Log-Based Analysis of Creativity in the Context of Computational Thinking
Abstract
1. Introduction
- What are the associations between computational creativity and game level?
- What are the associations between computational creativity and grade level by group?
- What are the associations between computational creativity and CT measures?
- How do computational creativity measures characterize students?
2. Materials and Methods
2.1. The Learning Environment: CodeMonkey
2.2. Sample and Dataset
2.3. Research Variables and Analysis
2.3.1. Personal Characteristics
- Grade—the student’s grade level, spanning from first grade to twelfth grade. Each student self-reported their grade level during the game registration process. Below is the distribution of students: first grade—5, second grade—9, third grade—14, fourth grade—16, fifth grade—21, sixth grade—14, seventh grade—12, eighth grade—8, ninth grade—7, tenth grade—1, eleventh grade—2, twelfth grade—2. Please note that the statistical analysis for this variable was performed on two groups, grades 1–3, including 28 students, and grades 4–12, including 84 students. The grouping is explained in Section 3.2.
2.3.2. Computational Thinking
- Solution Attempts [#]—the number of solutions submitted, including correct and incorrect ones.
- Max Star [1–3]—the highest score (number of stars) achieved.
- Concept Utilization [0/1]—calculated by checking whether the level-related CT concept commands were used in the submitted solution. For example, in a level related to the concept of loops, we examined if the proposed solution contained the correct commands, i.e., “for”, “.times”, or “until”.
2.3.3. Computational Creativity
- Fluency—the number of all correct solutions submitted by the student. Note that this variable is seemingly related to the CT variable Solution Attempts, as both rely on the same student activity, where Fluency counts part of the submissions that are counted in Solution Attempts. However, we believe that they account, a priori, for different structures; while Solution Attempts refers to the overall solution process, from start to finish, which is required to move on to the next challenge, Fluency refers to the submission of multiple correct submissions, which is not required—not even mentioned—during this process. These two variables may stem from different motivations. Indeed, using the very same operationalization in a similar learning environment for CT, these two variables were not associated with each other (Hershkovitz et al., 2019).
- Flexibility—the number of unique solutions (string types) the student provided.
- Originality—the average frequency of the student’s correct solutions among all correct solutions for each level. This provides a measure of how unique a student’s solution is. To facilitate the interpretation of the results, we subtracted the frequency value from 1. That is, the higher its value, the more original the solution (i.e., higher originality = less frequent solutions and vice versa).
- Elaboration—the number of baskets included in the solution string, averaged across all the solutions.
3. Results
3.1. Associations Between Computational Creativity and Game Progression (RQ1)
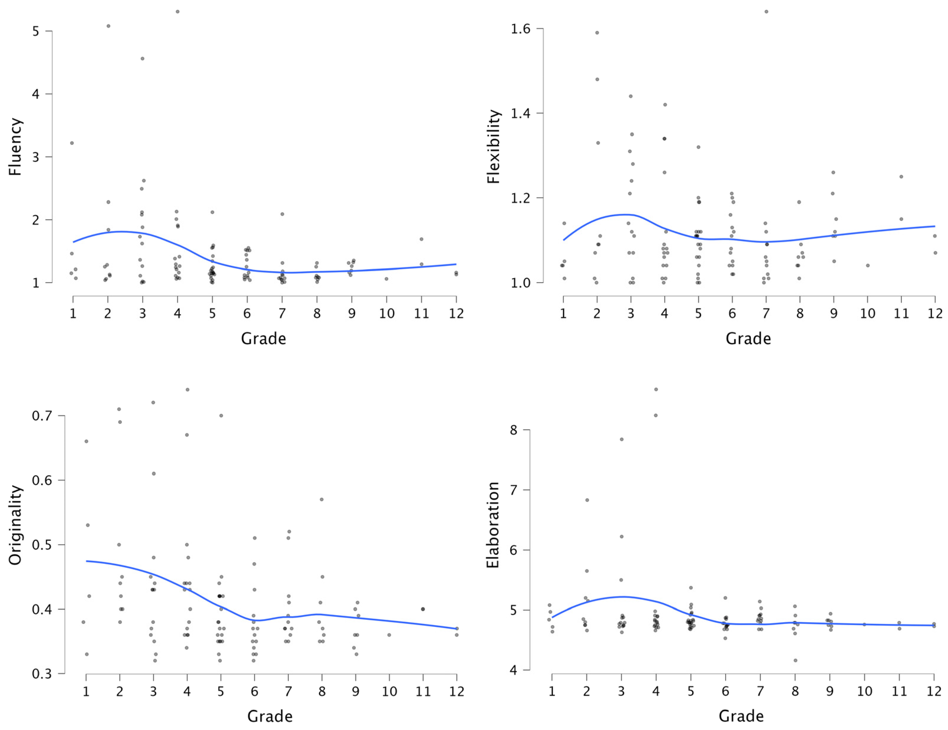
3.2. Associations Between Computational Creativity and Grade Level by Group (RQ2)
3.3. Associations Between Computational Creativity and CT Measures (RQ3)
3.4. Characteristics of Students Based on Computational Creativity (RQ4)
4. Discussion
4.1. Computational Creativity Increases Despite Game Mechanism, Difficulty Level
