensional types (12):
on , (17), where .
Analytical Method
The use of Laplace transforms for relations (13) to (17) is defined by the following.
Hence, the following system is obtained.
The following forms can rewrite Equations (19) and (20):
where , , , , .
The eigenvalues procedures given may now be used to solve the coupled differential in Equations (23) and (24) [43,44,45]:
where V and .
Consequently, the characteristic equation of the matrix is considered to be as follows.
The eigenvalue of matrix is the equation’s roots (26), which are named here as and . Thus, the corresponding eigenvector can be calculated as follows.
Thus, the analytical solutions of Equation (22) can be expressed as follows:
where , and are constants that are determined using the boundary conditions of the problem. The numerical inversion approach adopts the final displacement, temperature, and stress distributions solutions. The Stehfest method [46] is described by the following:
with
where is the term’s numbers.
4. Results and Discussion
For the purpose of illustrating the problem and contrasting the theoretical findings within the framework of the nonlocal thermoelastic theory, we will offer a number of numerical results and graphics. The authors consider the medium properties of the copper substance, for which its physical properties are shown below. [14].
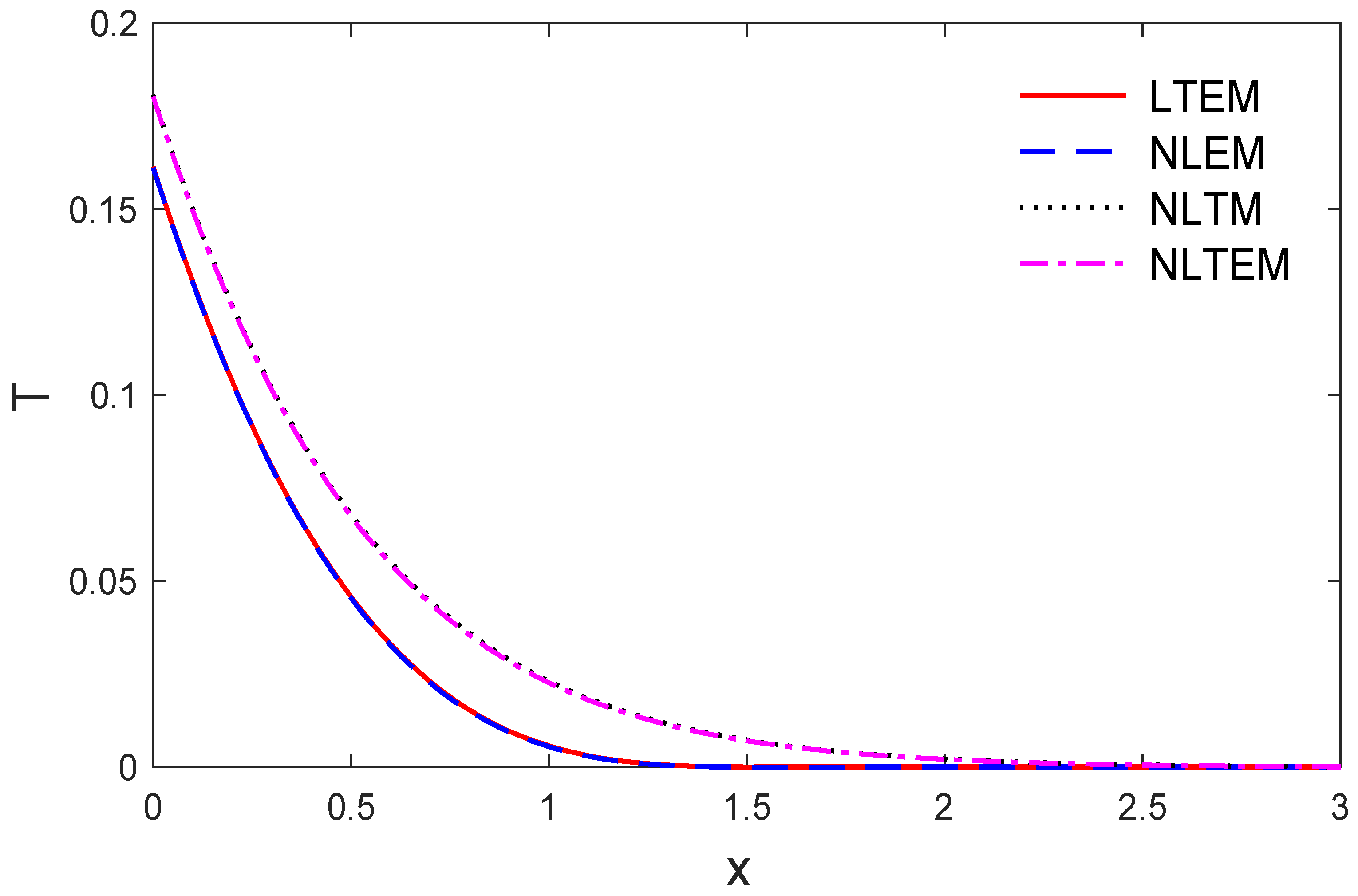
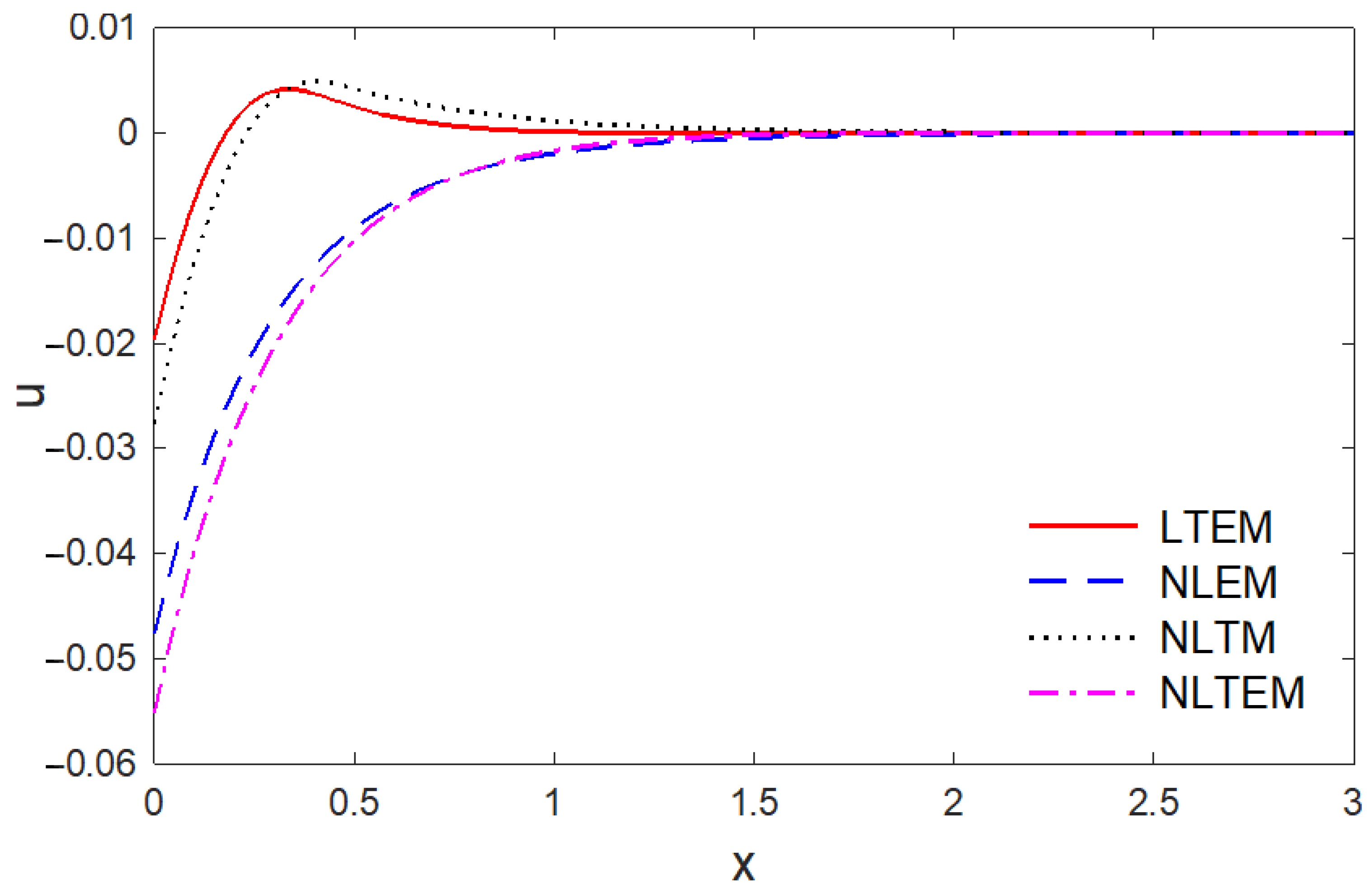
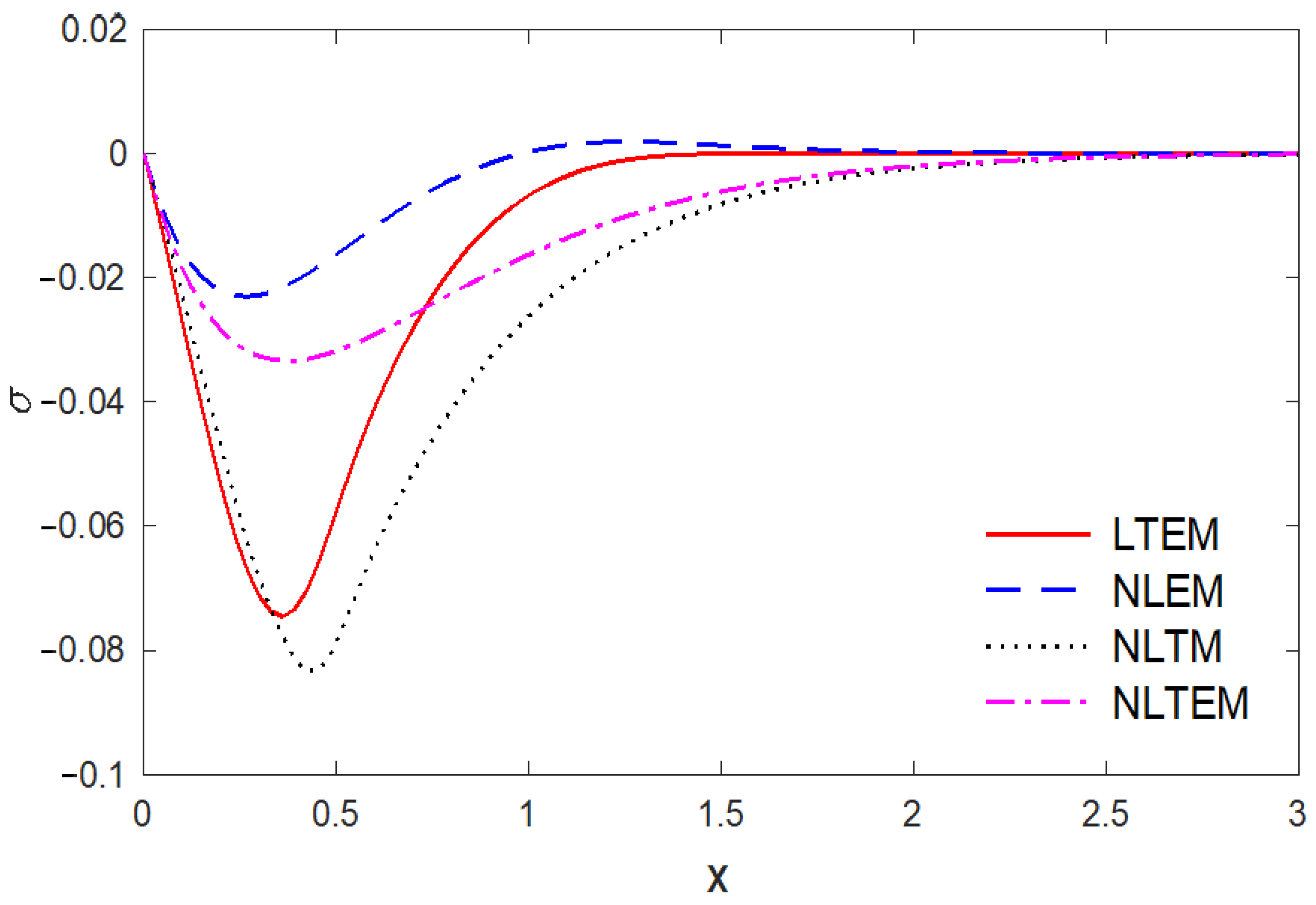
