Development of Cognitive Abilities through the Abacus in Primary Education Students: A Randomized Controlled Clinical Trial
Abstract
1. Introduction
2. Materials and Methods
2.1. Participants
2.2. Instruments
- The D2 test, in its Spanish version [33], assesses selective attention and concentration in the school context. The participant’s task is to check carefully, starting from left to right, what is written on each line and must mark all the letters that have two small lines (two bottom, two top or one bottom and one top) with a “d”. These elements are considered relevant. The other combinations (the “d” and “p”, with and without stripes) are known as irrelevant, and they should not be marked. The participant has 20 s for each line. This test has shown excellent reliability, with ranges between 0.90 and 0.97 for both the Cronbach α and test–retest, and has also shown convergent and divergent validity [34].
- The Difference Perception Test (FACE-R) [35] measures the ability to quickly and accurately appreciate differences and similarities in different sequential stimulation patterns. This test evaluates attentional and perceptive skills through 60 graphic items composed of representative pictures of faces with basic strokes. The task that is carried out in this test is based on seeing which of the three faces presents a different feature. The application form can be individual or collective in a rather short time, approximately 3 min. Using this test, we can obtain a measure of Differential Perception (DP) and, additionally, we can calculate the Impulsivity Control Index (ICI) manifested in the impulsivity shown by subjects during the task. This test has shown high reliability (Cronbach’α = 0.91), in addition to convergent and divergent validity in the normative data sample [36].
- The immediate auditory memory test (AIM) [37] evaluates immediate memory aspects related to auditive perception. The test is composed of three parts: logical memory, in which the participant is read two paragraphs and attempts to note them down until the participant is satisfied in order to remember the details that appear in the narration; numerical memory, in which a set of digits is used that the person has to repeat, first in order and then inversely; and associative memory, which is composed of ten pairs of words that are told to the participant during three different moments, which are discovered by the subject with the aim of associating them with those that the examiner successively dictates. The test has shown accepted reliability indexes (Cronbach’α = 0.80) [38].
- The Creative Intelligence Test (CREA) [39] is used to assess creative intelligence by cognitively evaluating creativity individually according to the reproduction of issues indicators within a theoretical context of research and problem-solving. The procedure consisted of showing a photograph to the child and asking him/her to fill in the blanks at the top of the copy with the data that appeared. The task is based on writing down, in a brief form, as many pre-questions as possible about what it shows. The CREA test has been found to meet the standards of reliability (Cronbach’α = 0.875) and validity required of a psychological test [40].
