Leadership Styles, High-Involvement Human Resource Management Practices, and Individual Employee Performance in Small and Medium Enterprises in the Digital Era
Abstract
:1. Introduction
2. Literature Review
2.1. LSs and IEP
2.2. HIHRMPs and IEP for Sustainability
2.3. LSs and HIHRMPs
2.4. Research Framework
3. Methodology
4. Results
4.1. Descriptive Analysis
4.2. CFA
- Y2.3 = 1.392 > all values in the lower columns (0.878, etc.);
- Y2.2 = 1.220 > all values in the left-hand columns (0.878, etc.) and below (0.841, etc.);
- Y2.1 = 1.236 > all values in the left-hand columns (0.841, etc.) and below (0.784 etc.);
- Y1.4 = 1.220 > all values in the left-hand columns (0.784, etc.) and below (0.673, etc.);
- Y1.3 = 1.220 > all values in the left-hand columns (0.673, etc.) and below (0.701 etc.);
- Y1.2 = 1.270 > all values in the left-hand columns (0.701, etc.) and below (0.772, etc.);
- Y1.1 = 1.253 > all values in the left-hand columns (0.772, etc.) and below (0.802, etc.);
- X.6 = 1.337 > all values in the left-hand columns (0.802, etc.) and below (0.893, etc.);
- X.5 = 1.329 > all values in the left-hand columns (0.893, etc.) and below (0.944, etc.);
- X.4 = 1.357 > all values in the left-hand columns (0.944, etc.) and below (0.917, etc.);
- X.3 = 1.338 > all values in the left-hand columns (0.917, etc.) and below (0.932 etc.);
- X.2 = 1.351 > all values in the left-hand columns (0.932, etc.) and below (0.974 etc.);
- X.1 = 1.403 > all values in the left-hand columns (0.974, etc.).
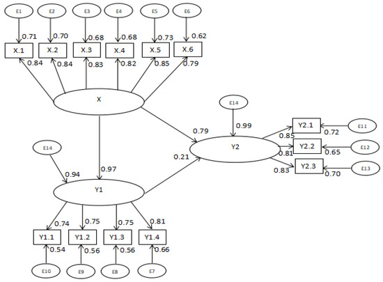
4.3. GoF and SEM
4.4. Hypotheses
5. Discussion
5.1. Theoretical Implications
5.2. Practical Implications
6. Conclusions
Limitations
Author Contributions
Funding
Institutional Review Board Statement
Informed Consent Statement
Data Availability Statement
Conflicts of Interest
References
- Abba, Maryam Tijjani. 2018. Effects of Training and Development on Employee Retention in Bauchi State Metropolis Banks. International Journal of Operational Research in Management 4: 24–39. Available online: http://internationalpolicybrief.org/journals/international-scientific-research-consortium-journals/intl-jrnl-of-operational-research-in-mgmt-soc-sci-edu-vol4-no1-june-2018 (accessed on 21 March 2021).
- Aboramadan, Mohammed, Zeeshan Hamid, Yasir Mansoor Kundi, and Eissa El Hamalawi. 2022. The effect of servant leadership on employees’ extra-role behaviors in NPOs: The role of work engagement. Nonprofit Management and Leadership, 1–21. [Google Scholar] [CrossRef]
- Ahmed, Tanveer, Yang Chaojun, Yang Hongjuan, and Salman Mahmood. 2022. The Impact of Empowering Leadership on Job Performance of Higher Education Institutions Employees: Mediating Role of Goal Clarity and Self-Efficacy. Psychology Research and Behavior Management 15: 677–94. [Google Scholar] [CrossRef] [PubMed]
- Al Qudah, Hamzah Mohammad A., Abdullah Osman, and HamzahEdris M. Al Qudah. 2014. The Effect Of Human Resources Management Practices On Employee Performance. International Journal of Scientific & Technology Research 3: 9. [Google Scholar]
- AlAbri, Ismail, Rusinah Bte Siron, and Mohammad Nurul Alam. 2022. Human Resource Management (HRM) Practices And Employees’ Adaptive Performance: The Moderating Role Of Transformational Leadership. Webology 19: 2. Available online: http://www.webology.org (accessed on 21 March 2022).
