Trends and Gender Disparities in Grades and Grade Anomalies among Bioscience and Health-Related Major Students before, during, and after COVID-19 Remote Instruction
Abstract
1. Introduction
2. Literature Review
2.1. Grade Anomaly Concept and the Rationale
2.2. COVID-19 Pandemic and Student Learning
2.3. Gender Disparities in STEM Education and Career Outcomes
- RQ1.
- Do grades or grade anomalies differ before, during, and after remote instruction due to the COVID-19 pandemic?
- RQ2.
- Are there gender differences in grades or grade anomalies, and do they differ before, during, and after remote instruction due to the COVID-19 pandemic?
3. Methodology
3.1. Participants
3.2. Course Selection
3.3. Measures
3.3.1. Course Grade
3.3.2. Grade Anomaly
3.3.3. Analysis
4. Results
4.1. Biological Science Courses
4.2. Chemistry Courses
4.3. Math Courses
4.4. Physics Courses
5. Discussion
5.1. Do Grades or Grade Anomalies Differ before, during, and after Remote Instruction Due to the COVID-19 Pandemic?
5.2. Are There Gender Differences in Grades or Grade Anomalies, and Do They Differ before, during, and after Remote Instruction Due to the COVID-19 Pandemic?
6. Conclusion and Future Research
Author Contributions
Funding
Institutional Review Board Statement
Informed Consent Statement
Data Availability Statement
Conflicts of Interest
Appendix A. Courses, Majors, and Composite Grades for Women and Men
| Major | Calc 1 | Bio 1 | Bio 2 | Chem 1 | Chem 2 | Gen | OC 1 | OC 2 | HP | BC | Phys 1 | Phys 2 |
|---|---|---|---|---|---|---|---|---|---|---|---|---|
| Biological Sciences | R | R | R | R | R | R | R | R | O | R | R | R |
| Computational Biology | R | R | R | R | R | R | R | R | O | |||
| Ecology and Evolution | R | R | R | R | R | R | R | R | R | R | R | |
| Microbiology | R | R | R | R | R | R | R | R | O | R | R | R |
| Molecular Biology | R | R | R | R | R | R | R | R | R | R | ||
| Neuroscience | R | R | R | R | R | R | R | R | R | R | R | |
| Pharmacy | R | R | R | R | R | R | R | R | O | O | ||
| Rehabilitation Science | R | R | R |
| Course | Course Type | 1st | 2nd | 3rd | 4th | ≥5th |
|---|---|---|---|---|---|---|
| Calculus 1 | Pre-Remote | 68 | 21 | 6 | 4 | 1 |
| Remote | 63 | 30 | 6 | 0 | 1 | |
| Post-Remote | 38 | 36 | 18 | 6 | 2 | |
| Biology 1 | Pre-Remote | 90 | 9 | 1 | 0 | 0 |
| Remote | 82 | 16 | 1 | 1 | 0 | |
| Post-Remote | 69 | 20 | 7 | 2 | 2 | |
| Biology 2 | Pre-Remote | 71 | 24 | 4 | 1 | 0 |
| Remote | 58 | 35 | 5 | 1 | 1 | |
| Post-Remote | 40 | 46 | 10 | 4 | 0 | |
| Chemistry 1 | Pre-Remote | 93 | 6 | 1 | 0 | 0 |
| Remote | 86 | 12 | 2 | 0 | 0 | |
| Post-Remote | 69 | 21 | 8 | 1 | 1 | |
| Chemistry 2 | Pre-Remote | 77 | 19 | 3 | 1 | 0 |
| Remote | 65 | 28 | 6 | 0 | 1 | |
| Post-Remote | 42 | 41 | 13 | 3 | 1 | |
| Organic Chemistry 1 | Pre-Remote | 5 | 81 | 11 | 2 | 1 |
| Remote | 6 | 85 | 7 | 2 | 0 | |
| Post-Remote | 8 | 68 | 20 | 3 | 1 | |
| Organic Chemistry 2 | Pre-Remote | 2 | 63 | 29 | 5 | 1 |
| Remote | 3 | 71 | 19 | 5 | 2 | |
| Post-Remote | 4 | 52 | 34 | 8 | 2 | |
| Genetics | Pre-Remote | 4 | 54 | 33 | 8 | 1 |
| Remote | 3 | 55 | 37 | 4 | 1 | |
| Post-Remote | 4 | 28 | 49 | 15 | 4 | |
| Physics 1 | Pre-Remote | 13 | 29 | 51 | 6 | 1 |
| Remote | 13 | 34 | 49 | 3 | 1 | |
| Post-Remote | 14 | 33 | 46 | 5 | 2 | |
| Physics 2 | Pre-Remote | 4 | 23 | 59 | 12 | 2 |
| Remote | 4 | 20 | 69 | 5 | 2 | |
| Post-Remote | 2 | 20 | 63 | 12 | 3 | |
| Human Physiology | Pre-Remote | 2 | 20 | 61 | 15 | 2 |
| Remote | 1 | 17 | 71 | 10 | 1 | |
| Post-Remote | 1 | 9 | 53 | 33 | 4 | |
| Biochemistry | Pre-Remote | 1 | 8 | 62 | 24 | 5 |
| Remote | 1 | 10 | 80 | 6 | 3 | |
| Post-Remote | 0 | 8 | 63 | 22 | 7 |