2.3. Procedure
2.4. Intervention
2.5. Data Analysis
3. Results
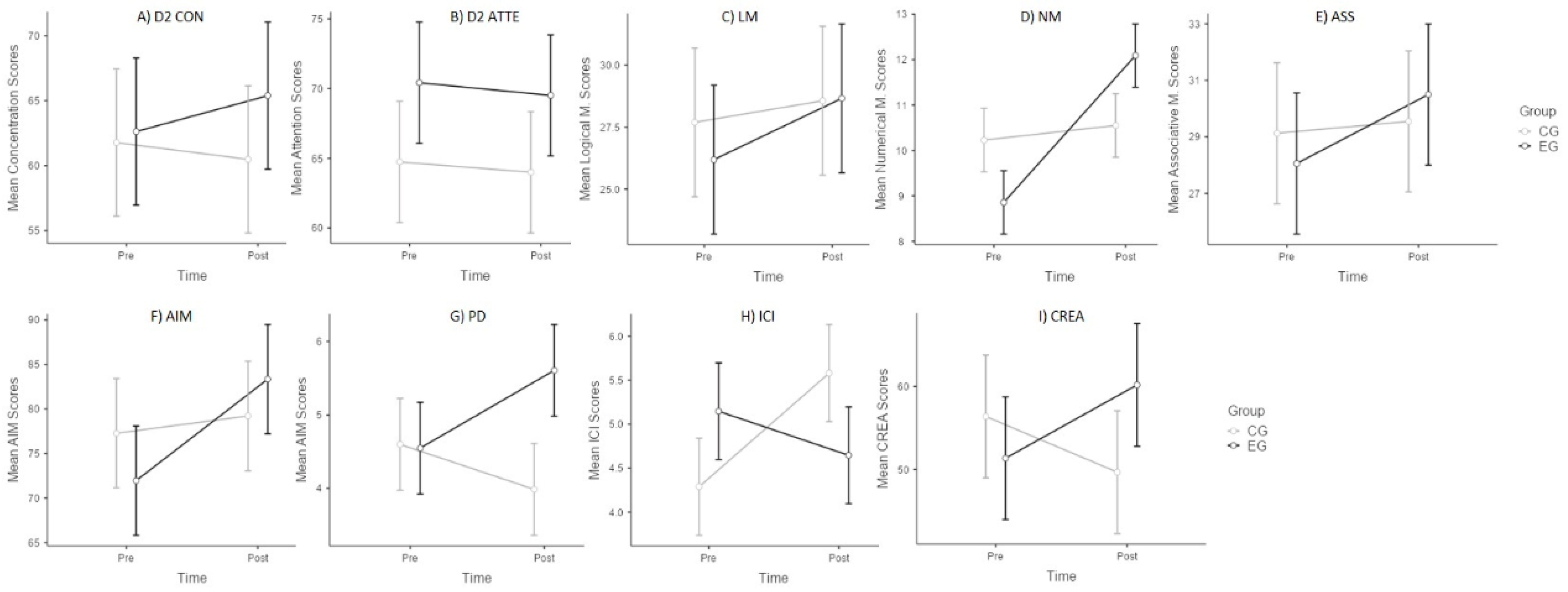
- D2: (A) Concentration and (B) Selective Attention
- AIM: (C) Logical Memory, (D) Numerical Memory, (E) Associative Memory, and (F) total AIM
- FACE-R: (G) Difference Perception and (H) Impulsivity Control Index
- (I) Creativity
4. Discussion
5. Conclusions
Author Contributions
Funding
Institutional Review Board Statement
Informed Consent Statement
Data Availability Statement
Conflicts of Interest
References
- Wang, C. A review of the effects of abacus training on cognitive functions and neural systems in humans. Front. Neurosci. 2020. [Google Scholar] [CrossRef] [PubMed]
- Sohn, W.S.; Lee, T.Y.; Kwak, S.; Yoon, Y.B.; Kwon, J.S. Higher extrinsic and lower intrinsic connectivity in resting state networks for professional Baduk (Go) players. Brain Behav. 2017, 7, e00853. [Google Scholar] [CrossRef]
- Belkacem, A.N.; Kiso, K.; Uokawa, E.; Goto, T.; Yorifuji, S.; Hirata, M. Neural processing mechanism of mental calculation based on cerebral oscillatory changes: A comparison between abacus experts and novices. Front. Hum. Neurosci. 2020, 14, 137. [Google Scholar] [CrossRef]
- Zhou, H.; Geng, F.; Wang, Y.; Wang, C.; Hu, Y.; Chen, F. Transfer effects of abacus training on transient and sustained brain activation in the frontal–parietal network. Neuroscience 2019, 408, 135–146. [Google Scholar] [CrossRef]
- Hu, Y.; Geng, F.; Tao, L.; Hu, N.; Du, F.; Fu, K.; Chen, F. Enhanced white matter tracts integrity in children with abacus training. Hum. Brain Mapp. 2011, 32, 10–21. [Google Scholar] [CrossRef] [PubMed]
- Li, Y.; Chen, F.; Huang, W. Neural plasticity following abacus training in humans: A review and future directions. Neu Plastic. 2016. [Google Scholar] [CrossRef] [PubMed]
- Wang, C.; Weng, J.; Yao, Y.; Dong, S.; Liu, Y.; Chen, F. Effect of abacus training on executive function development and underlying neural correlates in Chinese children. Hum. Brain Mapp. 2017, 38, 5234–5249. [Google Scholar] [CrossRef]
- Dong, S.; Wang, C.; Xie, Y.; Hu, Y.; Weng, J.; Chen, F. The impact of abacus training on working memory and underlying neural correlates in young adults. Neuroscience 2016, 332, 181–190. [Google Scholar] [CrossRef] [PubMed]
- Jones, D.K.; Knosche, T.R.; Turner, R. White matter integrity, fiber count, and other fallacies: The do’s and don’ts of diffusion MRI. Neuroimage 2013, 73, 239–254. [Google Scholar] [CrossRef] [PubMed]
- Huang, J.; Du, F.L.; Yao, Y.; Wan, Q.; Wang, X.S.; Chen, F.Y. Numerical magnitude processing in abacus-trained children with superior mathematical ability: An EEG study. J. Zhejiang Univ. Sci. B 2015, 16, 661–671. [Google Scholar] [CrossRef] [PubMed]
- Amo, D.; Fox, P.; Fonseca, D.; Poyatos, C. Systematic Review on Which Analytics and Learning Methodologies Are Applied in Primary and Secondary Education in the Learning of Robotics Sensors. Sensors 2021, 21, 153. [Google Scholar] [CrossRef]