- Alahbabi, A. M. F. M., Robani Anidah, and Samer Ali Al-Shami. 2021. A Framework of Servant Leadership Impact on Job Performance: The Mediation Role of Employee Happiness in Uae Healthcare Sector. Academy of Strategic Management Journal 20: 1–14. [Google Scholar]
- Ali, Muhammad, Shen Lei, Zheng Shi Jie, and Mohammad Anisur Rahman. 2018. Empowering leadership and employee performance: A mediating role of thriving at work. International Journal of Asian Business and Information Management 9: 1–14. [Google Scholar] [CrossRef]
- Alsafadi, Yousef, and Shadi Altahat. 2021. Human Resource Management Practices and Employee Performance: The Role of Job Satisfaction. Journal of Asian Finance, Economics, and Business 8: 519–29. [Google Scholar] [CrossRef]
- Arief, Abdul Samad, Petrus Jacob Pattiasina, and Sahat Parulian Remus. 2021. Relevance of human resource management on small business objective in the digital era: A critical review of research evidence. International Journal of Social Sciences and Humanities 5: 79–91. [Google Scholar] [CrossRef]
- Arwab, Mohd, Jamal Abdul Nasir Ansari, Mohd Azhar, and Mohd Ashraf Ali. 2022. Exploring the influence of training and development on employee’s performance: Empirical evidence from the Indian tourism industry. Management Science Letters 12: 89–100. [Google Scholar] [CrossRef]
- Barata, Amrin. 2019. Strengthening National Economic Growth and Equitable Income through Sharia Digital Economy in Indonesia. Journal of Islamic Monetary Economics and Finance 5: 145–68. [Google Scholar] [CrossRef]
- Castellano, Sylvaine, Komes Chandavimol, Insaf Khelladi, and Mehmet A. Orhan. 2021. Impact of self-leadership and shared leadership on the performance of virtual r&d teams. Journal of Business Research 128: 578–86. [Google Scholar] [CrossRef]
- Cheong, Minyoung, Francis J. Yammarino, Shelley D. Dionne, Seth M. Spain, and Chou-Yu Tsai. 2019. A review of the effectiveness of empowering leadership. Leadership Quarterly 30: 34–58. [Google Scholar] [CrossRef]
- D’Innocenzo, Lauren, Michael Kukenberger, Andrea C. Farro, and Jennifer A. Griffith. 2021. Shared leadership performance relationship trajectories as a function of team interventions and members’ collective personalities. Leadership Quarterly 32: 101499. [Google Scholar] [CrossRef]
- Da Silva, Justino, I. Gede Riana, and Augusto Da Conceicao Soares. 2020. The Effect of Human Resources Management Practices on Innovation and Employee Performance (Study Conducted at NGOs Members of FONGTIL) Dili. International Journal of Multicultural and Multireligious Understanding 7: 322–30. [Google Scholar]
- De Cieri, Helen, and Mila Lazarova. 2021. “Your health and safety is of utmost importance to us”: A review of research on the occupational health and safety of international employees. Human Resource Management Review 31: 1–30. [Google Scholar] [CrossRef]
- Dela Crus, Mylene M., and Alan Y. Cabaluna. 2022. Investigating Human Resource Practices and its Impact on Employee Performance in Selected Banks in the Philippines. Journal of Business and Management Studies, 233–56. [Google Scholar]
- Demo, Gisela, Karla Coura, Natasha Fogaça, Ana Carolina Costa, Fernanda Scussel, and Lana Montezano. 2022. How Are Leadership, Virtues, HRM Practices, and Citizenship Related in Organizations? Testing of Mediation Models in the Light of Positive Organizational Studies. Sustainability 14: 1508. [Google Scholar] [CrossRef]
- Diaz-Carrion, Rosalia, Macarena López-Fernández, and Pedro M. Romero-Fernandez. 2019. Evidence of different models of socially responsible HRM in Europe. Business Ethics 28: 1–18. [Google Scholar] [CrossRef] [Green Version]
- Ekowati, Vivin Maharani. 2019. The Effects of Occupational Health and Safety on Employee Performance through Work Satisfaction. Advances in Economics, Business and Management Research 101: 242–45. Available online: http://creativecommons.org/licenses/by-nc/4.0/ (accessed on 21 March 2021).