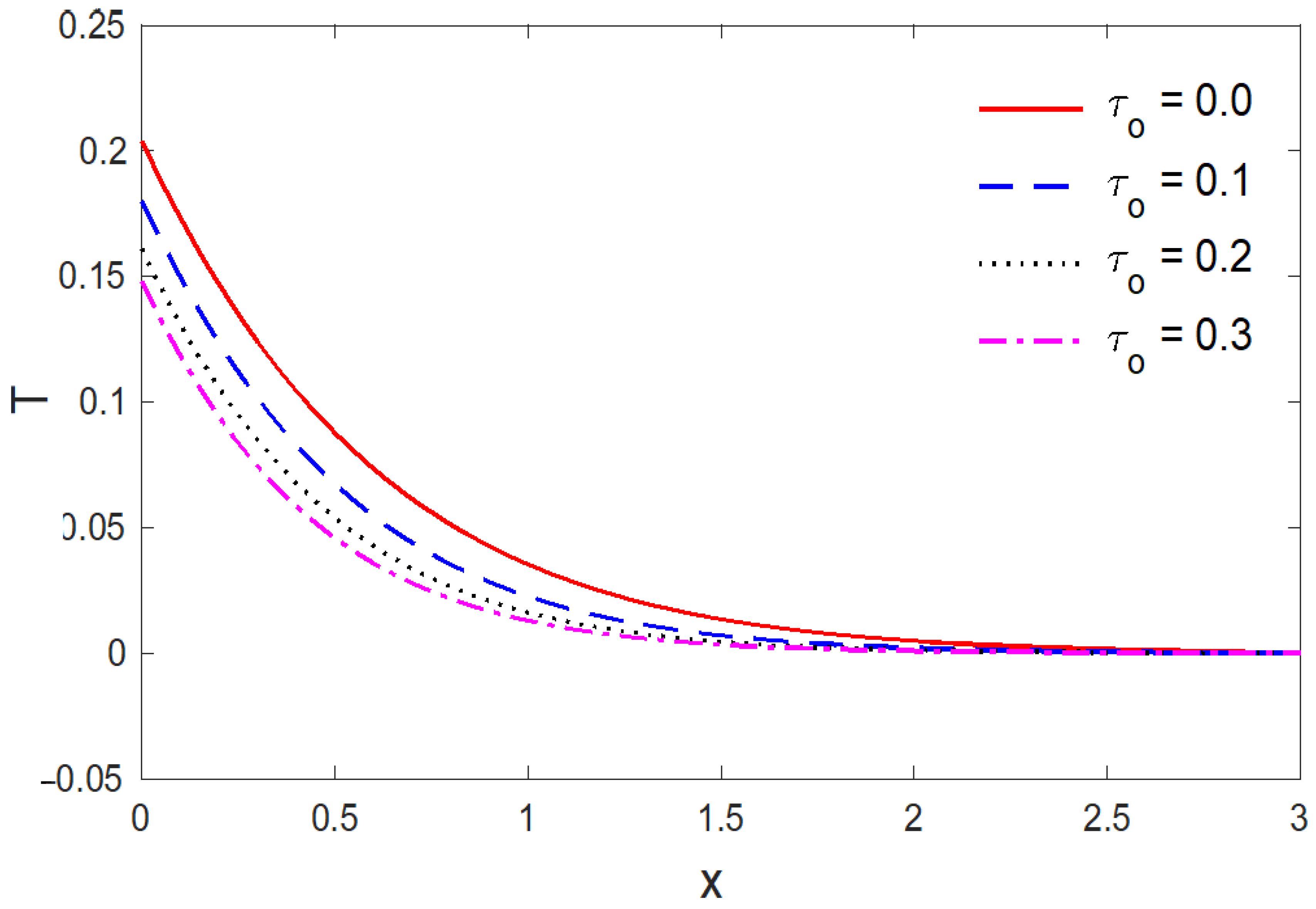
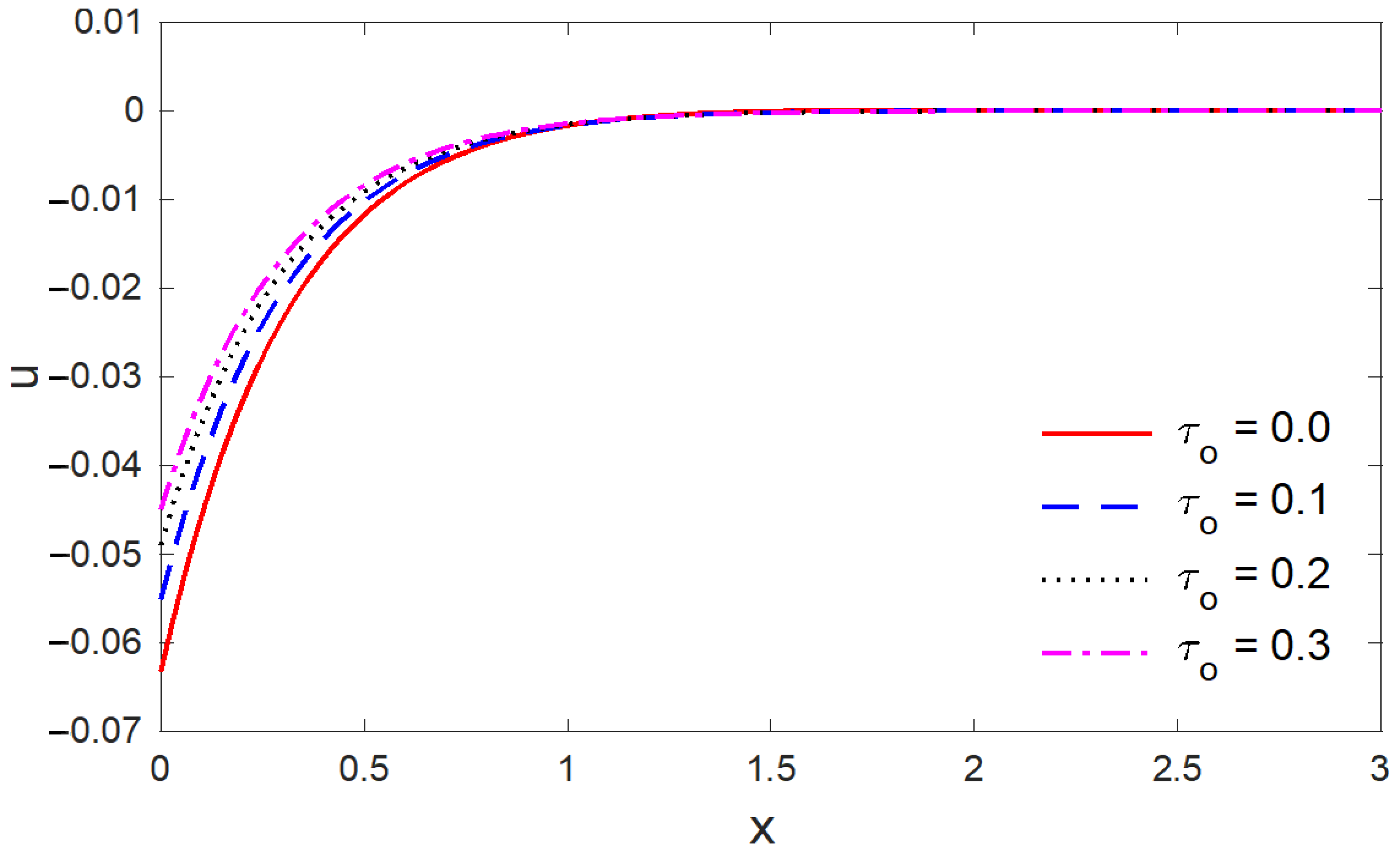
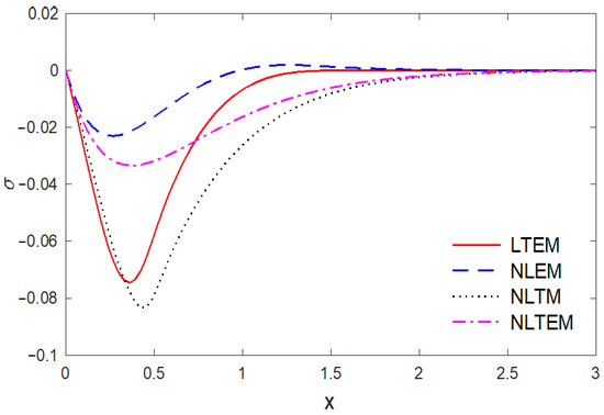
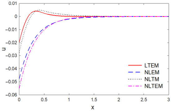
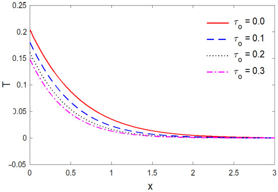
Numerical calculations are carried out for two cases: the effects of nonlocal parameters and the thermal relaxation time. In the first case, we consider four different models: refers to the local thermoelastic model (LTEM), refers to the nonlocal elastic model (NLEM), and refers to the nonlocal thermal model (NLTM), while refers to the nonlocal thermoelastic model (NLTEM). In the second case, we explore four different thermal relaxation time values under the nonlocal thermoelastic model. Figure 1, Figure 2 and Figure 3 depict temperature variations, displacement, and stress distributions for the first case. From these figures, we can observe that temperature decreases with an increase in distance , as in Figure 1. Figure 2 show the displacement variations with respect to distance. It is observed that as distance increases, the magnitude of displacement reduces until it approaches zero. Figure 3 shows the variations of stress versus the distance. It is clear that the magnitude of stress starts from zeros values that satisfy the boundary conditions of the problem; after that, the magnitudes of stress decrease with an increase in to attain maximum values and then they increase again to reach zeros values. The local generalized thermoelasticity model (LTEM), the generalized thermoelastic model with nonlocal elasticity only (NLEM), the generalized thermoelastic model with nonlocal thermal conductive only (NLTM), and the generalized thermoelasticity model with nonlocal thermal conductive and elasticity (NLTEM) are compared in Figure 1, Figure 2 and Figure 3. Figure 4, Figure 5 and Figure 6 show the thermal relaxation time effects under the generalized thermos-elastic model with nonlocal thermal conductivity and elastic (NLTEM). Finally, based on the results, it can be concluded that nonlocal thermo-elasticity theory (nonlocal thermal conductive and elasticity) is a significant phenomenon that significantly impacts the distributions of physical variables.