- Li, Y.; Hu, Y.; Zhao, M.; Wang, Y.; Huang, J.; Chen, F. The neural pathway underlying a numerical working memory task in abacus-trained children and associated functional connectivity in the resting brain. Brain Res. 2013, 1539, 24–33. [Google Scholar] [CrossRef]
- Weng, J.; Xie, Y.; Wang, C.; Chen, F. The Effects of Long-term Abacus Training on Topological Properties of Brain Functional Networks. Sci. Rep. 2017, 7, 8862. [Google Scholar] [CrossRef]
- Wang, C.; Geng, F.; Yao, Y.; Weng, J.; Hu, Y.; Chen, F. Abacus Training Affects Math and Task Switching Abilities and Modulates Their Relationships in Chinese Children. PLoS ONE 2015, 10, e0139930. [Google Scholar] [CrossRef] [PubMed]
- Philip, S.; Wing Chee, S. A Feel for Numbers: The Changing Role of Gesture in Manipulating the Mental Representation of an Abacus Among Children at Different Skill Levels. Front. Psychol. 2018, 9, 1267. [Google Scholar] [CrossRef]
- Bhaskaran, M.; Sengottaiyan, A.; Madhu, S.; Ranganathan, V. Evaluation of memory in abacus learners. Indian J. Physiol. Pharm. 2006, 50, 225–233. [Google Scholar]
- Lustig, C.; Shah, P.; Seidler, R.; Reuter-Lorenz, P.A. Aging, training, and the brain: A review and future directions. Neuropsychol. Rev. 2009, 19, 504–522. [Google Scholar] [CrossRef] [PubMed]
- Zhou, H.; Geng, F.; Wang, T.; Wang, C.; Xie, Y.; Hu, Y.; Chen, F. Training on Abacus-based Mental Calculation Enhances Resting State Functional Connectivity of Bilateral Superior Parietal Lobules. Neuroscience 2020, 432, 115–125. [Google Scholar] [CrossRef]
- Frank, C.; Barner, D. Representing exact number visually using mental abacus. J. Exp. Psychol. Gen. 2012, 141, 134–149. [Google Scholar] [CrossRef] [PubMed]
- Wang, Y.; Geng, F.; Hu, Y.; Du, F.; Chen, F. Numerical processing efficiency improved in experienced mental abacus children. Cognition 2013, 127, 149–158. [Google Scholar] [CrossRef] [PubMed]
- Zatorre, R.J.; Fields, R.D.; Johansen-Berg, H. Plasticity in gray and white: Neuroimaging changes in brain structure during learning. Nat. Neurosci. 2012, 15, 528–536. [Google Scholar] [CrossRef] [PubMed]
- Josipovic, Z.; Dinstein, I.; Weber, J.; Heeger, D.J. Influence of meditation on anti-correlated networks in the brain. Front. Hum. Neurosci. 2011, 5, 183. [Google Scholar] [CrossRef] [PubMed]
- López Guerrero, C. Cerebral hemisphere stimulation program in learning cosntruction of 5 year old children in initial Education of Yungar District in Carhuaz. Bing Bang Faustiniano 2019, 8, 44–48. [Google Scholar]
- Donlan, C.; Wu, C. Procedural complexity underlies the efficiency advantage in abacus-based arithmetic development. Cogn. Dev. 2017, 43, 14–24. [Google Scholar] [CrossRef]
- Kelly, C.; Castellanos, F.X. Strengthening connections: Functional connectivity and brain plasticity. Neuropsychol. Rev. 2014, 24, 63–76. [Google Scholar] [CrossRef]
- Fernández, I. Competencia en cálculo mental con el Ábaco Japonés. Números. Rev. Didác. Matem. 2018, 99, 141–152. [Google Scholar]