4.2. Different Dimensions of Creativity Play Different Roles in Learning
5. Limitations
6. Implications
Author Contributions
Funding
Institutional Review Board Statement
Informed Consent Statement
Data Availability Statement
Conflicts of Interest
References
- Agus Kurniawan, D., Sari, N., Hidayusa Wiza, O., & Eka Putri, Y. (2020). Investigation of students’ psychology: The relationship among students’ attitudes, persistence, creativity, and tolerance toward natural science subjects. Universal Journal of Educational Research, 8, 1155–1166. [Google Scholar] [CrossRef]
- Alves-Oliveira, P., Arriaga, P., Xavier, C., Hoffman, G., & Paiva, A. (2022). Creativity landscapes: Systematic review spanning 70 years of creativity interventions for children. The Journal of Creative Behavior, 56, 16–40. [Google Scholar] [CrossRef]
- Anthony, K., & Frazier, W. (2009). Teaching students to create indiscovered ideas. Science Scope, 33, 20–27. [Google Scholar]
- Barbot, B., Besançon, M., & Lubart, T. (2015). Creative potential in educational settings: Its nature, measure, and nurture. Education 3-13, 43, 371–381. [Google Scholar] [CrossRef]
- Batey, M., & Furnham, A. (2006). Creativity, intelligence, and personality: A critical review of the scattered literature. Genetic, Social, and General Psychology Monographs, 1324, 355–429. [Google Scholar] [CrossRef] [PubMed]
- Beghetto, R. A. (2019). Creativity in Classrooms. In J. C. Kaufman, & R. J. Sternberg (Eds.), The Cambridge handbook of creativity (pp. 587–606). Cambridge University Press. [Google Scholar]
- Bennett, V. E., Koh, K., & Repenning, A. (2013). Computing creativity: Divergence in computational thinking. In Proceeding of the 44th ACM technical symposium on computer science education - SIGCSE ’13 (p. 359). ACM Press. [Google Scholar]
- Bers, M. U., Strawhacker, A., & Sullivan, A. (2022). The state of the field of computational thinking in early childhood education (Vol. 274). OECD education working papers. OECD Publishing. [Google Scholar]
- Bocconi, S., Chioccariello, A., Dettori, G., Ferrari, A., Engelhardt, K., Kampylis, P., & Punie, Y. (2016). Developing computational thinking in compulsory education. Joint Research Centre. [Google Scholar]
- Boom, K. D., Bower, M., Arguel, A., Siemon, J., & Scholkmann, A. (2018). Relationship between computational thinking and a measure of intelligence as a general problem-solving ability. In Proceedings of the annual conference on innovation and technology in computer science education, ITiCSE (Vol. 18, pp. 206–211). ACM. [Google Scholar]
- Brennan, K. (2022). A case for why: Society, school, self. In S.-C. Kong, & H. Abelson (Eds.), Computational thinking education in K–12. The MIT Press. [Google Scholar]
- Brennan, K., & Resnick, M. (2012). New frameworks for studying and assessing the development of computational thinking. In C. A. Tyson, & A. F. Ball (Eds.), Proceedings of the 2012 annual meeting of the american educational research association (pp. 1–25). American Educational Research Association. [Google Scholar]
- Chao, J.-Y., Liu, C.-H., & Chen, J.-Y. (2014). The influence of courses integrating Atayal culture and Lego Dacta on the programming ability and creativity of Aboriginal children. Global Journal of Computers & Technology, 1, 34–43. [Google Scholar]
- Chou, E., Fossati, D., & Hershkovitz, A. (2024). A code distance approach to measure originality in computer programming. In Proceedings of the 16th international conference on computer supported education (pp. 541–548). SCITEPRESS—Science and Technology Publications. [Google Scholar]