| Pre-Remote | Remote | Post-Remote | |||||||
|---|---|---|---|---|---|---|---|---|---|
| Course | N | Mean | SD | N | Mean | SD | N | Mean | SD |
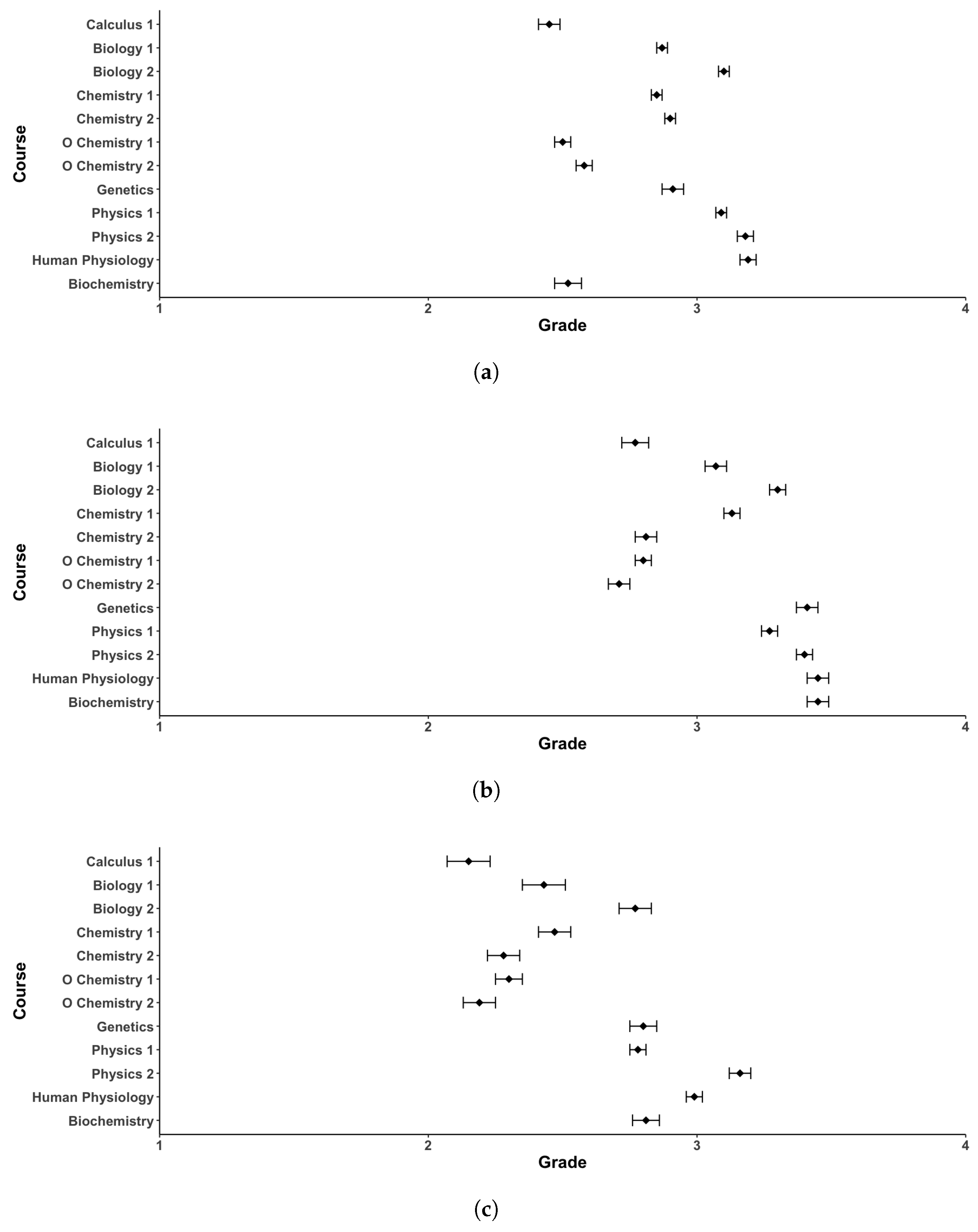
| Calculus 1 | 821 | 2.45 | 1.22 | 363 | 2.77 | 0.90 | 288 | 2.15 | 1.40 |
| Biology 1 | 1648 | 2.87 | 1.01 | 471 | 3.07 | 0.83 | 212 | 2.43 | 1.13 |
| Biology 2 | 1415 | 3.10 | 0.78 | 524 | 3.30 | 0.77 | 202 | 2.77 | 0.87 |
| Introductory Chemistry 1 | 1843 | 2.85 | 0.91 | 549 | 3.13 | 0.71 | 255 | 2.47 | 1.10 |
| Introductory Chemistry 2 | 1575 | 2.90 | 0.88 | 555 | 2.81 | 0.84 | 305 | 2.28 | 1.09 |
| Organic Chemistry 1 | 1647 | 2.50 | 1.10 | 741 | 2.80 | 0.90 | 522 | 2.30 | 1.15 |
| Organic Chemistry 2 | 1107 | 2.58 | 1.11 | 608 | 2.71 | 1.02 | 444 | 2.19 | 1.24 |
| Genetics | 756 | 2.91 | 1.05 | 364 | 3.41 | 0.75 | 377 | 2.80 | 1.02 |
| Physics 1 | 1167 | 3.09 | 0.79 | 637 | 3.27 | 0.77 | 893 | 2.78 | 0.95 |
| Physics 2 | 746 | 3.18 | 0.81 | 527 | 3.40 | 0.72 | 623 | 3.16 | 0.94 |
| Human Physiology | 901 | 3.19 | 0.89 | 407 | 3.45 | 0.74 | 799 | 2.99 | 0.98 |
| Biochemistry | 523 | 2.52 | 1.08 | 399 | 3.45 | 0.78 | 564 | 2.81 | 1.25 |
| Pre-Remote | Remote | Post-Remote | |||||||
|---|---|---|---|---|---|---|---|---|---|
| Course | N | Mean | SD | N | Mean | SD | N | Mean | SD |
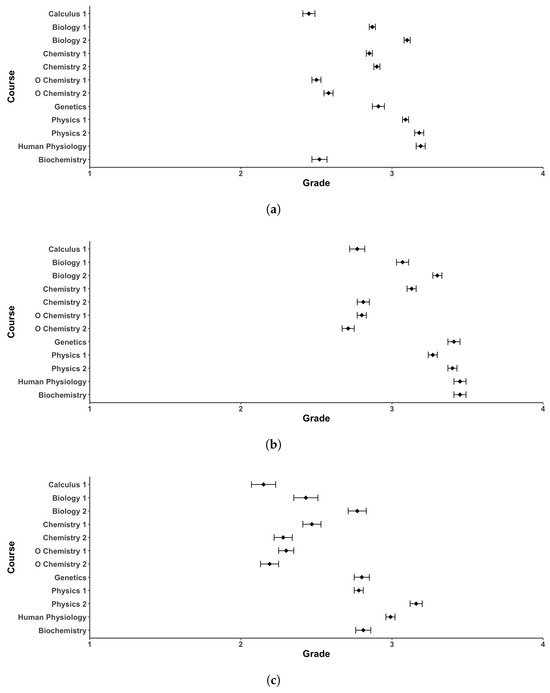
| Calculus 1 | 821 | −0.86 | 1.72 | 363 | −0.58 | 0.90 | 288 | −1.01 | 1.54 |
| Biology 1 | 1648 | −0.65 | 1.10 | 471 | −0.42 | 0.73 | 212 | −0.70 | 1.09 |
| Biology 2 | 1415 | −0.36 | 0.65 | 524 | −0.13 | 0.63 | 202 | −0.52 | 0.68 |
| Introductory Chemistry 1 | 1843 | −0.73 | 1.40 | 549 | −0.35 | 0.66 | 255 | −0.74 | 1.02 |
| Introductory Chemistry 2 | 1575 | −0.56 | 0.80 | 555 | −0.65 | 0.68 | 305 | −0.99 | 0.89 |
| Organic Chemistry 1 | 1647 | −0.98 | 0.98 | 741 | −0.77 | 0.76 | 522 | −1.08 | 0.99 |
| Organic Chemistry 2 | 1107 | −0.91 | 0.94 | 608 | −0.88 | 0.85 | 444 | −1.23 | 1.05 |
| Genetics | 756 | −0.55 | 0.87 | 364 | −0.13 | 0.61 | 377 | −0.61 | 0.79 |
| Physics 1 | 1167 | −0.35 | 0.61 | 637 | −0.24 | 0.61 | 893 | −0.64 | 0.79 |
| Physics 2 | 764 | −0.30 | 0.63 | 527 | −0.18 | 0.62 | 623 | −0.35 | 0.73 |
| Human Physiology | 901 | −0.32 | 0.74 | 407 | −0.14 | 0.63 | 799 | −0.56 | 0.81 |
| Biochemistry | 523 | −0.96 | 0.89 | 399 | −0.13 | 0.66 | 564 | −0.67 | 1.00 |
| Women | Men | |||||||||||
|---|---|---|---|---|---|---|---|---|---|---|---|---|
| AGA | Grade | AGA | Grade | Cohen’s d | ||||||||
| Course | N | Mean | SD | Mean | SD | N | Mean | SD | Mean | SD | AGA | Grade |
| Calculus 1 | 385 | −0.79 | 1.48 | 2.58 | 1.11 | 436 | -0.92 | 1.90 | 2.34 | 1.30 | 0.07 | 0.20 ** |
| Biology 1 | 1077 | −0.70 | 1.17 | 2.86 | 1.02 | 571 | −0.55 | 0.92 | 2.88 | 1.00 | −0.13 * | −0.02 |
| Biology 2 | 898 | −0.39 | 0.65 | 3.09 | 0.65 | 517 | −0.30 | 0.63 | 3.11 | 0.79 | −0.13 * | −0.03 |
| Introductory Chemistry 1 | 1166 | −0.79 | 1.38 | 2.86 | 0.87 | 677 | −0.61 | 1.41 | 2.82 | 0.97 | −0.13 ** | 0.04 |
| Introductory Chemistry 2 | 973 | −0.58 | 0.76 | 2.94 | 0.86 | 602 | −0.53 | 0.86 | 2.85 | 0.91 | −0.06 | 0.10 |
| Organic Chemistry 1 | 1058 | −1.04 | 0.99 | 2.47 | 1.12 | 589 | −0.87 | 0.94 | 2.57 | 1.07 | −0.18 *** | −0.10 |
| Organic Chemistry 2 | 687 | −0.96 | 0.92 | 2.55 | 1.07 | 420 | −0.83 | 0.98 | 2.64 | 1.17 | −0.13 * | −0.08 |
| Genetics | 449 | −0.47 | 0.76 | 3.02 | 0.94 | 307 | −0.67 | 1.00 | 2.75 | 1.18 | 0.23 ** | 0.26 *** |
| Physics 1 | 731 | −0.41 | 0.60 | 3.06 | 0.76 | 435 | −0.26 | 0.63 | 3.13 | 0.84 | −0.25 *** | −0.09 |
| Physics 2 | 457 | −0.32 | 0.61 | 3.19 | 0.77 | 289 | −0.27 | 0.67 | 3.15 | 0.87 | −0.07 | 0.04 |
| Human Physiology | 568 | −0.36 | 0.76 | 3.18 | 0.90 | 333 | −0.27 | 0.71 | 3.20 | 0.87 | −0.12 | −0.03 |