- Tanaka, S.; Seki, K.; Hanakawa, T.; Harada, M.; Sugawara, S.K.; Sadato, N.; Watanabe, K.; Honda, M. Abacus in the brain: A longitudinal functional MRI study of a skilled abacus user with a right hemispheric lesion. Front. Psychol. 2012, 3, 315. [Google Scholar] [CrossRef]
- Meke, K.D.P.; Wutsqa, D.U.; Alfi, H.D. The Effectiveness of Problem-based Learning Using Manipulative Materials Approach on Cognitive Ability in Mathematics Learning. J. Phys. Conf. Ser. 2018, 1097. [Google Scholar] [CrossRef]
- Ku, Y.; Hong, B.; Zhou, W.; Bodner, M.; Zhou, Y.D. Sequential neural processes in abacus mental addition: An EEG and fMRI case study. PLoS ONE 2012, 7, e36410. [Google Scholar] [CrossRef] [PubMed]
- Wu, H.; Li, L. Development of Chinese rating scale of pupil’s mathematic abilities and study on its reliability and validity. China Public Health. 2005, 21, 473–475. [Google Scholar]
- Cui, J.; Xiao, R.; Ma, M.; Yuan, L.; Cohen Kodash, R.; Zhou, X. Children skilled in mental abacus show enhanced non-symbolic number sense. Curr. Psychol. 2020, 1–14. [Google Scholar] [CrossRef]
- Kalbkhani, E.; Sameri, M. Effectiveness of Mental Calculation Training by Abacus on reducing the learning disability of math in third grade elementary school students. Empower. Except. Child. 2020, 11, 101–116. [Google Scholar] [CrossRef]
- Seisdedos, N. Adapt. Española D2, Test de Atención de Brickenkamp; TEA Ediciones: Madrid, Spain, 2012. [Google Scholar]
- Pawlowski, J. Test de Atención d2: Consistencia interna, estabilidad temporal y evidencias de validez/The d2 Test of Attention: Internal Consistency, Temporal Stability and Evidence of Validity. Rev. Costar. Psico. 2020, 39, 145–165. [Google Scholar]
- Thurstone, L.L.; Yela, M. CARAS-R. Test de Percepción de Diferencias-Revisado; Tea Ediciones: Madrid, Spain, 2012. [Google Scholar]
- Ison, M.S.; Carrada, M. Tipificación argentina del Test de Percepción de Diferencias (CARAS). In Test de Percepción de Diferencias Revisado (CARAS-R); Louis Leon, T., Mariano, Y., Eds.; Tea Edition: Madrid, Spain, 2012; pp. 37–63. [Google Scholar]
- Cordero, P.A. Adaptación para Lima Metropolitana de Dioses, A. Test de Memoria Auditiva Inmediata, 7th ed.; TEA Ediciones: Madrid, Spain, 2009. [Google Scholar]
- Dioses, A.; Manrique, S.; Segura, K. Adaptación del Test de Memoria Inmediata (MAI); Centro de Investigación y Publicaciones CPAL: Lima, Peru, 2002. [Google Scholar]
- Corbalán, F.J. Crea, Inteligencia Creativa: Una Medida Cognitiva de la Creatividad; TEA Ediciones: Madrid, Spain, 2006. [Google Scholar]
- López Martínez, O.; Navarro, J. Creatividad e inteligencia: Un estudio en Educación Primaria. Rev. Investig. Educat. 2008, 28, 283–296. [Google Scholar]
- World Medical Association. Declaration of Helsinki. Ethical principles for medical research involving human subjects. Jahrbuch für Wissenschaft Und Ethik 2009, 14, 233–238. [Google Scholar]
- The Jamovi Project. Jamovi (Version 1.2) [Computer Software]. 2020. Available online: https://www.jamovi.org (accessed on 11 June 2020).