- Cutumisu, M., Adams, C., & Lu, C. (2019). A scoping review of empirical research on recent computational thinking assessments. Journal of Science Education and Technology, 28, 651–676. [Google Scholar] [CrossRef]
- Dagiene, V., Futschek, G., & Stupuriene, G. (2019). Creativity in solving short tasks for learning computational thinking. Constructivist Foundations, 14, 382–396. [Google Scholar]
- Daley, N., & Rawson, K. A. (2019). Elaborations in expository text impose a substantial time cost but do not enhance learning. Educational Psychology Review, 31, 197–222. [Google Scholar] [CrossRef]
- Dasgupta, S., Hale, W., Monroy-Hernández, A., & Hill, B. M. (2016). Remixing as a pathway to computational thinking. In Proceedings of the 19th ACM conference on computer-supported cooperative work & social computing—CSCW ’16 (pp. 1436–1447). ACM Press. [Google Scholar]
- Deschryver, M. D., & Yadav, A. (2015). Creative and computational thinking in the context of new literacies: Working with teachers to scaffold complex technology-mediated approaches to teaching and learning. Journal of Technology and Teacher Education, 23, 411–431. [Google Scholar]
- Dwivedi, R. K., Bisen, S., Yadav, M., & Yadav, A. (2024). Coding and computational thinking: Empowering students for the digital age. In M. Bhatia, & M. Mushtaq (Eds.), Navigating innovative technologies and intelligent systems in modern education (pp. 10–24). IGI Global. [Google Scholar]
- Eguíluz, A., Guenaga, M., Garaizar, P., & Olivares-Rodríguez, C. (2017). Exploring the progression of early programmers in a set of computational thinking challenges via clickstream analysis. IEEE Transactions on Emerging Topics in Computing, 8, 256–261. [Google Scholar] [CrossRef]
- Emerson, A., Smith, A., Smith, C., Rodríguez, F., Wiebe, E., Mott, B., Boyer, K., & Lester, J. (2019). Predicting early and often: Predictive student modeling for block-based programming environments. In C. F. Lynch, A. Merceron, M. Desmarais, & R. Nkambou (Eds.), Proceedings of the 12th international conference on educational data mining (pp. 39–48). International Educational Data Mining Society. [Google Scholar]
- Espedido, A., & Searle, B. J. (2018). Goal difficulty and creative performance: The mediating role of stress appraisal. Human Performance, 31, 179–196. [Google Scholar] [CrossRef]
- Fanchamps, N., Zapata-Cáceres, M., Martín-Barroso, E., & Van Gool, E. (2023). The importance of creativity in developing computational thinking in primary education. In Proceedings of the 7th APSCE international conference on computational thinking and STEM education 2023: CTE-STEM 2023 conference proceedings (pp. 98–99). Asia-Pacific Society for Computers in Education. [Google Scholar]
- Fragapane, V., & Standl, B. (2021). Work in progress: Creative coding and computer science education—From approach to concept. In 2021 IEEE global engineering education conference (EDUCON) (pp. 1233–1236). IEEE. [Google Scholar]
- Gal, T., & Hershkovitz, A. (2019, March 4–8). Different types of response-based feedback in mathematics: The case of textual and symbolic messages. ACM International Conference Proceeding Series, Tempe, AZ, USA. [Google Scholar]
- Große, C. S., & Renkl, A. (2006). Effects of multiple solution methods in mathematics learning. Learning and Instruction, 16, 122–138. [Google Scholar] [CrossRef]
- Grover, S., & Pea, R. (2013). Computational thinking in K–12: A review of the state of the field. Educational Researcher, 42, 38–43. [Google Scholar] [CrossRef]