| Biochemistry | 311 | −0.94 | 0.86 | 2.59 | 1.04 | 212 | −0.99 | 0.91 | 2.42 | 1.13 | 0.06 | 0.15 |
| Women | Men | |||||||||||
|---|---|---|---|---|---|---|---|---|---|---|---|---|
| AGA | Grade | AGA | Grade | Cohen’s d | ||||||||
| Course | N | Mean | SD | Mean | SD | N | Mean | SD | Mean | SD | AGA | Grade |
| Calculus 1 | 184 | −0.69 | 0.94 | 2.73 | 0.93 | 179 | −0.48 | 0.84 | 2.81 | 0.87 | −0.24 * | −0.08 |
| Biology 1 | 305 | −0.49 | 0.74 | 3.05 | 0.81 | 166 | −0.30 | 0.70 | 3.10 | 0.88 | −0.26 ** | −0.05 |
| Biology 2 | 352 | −0.15 | 0.64 | 3.29 | 0.78 | 172 | −0.08 | 0.62 | 3.32 | 0.76 | −0.12 | −0.03 |
| Introductory Chemistry 1 | 358 | −0.36 | 0.64 | 3.17 | 0.66 | 191 | −0.34 | 0.69 | 3.04 | 0.78 | −0.03 | 0.19 * |
| Introductory Chemistry 2 | 352 | −0.70 | 0.69 | 2.81 | 0.82 | 203 | −0.44 | 0.65 | 2.81 | 0.87 | −0.22 * | 0.00 |
| Organic Chemistry 1 | 497 | −0.82 | 0.79 | 2.78 | 0.91 | 244 | −0.69 | 0.71 | 2.84 | 0.88 | −0.17 * | −0.07 |
| Organic Chemistry 2 | 411 | −0.91 | 0.81 | 2.69 | 0.98 | 197 | −0.81 | 0.93 | 2.75 | 1.09 | −0.13 | −0.05 |
| Genetics | 229 | −0.13 | 0.61 | 3.42 | 0.74 | 135 | −0.13 | 0.61 | 3.39 | 0.77 | 0.00 | 0.04 |
| Physics 1 | 390 | −0.28 | 0.60 | 3.24 | 0.75 | 247 | −0.16 | 0.62 | 3.31 | 0.80 | −0.20 * | −0.09 |
| Physics 2 | 330 | −0.23 | 0.67 | 3.36 | 0.73 | 197 | −0.09 | 0.53 | 3.47 | 0.71 | −0.24 ** | −0.16 |
| Human Physiology | 262 | −0.15 | 0.61 | 3.45 | 0.71 | 145 | −0.12 | 0.66 | 3.47 | 0.80 | −0.04 | −0.03 |
| Biochemistry | 241 | −0.17 | 0.65 | 3.46 | 0.76 | 158 | −0.08 | 0.67 | 3.45 | 0.80 | −0.14 | 0.01 |
| Women | Men | |||||||||||
|---|---|---|---|---|---|---|---|---|---|---|---|---|
| AGA | Grade | AGA | Grade | Cohen’s d | ||||||||
| Course | N | Mean | SD | Mean | SD | N | Mean | SD | Mean | SD | AGA | Grade |
| Calculus 1 | 123 | −1.35 | 1.53 | 1.87 | 1.41 | 165 | −0.76 | 1.51 | 2.35 | 1.36 | −0.39 ** | −0.35 ** |
| Biology 1 | 139 | −0.88 | 1.15 | 2.30 | 1.19 | 73 | −0.37 | 0.87 | 2.66 | 0.98 | −0.47 ** | −0.32 * |
| Biology 2 | 112 | −0.58 | 0.64 | 2.76 | 0.82 | 90 | −0.44 | 0.73 | 2.78 | 0.94 | −0.19 | −0.02 |
| Introductory Chemistry 1 | 133 | −0.83 | 1.12 | 2.46 | 1.06 | 122 | −0.62 | 0.88 | 2.48 | 0.97 | −0.21 | −0.02 |
| Introductory Chemistry 2 | 171 | −1.12 | 0.92 | 2.21 | 1.08 | 134 | −0.82 | 0.83 | 2.38 | 1.10 | −0.35 ** | −0.16 |
| Organic Chemistry 1 | 331 | −1.28 | 0.95 | 2.12 | 1.12 | 191 | −0.73 | 0.97 | 2.61 | 1.14 | −0.57 *** | −0.44 *** |
| Organic Chemistry 2 | 269 | −1.43 | 1.00 | 2.01 | 1.19 | 175 | −0.92 | 1.07 | 2.47 | 1.27 | −0.50 *** | −0.38 *** |
| Genetics | 241 | −0.69 | 0.78 | 2.76 | 0.98 | 136 | −0.47 | 0.78 | 2.89 | 1.08 | −0.28 ** | −0.13 |
| Physics 1 | 601 | −0.73 | 0.78 | 2.73 | 0.94 | 292 | −0.47 | 0.77 | 2.89 | 0.98 | −0.33 *** | −0.16 * |
| Physics 2 | 374 | −0.37 | 0.73 | 3.16 | 0.91 | 249 | −0.31 | 0.74 | 3.17 | 0.99 | −0.09 | −0.01 |
| Human Physiology | 516 | −0.60 | 0.80 | 2.95 | 0.98 | 283 | −0.50 | 0.82 | 3.06 | 1.00 | −0.11 | −0.10 |
| Biochemistry | 371 | −0.69 | 1.00 | 2.82 | 1.22 | 193 | −0.65 | 1.02 | 2.79 | 1.29 | −0.03 | 0.03 |
References
- Marzoli, I.; Colantonio, A.; Fazio, C.; Giliberti, M.; Scotti di Uccio, U.; Testa, I. Effects of emergency remote instruction during the COVID-19 pandemic on university physics students in Italy. Phys. Rev. Phys. Educ. Res. 2021, 17, 020130. [Google Scholar] [CrossRef]
- Palmgren, E.; Tuominen, K.; Kontro, I. Self-efficacy and conceptual knowledge in quantum mechanics during teaching reforms and the COVID-19 pandemic. Phys. Rev. Phys. Educ. Res. 2022, 18, 020122. [Google Scholar] [CrossRef]