- Ellinger, Davis Delery, and Schuler Svendsen. 2021. The Impact of Human Resource Planning on Organizational Performance; A Case of Manufacturing Firms in Austria. Journal of Human Resource & Leadership 5: 14–21. [Google Scholar]
- Fachrunnisa, Olivia, Ardian Adhiatma, Najah Lukman, and Md Noh Ab Majid. 2020. Towards SMEs’ digital transformation: The role of agile leadership and strategic flexibility. Journal of Small Business Strategy 30: 65–85. Available online: http://www.smallbusinessinstitute.biz (accessed on 21 March 2021).
- Falentina, Anna T., Budy P. Resosudarmo, Danang Darmawan, and Eny Sulistyaningrum. 2021. Digitalisation and the Performance of Micro and Small Enterprises in Yogyakarta, Indonesia. Bulletin of Indonesian Economic Studies 57: 343–69. [Google Scholar] [CrossRef]
- Fan, Di, Cherrie Jiuhua Zhu, Andrew R. Timming, Yiyi Su, Xinli Huang, and Ying Lu. 2020. Using the past to map out the future of occupational health and safety research: Where do we go from here? International Journal of Human Resource Management 31: 90–127. [Google Scholar] [CrossRef]
- Fu, Hui, Ben Haobin Ye, and Xiaoyu Xu. 2020. The cross-level effect of shared leadership on tourism employee proactive behavior and adaptive performance. Sustainability 12: 6173. [Google Scholar] [CrossRef]
- Gautam, Tara Prasad, and Santosh Raj. 2018. Human Resource Planning, Selection and Training Practices of Nepalese Pharmaceutical Companies of Nepal. Nepal Journal of Multidisciplinary Research (NJMR) 1: 58–70. [Google Scholar]
- Gomathy, C. K., K. Varun Reddy, and K. Vikas Reddy. 2022. The Impact of Human Resource Planning on Productivity E-File System. International Journal of Scientific Research in Engineering and Management 6: 1–6. [Google Scholar] [CrossRef]
- Grigorescu, Adriana, Elena Pelinescu, Amalia Elena Ion, and Monica Florica Dutcas. 2021. Human capital in the digital economy: An empirical analysis of central and Eastern European countries from the European Union. Sustainability 13: 2020. [Google Scholar] [CrossRef]
- Handayani, Rini, and Kasidin Kasidin. 2022. Employee Performance Analysis Based on Human Resources Management Practices in Private Hospital in Surakarta. Kinerja Karyawan Media Ekonomi Dan Manajemen 37: 109–26. [Google Scholar] [CrossRef]
- Haryati, Rice, Yasri Yasri, Hasdi Aimon, and Muhammad Darwin. 2021. Development of Small, Micro Enterprises Based (Smes) on Innovation and Environmental Sustainable Development in West Sumatera. International Journal of Entrepreneurship 25: 1–13. [Google Scholar]
- Hasle, Peter, Christian Uhrenholdt Madsen, and David Hansen. 2021. Integrating operations management and occupational health and safety: A necessary part of safety science! Safety Science 139: 105247. [Google Scholar] [CrossRef]
- He, Jie, Alastair M. Morrison, and Hao Zhang. 2021. Being sustainable: The three-way interactive effects of CSR, green human resource management, and responsible leadership on employee green behavior and task performance. Corporate Social Responsibility and Environmental Management 28: 1043–54. [Google Scholar] [CrossRef]
- Humborstad, Sut I. Wong, Christina G. L. Nerstad, and Anders Dysvik. 2014. Empowering leadership, employee goal orientations and work performance: A competing hypothesis approach. Personnel Review 43: 246–71. [Google Scholar] [CrossRef]
- Huo, Baofeng, Zhaojun Han, Haozhe Chen, and Xiande Zhao. 2015. The effect of high-involvement human resource management practices on supply chain integration. International Journal of Physical Distribution and Logistics Management 45: 716–46. [Google Scholar] [CrossRef]
- Idris, Idris, Achmad Suyuti, Ahmad Sani Supriyanto, and Nanang As. 2022. Transformational Leadership, Political Skill, Organizational Culture, and Employee Performance: A Case from Tourism Company in Indonesia. Geojournal of Tourism and Geosites 40: 104–10. [Google Scholar] [CrossRef]
- Ilyas, Muhammad, Aidin Hudani Awasinombu, and Moh Masri. 2021. The Effect of Work Discipline, Teamwork and Occupational Health and Safety on Employee Satisfaction of UPTD Pengelolaan Sampah Dinas Lingkungan Hidup Bombana District. Journal on Management and Education Human Development 4: 41–51. Available online: http://www.ijmehd.com (accessed on 20 April 2022).