- Grover, S., Pea, R., & Cooper, S. (2015). Designing for deeper learning in a blended computer science course for middle school students. Computer Science Education, 25, 199–237. [Google Scholar] [CrossRef]
- Guenaga, M., Eguíluz, A., Garaizar, P., & Gibaja, J. (2021). How do students develop computational thinking? Assessing early programmers in a maze-based online game. Computer Science Education, 31, 259–289. [Google Scholar] [CrossRef]
- Guilford, J. P. (1950). Creativity. The American Psychologist, 5, 444–454. [Google Scholar] [CrossRef] [PubMed]
- Haleva, L., Hershkovitz, A., & Tabach, M. (2021). Students’ activity in an online learning environment for mathematics: The role of thinking levels. Journal of Educational Computing Research, 59, 686–712. [Google Scholar] [CrossRef]
- Heintz, F., Mannila, L., & Farnqvist, T. (2016, October 12–15). A review of models for introducing computational thinking, computer science and computing in K-12 education. IEEE Frontiers in Education Conference, FIE, Erie, PA, USA. [Google Scholar] [CrossRef]
- Hershkovitz, A., Sitman, R., Israel-Fishelson, R., Eguíluz, A., Garaizar, P., & Guenaga, M. (2019). Creativity in the acquisition of computational thinking. Interactive Learning Environments, 27, 628–644. [Google Scholar] [CrossRef]
- Israel-Fishelson, R., & Hershkovitz, A. (2019, June 18–23). Micro-persistence in the acquisition of computational thinking. Proceedings of the International Conference on Computational Thinking Education, Hong Kong, China. [Google Scholar]
- Israel-Fishelson, R., & Hershkovitz, A. (2020). Persistence in a game-based learning environment: The case of elementary school students learning computational thinking. Journal of Educational Computing Research, 58, 891–918. [Google Scholar] [CrossRef]
- Israel-Fishelson, R., & Hershkovitz, A. (2021). Micro-persistence and difficulty in a game-based learning environment for computational thinking acquisition. Journal of Computer Assisted Learning, 37, 839–850. [Google Scholar] [CrossRef]
- Israel-Fishelson, R., & Hershkovitz, A. (2022). Studying interrelations of computational thinking and creativity: A scoping review (2011–2020). Computers & Education, 176, 104353. [Google Scholar] [CrossRef]
- Israel-Fishelson, R., & Hershkovitz, A. (2024). Cultivating creativity improves middle school students’ computational thinking skills. Interactive Learning Environments, 32, 431–446. [Google Scholar] [CrossRef]
- Israel-Fishelson, R., Hershkovitz, A., Eguíluz, A., Garaizar, P., & Guenaga, M. (2021). The associations between computational thinking and creativity: The role of personal characteristics. Journal of Educational Computing Research, 58, 1415–1447. [Google Scholar] [CrossRef]
- Kafai, Y. B., & Proctor, C. (2021). A revaluation of computational thinking in K–12 education: Moving toward computational literacies. Educational Researcher, 51, 146–151. [Google Scholar] [CrossRef]
- Kaufman, J. C. (2012). Counting the muses: Development of the Kaufman domains of creativity scale (K-DOCS). Psychology of Aesthetics, Creativity, and the ArtsCreativity, and the Arts, 6, 298–308. [Google Scholar] [CrossRef]
- Kim, K. H. (2006). Is creativity unidimensional or multidimensional? Analyses of the Torrance Tests of Creative Thinking. Creativity Research Journal, 18, 251–259. [Google Scholar] [CrossRef]
- Knobelsdorf, M., & Romeike, R. (2008). Creativity as a pathway to computer science. ACM SIGCSE Bulletin, 40, 286. [Google Scholar] [CrossRef]
- Koh, K. H., Bennett, V., & Repenning, A. (2011). Computing indicators of creativity. In Proceedings of the 8th ACM conference on creativity and cognition—C&C ’11 (p. 357). ACM Press. [Google Scholar]