- Kortemeyer, G.; Bauer, W.; Fisher, W. Hybrid teaching: A tale of two populations. Phys. Rev. Phys. Educ. Res. 2022, 18, 020130. [Google Scholar] [CrossRef]
- Klumpp, S.; Köster, S.; Pawsey, A.C.; Lips, Y.; Wenderoth, M.; Klein, P. Reflections on COVID-19–nduced online teaching in biophysics courses. Biophysicist 2021, 2, 20–22. [Google Scholar] [CrossRef]
- Gonzalez, T.; de la Rubia, M.; Hincz, K.; Comas-Lopez, M.; Subirats, L.; Fort, S.; Sacha, G. Influence of COVID-19 confinement on students’ performance in higher education. PLoS ONE 2020, 15, e0239490. [Google Scholar] [CrossRef]
- Spence, J.T. Achievement and Achievement Motives: Psychological and Sociological Approaches; Series of Books in Psychology; W.H. Freeman: San Francisco, CA, USA, 1983. [Google Scholar]
- Gniewosz, B.; Eccles, J.S.; Noack, P. Early Adolescents’ Development of Academic Self-Concept and Intrinsic Task Value: The Role of Contextual Feedback. J. Res. Adolesc. 2015, 25, 459–473. [Google Scholar] [CrossRef]
- Wigfield, A.; Eccles, J.S. Development of Achievement Motivation; Educational Psychology Series; Academic Press: San Diego, CA, USA, 2002. [Google Scholar]
- Eccles, J.S.; Wigfield, A. From expectancy-value theory to situated expectancy-value theory: A developmental, social cognitive, and sociocultural perspective on motivation. Contemp. Educ. Psychol. 2020, 61, 101859. [Google Scholar] [CrossRef]
- Wigfield, A.; Cambria, J. Students’ achievement values, goal orientations, and interest: Definitions, development, and relations to achievement outcomes. Dev. Rev. 2010, 30, 1–35. [Google Scholar] [CrossRef]
- Witteveen, D.; Attewell, P. The STEM grading penalty: An alternative to the “leaky pipeline” hypothesis. Sci. Educ. 2020, 104, 714–735. [Google Scholar] [CrossRef]
- Seymour, E.; Hunter, A.B.; Thiry, H.; Weston, T.J.; Harper, R.P.; Holland, D.G.; Koch, A.K.; Drake, B.M. Talking about Leaving Revisited: Persistence, Relocation, and Loss in Undergraduate STEM Education; Springer International Publishing AG: Cham, Switzerland, 2019. [Google Scholar]
- Seymour, E.; Hewitt, N.M.; Friend, C.M. Talking about Leaving: Why Undergraduates Leave the Sciences; Westview Press: Boulder, CO, USA, 1997; Volume 12. [Google Scholar]
- Rask, K. Attrition in STEM fields at a liberal arts college: The importance of grades and pre-collegiate preferences. Econ. Educ. Rev. 2010, 29, 892–900. [Google Scholar] [CrossRef]
- Koester, B.P.; Grom, G.; McKay, T.A. Patterns of gendered performance difference in introductory STEM courses. arXiv 2016, arXiv:1608.07565. [Google Scholar]
- Matz, R.L.; Koester, B.P.; Fiorini, S.; Grom, G.; Shepard, L.; Stangor, C.G.; Weiner, B.; McKay, T.A. Patterns of gendered performance differences in large introductory courses at five research universities. AERA Open 2017, 3, 2332858417743754. [Google Scholar] [CrossRef]
- Fisher, H.H.; Hawkins, G.T.; Hertz, M.; Sliwa, S.; Beresovsky, V. Student and school characteristics associated with COVID-19-related learning decline among middle and high school students in K-12 schools. J. School Health 2022, 92, 1027–1039. [Google Scholar] [CrossRef]
- AlMahdawi, M.; Senghore, S.; Ambrin, H.; Belbase, S. High school students’ performance indicators in distance learning in chemistry during the COVID-19 pandemic. Educ. Sci. 2021, 11, 672. [Google Scholar] [CrossRef]
- Goyal, N.; Abdulahad, A.I.; Privett, J.A.; Verma, A.; Foroozesh, M.; Coston, T.S. Student grade evaluation, survey feedback, and lessons learned during the COVID-19 pandemic: A comparative study of virtual vs. in-person offering of a freshman-level General Chemistry II course in summer at Xavier University of Louisiana. Educ. Sci. 2022, 12, 226. [Google Scholar] [CrossRef]
