A New Bilinear Supervised Neighborhood Discrete Discriminant Hashing
Abstract
:1. Introduction
- (1)
- We present a novel hashing algorithm called the BNDDH algorithm, which can perform perceptual hashing, an optimal Laplacian graph, and supervised discrete-discriminant preserving simultaneously in a unified strategy.
- (2)
- We propose an optimized Laplace matrix construction strategy to maintain the neighborhood structure information of samples, so as to narrow the scope of similarity retrieval from the same object category to the same instance.
- (3)
- We perform bilinear projection on two-dimensional images, which overcomes the disadvantage of large amounts of calculation of high-dimensional linear projection in the past. In addition, we use bilinear projection to better maintain the two-dimensional features of the image.
2. Related Algorithms
2.1. Supervised Discrete Discriminant Hashing (SDDH)
2.2. Bilinear Projection-Based Binary Codes (BPBC)
3. Proposed Methods
3.1. The Objective Function
3.2. Bilinear Projection Learning
3.3. Optimization
- Update U: only depends on . By keeping fixed, we can achieve by the optimization problem in Equation (22):
- 2.
- Update P: Through the objective function (21), we find that the value of is only related to , and can define the function as shown in Equation (23). By fixing , the projection matrix can be easily calculated by regression:
- 3.
- Update B: By keeping and constant, we make the objective function transform into the following problem to optimize:
| Algorithm 1 BNDDH |
Input: Training databases , label information , bilinear projection rotation size and , number of iterations and , hash bits , parameter .
Compute by Equation (14); Compute by Equation (15); Update by solving the eigenvalue–eigenvector problem of ; Compute by Equation (16); Compute by Equation (17); Update by solving the eigenvalue–eigenvector problem of .
Update by Equation (22); Solve by Equation (26); Solve by Equation (28). Output: Rotation matrix and , the hash encoding matrix . |
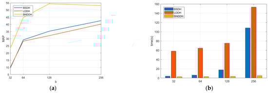
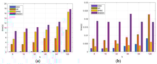
4. Experiment and Discussion
4.1. Databases and Setting
4.2. Experimental Results
4.2.1. Experiment on the CIFAR-10 Database
4.2.2. Experiment on the Yale-B Database
4.2.3. Experiment on the MNIST Database
4.2.4. Experiment on the AR Database
4.3. Friedman Test
4.4. Parameter Analysis
5. Conclusions
Author Contributions
Funding
Institutional Review Board Statement
Informed Consent Statement
Data Availability Statement
Conflicts of Interest
References
- Abu Khurma, R.; Aljarah, I.; Sharieh, A.; Abd Elaziz, M.; Damaševičius, R.; Krilavičius, T.S. A Review of the Modification Strategies of the Nature Inspired Algorithms for Feature Selection Problem. Mathematics 2022, 10, 464. [Google Scholar] [CrossRef]
- Wan, M.; Yao, Y.; Zhan, T.; Yang, G. Supervised Low-Rank Embedded Regression (SLRER) for Robust Subspace Learning. IEEE Trans. Circuits Syst. Video Technol. 2022, 32, 1917–1927. [Google Scholar] [CrossRef]
- Berisha, V.; Krantsevich, C.; Hahn, P.R.; Hahn, S.; Dasarathy, G.; Turaga, P.; Liss, J. Digital medicine and the curse of dimensionality. NPJ Digit. Med. 2021, 4, 1–8. [Google Scholar] [CrossRef]