- Kolb, D. A. (1984). Experiential learning: Experience as the source of learning and development. Prentice Hall. [Google Scholar]
- Kong, S. (2019). Components and methods of evaluating computational thinking for fostering creative problem-solvers in senior primary school education. In S. Kong, & H. Abelson (Eds.), Computational thinking education (pp. 119–142). Springer. [Google Scholar]
- Kong, S.-C., Abelson, H., & Lai, M. (2022). Introduction to computational thinking education in K-12. In S.-C. Kong, & H. Abelson (Eds.), Computational thinking education in K–12 (pp. 1–10). The MIT Press. [Google Scholar]
- Kovalkov, A., Paassen, B., Segal, A., Pinkwart, N., & Gal, K. (2022). Automatic creativity measurement in scratch programs across modalities. IEEE Transactions on Learning Technologies, 14, 740–753. [Google Scholar] [CrossRef]
- Kupers, E., Lehmann-Wermser, A., McPherson, G., & van Geert, P. (2019). Children’s creativity: A theoretical framework and systematic review. Review of Educational Research, 89, 93–124. [Google Scholar] [CrossRef]
- Lindberg, R. S. N., Laine, T. H., & Haaranen, L. (2018). Gamifying programming education in K-12: A review of programming curricula in seven countries and programming games. British Journal of Educational Technology, 50(4), 1979–1995. [Google Scholar] [CrossRef]
- Lucas, B., & Venckuté, M. (2020). Creativity—A transversal skill for lifelong learning. An overview of existing concepts and practices: Literature review report (P. Kampylis, & R. Cachia, Eds.). EUR 30405 EN, Publications Office of the European Union. [Google Scholar]
- Lucas, B. J., & Nordgren, L. F. (2015). People underestimate the value of persistence for creative performance. Journal of Personality and Social Psychology, 109, 232–243. [Google Scholar] [CrossRef]
- Manske, S., & Hoppe, H. U. (2014). Automated indicators to assess the creativity of solutions to programming exercises. In Proceedings—IEEE 14th international conference on advanced learning technologies, ICALT (pp. 497–501). IEEE. [Google Scholar] [CrossRef]
- Nouri, J., Zhang, L., Mannila, L., & Norén, E. (2020). Development of computational thinking, digital competence and 21st century skills when learning programming in K-9. Education Inquiry, 11, 1–17. [Google Scholar] [CrossRef]
- OECD. (2021). PISA 2022 creative thinking framework (Third draft). OECD. [Google Scholar]
- Papert, S. (1980). Mindstorms: Children, computers, and powerful ideas. Basic Books. [Google Scholar]
- Peteranetz, M. S., Wang, S., Shell, D. F., Flanigan, A. E., & Soh, L. K. (2018, January). Examining the impact of computational creativity exercises on college computer science students’ learning, achievement, self-efficacy, and creativity. In SIGCSE 2018 proceedings of the 49th ACM technical symposium on computer science education (pp. 155–160). ACM. [Google Scholar] [CrossRef]
- Plucker, J. A., & Makel, M. C. (2010). Assessment of creativity. In J. C. Kaufman, & R. J. Sternberg (Eds.), The Cambridge handbook of creativity (pp. 48–73). Cambridge University Press. [Google Scholar]
- Procci, K., James, N., & Bowers, C. (2013). The effects of gender, age, and experience on game engagement. Proceedings of the Human Factors and Ergonomics Society, 57, 2132–2136. [Google Scholar] [CrossRef]
- Rich, P. J., Bartholomew, S., Daniel, D., Dinsmoor, K., Nielsen, M., Reynolds, C., Swanson, M., Winward, E., & Yauney, J. (2024). Trends in tools used to teach computational thinking through elementary coding. Journal of Research on Technology in Education, 56, 269–290. [Google Scholar] [CrossRef]