- Jean, Kimani N., Thomas Katua Ngui, and Arasa Robert. 2017. Effect of Compensation Strategies on Employee Performance: A Case Study of Mombasa Cement Limited. International Journal of Innovative Social Sciences & Humanities Research 5: 25–42. Available online: www.seahipaj.org (accessed on 21 April 2022).
- John, Achanya Julius, and Cinjel Nandes Dickson. 2022. Employee Training and Employee Development in an Organization: Explaining the Difference for the Avoidance of Research Pitfalls. Public Administration: Theory and Practice in Nigeria. [Google Scholar]
- Kadarusman, Kadarusman, and Benjamin Bunyamin. 2021. The role of knowledge sharing, and trust as mediation on servant leadership and job performance. Management Science Letters 11: 1509–20. [Google Scholar] [CrossRef]
- Kaltiainen, Janne, and Jari Hakanen. 2022. Fostering task and adaptive performance through employee well-being: The role of servant leadership. BRQ Business Research Quarterly 25: 28–43. [Google Scholar] [CrossRef]
- Karim, Al Rashed. 2019. Impact of Different Training and Development Programs on Employee Performance in Bangladesh Perspective. International Journal of Entrepreneruial Research 1: 8–14. [Google Scholar] [CrossRef] [Green Version]
- Kazmi, Syeda Wajiha, and Syeda Tuba Javaid. 2022. Antecedents of organizational identification: Implications for employee performance. RAUSP Management Journal 57: 111–30. [Google Scholar] [CrossRef]
- Kim, Minseo, Terry A. Beehr, and Matthew S. Prewett. 2018. Employee Responses to Empowering Leadership: A Meta-Analysis. Journal of Leadership and Organizational Studies 25: 257–76. [Google Scholar] [CrossRef]
- Klasmeier, Kai N., and Jens Rowold. 2022. A diary study on shared leadership, teamwork engagement, and goal attainment. Journal of Occupational and Organizational Psychology 95: 36–59. [Google Scholar] [CrossRef]
- Kloutsiniotis, Panagiotis V., Dimitrios M. Mihail, Naoum Mylonas, and Adamantia Pateli. 2022. Transformational Leadership, HRM practices and burnout during the COVID-19 pandemic: The role of personal stress, anxiety, and workplace loneliness. International Journal of Hospitality Management 102: 103177. [Google Scholar] [CrossRef]
- Kumar, Aneel, Tayabba Gul Pathan, and Hira Rani Shaikh. 2022. Servant Leadership as Impetus for Teachers’ Organisational Citizenship and In-role Behaviours: The Mediation of Felt Obligation. International Journal of Organizational Leadership 11: 44–54. Available online: https://www.ijol.cikd.ca (accessed on 19 April 2022). [CrossRef]
- Leroy, Hannes, Jesse Segers, Dirk Van Dierendonck, and Deanne Den Hartog. 2018. Managing people in organizations: Integrating the study of HRM and leadership. Human Resource Management Review 28: 249–57. [Google Scholar] [CrossRef]
- Liang, Bingqian, Daan van Knippenberg, and Qinxuan Gu. 2021. A cross-level model of shared leadership, meaning, and individual creativity. Journal of Organizational Behavior 42: 68–83. [Google Scholar] [CrossRef]
