Research on Intelligent Grading of Physics Problems Based on Large Language Models
Abstract
1. Introduction
2. Materials and Methods
2.1. The Generation of Samples
2.2. Scoring Criteria
2.3. Scoring Process
2.4. Evaluation
3. Results
3.1. ERNIEBot-4-Turbo’s Grading Effect
3.2. Comparison of the Effect of Different Prompts
4. Discussion
4.1. Comparison of the Effect of Prompts on GPT-4o and ERNIEBot-4-Turbo
4.2. How Effective Are LLM Prompts in Grading Complex Physics Calculation Problems?
4.3. How Do Different Prompt Types Influence the Effectiveness of Scoring Physics Calculation Problems?
4.4. Limitations and Future Outlook
5. Conclusions
Author Contributions
Funding
Institutional Review Board Statement
Informed Consent Statement
Data Availability Statement
Conflicts of Interest
References
- Ali, M., Mai, Y., Rao, P., & Xie, B. (2024, August 13–15). Using benchmarking infrastructure to evaluate LLM performance on CS concept inventories: Challenges, opportunities, and critiques. ACM Conference on International Computing Education Research (ICER), Melbourne, Australia. [Google Scholar] [CrossRef]
- Alkafaween, U., Albluwi, I., & Denny, P. (2025). Automating autograding: Large language models as test suite generators for introductory programming. Journal of Computer Assisted Learning, 41(1), e13100. [Google Scholar] [CrossRef]
- Brown, T. B., Mann, B., Ryder, N., Subbiah, M., Kaplan, J., Dhariwal, P., Neelakantan, A., Shyam, P., Sastry, G., Askell, A., Agarwal, S., Herbert-Voss, A., Krueger, G., Henighan, T., Child, R., Ramesh, A., Ziegler, D. M., Wu, J., Winter, C., … Amodei, D. (2020). Language models are few-shot learners. arXiv, arXiv:2005.14165. [Google Scholar] [CrossRef]
- Burgess, P., Williams, I., Qu, L., & Wang, W. (2024). Using generative AI to identify arguments in judges’ reasons: Accuracy and benefits for students. Law, Technology and Humans, 6, 5. [Google Scholar] [CrossRef]
- Burke, H. B., Hoang, A., Lopreiato, J. O., King, H., Hemmer, P., Montgomery, M., & Gagarin, V. (2024). Assessing the ability of a large language model to score free-text medical student clinical notes: Quantitative study. JMIR Medical Education, 10, e56342. [Google Scholar] [CrossRef]
- Chan, K. W. (2025). Automatic item generation in various STEM subjects using large language model prompting. Computers and Education, 8, 100344. [Google Scholar] [CrossRef]
- Cohn, C., Hutchins, N., Le, T., & Biswas, G. (2024). A chain-of-thought prompting approach with LLMs for evaluating students’ formative assessment responses in science. Proceedings of the AAAI Conference on Artificial Intelligence, 38(21), 23182–23190. [Google Scholar] [CrossRef]
- Grévisse, C. (2024). LLM-based automatic short answer grading in undergraduate medical education. BMC Medical Education, 24(1), 1060. [Google Scholar] [CrossRef] [PubMed]
- Hang, C. N., Tan, C. W., & Yu, P.-D. (2024). MCQGen: A large language model-driven MCQ generator for personalized learning. IEEE Education Society Section, 12, 102261–102273. [Google Scholar] [CrossRef]