- Weiss, Y.; Torralba, A.; Fergus, R. Spectral hashing. Adv. Neural Inf. Processing Syst. 2009, 282, 1753–1760. [Google Scholar]
- Gong, Y.; Lazebnik, S.; Gordo, A.; Perronnin, F. Iterative quantization: A procrustean approach to learning binary codes for large-scale image retrieval. IEEE Trans. Pattern Anal. Mach. Intell. 2013, 35, 2916–2929. [Google Scholar] [CrossRef] [Green Version]
- Wang, J.; Kumar, S.; Chang, S.F. Semi-supervised hashing for large-scale search. Pattern Anal. Mach. Intell IEEE Trans. 2012, 34, 2393–2406. [Google Scholar] [CrossRef] [PubMed] [Green Version]
- He, Y.; Wang, J.; Zhong, X.; Mei, L.; Wu, Z. PCAH: A PCA-based hierarchical clustering method for visual words construction. In Proceedings of the 15th IEEE/ACM International Symposium on Cluster, Cloud and Grid Computing, Shenzhen, China, 4–7 May 2015; pp. 1009–1018. [Google Scholar]
- Turk, M.; Pentland, A. Eigenfaces for recognition. Cognit. Neurosci. 1991, 3, 71–86. [Google Scholar] [CrossRef]
- Shen, F.; Shen, C.; Liu, W.; Shen, H.T. Supervised Discrete Hashing. In Proceedings of the IEEE Conference on Computer Vision and Pattern Recognition, Boston, MA, USA, 7–12 June 2015; pp. 37–45. [Google Scholar]
- Jie, G.; Liu, T.; Sun, Z.; Tao, D.; Tan, T. Supervised discrete hashing with relaxation. IEEE Trans. Neural Netw. Learn. Syst. 2016, 29, 608–617. [Google Scholar]
- Cui, Y.; Jiang, J.; Lai, Z.; Hu, Z.; Wong, W.K. Supervised discrete discriminant hashing for image retrieval. Pattern Recognit. 2018, 78, 79–90. [Google Scholar] [CrossRef]
- Yang, J.; Zhang, D.; Frangi, A.F.; Yang, J.Y. Two-dimensional PCA: A new approach to appearance-based face representation and recognition. IEEE Trans. Pattern Anal. Mach. Intell. 2004, 26, 131–137. [Google Scholar] [CrossRef] [PubMed] [Green Version]
- Li, M.; Yuan, B. 2D-LDA: A statistical linear discriminant analysis for image matrix. Pattern Recogn. Lett. 2005, 26, 527–532. [Google Scholar] [CrossRef]
- Belhumeur, P.N.; Hespanha, J.P.; Kriengman, D.J. Eigenfaces vs. Fisherfaces: Recognition using class specific linear projection. IEEE Trans. Pattern Anal. Mach. Intell. 1997, 19, 711–720. [Google Scholar] [CrossRef] [Green Version]
- Hu, D.; Feng, G.; Zhou, Z. Two-dimensional locality preserving projections (2DLPP) with its application to palmprint recognition. Pattern Recognit. 2007, 40, 339–342. [Google Scholar] [CrossRef]
- Wan, M.; Chen, X.; Zhan, T.; Xu, C.; Yang, G.; Zhou, H. Sparse Fuzzy Two-Dimensional Discriminant Local Preserving Projection (SF2DDLPP) for Robust Image Feature Extraction. Inf. Sci. 2021, 563, 1–15. [Google Scholar] [CrossRef]
- Lu, Y.; Yuan, C.; Lai, Z.; Li, X.; Wong, W.K.; Zhang, D. Nuclear Norm-Based 2DLPP for Image Classification. IEEE Trans. Multimed. 2017, 19, 2391–2403. [Google Scholar] [CrossRef]
- Liang, X.; Tang, Z.; Xie, X.; Wu, J.; Zhang, X. Robust and fast image hashing with two-dimensional PCA. Multimed. Syst. 2021, 27, 389–401. [Google Scholar] [CrossRef]
- Ding, Y.; Wong, W.K.; Lai, Z. Study on 2D Feature-Based Hash Learning. IEEE Trans. Multimed. 2020, 22, 1298–1309. [Google Scholar] [CrossRef]
- Kim, S.; Choi, S. Bilinear random projections for locality-sensitive, binary codes. In Proceedings of the IEEE Conference on Computer Vision and Pattern Recognition, Boston, MA, USA, 7–12 June 2015; pp. 1338–1346. [Google Scholar]