- Pérez-Fernández, J.I.; Garaigordobil-Landazabal, M.; Adrada, Z.; de Miguel, L. Effects of an education program for coexistence on creative and socio-emotional development factors for children aged 7–11 years. Summa Psicológica UST 2011, 8, 5–17. [Google Scholar] [CrossRef]
- Irwing, P.; Hamza, A.; Khaleefa, O.; Lynn, R. Effects of Abacus training in the intelligence on Sudanese children. Pers. Individ. Differ. 2008, 45, 694–696. [Google Scholar] [CrossRef]
- Du, F.; Yao, Y.; Zhang, Q.; Chen, F. Long-term abacus training induces automatic processing of abacus numbers in children. Perception 2014, 43, 694–704. [Google Scholar] [CrossRef] [PubMed]
- Barbaroux, M.; Dittinger, E.; Besson, M. Music training with Demos program positively influences cognitive functions in children from low socio-economic backgrounds. PLoS ONE 2019, 14, e0216874. [Google Scholar] [CrossRef]
- Rasmussen, M.; Laumann, K. The academic and psychological benefits of exercise in healthy children and adolescents. Eur. J. Psych. Educ. 2013, 28, 945–962. [Google Scholar] [CrossRef]
- Na, K.S.; Lee, S.; Park, J.H.; Jung, H.Y.; Ryu, J.H. Association between Abacus Training and Improvement in Response Inhibition: A Case-control Study. Clin. Psychophar. Neurosc. 2015, 13, 163–167. [Google Scholar] [CrossRef] [PubMed]
- Sala, G.; Burgoyne, A.P.; Macnamara, B.N.; Hambrick, D.Z.; Campitelli, G.; Gobet, F. Checking the “Academic Selection” argument. Chess players outperform non-chess players in cognitive skills related to intelligence: A meta-analysis. Intelligence 2017, 61, 130–139. [Google Scholar] [CrossRef]


| Characteristics | Total (n = 65) | EG (n = 34) | CG (n = 31) | p-Value | |
|---|---|---|---|---|---|
| Age | 8.49 ± 1.65 | 8.56 ± 1.56 | 8.41 ± 1.77 | 0.736 | |
| Sex | Girls | 27 (41.54) | 14 (51.9) | 13 (48.1) | 0.951 |
| Boys | 38 (58.46) | 20 (52.6) | 18(47.4) | ||
| Academic course | 1º | 14 (21.53) | 6 (42.9) | 8 (57.1) | 0.911 |
| 2º | 8 (12.31) | 4 (50) | 4 (50) | ||
| 3º | 11 (16.92) | 7 (63.6) | 4 (36.4) | ||
| 4º | 13 (20) | 7 (53.8) | 6 (46.2) | ||
| 5º | 12 (18.46) | 7 (58.3) | 5 (41.7) | ||
| 6º | 7 (10.77) | 3 (42.9) | 4 (57.1) | ||
| Siblings | 0.95 ± 0.78 | 1.15 ± 0.86 | 0.74 ± 0.63 | 0.198 | |
| Lenses use | No | 44 (67.69) | 23 (53.3) | 21 (47.7) | 0.993 |
| Yes | 21 (32.31) | 11 (52.4) | 10 (47.6) | ||