- Huang, L., Hu, J., Cai, Q., Fu, G., Bai, Z., Liu, Y., Zheng, J., & Meng, Z. (2024). The performance evaluation of artificial intelligence ERNIE bot in Chinese national medical licensing examination. Postgraduate Medical Journal, 100, qgae062. [Google Scholar] [CrossRef]
- Kortemeyer, G. (2023a). Could an artificial-intelligence agent pass an introductory physics course? Physical Review Physics Education Research, 19(1), 010132. [Google Scholar] [CrossRef]
- Kortemeyer, G. (2023b). Toward AI grading of student problem solutions in introductory physics: A feasibility study. Physical Review Physics Education Research, 19(2), 020163. [Google Scholar] [CrossRef]
- Lagakis, P. (2024). Automated grading in coding exercises using large language models. Springer. [Google Scholar]
- Lee, G.-G., Latif, E., Wu, X., Liu, N., & Zhai, X. (2024). Applying large language models and chain-of-thought for automatic scoring. Computers and Education: Artificial Intelligence, 6, 100213. [Google Scholar] [CrossRef]
- Lee, J. X., & Song, Y.-T. (2024, July 5–7). College exam grader using LLM AI models. 2024 IEEE/ACIS 27th International Conference on Software Engineering, Artificial Intelligence, Networking and Parallel/Distributed Computing (SNPD) (pp. 282–289), Beijing, China. [Google Scholar] [CrossRef]
- Lee, U., Kim, Y., Lee, S., Park, J., Mun, J., Lee, E., Kim, H., Lim, C., & Yoo, Y. J. (2024). Can we use GPT-4 as a mathematics evaluator in education?: Exploring the efficacy and limitation of LLM-based automatic assessment system for open-ended mathematics question. International Journal of Artificial Intelligence in Education. [Google Scholar] [CrossRef]
- Li, B., Hou, Y., Dong, J., Yang, B., & Wang, X. (2024). ICRA: A study of highly accurate course recommendation models incorporating false review filtering and ERNIE 3.0. PLoS ONE, 19(12), e0313928. [Google Scholar] [CrossRef]
- Lieb, A. (2024, May 11–16). Student interaction with newtbot: An LLM-as-tutor chatbot for secondary physics education. CHI EA’24: Extended Abstracts of the CHI Conference on Human Factors in Computing Systems, Honolulu, HI, USA. [Google Scholar]
- Luo, Y., Miao, Y., Zhao, Y., Li, J., Chen, Y., Yue, Y., & Wu, Y. (2024). Comparing the Accuracy of Two Generated Large Language Models in Identifying Health-Related Rumors or Misconceptions and the Applicability in Health Science Popularization: Proof-of-Concept Study. JMIR Formative Research, 8, e63188. [Google Scholar] [CrossRef] [PubMed]
- Menezes, T., Egherman, L., & Garg, N. (2024, July 8–10). AI-grading standup updates to improve project-based learning outcomes. ITiCSE 2024: Proceedings of the 2024 on Innovation and Technology in Computer Science Education V.1, Milan, Italy. [Google Scholar]
- Mohamed, K. (2025). Hands-on analysis of using large language models for the auto evaluation of programming assignments. Information Systems, 128, 102473. [Google Scholar] [CrossRef]