- Robinson, K. (2012). Out of our minds (S. K. Robinson, Ed.). John Wiley & Sons, Inc. [Google Scholar]
- Román-González, M., Moreno-León, J., & Robles, G. (2019). Combining assessment tools for a comprehensive evaluation of computational thinking interventions. In S. Kong, & H. Abelson (Eds.), Computational thinking education (pp. 79–98). Springer. [Google Scholar]
- Ruan, L. L., Patton, E. W., & Tissenbaum, M. (2017). Evaluations of programming complexity in App Inventor. In S. C. Kong, J. Sheldon, & K. Y. Li (Eds.), International conference on computational thinking education. The Education University of Hong Kong. [Google Scholar]
- Said-Metwaly, S., Noortgate, W. Van den, & Kyndt, E. (2017). Methodological issues in measuring creativity: A systematic literature review. Creativity. Theories – Research - Applications, 4, 276–301. [Google Scholar] [CrossRef]
- Seow, P., Looi, C., How, M., Wadhwa, B., & Wu, L. (2019). Educational policy and implementation of computational thinking and programming: Case study of Singapore. In S. Kong, & H. Abelson (Eds.), Computational thinking education (pp. 345–361). Springer. [Google Scholar]
- Shell, D. F., Hazley, M. P., Soh, L.-K., Dee Miller, L., Chiriacescu, V., & Ingraham, E. (2014). Improving learning of computational thinking using computational creativity exercises in a college CSI computer science course for engineers. In Proceedings of the 2014 IEEE frontiers in education conference (FIE) proceedings (pp. 1–7). IEEE. [Google Scholar]
- Snyder, H. T., Hammond, J. A., Grohman, M. G., & Katz-Buonincontro, J. (2019). Creativity measurement in undergraduate students from 1984–2013: A systematic review. Psychology of Aesthetics, Creativity, and the Arts, 13, 133–143. [Google Scholar] [CrossRef]
- Stein, B. S., Littlefield, J., Bransford, J. D., & Persampieri, M. (1984). Elaboration and knowledge acquisition. Memory & Cognition, 12, 522–529. [Google Scholar] [CrossRef]
- Tang, X., Yin, Y., Lin, Q., Hadad, R., & Zhai, X. (2020). Assessing computational thinking: A systematic review of empirical studies. Computers & Education, 148, 103798. [Google Scholar] [CrossRef]
- Theodore, W., Fossati, D., & Hershkovitz, A. (2024). Measuring creativity in computer programming: A clustering approach. In EDULEARN24 Proceedings (Vol. 1, pp. 7292–7301). IATED. [Google Scholar]
- Torrance, E. P. (1974). Torrance tests of creative thinking. Scholastic Testing Service. [Google Scholar]
- Tran, Y. (2019). Computational thinking equity in elementary classrooms: What third-grade students know and can do. Journal of Educational Computing Research, 57, 3–31. [Google Scholar] [CrossRef]
- Vahldick, A., Farah, P. R., Marcelino, M. J., & Mendes, A. J. (2020). A blocks-based serious game to support introductory computer programming in undergraduate education. Computers in Human Behavior Reports, 2, 100037. [Google Scholar] [CrossRef]
- Veale, T., & Cardoso, F. A. (Eds.). (2019). Computational creativity: The philosophy and engineering of autonomously creative systems. Springer. [Google Scholar]
- Ward, J. H. (1963). Hierarchical grouping to optimize an objective function. Journal of the American Statistical Association, 58, 236–244. [Google Scholar] [CrossRef]
- Weintrop, D., Wise Rutstein, D., Bienkowski, M., & McGee, S. (2021). Assessing computational thinking: An overview of the field. Computer Science Education, 31, 113–116. [Google Scholar] [CrossRef]
- Whalley, J., & Ogier, H. (2020). Paperclips, circles, and six-legged Spiders. In Proceedings of the twenty-second australasian computing education conference (pp. 11–20). ACM. [Google Scholar]