| Concentration | 62.15 ± 15.69 | 62.56 ± 13.50 | 61.71 ± 18.00 | 0.829 | |
| Attention | 67.58 ± 12.92 | 70.29 ± 9.51 | 64.61 ± 15.47 | 0.077 | |
| Difference perception | 4.55 ± 1.76 | 4.53 ± 1.38 | 4.58 ± 2.13 | 0.908 | |
| Impulsivity Control Index | 4.74 ± 1.58 | 5.15 ± 1.28 | 4.29 ± 1.77 | 0.099 | |
| Logical memory | 26.92 ± 8.54 | 26.21 ± 7.51 | 27.71 ± 9.60 | 0.483 | |
| Numerical memory | 9.51 ± 2.22 | 8.85 ± 2.32 | 10.23 ± 1.89 | 0.012 | |
| Associative memory | 28.57 ± 7.25 | 28.06 ± 7.15 | 29.13 ± 7.43 | 0.556 | |
| Total score AIM | 74.51 ± 18.13 | 71.97 ± 17.75 | 77.29 ± 18.42 | 0.240 | |
| Creativity | 53.69 ± 21.42 | 51.29 ± 20.73 | 56.32 ± 22.20 | 0.349 |
| Sum of Squares | df | Mean Square | F | p | η2p | |
|---|---|---|---|---|---|---|
| DV | 836,961.14 | 8 | 104,620.14 | 606.94 | <0.001 | 0.91 |
| DV ∗ Group | 1164.05 | 8 | 145.51 | 0.84 | 0.564 | 0.01 |
| Residual | 86,875.63 | 504 | 172.37 | |||
| Time | 620.68 | 1 | 620.68 | 114.86 | <0.001 | 0.65 |
| Time ∗ Group | 1121.33 | 1 | 1121.33 | 207.51 | <0.001 | 0.77 |
| Residual | 340.44 | 63 | 5.40 | |||
| DV ∗ Time | 1159.55 | 8 | 144.94 | 36.95 | <0.001 | 0.37 |
| DV ∗ Time ∗ Group | 1863.33 | 8 | 232.92 | 59.37 | <0.001 | 0.49 |
| Residual | 1977.22 | 504 | 3.92 | |||
| Group | 411.11 | 1 | 411.11 | 0.35 | 0.557 | 0.01 |
| Residual | 74,441.43 | 63 | 1181.61 |
| DV | VI | SS | df | Mean Square | F | p | η2p |
|---|---|---|---|---|---|---|---|
| D2 CON | Time | 17.62 | (1, 63) | 17.62 | 1.80 | 0.184 | 0.03 |
| Time ∗ Group | 133.32 | (1, 63) | 133.32 | 13.65 | <0.001 | 0.18 | |
| Group | 268.37 | (1, 63) | 268.37 | 0.52 | 0.471 | 0.01 | |
| D2 Atte | Time | 22.17 | (1, 63) | 22.17 | 1.98 | 0.164 | 0.03 |
| Time ∗ Group | 0.23 | (1, 63) | 0.23 | 0.02 | 0.885 | 0.00 | |
| Group | 1015.69 | (1, 63) | 1015.69 | 3.42 | 0.069 | 0.05 | |
| LM | Time | 90.53 | (1, 63) | 90.53 | 27.69 | <0.001 | 0.31 |
| Time ∗ Group | 20.75 | (1, 63) | 20.75 | 6.35 | 0.014 | 0.09 | |
| Group | 16.07 | (1, 63) | 16.07 | 0.11 | 0.739 | 0.00 | |
| NM | Time | 102.63 | (1, 63) | 102.63 | 159.86 | <0.001 | 0.72 |
| Time ∗ Group | 68.78 | (1, 63) | 68.78 | 107.14 | <0.001 | 0.63 | |
| Group | 0.23 | (1, 63) | 0.23 | 0.03 | 0.861 | 0.00 | |
| ASS | Time | 66.34 | (1, 63) | 66.34 | 97.28 | <0.001 | 0.61 |
| Time ∗ Group | 33.14 | (1, 63) | 33.14 | 48.60 | <0.001 | 0.44 | |
| Group | 0.11 | (1, 63) | 0.11 | 0.00 | 0.973 | 0.00 | |