- OpenAI, Achiam, J., Adler, S., Agarwal, S., Ahmad, L., Akkaya, I., Aleman, F. L., Almeida, D., Altenschmidt, J., Altman, S., Anadkat, S., Avila, R., Babuschkin, I., Balaji, S., Balcom, V., Baltescu, P., Bao, H., Bavarian, M., Belgum, J., … Zoph, B. (2024). GPT-4 technical report. arXiv, arXiv:2303.08774. [Google Scholar] [CrossRef]
- Pack, A., Barrett, A., & Escalante, J. (2024). Large language models and automated essay scoring of English language learner writing: Insights into validity and reliability. Computers and Education: Artificial Intelligence, 6, 100234. [Google Scholar] [CrossRef]
- Polverini, G., & Gregorcic, B. (2024). Performance of ChatGPT on the test of understanding graphs in kinematics. Physical Review Physics Education Research, 20(1), 010109. [Google Scholar] [CrossRef]
- Radford, A., Wu, J., Child, R., Luan, D., Amodei, D., & Sutskever, I. (2019). Language models are unsupervised multitask learners. OpenAI blog, 1(8), 9. [Google Scholar]
- Radha, S. K., Jelyani, Y. N., Ghukasyan, A., & Goktas, O. (2024). Iteration of thought: Leveraging inner dialogue for autonomous large language model reasoning. arXiv, arXiv:2409.12618. [Google Scholar] [CrossRef]
- Shamshin, A. (2024). Implementation of artificial intelligence in an online platform for solving and checking the solutions of physical problems. In Information technology for education, science, and technics. ITEST 2024. Lecture notes on data engineering and communications technologies (Vol. 222). Springer. [Google Scholar] [CrossRef]
- Shang, J., Huang, J., Zeng, S., Zhang, J., & Wang, H. (2022, May 4–6). Representation and extraction of physics knowledge based on knowledge graph and embedding-combined text classification for cooperative learning. 2022 IEEE 25th International Conference on Computer Supported Cooperative Work in Design (CSCWD), Hangzhou, China. [Google Scholar]
- Smith, D. H., IV, & Zilles, C. (2024, July 8–10). Code generation based grading: Evaluating an auto-grading mechanism for “explain-in-plain-english” questions. 2024 on Innovation and Technology in Computer Science Education V.1, Milan, Italy. [Google Scholar]
- Sobo, A., Mubarak, A., Baimagambetov, A., & Polatidis, N. (2024). Evaluating LLMs for code generation in HRI: A comparative study of ChatGPT, gemini, and claude. Applied Artificial Intelligence, 39(1), 2439610. [Google Scholar] [CrossRef]
- Song, T. (2023). Automatic generation of multiple-choice questions for CS0 and CS1 curricula using large language models. In International conference on computer science and education. Springer. [Google Scholar]
- Sonkar, S., Ni, K., Tran Lu, L., Kincaid, K., Hutchinson, J. S., & Baraniuk, R. G. (2024). Automated Long Answer Grading with RiceChem Dataset. In A. M. Olney, I.-A. Chounta, Z. Liu, O. C. Santos, & I. I. Bittencourt (Eds.), Artificial intelligence in education (Vol. 14829, pp. 163–176). Springer Nature. [Google Scholar] [CrossRef]
- Vaswani, A., Shazeer, N., Parmar, N., Uszkoreit, J., Jones, L., Gomez, A. N., Kaiser, L., & Polosukhin, I. (2023). Attention is all you need. arXiv, arXiv:1706.03762. [Google Scholar] [CrossRef]