Figure 1.
The temperature variations via the distance for four different models.
Figure 2.
The displacement variations via the distance for four different models.
Figure 3.
The stress variation via the distance for four different models.
Figure 4.
The variations of temperature via the distance for different values of under (NLTEM).
Figure 5.
The displacement variations via the distance for different values of under (NLTEM).
Figure 6.
The variation of stress along the distance for different values of under (NLTEM).
Author Contributions
Investigation, A.H., S.V. and M.M.; Project administration, I.A. All authors have read and agreed to the published version of the manuscript.
Funding
This research received no external funding.
Institutional Review Board Statement
Not applicable.
Informed Consent Statement
Not applicable.
Data Availability Statement
Not applicable.
Conflicts of Interest
The authors declare no conflict of interest.
References
- Eringen, A.C. Nonlocal polar elastic continua. Int. J. Eng. Sci. 1972, 10, 1–16. [Google Scholar] [CrossRef]
- Eringen, A.C. Theory of nonlocal thermoelasticity. Int. J. Eng. Sci. 1974, 12, 1063–1077. [Google Scholar] [CrossRef]
- Eringen, A.C. Memory-dependent nonlocal electromagnetic elastic solids and superconductivity. J. Math. Phys. 1991, 32, 787–796. [Google Scholar] [CrossRef]
- Eringen, A.C.; Wegner, J. Nonlocal continuum field theories. Appl. Mech. Rev. 2003, 56, B20–B22. [Google Scholar] [CrossRef]
- Povstenko, Y.Z. The nonlocal theory of elasticity and its applications to the description of defects in solid bodies. J. Math. Sci. 1999, 97, 3840–3845. [Google Scholar] [CrossRef]
- Abouelregal, A.E.; Zenkour, A.M. Nonlocal thermoelastic model for temperature-dependent thermal conductivity nanobeams due to dynamic varying loads. Microsyst. Technol. 2017, 24, 1189–1199. [Google Scholar] [CrossRef]
- Yu, Y.J.; Tian, X.-G.; Liu, X.-R. Size-dependent generalized thermoelasticity using Eringen’s nonlocal model. Eur. J. Mech.-A/Solids 2015, 51, 96–106. [Google Scholar] [CrossRef]
- Narendar, S.; Gopalakrishnan, S. Nonlocal scale effects on ultrasonic wave characteristics of nanorods. Physical E 2010, 42, 1601–1604. [Google Scholar] [CrossRef]
- Biot, M.A. Thermoelasticity and Irreversible Thermodynamics. J. Appl. Phys. 1956, 27, 240–253. [Google Scholar] [CrossRef]
- Lord, H.W.; Shulman, Y. A generalized dynamical theory of thermoelasticity. J. Mech. Phys. Solids 1967, 15, 299–309. [Google Scholar] [CrossRef]
- Sarkar, N.; Mondal, S.; Othman, M.I.A. L–S theory for the propagation of the photo-thermal waves in a semiconducting nonlocal elastic medium. Waves Random Complex Media 2020, 14, 1. [Google Scholar] [CrossRef]
- Sarkar, N. Thermoelastic responses of a nonlocal elastic rod due to nonlocal heat conduction. ZAMM Z. Angew. Math. Mech. 2020, 100, e201900252. [Google Scholar] [CrossRef]
- Bachher, M.; Sarkar, N. Nonlocal theory of thermoelastic materials with voids and fractional derivative heat transfer. Waves Random Complex Media 2019, 29, 595–613. [Google Scholar] [CrossRef]
- Bayones, F.S.; Mondal, S.; Abo-Dahab, S.M.; Kilany, A.A. Effect of moving heat source on a magneto-thermoelastic rod in the context of Eringen’s nonlocal theory under three-phase lag with a memory dependent derivative. Mech. Based Des. Struct. Mach. 2021, 28, 1–20. [Google Scholar] [CrossRef]