- Klein, P.; Ivanjek, L.; Dahlkemper, M.N.; Jeličić, K.; Geyer, M.A.; Küchemann, S.; Susac, A. Studying physics during the COVID-19 pandemic: Student assessments of learning achievement, perceived effectiveness of online recitations, and online laboratories. Phys. Rev. Phys. Educ. Res. 2021, 17, 010117. [Google Scholar] [CrossRef]
- Nemeth, A.; Wheatley, C.; Stewart, J. Comparing introductory undergraduate physics learning and behavior before and after the COVID-19 pandemic. Phys. Rev. Phys. Educ. Res. 2023, 19, 013103. [Google Scholar] [CrossRef]
- Malespina, A.; Singh, C. Grades and Grade Anomalies Before, During, and After Remote COVID-19 Instruction for First-year Engineering Majors: Overall Trends and Gender Inequities. Int. J. Eng. Educ. 2023, 39, 1499–1512. [Google Scholar]
- Makarova, E.; Aeschlimann, B.; Herzog, W. The Gender Gap in STEM Fields: The Impact of the Gender Stereotype of Math and Science on Secondary Students’ Career Aspirations. Front. Educ. 2019, 4, 60. [Google Scholar] [CrossRef]
- Musters, N.; Aarts, R.; Van Amelsvoort, M.; Swerts, M. Views on Gender Differences in the Physics Classroom. Educ. Sci. 2024, 14, 457. [Google Scholar] [CrossRef]
- Gonzalez, H.B.; Kuenzi, J.J. Science, Technology, Engineering, and Mathematics (STEM) Education: A Primer; Technical Report CRS Report No. R42530; Library of Congress Congressional Research Service: Washington, DC, USA, 2012.
- Goodman, I.F. Final Report of the Women’s Experiences in College Engineering (WECE) Project; ERIC: online submission, 2002.
- Whitcomb, K.M.; Kalender, Z.Y.; Nokes-Malach, T.J.; Schunn, C.D.; Singh, C. Comparison of self-efficacy and performance of engineering undergraduate women and men. Int. J. Eng. Educ. 2020, 36, 1996–2014. [Google Scholar]
- Whitcomb, K.M.; Maries, A.; Singh, C. Examining gender differences in a mechanical engineering and materials science curriculum. Int. J. Eng. Educ. 2021, 37, 1261–1273. [Google Scholar]
- Sawtelle, V.; Brewe, E.; Kramer, L.H. Exploring the relationship between self-efficacy and retention in introductory physics. J. Res. Sci. Teach. 2012, 49, 1096–1121. [Google Scholar] [CrossRef]
- Cavallo, A.M.; Potter, W.H.; Rozman, M. Gender differences in learning constructs, shifts in learning constructs, and their relationship to course achievement in a structured inquiry, yearlong college physics course for life science majors. Sch. Sci. Math. 2004, 104, 288–300. [Google Scholar] [CrossRef]
- Marshman, E.; Kalender, Z.Y.; Nokes-Malach, T.; Schunn, C.; Singh, C. Female students with A’s have similar physics self-efficacy as male students with C’s in introductory courses: A cause for alarm? Phys. Rev. Phys. Educ. Res. 2018, 14, 020123. [Google Scholar] [CrossRef]
- Nissen, J.M.; Shemwell, J.T. Gender, experience, and self-efficacy in introductory physics. Phys. Rev. Phys. Educ. Res. 2016, 12, 020105. [Google Scholar] [CrossRef]
- Pintrich, P.R.; De Groot, E.V. Motivational and Self-Regulated Learning Components of Classroom Academic Performance. J. Educ. Psychol. 1990, 82, 33–40. [Google Scholar] [CrossRef]
- Ballen, C.J.; Wieman, C.; Salehi, S.; Searle, J.B.; Zamudio, K.R. Enhancing Diversity in Undergraduate Science: Self-Efficacy Drives Performance Gains with Active Learning. CBE—Life Sci. Educ. 2017, 16, ar56. [Google Scholar] [CrossRef]
- Haak, D.C.; Hillerislambers, J.; Pitre, E.; Freeman, S. Increased Structure and Active Learning Reduce the Achievement Gap in Introductory Biology. Science 2011, 332, 1213–1216. [Google Scholar] [CrossRef]
- Women, Minorities, and Persons with Disabilities in Science and Engineering: 2019; National Science Foundation: Alexandria, VA, USA, 2020.