- Wan, T., & Chen, Z. (2024). Exploring generative AI assisted feedback writing for students’ written responses to a physics conceptual question with prompt engineering and few-shot learning. Physical Review Physics Education Research, 20(1), 010152. [Google Scholar] [CrossRef]
- Wang, K. D., Burkholder, E., Wieman, C., Salehi, S., & Haber, N. (2024). Examining the potential and pitfalls of ChatGPT in science and engineering problem-solving. Frontiers in Education, 8, 1330486. [Google Scholar] [CrossRef]
- Wang, L. (2024). Suitability of GPT-4o as an evaluator of cardiopulmonary resuscitation skills examinations. Resuscitation, 204, 110404. [Google Scholar] [CrossRef] [PubMed]
- Wang, X., Wei, J., Schuurmans, D., Le, Q., Chi, E., Narang, S., Chowdhery, A., & Zhou, D. (2023). Self-consistency improves chain of thought reasoning in language models. arXiv, arXiv:2203.11171. [Google Scholar] [CrossRef]
- Wei, J., Wang, X., Schuurmans, D., Bosma, M., Ichter, B., Xia, F., Chi, E., Le, Q., & Zhou, D. (2023). Chain-of-thought prompting elicits reasoning in large language models. arXiv, arXiv:2201.11903. [Google Scholar] [CrossRef]
- West, C. G. (2023). Advances in apparent conceptual physics reasoning in GPT-4. arXiv, arXiv:2303.17012. [Google Scholar] [CrossRef]
- Yan, Z., Zhang, R., & Jia, F. (2024, June 14–17). Exploring the potential of large language models as a grading tool for conceptual short-answer questions in introductory physics. 2024 9th International Conference on Distance Education and Learning (pp. 308–314), Guangzhou, China. [Google Scholar] [CrossRef]
- Yao, S., Yu, D., Zhao, J., Shafran, I., Griffiths, T. L., Cao, Y., & Narasimhan, K. (2023). Tree of thoughts: Deliberate problem solving with large language models. arXiv, arXiv:2305.10601. [Google Scholar] [CrossRef]
- Yao, Y., Li, Z., & Zhao, H. (2024). Beyond chain-of-thought, effective graph-of-thought reasoning in language models. arXiv, arXiv:2305.16582. [Google Scholar] [CrossRef]
- Yeadon, W., & Halliday, D. P. (2023). Exploring durham university physics exams with large language models. arXiv, arXiv:2306.15609. [Google Scholar] [CrossRef]
- Zhang, Z., Zhang, A., Li, M., & Smola, A. (2022). Automatic chain of thought prompting in large language models. arXiv, arXiv:2210.03493. [Google Scholar] [CrossRef]
- Zhou, Y., Geng, X., Shen, T., Tao, C., Long, G., Lou, J.-G., & Shen, J. (2023). Thread of thought unraveling chaotic contexts. arXiv, arXiv:2311.08734. [Google Scholar] [CrossRef]
- Zong, H., Wu, R., Cha, J., Wang, J., Wu, E., Li, J., Zhou, Y., Zhang, C., Feng, W., & Shen, B. (2024). Large language models in worldwide medical exams: Platform development and comprehensive analysis. Journal of Medical Internet Research, 26, e66114. [Google Scholar] [CrossRef]


| Problem Number | Knowledge Concept | Problem | Schematic Diagram |
|---|---|---|---|
| Q1 | Newton’s Second Law, Work-Energy Theorem | A soft rope with uniform thickness is partially placed on a smooth horizontal table, while the other part hangs off the table’s edge. There is a small circular corner with a very small radius between two perpendicular surfaces at the table’s edge, allowing the rope’s velocity direction to change continuously as it passes over the corner. The total length of the rope is , and the hanging part is initially long. The rope’s initial velocity is zero. Find the velocity of the rope at the moment it completely leaves the table (assume the rope does not stretch). | ![]() |