- Lin, Meizhen, Xiujuan Zhang, Boon Ching Serene Ng, and Lirong Zhong. 2022. The dual influences of team cooperative and competitive orientations on the relationship between empowering leadership and team innovative behaviors. International Journal of Hospitality Management 102: 103160. [Google Scholar] [CrossRef]
- Lv, Wan Qing, Li Chao Shen, Chin-Hsun Ken Tsai, Ching-Hui Joan Su, Hyun Jeong Kim, and Ming-Hsiang Chen. 2022. Servant leadership elevates supervisor-subordinate guanxi: An investigation of psychological safety and organizational identification. International Journal of Hospitality Management 101: 103114. [Google Scholar] [CrossRef]
- Lyubykh, Zhanna, Jennifer Bozeman, M. Sandy Hershcovis, Nick Turner, and J. Valerie Shan. 2022. Employee performance and abusive supervision: The role of supervisor over-attributions. Journal of Organizational Behavior 43: 125–45. [Google Scholar] [CrossRef]
- Mansaray, Hasan Elsan. 2019. The Consequence of Human Resource Planning on Organizational Performance: An Ephemeral Review. Britain International of Humanities and Social Sciences (BIoHS) Journal 1: 50–61. [Google Scholar] [CrossRef]
- Manzoor, Faiza, Longbao Wei, Tamás Bányai, Mohammad Nurunnabi, and Qazi Abdul Subhan. 2019. An examination of sustainable HRM practices on job performance: An application of training as a moderator. Sustainability 11: 2663. [Google Scholar] [CrossRef] [Green Version]
- Marescaux, Elise, Sophie De Winne, and Anneleen Forrier. 2019. Developmental HRM, employee well-being and performance: The moderating role of developing leadership. European Management Review 16: 317–31. [Google Scholar] [CrossRef]
- Megawaty, M., Aminuddin Hamdat, and Nur Aida. 2022. Examining Linkage Leadership Style, Employee Commitment, Work Motivation, Work Climate on Satisfaction and Performance. Golden Ratio of Human Resource Management 2: 1–14. [Google Scholar] [CrossRef]
- Min, Jeehee, Yangwoo Kim, Sujin Lee, Tae-Won Jang, Inah Kim, and Jaechul Song. 2019. The Fourth Industrial Revolution and Its Impact on Occupational Health and Safety, Worker’s Compensation and Labor Conditions. Safety and Health at Work 10: 400–8. [Google Scholar] [CrossRef] [PubMed]
- Mohammed, Ali Ibrahim, Zainab Fadhil Mohammed, and Harith Adnan Mohammad. 2022. The Effect of Compensation Management on Employee Performance: An Empirical Study in North Gas Company. World Bulletin of Management and Law (WBML) 7: 59–70. Available online: https://www.scholarexpress.net (accessed on 21 April 2022).
- Mossberger, Karen, Scott LaCombe, and Caroline J. Tolbert. 2022. A new measure of digital economic activity and its impact on local opportunity. Telecommunications Policy 46: 102231. [Google Scholar] [CrossRef]
- Muafi, Muafi, Wirman Syafri, Hadi Prabowo, and Sofyan Ashari Nur. 2021. Digital Entrepreneurship in Indonesia: A Human Capital Perspective. Journal of Asian Finance, Economics, and Business 8: 351–59. [Google Scholar] [CrossRef]
- Muma, Michael Mboya, Joyce Nzulwa, Kepha Ombui, and Romanus Odhiambo. 2018. Influence of Human Resource Planning Strategies on Retention of Employees in Universities in Kenya. International Journal of Thesis Projects and Dissertations (IJTPD) 6: 1–14. Available online: www.researchpublish.com (accessed on 20 April 2022).