- Good, C.; Rattan, A.; Dweck, C.S. Why do women opt out? Sense of belonging and women’s representation in mathematics. J. Personal. Soc. Psychol. 2012, 102, 700. [Google Scholar] [CrossRef]
- Raelin, J.A.; Bailey, M.B.; Hamann, J.; Pendleton, L.K.; Reisberg, R.; Whitman, D.L. The gendered effect of cooperative education, contextual support, and self-efficacy on undergraduate retention. J. Eng. Educ. 2014, 103, 599–624. [Google Scholar] [CrossRef]
- Eaton, A.A.; Saunders, J.F.; Jacobson, R.K.; West, K. How Gender and Race Stereotypes Impact the Advancement of Scholars in STEM: Professors’ Biased Evaluations of Physics and Biology Post-Doctoral Candidates. Sex Roles 2020, 82, 127–141. [Google Scholar] [CrossRef]
- Cwik, S.; Singh, C. Students’ sense of belonging in introductory physics course for bioscience majors predicts their grade. Phys. Rev. Phys. Educ. Res. 2022, 18, 010139. [Google Scholar] [CrossRef]
- Eddy, S.L.; Brownell, S.E.; Wenderoth, M.P. Gender Gaps in Achievement and Participation in Multiple Introductory Biology Classrooms. CBE Life Sci. Educ. 2014, 13, 478–492. [Google Scholar] [CrossRef]
- Grunspan, D.Z.; Eddy, S.L.; Brownell, S.E.; Wiggins, B.L.; Crowe, A.J.; Goodreau, S.M. Males Under-Estimate Academic Performance of Their Female Peers in Undergraduate Biology Classrooms. PLoS ONE 2016, 11, e0148405. [Google Scholar] [CrossRef] [PubMed]
- Ballen, C.J.; Salehi, S.; Cotner, S. Exams disadvantage women in introductory biology. PLoS ONE 2017, 12, e0186419. [Google Scholar] [CrossRef]
- Elliott, S.L. From the Editor-in-Chief: Questions of Gender Equity in the Undergraduate Biology Classroom. J. Microbiol. Biol. Educ. 2016, 17, 186–188. [Google Scholar] [CrossRef]
- Huang, J.; Gates, A.J.; Sinatra, R.; Barabási, A.L. Historical comparison of gender inequality in scientific careers across countries and disciplines. Proc. Natl. Acad. Sci. USA 2020, 117, 4609–4616. [Google Scholar] [CrossRef]
- Holman, L.; Stuart-Fox, D.; Hauser, C.E. The gender gap in science: How long until women are equally represented? PLoS Biol. 2018, 16, 1–20. [Google Scholar] [CrossRef]
- Dandar, V.M.; Lautenberger, D.M. Exploring Faculty Salary Equity at U.S. Medical Schools by Gender and Race/Ethnicity; Technical report; AAMC: Washington, DC, USA, 2021. [Google Scholar]
- Ly, D.P.; Seabury, S.A.; Jena, A.B.; Newhouse, R.L. Differences in incomes of physicians in the United States by race and sex: Observational study. Br. Med. J. 2016, 353, i2923. [Google Scholar] [CrossRef]
- Maries, A.; Whitcomb, K.; Singh, C. Gender Inequities Throughout STEM. J. Coll. Sci. Teach. 2022, 51. [Google Scholar] [CrossRef]
- Malespina, A.; Singh, C. Gender differences in grades versus grade penalties: Are grade anomalies more detrimental for female physics majors? Phys. Rev. Phys. Educ. Res. 2022, 18, 020127. [Google Scholar] [CrossRef]
- Malespina, A.; Singh, C. Impact of grade penalty in first-year foundational science courses on female engineering majors. Int. J. Eng. Educ. 2022, 38, 1021. [Google Scholar]
- Malespina, A.; Singh, C. Gender gaps in grades versus grade penalties: Why grade anomalies may be more detrimental for women aspiring for careers in biological sciences. Int. J. STEM Educ. 2023, 10, 13. [Google Scholar] [CrossRef]
- Malespina, A. Investigating Gender Differences in Test Anxiety, Self-Efficacy, Mindset, Grade Penalty and Grades in Physics Courses: A Quest for Equity. Ph.D. Thesis, University of Pittsburgh, Pittsburgh, PA, USA, 2023. [Google Scholar]
- Frey, B.B. (Ed.) The SAGE Encyclopedia of Educational Research, Measurement, and Evaluation; SAGE Publications, Inc.: Thousand Oaks, CA, USA, 2018. [Google Scholar] [CrossRef]
- Cohen, J. Statistical Power Analysis for the Behavioral Sciences; L. Erlbaum Associates: Hillsdale, NJ, USA, 1988. [Google Scholar]
- R Core Team. R: A Language and Environment for Statistical Computing; R Foundation for Statistical Computing: Vienna, Austria, 2024. [Google Scholar]
- Lemon, J. Plotrix: A package in the red light district of R. R-News 2006, 6, 12. [Google Scholar]
- Navarro, D. Learning statistics with R: A Tutorial for Psychology Students and Other Beginners; University of New South Wales: Sydney, Australia, 2015. [Google Scholar]
- Wickham, H. ggplot2: Elegant Graphics for Data Analysis; Springer: New York, NY, USA, 2016. [Google Scholar]
- Chan, R.Y.; Bista, K.; Allen, R.M. (Eds.) Online Teaching and Learning in Higher Education during COVID-19: International Perspectives and Experiences; Routledge: New York, NY, USA, 2022. [Google Scholar]