- Gong, Y.; Kumar, S.; Rowley, H.A.; Lazebnik, S. Learning binary codes for high-dimensional data using bilinear projections. In Proceedings of the IEEE Conference on Computer Vision and Pattern Recognition, Portland, OR, USA, 23–28 June 2013; pp. 484–491. [Google Scholar]
- Liu, Y.; Bai, X.; Yan, C.; Zhou, J. Bilinear discriminant analysis hashing: A supervised hashing approach for high-dimensional data. In Proceedings of the Asian Conference of Computer Vision, Taipei, Taiwan, 21–23 November 2016; pp. 297–310. [Google Scholar]
- Ding, Y.; Wong, W.K.; Lai, Z.; Zhang, Z. Bilinear Supervised Hashing Based on 2D Image Features. IEEE Trans. Circuits Syst. Video Technol. 2020, 30, 590–602. [Google Scholar] [CrossRef] [Green Version]
- Liu, Y.; Feng, L.; Liu, S.; Sun, M. Global similarity preserving hashing. Soft Comput. 2018, 22, 2105–2120. [Google Scholar] [CrossRef]
- Mao, M.; Zheng, Z.; Chen, Z.; Liu, H.; He, X.; Ye, R. Two-dimensional pca hashing and its extension. In Proceedings of the 2016 23rd International Conference on Pattern Recognition, Cancun, Mexico, 4–8 December 2016; pp. 1624–1629. [Google Scholar]
- Liu, W.; Wang, J.; Kumar, S.; Chang, S.F. Hashing with Graphs. In Proceedings of the 28th International Conference on Machine Learning, Bellevue, WA, USA, 28 June–2 July 2011; pp. 1–8. [Google Scholar]
- Zhang, L.; Du, G.; Liu, F.; Tu, H.; Shu, X. Global-Local Multiple Granularity Learning for Cross-Modality Visible-Infrared Person Reidentification. IEEE Trans. Neur. Net. Lear. 2021, 1–11. [Google Scholar] [CrossRef]
- Shen, F.; Zhou, X.; Yu, J.; Yang, Y.; Liu, L.; Shen, H.T. Scalable Zero-Shot Learning via Binary Visual-Semantic Embeddings. IEEE Trans. Image Process. 2019, 28, 3662–3674. [Google Scholar] [CrossRef] [PubMed]
- Datar, M. Locality-sensitive hashing scheme based on p-stable distributions. In Proceedings of the Twentieth Annual Symposium on Computational Geometry, Brooklyn, NY, USA, 8–11 June 2004; pp. 253–262. [Google Scholar]
- Raginsky, M.; Lazebnik, S. Locality-sensitive binary codes from shift-invariant kernels. Adv. Neural Inf. Processing Syst. 2009, 22, 1509–1517. [Google Scholar]
- Yan, X.; He, K.; Kohli, P.; Sun, J. Sparse projections for high-dimensional binary codes. In Proceedings of the IEEE Conference on Computer Vision and Pattern Recognition, Boston, MA, USA, 7–12 June 2015; pp. 3332–3339. [Google Scholar]
- Jin, Z.; Li, C.; Lin, Y.; Cai, D. Density Sensitive Hashing. IEEE Trans. Cybern. 2017, 44, 1362–1371. [Google Scholar] [CrossRef] [PubMed] [Green Version]
- Albawi, S.; Mohammed, T.A.; Al-Zawi, S. Understanding of a convolutional neural network. In Proceedings of the 2017 International Conference on Engineering and Technology, Antalya, Turkey, 21–23 August 2017; pp. 1–6. [Google Scholar]











| Notations | Size | Explanation |
|---|---|---|
| - | Total number of classes | |
| - | Label information | |
| - | Number of samples per class | |
| - | Total number of samples | |
| - | Size of feature matrix | |
| - | The product of and | |
| - | Size of feature matrix after projection | |
| - | The product of and | |
| - | Length of hash codes | |
| - | Number of nearest neighbors | |
| Input data matrix | ||
| Average value of all sample | ||
| Average value of sample for class | ||