- Mwangi, Jane Walth Ira, and Esther Waiganjo. 2017. Influence of Occupational Health and Safety on Limited, Thika Sub-County. Strategic Journal 4: 191–208. Available online: www.strategicjournals.com (accessed on 20 April 2022).
- Naqshbandi, M. Muzamil, Ibrahim Tabche, and Neetu Choudhary. 2018. Managing open innovation: The roles of empowering leadership and employee involvement climate. Management Decision 57: 703–23. [Google Scholar] [CrossRef]
- Narmanov, Ulugbek. 2022. The role and importance of the digital economy in the development of innovation. Linguistics and Culture Review 6: 121–33. [Google Scholar] [CrossRef]
- Neubert, Mitchell J., Mary Sully de Luque, Matthew J. Quade, and Emily M. Hunter. 2022. Servant leadership across the globe: Assessing universal and culturally contingent relevance in organizational contexts. Journal of World Business 57: 2. [Google Scholar] [CrossRef]
- Nguyen, Phong Thanh, Andri Yandi, and M. Rizky Mahaputra. 2020. Factors that Influence Employee Performance: Motivation, Leadership, Environment, Culture Organization, Work Achievement, Competence, and Compensation (A Study of Human Resource Management Literature Studies). Dinasty international Journal of Digital Business Management 1: 4. [Google Scholar] [CrossRef]
- Nkrumah, Edmund Nana Kwame, Suxia Liu, David Doe Fiergbor, and Linda Serwah Akoto. 2021. Improving the safety–performance nexus: A study on the moderating and mediating influence of work motivation in the causal link between occupational health and safety management (ohms) practices and work performance in the oil and gas sector. International Journal of Environmental Research and Public Health 18: 5064. [Google Scholar] [CrossRef] [PubMed]
- Peng, Jui-Chen, and Shou-Wei Chen. 2021. Servant Leadership and Service Performance: A Multilevel Mediation Model. Psychological Reports 124: 1738–60. [Google Scholar] [CrossRef]
- Pramono, Abdul Chatim, and Wawan Prahiawan. 2022. Effect of Training on Employee Performance with Competence and Commitment as Intervening. APTISI Transactions on Management (ATM) 6: 142–50. [Google Scholar] [CrossRef]
- Pratibha, S. 2022. HRM Practices on Employee Performance concerning Small-scale industries. Journal of Positive School Psychology 6: 915–20. Available online: http://journalppw.com (accessed on 20 April 2022).
- Pratiwi, Lintang Arum, and Lenny Christina Nawangsari. 2021. Organizational Citizenship Behavior while mediating Self-Efficacy, Servant Leadership and Organization Culture on Employee Performance. European Journal of Business and Management Research 6: 225–31. [Google Scholar] [CrossRef]
- Priyono, Anjar, Abdul Moin, and Vera Nur Aini Oktaviani Putri. 2020. Identifying Digital Transformation Paths in the Business Model of SMEs during the COVID-19 Pandemic. Journal of Open Innovation: Technology, Market, and Complexity 6: 104. [Google Scholar] [CrossRef]
- Qian, Jing, Baihe Song, Zhuyun Jin, Bin Wang, and Hao Chen. 2018. Linking empowering leadership to task performance, taking charge, and voice: The mediating role of feedback-seeking. Frontiers in Psychology 9: 2025. [Google Scholar] [CrossRef]
- Rahayu, Rita, and John Day. 2017. E-commerce adoption by SMEs in developing countries: Evidence from Indonesia. Eurasian Business Review 7: 25–41. [Google Scholar] [CrossRef] [Green Version]
- Rahayu, Mieke, Fahmi Rasid, and Hendy Tannady. 2019. International Review of Management and Marketing The Effect of Career Training and Development on Job Satisfaction and its Implications for the Organizational Commitment of Regional Secretariat (SETDA) Employees of Jambi Provincial Government. International Review of Management and Marketing 9: 79–89. [Google Scholar] [CrossRef]