| Q2 | Law of Rigid Body Rotation, Conservation of Mechanical Energy | A fixed pulley has a mass of , a radius of , and a non-stretchable light rope. One end of the rope is fixed to the pulley, while the other end is attached to an object of mass . If the moment of inertia of the pulley is , its initial angular velocity (counterclockwise), and , find: (1) the magnitude and direction of the angular acceleration of the pulley; (2) the maximum height the object reaches. | ![]() |
| Q3 | Simple Harmonic Motion, Conservation of Mechanical Energy | A disk of mass is hanging from a light spring with a stiffness coefficient of . A thin circular ring of mass is dropped freely from a height above the disk and sticks to the disk, causing them to vibrate together. Let be the moment of impact, and the coordinate origin be chosen at the equilibrium position of the vibration, with the positive direction downward. Write the expression for the vibration. | ![]() |
| Q4 | Time Dilation Effect, Lorentz Transformation | A spaceship and a comet are moving towards each other, with speeds of and relative to the ground, respectively. From the ground’s perspective, they will collide in 5 s. Questions: (1) What is the velocity of the comet as seen from the spaceship? (2) How much time will pass on the spaceship’s clock before the collision? | ![]() |
| Q5 | Gauss’s Law in a Medium, Gauss’s Law in a Vacuum, Superposition of Electric Fields | A charged metallic sphere with a charge of and radius is surrounded by a layer of isotropic uniform medium with a relative permittivity , extending to a radius . Find the magnitude of the electric field inside the medium and the surface charge density on the inner surface of the medium. | ![]() |
| Q6 | Faraday’s Law of Electromagnetic Induction, Motional EMF, Induced EMF | A metal frame COD, bent at an angle , lies in a plane perpendicular to a magnetic field. A conductor rod MN moves to the right with a constant velocity along the frame and is perpendicular to side OD. The velocity is also perpendicular to MN. At , . The magnetic field is uniform and . Find the magnitude of the induced EMF in the frame. | ![]() |
| Kind of Samples | Negative Samples | Positive Samples |
|---|---|---|
| Prompt templates | The following is a college-level physics problem: “<Problem>” A reference answer in LaTeX format is as follows: “<Reference Answer>” The thought process of the sample solution is as follows: “<CoT of Reference Answer>” <Set Errors and Reasons> The following is his thought process: “<Erroneous CoT>” Please mimic the student’s thought process to provide the complete solution to this problem in LaTeX format. | The following is a college-level physics problem: “<Problem>” A reference answer in LaTeX format is as follows: “<Reference Answer>” The thought process of the sample solution is as follows: “<CoT of Reference Answer>” Student’s thought process is the same as reference answer. Please mimic the student’s thought process to provide the complete solution to this problem in LaTeX format. |