| AIM | Time | 1438.02 | (1, 63) | 1438.02 | 240.34 | <0.001 | 0.79 |
| Time ∗ Group | 723.56 | (1, 63) | 723.56 | 120.93 | <0.001 | 0.66 | |
| Group | 11.53 | (1, 63) | 11.53 | 0.02 | 0.891 | 0.00 | |
| PD | Time | 1.61 | (1, 63) | 1.61 | 4.70 | 0.034 | 0.07 |
| Time ∗ Group | 22.66 | (1, 63) | 22.66 | 66.03 | <0.001 | 0.51 | |
| Group | 19.97 | (1, 63) | 19.97 | 3.31 | 0.073 | 0.05 | |
| ICI | Time | 5.06 | (1, 63) | 5.06 | 14.88 | <0.001 | 0.19 |
| Time ∗ Group | 25.99 | (1, 63) | 25.99 | 76.35 | <0.001 | 0.55 | |
| Group | 0.05 | (1, 63) | 0.05 | 0.01 | 0.919 | 0.00 | |
| CREA | Time | 36.23 | (1, 63) | 36.23 | 7.91 | 0.007 | 0.11 |
| Time ∗ Group | 1956.23 | (1, 63) | 1956.23 | 426.94 | <0.001 | 0.87 | |
| Group | 243.15 | (1, 63) | 243.15 | 0.28 | 0.602 | 0.00 |
| DV | Con | Atte | LM | NM | AM | AIM | PD | ICI | CREA | ||||||||||
|---|---|---|---|---|---|---|---|---|---|---|---|---|---|---|---|---|---|---|---|
| EG | Con | r | — | ||||||||||||||||
| p | — | ||||||||||||||||||
| Atte | r | 0.61 | *** | — | |||||||||||||||
| p | <0.001 | — | |||||||||||||||||
| LM | r | 0.85 | *** | 0.57 | *** | — | |||||||||||||
| p | <0.001 | <0.001 | — | ||||||||||||||||
| NM | r | 0.55 | *** | 0.36 | * | 0.56 | *** | — | |||||||||||
| p | <0.001 | 0.037 | <0.001 | — | |||||||||||||||
| AM | r | 0.67 | *** | 0.52 | ** | 0.80 | *** | 0.56 | *** | — | |||||||||
| p | <0.001 | 0.002 | <0.001 | <0.001 | — | ||||||||||||||
| AIM | r | 0.81 | *** | 0.57 | *** | 0.94 | *** | 0.72 | *** | 0.92 | *** | — | |||||||
| p | <0.001 | <0.001 | <0.001 | <0.001 | <0.001 | — | |||||||||||||
| DP | r | 0.44 | * | 0.50 | ** | 0.61 | *** | 0.39 | * | 0.63 | *** | 0.65 | *** | — | |||||
| p | 0.010 | 0.002 | <0.001 | 0.021 | <0.001 | <0.001 | — | ||||||||||||
| ICI | r | 0.42 | * | 0.18 | 0.46 | ** | 0.25 | 0.31 | 0.41 | * | 0.59 | *** | — | ||||||
| p | 0.012 | 0.297 | 0.006 | 0.148 | 0.074 | 0.016 | <0.001 | — | |||||||||||
| CREA | r | 0.42 | * | 0.08 | 0.42 | * | 0.27 | 0.34 | 0.40 | * | 0.46 | ** | 0.57 | *** | — | ||||
| p | 0.014 | 0.665 | 0.014 | 0.117 | 0.052 | 0.018 | 0.006 | <0.001 | — | ||||||||||
| CG | Con | r | — | ||||||||||||||||
| p | — | ||||||||||||||||||
| Atte | r | 0.71 | *** | — | |||||||||||||||
| p | <0.001 | — | |||||||||||||||||
| LM | r | 0.74 | *** | 0.61 | *** | — | |||||||||||||
| p | <0.001 | <0.001 | — | ||||||||||||||||