| Binary hashing matrix | ||
| Bilinear projection feature matrix | ||
| Similarity measure matrix | ||
| Between-class relationship matrix | ||
| Within-class relationship matrix | ||
| Projection matrix | ||
| Bilinear rotation matrix | ||
| - | Hash function |
| Method | 8 bits | 16 bits | 32 bits | 48 bits | 64 bits | |
|---|---|---|---|---|---|---|
| MAP | LSH | 0.0819 | 0.1240 | 0.1792 | 0.2232 | 0.2589 |
| AGH | 0.0917 | 0.1421 | 0.1922 | 0.1544 | 0.1675 | |
| DSH | 0.1516 | 0.1959 | 0.3185 | 0.2971 | 0.3717 | |
| PCAH | 0.1202 | 0.1164 | 0.1057 | 0.1020 | 0.1117 | |
| SH | 0.1151 | 0.1306 | 0.1889 | 0.2137 | 0.2490 | |
| SKLSH | 0.0653 | 0.0900 | 0.1434 | 0.2711 | 0.2926 | |
| SDDH | 0.3270 | 0.4472 | 0.4228 | 0.4093 | 0.4801 | |
| LDDH | 0.4204 | 0.4842 | 0.5337 | 0.5459 | 0.5526 | |
| BNDDH | 0.4375 | 0.5030 | 0.5519 | 0.5624 | 0.5644 |
| Method | 8 bits | 16 bits | 32 bits | 48 bits | 64 bits | |
|---|---|---|---|---|---|---|
| MAP | LSH | 0.3808 | 0.4698 | 0.5696 | 0.6811 | 0.6133 |
| DSH | 0.4593 | 0.6309 | 0.6150 | 0.6222 | 0.6755 | |
| PCAH | 0.2850 | 0.2647 | 0.3239 | 0.3080 | 0.2959 | |
| SH | 0.2573 | 0.2637 | 0.2872 | 0.3444 | 0.3064 | |
| SKLSH | 0.2460 | 0.3854 | 0.5456 | 0.6031 | 0.7194 | |
| SP | 0.5285 | 0.6001 | 0.6436 | 0.6699 | 0.6507 | |
| ITQ | 0.5630 | 0.6480 | 0.6490 | 0.6916 | 0.7011 | |
| 2DITQ | 0.5736 | 0.6493 | 0.6784 | 0.6632 | 0.7124 | |
| SDDH | 0.5891 | 0.6302 | 0.694 | 0.6786 | 0.6851 | |
| BNDDH | 0.6595 | 0.6776 | 0.6934 | 0.7923 | 0.7687 |
| Method | 8 bits | 16 bits | 32 bits | 48 bits | 64 bits | |
|---|---|---|---|---|---|---|
| MAP | LSH | 0.0812 | 0.2103 | 0.3220 | 0.4586 | 0.5015 |
| DSH | 0.0840 | 0.1968 | 0.3916 | 0.5540 | 0.6500 | |
| PCAH | 0.1987 | 0.3524 | 0.3833 | 0.3654 | 0.3427 | |
| SH | 0.1410 | 0.2971 | 0.4077 | 0.4573 | 0.4624 | |
| SKLSH | 0.0583 | 0.0557 | 0.2134 | 0.2265 | 0.3093 | |
| SP | 0.2055 | 0.4763 | 0.6382 | 0.6811 | 0.7356 | |
| BPBC | 0.2533 | 0.5158 | 0.6829 | 0.7365 | 0.7783 | |
| 2DITQ | 0.2731 | 0.3653 | 0.3715 | 0.4598 | 0.4641 | |
| BNDDH | 0.5859 | 0.6676 | 0.6934 | 0.7409 | 0.7686 |
Publisher’s Note: MDPI stays neutral with regard to jurisdictional claims in published maps and institutional affiliations. |
© 2022 by the authors. Licensee MDPI, Basel, Switzerland. This article is an open access article distributed under the terms and conditions of the Creative Commons Attribution (CC BY) license (https://creativecommons.org/licenses/by/4.0/).
Share and Cite
Chen, X.; Wan, M.; Zheng, H.; Xu, C.; Sun, C.; Fan, Z. A New Bilinear Supervised Neighborhood Discrete Discriminant Hashing. Mathematics 2022, 10, 2110. https://doi.org/10.3390/math10122110
Chen X, Wan M, Zheng H, Xu C, Sun C, Fan Z. A New Bilinear Supervised Neighborhood Discrete Discriminant Hashing. Mathematics. 2022; 10(12):2110. https://doi.org/10.3390/math10122110
Chicago/Turabian StyleChen, Xueyu, Minghua Wan, Hao Zheng, Chao Xu, Chengli Sun, and Zizhu Fan. 2022. "A New Bilinear Supervised Neighborhood Discrete Discriminant Hashing" Mathematics 10, no. 12: 2110. https://doi.org/10.3390/math10122110
APA StyleChen, X., Wan, M., Zheng, H., Xu, C., Sun, C., & Fan, Z. (2022). A New Bilinear Supervised Neighborhood Discrete Discriminant Hashing. Mathematics, 10(12), 2110. https://doi.org/10.3390/math10122110