| Problem Number | Causes of Errors for Incorrect Samples |
|---|---|
| Q1 | The initial and final accelerations are to be averaged directly for computation. The vertical hanging part of the rope is to be considered, while the horizontal section on the table is to be neglected. The horizontal section on the table is to be considered, while the vertical hanging part is to be neglected. |
| Q2 | The treatment of the tension in the rope is equivalent to the object’s gravity. Both the misjudgment of the direction of velocity and the assumption that the direction of acceleration is equivalent to the direction of the fixed pulley’s motion constitute primary errors. The rotational kinetic energy of the pulley is neglected while calculating mechanical energy, with only the object’s kinetic energy being considered. |
| Q3 | The collision was elastic; energy loss during the collision was neglected. The free end of the spring was mistaken for the equilibrium point. Computational errors were made in calculating the phase or angular frequency. |
| Q4 | The ground reference frame was confused with the spaceship reference frame. It was assumed that the situation observed simultaneously on the ground for the spaceship and the comet also happens simultaneously in the spaceship reference frame. |
| Q5 | The medium was treated as a vacuum. The relative permittivity was mistaken for the absolute permittivity. The medium was assumed to be a conductor. The electric displacement field was confused with the electric field strength. |
| Q6 | The induced electromotive force was confused with the motional electromotive force. The motional electromotive force was mistaken for the induced electromotive force. Errors were made in the time derivative of magnetic flux, and the time variation in magnetic field intensity was neglected. |
| Prompt | Template |
|---|---|
| One-Shot | The LaTeX text for the reference answer is: ‘‘‘<Reference Answer 1>’’’ The student’s response is as follows: ‘‘‘<Sample>’’’ Please evaluate the student’s answer by considering the reference answer. |
| Few-Shot | The LaTeX text for the “Solution 1” reference answer is: ‘‘‘<Reference Answer 1>’’’ The LaTeX text for the “Solution 2” reference answer is: ‘‘‘<Reference Answer 2>’’’ The student’s response is as follows: ‘‘‘<Sample>’’’ Please evaluate the student’s answer by considering both reference answers. |
| CoT | The LaTeX text for the reference answer is: ‘‘‘<Reference Answer 1>’’’ The student’s response is as follows: ‘‘‘<Sample>’’’ Please evaluate the student’s answer by considering the reference answer, and think through the following steps: ‘‘‘<CoT Prompt>’’’ |