- Van Dusen, B.; Shultz, M.; Nissen, J.M.; Wilcox, B.R.; Holmes, N.G.; Jariwala, M.; Close, E.W.; Lewandowski, H.J.; Pollock, S. Online administration of research-based assessments. Am. J. Phys. 2021, 89, 7–8. [Google Scholar] [CrossRef]
- Chen, Z. Measuring the level of homework answer copying during COVID-19 induced remote instruction. Phys. Rev. Phys. Educ. Res. 2022, 18, 010126. [Google Scholar] [CrossRef]
- Ives, B.; Cazan, A.M. Did the COVID-19 pandemic lead to an increase in academic misconduct in higher education? High. Educ. 2024, 87, 111–129. [Google Scholar] [CrossRef]
- Rask, K.; Tiefenthaler, J. The role of grade sensitivity in explaining the gender imbalance in undergraduate economics. Econ. Educ. Rev. 2008, 27, 676–687. [Google Scholar] [CrossRef]
- Moss-Racusin, C.A.; Dovidio, J.F.; Brescoll, V.L.; Graham, M.J.; Handelsman, J. Science faculty’s subtle gender biases favor male students. Proc. Natl. Acad. Sci. USA 2012, 109, 16474. [Google Scholar] [CrossRef]
- Wang, J.; Hazari, Z. Promoting high school students’ physics identity through explicit and implicit recognition. Phys. Rev. Phys. Educ. Res. 2018, 14, 020111. [Google Scholar] [CrossRef]
- Voyer, D.; Voyer, S.D. Gender Differences in Scholastic Achievement: A Meta-Analysis. Psychol. Bull. 2014, 140, 1174–1204. [Google Scholar] [CrossRef] [PubMed]




| Major | Pre-Remote | Remote | Post-Remote |
|---|---|---|---|
| Biological Sciences | 29% | 24% | 21% |
| Bioinformatics/Computational Biology | 2% | 2% | 1% |
| Ecology and Evolution | 1% | 1% | 1% |
| Microbiology | 5% | 5% | 3% |
| Molecular Biology | 5% | 4% | 4% |
| Neuroscience | 22% | 17% | 12% |
| Pharmacy | 1% | 0% | 0% |
| Rehabilitation Science | 7% | 5% | 3% |
| Undeclared | 28% | 42% | 55% |
| Label | Period |
|---|---|
| Pre-Remote | Four semesters of in-person instruction before the COVID-19 pandemic, excluding Spring 2020 |
| Remote | Two semesters of remote instruction due to the COVID-19 pandemic, excluding Spring 2020 |
| Post-Remote | Two semesters of in-person instruction after the return to in-person classes |
| Sex | Race/Ethnicity | |||||||
|---|---|---|---|---|---|---|---|---|
| Period | Female | Male | Asian | Black | Latine | Multiracial | White | Unknown |
| Pre-Remote | 61% | 39% | 25% | 5% | 5% | 5% | 59% | 1% |
| Remote | 63% | 37% | 27% | 5% | 6% | 5% | 56% | 1% |
| Post-Remote | 60% | 40% | 26% | 5% | 6% | 5% | 57% | 1% |
| Grade | A/A+ | A− | B+ | B | B− | C+ | C | C− | D+ | D | D− | F |
|---|---|---|---|---|---|---|---|---|---|---|---|---|
| GPA Value | 4.00 | 3.75 | 3.25 | 3.00 | 2.75 | 2.25 | 2.00 | 1.75 | 1.25 | 1.00 | 0.75 | 0.00 |
| Women | Men | ||||||||||||
|---|---|---|---|---|---|---|---|---|---|---|---|---|---|
| AGA | Grade | AGA | Grade | Cohen’s d | |||||||||
| Course | Type | N | Mean | SD | Mean | SD | N | Mean | SD | Mean | SD | AGA | Grade |
| Biology 1 | Pre-Remote | 1077 | −0.70 | 1.17 | 2.86 | 1.02 | 571 | −0.55 | 0.92 | 2.88 | 1.00 | −0.13 * | −0.02 |
| Remote | 305 | −0.49 | 0.74 | 3.05 | 0.81 | 166 | −0.30 | 0.70 | 3.10 | 0.88 | −0.26 ** | −0.05 | |
| Post-Remote | 139 | −0.88 | 1.15 | 2.30 | 1.19 | 73 | −0.37 | 0.87 | 2.66 | 0.98 | −0.47 ** | −0.32 * | |
| Biology 2 | Pre-Remote | 898 | −0.39 | 0.65 | 3.09 | 0.65 | 517 | −0.30 | 0.63 | 3.11 | 0.79 | −0.13 * | −0.03 |
| Remote | 352 | −0.15 | 0.64 | 3.29 | 0.78 | 172 | −0.08 | 0.62 | 3.32 | 0.76 | −0.12 | −0.03 | |
| Post-Remote | 112 | −0.58 | 0.64 | 2.76 | 0.82 | 90 | −0.44 | 0.73 | 2.78 | 0.94 | −0.19 | −0.02 | |
| Genetics | Pre-Remote | 449 | −0.47 | 0.76 | 3.02 | 0.94 | 307 | −0.67 | 1.00 | 2.75 | 1.18 | 0.23 ** | 0.26 *** |
| Remote | 229 | −0.13 | 0.61 | 3.42 | 0.74 | 135 | −0.13 | 0.61 | 3.39 | 0.77 | 0.00 | 0.04 | |
| Post-Remote | 241 | −0.69 | 0.78 | 2.76 | 0.98 | 136 | −0.47 | 0.78 | 2.89 | 1.08 | −0.28 ** | −0.13 | |
| Human Physiology | Pre-Remote | 568 | −0.36 | 0.76 | 3.18 | 0.90 | 333 | −0.27 | 0.71 | 3.20 | 0.87 | −0.12 | −0.03 |
| Remote | 262 | −0.15 | 0.61 | 3.45 | 0.71 | 145 | −0.12 | 0.66 | 3.47 | 0.80 | −0.04 | −0.03 | |
| Post-Remote | 516 | −0.60 | 0.80 | 2.95 | 0.98 | 283 | −0.50 | 0.82 | 3.06 | 1.00 | −0.11 | −0.10 | |
| Biochemistry | Pre-Remote | 311 | −0.94 | 0.86 | 2.59 | 1.04 | 212 | −0.99 | 0.91 | 2.42 | 1.13 | 0.06 | 0.15 |
| Remote | 241 | −0.17 | 0.65 | 3.46 | 0.76 | 158 | −0.08 | 0.67 | 3.45 | 0.80 | −0.14 | 0.01 | |
| Post-Remote | 371 | −0.69 | 1.00 | 2.82 | 1.22 | 193 | −0.65 | 1.02 | 2.79 | 1.29 | −0.03 | 0.03 | |
| Women | Men | ||||||||||||
|---|---|---|---|---|---|---|---|---|---|---|---|---|---|
| AGA | Grade | AGA | Grade | Cohen’s d | |||||||||
| Course | Type | N | Mean | SD | Mean | SD | N | Mean | SD | Mean | SD | AGA | Grade |