- Gupta, S.; Dutta, R.; Das, S. Memory response in a nonlocal micropolar double porous thermoelastic medium with variable conductivity under Moore-Gibson-Thompson thermoelasticity theory. J. Ocean Eng. Sci. 2022; in press. [Google Scholar] [CrossRef]
- Yang, Z.; Cheng, D.; Cong, G.; Jin, D.; Borjalilou, V. Dual-phase-lag thermoelastic damping in nonlocal rectangular nanoplates. Waves Random Complex Media 2021, 15, 1–20. [Google Scholar] [CrossRef]
- Singh, B.; Bijarnia, R. Nonlocal effects on propagation of waves in a generalized thermoelastic solid half space. Struct. Eng. Mech. 2021, 77, 473–479. [Google Scholar] [CrossRef]
- Sheoran, D.; Kumar, R.; Thakran, S.; Kalkal, K.K. Thermo-mechanical disturbances in a nonlocal rotating elastic material with temperature dependent properties. Int. J. Numer. Methods Heat Fluid Flow 2021, 31, 3597–3620. [Google Scholar] [CrossRef]
- Luo, P.; Li, X.; Tian, X. Nonlocal thermoelasticity and its application in thermoelastic problem with temperature-dependent thermal conductivity. Eur. J. Mech.-A/Solids 2021, 87, 104204. [Google Scholar] [CrossRef]
- Li, Y.; He, T.; Luo, P.; Tian, X. A generalized thermoelastic diffusion problem of thin plate heated by the ultrashort laser pulses with memory-dependent and spatial nonlocal effect. J. Therm. Stresses 2021, 44, 261–280. [Google Scholar] [CrossRef]
- Wang, E.; Carcione, J.M.; Ba, J. Wave Simulation in Partially Saturated Porothermoelastic Media. IEEE Trans. Geosci. Remote Sens. 2022, 60, 1–14. [Google Scholar] [CrossRef]
- Yu, Y.J.; Tian, X.G.; Xiong, Q.L. Nonlocal thermoelasticity based on nonlocal heat conduction and nonlocal elasticity. Eur. J. Mech.-A/Solids 2016, 60, 238–253. [Google Scholar] [CrossRef]
- Zenkour, A.M. Nonlocal thermoelasticity theory without energy dissipation for nano-machined beam resonators subjected to various boundary conditions. Microsyst. Technol. 2017, 23, 55–65. [Google Scholar] [CrossRef]
- Lei, J.; He, Y.; Li, Z.; Guo, S.; Liu, D. Effect of nonlocal thermoelasticity on buckling of axially functionally graded nanobeams. J. Therm. Stresses 2019, 42, 526–539. [Google Scholar] [CrossRef]
- Yu, Y.J.; Deng, Z.C. New insights on microscale transient thermoelastic responses for metals with electron-lattice coupling mechanism. Eur. J. Mech.-A/Solids 2020, 80, 103887. [Google Scholar] [CrossRef]
- Barretta, R.; Čanađija, M.; De Sciarra, F.M. Nonlocal integral thermoelasticity: A thermodynamic framework for functionally graded beams. Compos. Struct. 2019, 225, 111104. [Google Scholar] [CrossRef] [Green Version]
- Hosseini, S.M. Analytical solution for nonlocal coupled thermoelasticity analysis in a heat-affected MEMS/NEMS beam resonator based on Green–Naghdi theory. Appl. Math. Model. 2018, 57, 21–36. [Google Scholar] [CrossRef]
- Lata, P.; Himanshi, H. Fractional effect in an orthotropic magneto-thermoelastic rotating solid of type GN-II due to normal force. Struct. Eng. Mech. 2022, 81, 503–511. [Google Scholar]
- Lata, P.; Singh, S. Deformation in a nonlocal magneto-thermoelastic solid with hall current due to normal force. Geomach. Eng. 2020, 22, 109–117. [Google Scholar] [CrossRef]
- Lataa, P.; Kaur, I. Effect of time harmonic sources on transversely isotropic thermoelastic thin circular plate. Geomach. Eng. 2019, 19, 29–36. [Google Scholar] [CrossRef]