| NM | r | 0.26 | 0.26 | 0.39 | * | — | |||||||||||||
| p | 0.160 | 0.159 | 0.031 | — | |||||||||||||||
| AM | r | 0.51 | ** | 0.44 | * | 0.75 | *** | 0.55 | ** | — | |||||||||
| p | 0.003 | 0.014 | <0.001 | 0.001 | — | ||||||||||||||
| AIM | r | 0.65 | *** | 0.55 | ** | 0.91 | *** | 0.65 | *** | 0.92 | *** | — | |||||||
| p | <0.001 | 0.001 | <0.001 | <0.001 | <0.001 | — | |||||||||||||
| DP | r | 0.49 | ** | 0.39 | * | 0.43 | * | 0.04 | 0.49 | ** | 0.43 | * | — | ||||||
| p | 0.005 | 0.028 | 0.015 | 0.842 | 0.006 | 0.015 | — | ||||||||||||
| ICI | r | 0.30 | 0.19 | 0.40 | * | 0.27 | 0.46 | ** | 0.46 | ** | 0.75 | *** | — | ||||||
| p | 0.100 | 0.311 | 0.026 | 0.142 | 0.008 | 0.009 | <0.001 | — | |||||||||||
| CREA | r | 0.68 | *** | 0.55 | ** | 0.84 | *** | 0.53 | ** | 0.75 | *** | 0.87 | *** | 0.31 | 0.27 | — | |||
| p | <0.001 | 0.001 | <0.001 | 0.002 | <0.001 | <0.001 | 0.093 | 0.144 | — |
Publisher’s Note: MDPI stays neutral with regard to jurisdictional claims in published maps and institutional affiliations. |
© 2021 by the authors. Licensee MDPI, Basel, Switzerland. This article is an open access article distributed under the terms and conditions of the Creative Commons Attribution (CC BY) license (http://creativecommons.org/licenses/by/4.0/).
Share and Cite
León, S.P.; Carcelén Fraile, M.d.C.; García-Martínez, I. Development of Cognitive Abilities through the Abacus in Primary Education Students: A Randomized Controlled Clinical Trial. Educ. Sci. 2021, 11, 83. https://doi.org/10.3390/educsci11020083
León SP, Carcelén Fraile MdC, García-Martínez I. Development of Cognitive Abilities through the Abacus in Primary Education Students: A Randomized Controlled Clinical Trial. Education Sciences. 2021; 11(2):83. https://doi.org/10.3390/educsci11020083
Chicago/Turabian StyleLeón, Samuel P., María del Carmen Carcelén Fraile, and Inmaculada García-Martínez. 2021. "Development of Cognitive Abilities through the Abacus in Primary Education Students: A Randomized Controlled Clinical Trial" Education Sciences 11, no. 2: 83. https://doi.org/10.3390/educsci11020083
APA StyleLeón, S. P., Carcelén Fraile, M. d. C., & García-Martínez, I. (2021). Development of Cognitive Abilities through the Abacus in Primary Education Students: A Randomized Controlled Clinical Trial. Education Sciences, 11(2), 83. https://doi.org/10.3390/educsci11020083