| Introductory Chemistry 1 | Pre-Remote | 1166 | −0.79 | 1.38 | 2.86 | 0.87 | 677 | −0.61 | 1.41 | 2.82 | 0.97 | −0.13 ** | 0.04 |
| Remote | 358 | −0.36 | 0.64 | 3.17 | 0.66 | 191 | −0.34 | 0.69 | 3.04 | 0.78 | −0.03 | 0.19 * | |
| Post-Remote | 133 | −0.83 | 1.12 | 2.46 | 1.06 | 122 | −0.62 | 0.88 | 2.48 | 0.97 | −0.21 | −0.02 | |
| Introductory Chemistry 2 | Pre-Remote | 973 | −0.58 | 0.76 | 2.94 | 0.86 | 602 | −0.53 | 0.86 | 2.85 | 0.91 | −0.06 | 0.10 |
| Remote | 352 | −0.70 | 0.69 | 2.81 | 0.82 | 203 | −0.44 | 0.65 | 2.81 | 0.87 | −0.22 * | 0.00 | |
| Post-Remote | 171 | −1.12 | 0.92 | 2.21 | 1.08 | 134 | −0.82 | 0.83 | 2.38 | 1.10 | −0.35 ** | −0.16 | |
| Organic Chemistry 1 | Pre-Remote | 1058 | −1.04 | 0.99 | 2.47 | 1.12 | 589 | −0.87 | 0.94 | 2.57 | 1.07 | −0.18 *** | −0.10 |
| Remote | 497 | −0.82 | 0.79 | 2.78 | 0.91 | 244 | −0.69 | 0.71 | 2.84 | 0.88 | −0.17 * | −0.07 | |
| Post-Remote | 331 | −1.28 | 0.95 | 2.12 | 1.12 | 191 | −0.73 | 0.97 | 2.61 | 1.14 | −0.57 *** | −0.44 *** | |
| Organic Chemistry 2 | Pre-Remote | 687 | −0.96 | 0.92 | 2.55 | 1.07 | 420 | −0.83 | 0.98 | 2.64 | 1.17 | −0.13 * | −0.08 |
| Remote | 411 | −0.91 | 0.81 | 2.69 | 0.98 | 197 | −0.81 | 0.93 | 2.75 | 1.09 | −0.13 | −0.05 | |
| Post-Remote | 269 | −1.43 | 1.00 | 2.01 | 1.19 | 175 | −0.92 | 1.07 | 2.47 | 1.27 | −0.50 *** | −0.38 *** | |
| Women | Men | ||||||||||||
|---|---|---|---|---|---|---|---|---|---|---|---|---|---|
| AGA | Grade | AGA | Grade | Cohen’s d | |||||||||
| Course | Type | N | Mean | SD | Mean | SD | N | Mean | SD | Mean | SD | AGA | Grade |
| Calculus 1 | Pre-Remote | 385 | −0.79 | 1.48 | 2.58 | 1.11 | 436 | −0.92 | 1.90 | 2.34 | 1.30 | 0.07 | 0.20 ** |
| Remote | 184 | −0.69 | 0.94 | 2.73 | 0.93 | 179 | −0.48 | 0.84 | 2.81 | 0.87 | −0.24 * | −0.08 | |
| Post-Remote | 123 | −1.35 | 1.53 | 1.87 | 1.41 | 165 | −0.76 | 1.51 | 2.35 | 1.36 | −0.39 ** | −0.35 ** | |
| Women | Men | ||||||||||||
|---|---|---|---|---|---|---|---|---|---|---|---|---|---|
| AGA | Grade | AGA | Grade | Cohen’s d | |||||||||
| Course | Type | N | Mean | SD | Mean | SD | N | Mean | SD | Mean | SD | AGA | Grade |
| Physics 1 | Pre-Remote | 732 | −0.41 | 0.60 | 3.06 | 0.76 | 435 | −0.26 | 0.63 | 3.13 | 0.84 | −0.25 *** | −0.09 |
| Remote | 390 | −0.28 | 0.60 | 3.24 | 0.75 | 247 | −0.16 | 0.62 | 3.31 | 0.80 | −0.20 * | −0.09 | |
| Post-Remote | 601 | −0.73 | 0.78 | 2.73 | 0.94 | 292 | −0.47 | 0.77 | 2.89 | 0.98 | −0.33 *** | −0.16 * | |
| Physics 2 | Pre-Remote | 457 | −0.32 | 0.61 | 3.19 | 0.77 | 289 | −0.27 | 0.67 | 3.15 | 0.87 | −0.07 | 0.04 |
| Remote | 330 | −0.23 | 0.67 | 3.36 | 0.73 | 197 | −0.09 | 0.53 | 3.47 | 0.71 | −0.24 ** | −0.16 | |
| Post-Remote | 374 | −0.37 | 0.73 | 3.16 | 0.91 | 249 | −0.31 | 0.74 | 3.17 | 0.99 | −0.09 | −0.01 | |
Disclaimer/Publisher’s Note: The statements, opinions and data contained in all publications are solely those of the individual author(s) and contributor(s) and not of MDPI and/or the editor(s). MDPI and/or the editor(s) disclaim responsibility for any injury to people or property resulting from any ideas, methods, instructions or products referred to in the content. |
© 2024 by the authors. Licensee MDPI, Basel, Switzerland. This article is an open access article distributed under the terms and conditions of the Creative Commons Attribution (CC BY) license (https://creativecommons.org/licenses/by/4.0/).
Share and Cite
Malespina, A.; Seifollahi, F.; Singh, C. Trends and Gender Disparities in Grades and Grade Anomalies among Bioscience and Health-Related Major Students before, during, and after COVID-19 Remote Instruction. Educ. Sci. 2024, 14, 1101. https://doi.org/10.3390/educsci14101101
Malespina A, Seifollahi F, Singh C. Trends and Gender Disparities in Grades and Grade Anomalies among Bioscience and Health-Related Major Students before, during, and after COVID-19 Remote Instruction. Education Sciences. 2024; 14(10):1101. https://doi.org/10.3390/educsci14101101
Chicago/Turabian StyleMalespina, Alysa, Fargol Seifollahi, and Chandralekha Singh. 2024. "Trends and Gender Disparities in Grades and Grade Anomalies among Bioscience and Health-Related Major Students before, during, and after COVID-19 Remote Instruction" Education Sciences 14, no. 10: 1101. https://doi.org/10.3390/educsci14101101
APA StyleMalespina, A., Seifollahi, F., & Singh, C. (2024). Trends and Gender Disparities in Grades and Grade Anomalies among Bioscience and Health-Related Major Students before, during, and after COVID-19 Remote Instruction. Education Sciences, 14(10), 1101. https://doi.org/10.3390/educsci14101101