- World Economic Forum. (2023). Future of jobs report 2023. World Economic Forum. [Google Scholar]
- Yadav, A., & Cooper, S. (2017). Fostering creativity through computing. Communications of the ACM, 60, 31–33. [Google Scholar] [CrossRef]



| Grades 1–3 (N = 28) | Grades 4–12 (N = 83) | Mann–Whitney | p | Effect Size | |||
|---|---|---|---|---|---|---|---|
| M | SD | M | SD | U | |||
| Fluency | 1.79 | 1.03 | 1.31 | 0.52 | 1458.5 | <0.05 | 0.26 |
| Flexibility | 1.16 | 0.16 | 1.11 | 0.1 | 1278.5 | 0.43 | 0.1 |
| Originality | 0.46 | 0.12 | 0.4 | 0.08 | 1555.5 | <0.05 | 0.34 |
| Elaboration | 5.11 | 0.73 | 4.9 | 0.58 | 13,325.5 | 0.24 | 0.15 |
| Solution Attempts | Max Stars | Concept Utilization | Fluency | Flexibility | Originality | Elaboration | |
|---|---|---|---|---|---|---|---|
| Max Star | ρ = −0.08 p = 0.39 | – | – | – | – | – | – |
| Concept Utilization | ρ = −0.42 *** | ρ = 0.52 *** | – | – | – | – | – |
| Fluency | ρ = 0.55 *** | ρ = 0.38 *** | ρ = 0.16 p = 0.09 | – | – | – | – |
| Flexibility | ρ = 0.39 *** | ρ = 0.48 *** | ρ = −0.2 * | ρ = 0.78 *** | – | – | – |
| Originality | ρ = 0.44 *** | ρ = −0.48 *** | ρ = −0.67 *** | ρ = 0.16 p = 0.09 | ρ = 0.08 p = 0.43 | – | – |
| Elaboration | ρ = 0.29 ** | ρ = −0.46 *** | ρ = −0.64 *** | ρ = 0.01 p = 0.89 | ρ = 0.01 p = 0.92 | ρ = 0.4 *** | – |
| Cluster | N | Fluency | Flexibility | Originality | Elaboration |
|---|---|---|---|---|---|
| 1 | 41 | −0.426 | −0.652 | 0.574 | 0.400 |
| 2 | 15 | 1.572 | 0.343 | −0.419 | −0.270 |
| 3 | 32 | −0.346 | −0.183 | −0.653 | −0.215 |
| 4 | 23 | 0.216 | 1.193 | 0.158 | −0.237 |
| Measures | Clustered Group | F | p | Post Hoc | |||
|---|---|---|---|---|---|---|---|
| 1 | 2 | 3 | 4 | ||||
| N | 41 | 15 | 32 | 23 | |||
| Solution Attempts | 3.76 (1.81) | 6.34 (4.35) | 3.2 (1.48) | 5.6 (2.32) | 9.3 | <0.001 | 1 < 2, 1 < 4, 3 < 2, 3 < 4 |
| Max Star | 2.7 (0.35) | 2.99 (0.02) | 2.97 (0.06) | 2.98 (0.05) | 15.7 | <0.001 | 1 < 2, 1 < 3, 1 < 4 |
| Concept Utilization | 0.86 (0.16) | 0.96 (0.04) | 0.95 (0.03) | 0.90 (0.06) | 6.4 | <0.001 | 1 < 2, 1 < 3 |
Disclaimer/Publisher’s Note: The statements, opinions and data contained in all publications are solely those of the individual author(s) and contributor(s) and not of MDPI and/or the editor(s). MDPI and/or the editor(s) disclaim responsibility for any injury to people or property resulting from any ideas, methods, instructions or products referred to in the content. |
© 2024 by the authors. Licensee MDPI, Basel, Switzerland. This article is an open access article distributed under the terms and conditions of the Creative Commons Attribution (CC BY) license (https://creativecommons.org/licenses/by/4.0/).
Share and Cite
Israel-Fishelson, R.; Hershkovitz, A. Log-Based Analysis of Creativity in the Context of Computational Thinking. Educ. Sci. 2025, 15, 3. https://doi.org/10.3390/educsci15010003
Israel-Fishelson R, Hershkovitz A. Log-Based Analysis of Creativity in the Context of Computational Thinking. Education Sciences. 2025; 15(1):3. https://doi.org/10.3390/educsci15010003
Chicago/Turabian StyleIsrael-Fishelson, Rotem, and Arnon Hershkovitz. 2025. "Log-Based Analysis of Creativity in the Context of Computational Thinking" Education Sciences 15, no. 1: 3. https://doi.org/10.3390/educsci15010003
APA StyleIsrael-Fishelson, R., & Hershkovitz, A. (2025). Log-Based Analysis of Creativity in the Context of Computational Thinking. Education Sciences, 15(1), 3. https://doi.org/10.3390/educsci15010003