| ToT | The LaTeX text for the “Solution 1” reference answer is: ‘‘‘<Reference Answer 1>’’’ The LaTeX text for the “Solution 2” reference answer is: ‘‘‘<Reference Answer 2>’’’ The student’s response is as follows: ‘‘‘<Sample>’’’ Please evaluate the student’s answer by considering both reference answers, and think through the following steps: ‘‘‘<ToT Prompt>’’’ |
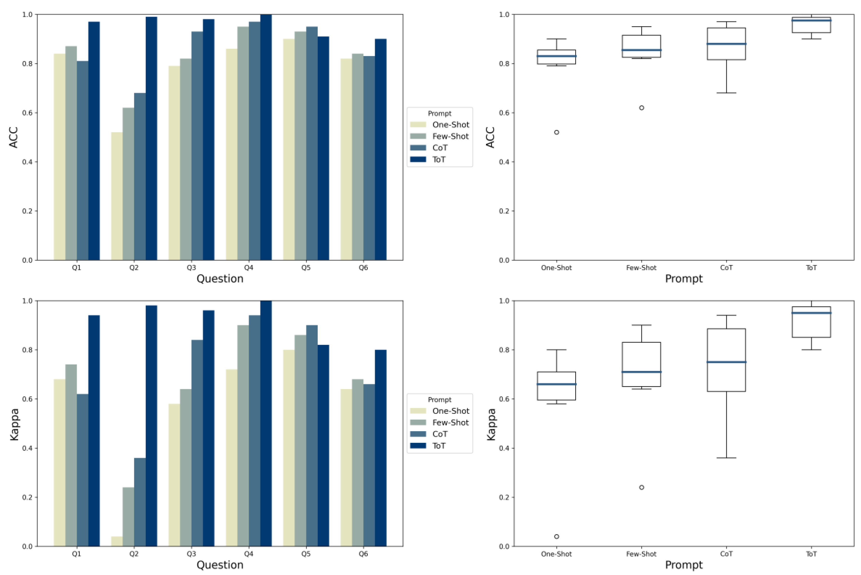
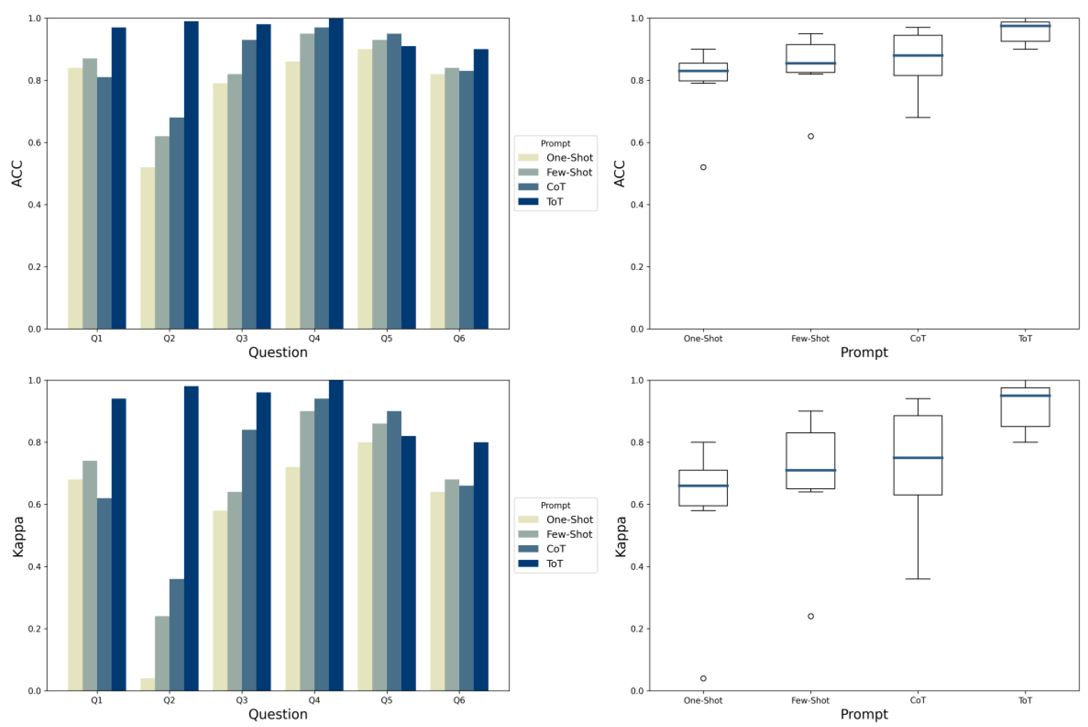
| Question | Prompt | ACC | Kappa |
|---|---|---|---|
| Q1 | One-Shot | 0.84 | 0.68 |
| Few-Shot | 0.87 | 0.74 | |
| CoT | 0.81 | 0.62 | |
| ToT | 0.97 | 0.94 | |
| Q2 | One-Shot | 0.52 | 0.04 |
| Few-Shot | 0.62 | 0.24 | |
| CoT | 0.68 | 0.36 | |
| ToT | 0.99 | 0.98 | |
| Q3 | One-Shot | 0.79 | 0.58 |
| Few-Shot | 0.82 | 0.64 | |
| CoT | 0.93 | 0.84 | |
| ToT | 0.98 | 0.96 | |
| Q4 | One-Shot | 0.86 | 0.72 |
| Few-Shot | 0.95 | 0.90 | |
| CoT | 0.97 | 0.94 | |
| ToT | 1.00 | 1.00 | |
| Q5 | One-Shot | 0.90 | 0.80 |
| Few-Shot | 0.93 | 0.86 | |
| CoT | 0.95 | 0.90 | |
| ToT | 0.91 | 0.82 | |
| Q6 | One-Shot | 0.82 | 0.64 |
| Few-Shot | 0.84 | 0.68 | |
| CoT | 0.83 | 0.66 | |
| ToT | 0.90 | 0.80 |
| Prompt | Variance of ACC | Variance of Kappa |
|---|---|---|
| One-Shot | 0.0155 | 0.0622 |
| Few-Shot | 0.0116 | 0.0466 |
| CoT | 0.0101 | 0.0397 |
| ToT | 0.0015 | 0.0061 |
| Prompt | ACC | Relative Difference in ACC | Kappa | Relative Difference in Kappa | ||
|---|---|---|---|---|---|---|
| ERNIEBot | GPT | ERNIEBot | GPT | |||
| One-Shot | 0.82 | 0.89 | 0.09 | 0.64 | 0.78 | 0.22 |
| Few-Shot | 0.84 | 0.92 | 0.10 | 0.68 | 0.84 | 0.24 |
| CoT | 0.83 | 0.85 | 0.02 | 0.66 | 0.7 | 0.06 |
| ToT | 0.9 | 0.93 | 0.03 | 0.8 | 0.86 | 0.07 |
Disclaimer/Publisher’s Note: The statements, opinions and data contained in all publications are solely those of the individual author(s) and contributor(s) and not of MDPI and/or the editor(s). MDPI and/or the editor(s) disclaim responsibility for any injury to people or property resulting from any ideas, methods, instructions or products referred to in the content. |
© 2025 by the authors. Licensee MDPI, Basel, Switzerland. This article is an open access article distributed under the terms and conditions of the Creative Commons Attribution (CC BY) license (https://creativecommons.org/licenses/by/4.0/).
Share and Cite
Wei, Y.; Zhang, R.; Zhang, J.; Qi, D.; Cui, W. Research on Intelligent Grading of Physics Problems Based on Large Language Models. Educ. Sci. 2025, 15, 116. https://doi.org/10.3390/educsci15020116
Wei Y, Zhang R, Zhang J, Qi D, Cui W. Research on Intelligent Grading of Physics Problems Based on Large Language Models. Education Sciences. 2025; 15(2):116. https://doi.org/10.3390/educsci15020116
Chicago/Turabian StyleWei, Yuhao, Rui Zhang, Jianwei Zhang, Dizhi Qi, and Wenqian Cui. 2025. "Research on Intelligent Grading of Physics Problems Based on Large Language Models" Education Sciences 15, no. 2: 116. https://doi.org/10.3390/educsci15020116
APA StyleWei, Y., Zhang, R., Zhang, J., Qi, D., & Cui, W. (2025). Research on Intelligent Grading of Physics Problems Based on Large Language Models. Education Sciences, 15(2), 116. https://doi.org/10.3390/educsci15020116