- Lata, P.; Kaur, H. Deformation in transversely isotropic thermoelastic medium using new modified couple stress theory in frequency domain. Geomach. Eng. 2019, 19, 369–381. [Google Scholar] [CrossRef]
- Anya, A.I.; Khan, A. Reflection and propagation of plane waves at free surfaces of a rotating micropolar fibre-reinforced medium with voids. Geomach. Eng. 2019, 18, 605–614. [Google Scholar] [CrossRef]
- Alharbi, A.M.; Said, S.M.; Othman, M.I.A. The effect of multi-phase-lag and coriolis acceleration on a fiber-reinforced isotropic thermoelastic medium. Steel Compos. Struct. 2021, 39, 125–134. [Google Scholar] [CrossRef]
- Abbas, I.A.; Alzahrani, F.S. Analytical solution of a two-dimensional thermoelastic problem subjected to laser pulse. Steel Compos. Struct. 2016, 21, 791–803. [Google Scholar] [CrossRef]
- Hobiny, A.D.; Abbas, I.A. Generalized thermo-elastic interaction in a fiber-reinforced material with spherical holes. Struct. Eng. Mech. 2021, 78, 297–303. [Google Scholar] [CrossRef]
- Hobiny, A.; Alzahrani, F.; Abbas, I.; Marin, M. The Effect of Fractional Time Derivative of Bioheat Model in Skin Tissue Induced to Laser Irradiation. Symmetry 2020, 12, 602. [Google Scholar] [CrossRef]
- Marin, M.; Othman, M.A.; Abbas, I. An Extension of the Domain of Influence Theorem for Generalized Thermoelasticity of Anisotropic Material with Voids. J. Comput. Theor. Nanosci. 2015, 12, 1594–1598. [Google Scholar] [CrossRef]
- Alzahrani, F.; Hobiny, A.; Abbas, I.; Marin, M. An Eigenvalues Approach for a Two-Dimensional Porous Medium Based Upon Weak, Normal and Strong Thermal Conductivities. Symmetry 2020, 12, 848. [Google Scholar] [CrossRef]
- Povstenko, Y. Fractional Thermoelasticity; Springer: Berlin/Heidelberg, Germany, 2015. [Google Scholar]
- Bhatti, M.M.; Marin, M.; Zeeshan, A.; Abdelsalam, S.I. Editorial: Recent Trends in Computational Fluid Dynamics. Front. Phys. 2020, 8, 593111. [Google Scholar] [CrossRef]
- Eringen, A.C. Plane waves in nonlocal micropolar elasticity. Int. J. Eng. Sci. 1984, 22, 1113–1121. [Google Scholar] [CrossRef]
- Zenkour, A.M.; Abouelregal, A.E. Effect of temperature dependency on constrained orthotropic unbounded body with a cylindrical cavity due to pulse heat flux. J. Therm. Sci. Technol. 2015, 10, JTST0019. [Google Scholar] [CrossRef] [Green Version]
- Das, N.C.; Lahiri, A.; Giri, R.R. Eigenvalue approach to generalized thermoelasticity. Indian J. Pure Appl. Math. 1997, 28, 1573–1594. [Google Scholar]
- Alzahrani, F.S.; Abbas, I.A. Fractional order gl model on thermoelastic interaction in porous media due to pulse heat flux. Geomach. Eng. 2020, 23, 217–225. [Google Scholar] [CrossRef]
- Hobiny, A.D.; Abbas, I.A. Fractional order thermoelastic wave assessment in a two-dimension medium with voids. Geomach. Eng. 2020, 21, 85–93. [Google Scholar] [CrossRef]
- Stehfest, H. Algorithm 368: Numerical inversion of Laplace transforms [D5]. Commun. ACM 1970, 13, 47–49. [Google Scholar] [CrossRef]
Publisher’s Note: MDPI stays neutral with regard to jurisdictional claims in published maps and institutional affiliations. |
© 2022 by the authors. Licensee MDPI, Basel, Switzerland. This article is an open access article distributed under the terms and conditions of the Creative Commons Attribution (CC BY) license (https://creativecommons.org/licenses/by/4.0/).