- Ramli, Kalamullah. 2020. Indonesia on the Move: Improving Connectivity to Support E-commerce. In E-commerce Connectivity in ASEAN. Edited by L. Chen and F. Kimura. Jakarta: Economic Research Institute for ASEAN and East Asia, pp. 31–50. [Google Scholar]
- Renkema, Maarten, Jan de Leede, and Llewellyn E. Van Zyl. 2021. High-involvement HRM and innovative behavior: The mediating roles of nursing staff’s autonomy and affective commitment. Journal of Nursing Management 29: 2499–514. [Google Scholar] [CrossRef]
- Reuschke, Darja, Colin Mason, and Stephen Syrett. 2022. Digital futures of small businesses and entrepreneurial opportunity. Futures 128: 102877. [Google Scholar] [CrossRef]
- Rohlfer, Sylvia, Abderrahman Hassi, and Simon Jebsen. 2022. Management Innovation and Middle Managers: The Role of Empowering Leadership, Voice, and Collectivist Orientation. Management and Organization Review 18: 108–30. [Google Scholar] [CrossRef]
- Rossato, Chiara, and Paola Castellani. 2020. The contribution of digitalization to business longevity from a competitiveness perspective. TQM Journal 32: 617–45. [Google Scholar] [CrossRef]
- Rubel, Mohammad Rabiul Basher, Daisy Mui Hung Kee, Nadia Newaz Rimi, and Yusliza Mohd Yusoff. 2016. Adapting technology: Effect of high-involvement HRM and organizational trust. Behavior and Information Technology 36: 281–93. [Google Scholar] [CrossRef]
- Ruiz-Palomino, Pablo, Benito Yáñez-Araque, Pedro Jiménez-Estévez, and Santiago Gutiérrez-Broncano. 2022. Can servant leadership prevent hotel employee depression during the COVID-19 pandemic? A mediating and multigroup analysis. Technological Forecasting and Social Change 174: 121192. [Google Scholar] [CrossRef] [PubMed]
- Russell, Robert F., and A. Gregory Stone. 2002. A review of servant leadership attributes: Developing a practical model. Leadership & Organization Development Journal 23: 145–57. [Google Scholar] [CrossRef]
- Salas-Vallina, Andrés, Yasin Rofcanin, and Mireia Las Heras. 2022. Building resilience and performance in turbulent times: The influence of shared leadership and passion at work across levels. BRQ Business Research Quarterly 25: 8–27. [Google Scholar] [CrossRef]
- Scott-Young, Christina M., Maged Georgy, and Andrew Grisinger. 2019. Shared leadership in project teams: An integrative multi-level conceptual model and research agenda. International Journal of Project Management 37: 565–81. [Google Scholar] [CrossRef]
- Shaukat, Hafsa, Namrah Ashraf, and Shahzad Ghafoor. 2015. Impact of Human Resource Management Practices on Employees Performance. Middle-East Journal of Scientific Research 23: 329–38. [Google Scholar] [CrossRef]
- Shi, Renmin, Qian Meng, and Jie Huang. 2022. Impact of psychological empowerment on job performance of Chinese university faculty members: A cross-sectional study. Social Behavior and Personality: An International Journal 5: 1–11. [Google Scholar] [CrossRef]
- Silva, Sabrina Letícia Couto da, and Fernando Gonçalves Amaral. 2019. Critical factors of success and barriers to the implementation of occupational health and safety management systems: A systematic review of literature. Safety Science 117: 123–32. [Google Scholar] [CrossRef]
- Sinha, Ruchi, Chia-Yen Chiu, and Santosh B. Srinivas. 2021. Shared leadership and relationship conflict in teams: The moderating role of team power base diversity. Journal of Organizational Behavior 42: 649–67. [Google Scholar] [CrossRef]
- Song, Zhigang, Qinxuan Gu, and Fang Lee Cooke. 2020. The effects of high-involvement work systems and shared leadership on team creativity: A multilevel investigation. Human Resource Management 59: 201–13. [Google Scholar] [CrossRef]
- Sung, Sun Young, and Jin Nam Choi. 2018. Effects of training and development on employee outcomes and firm innovative performance: Moderating roles of voluntary participation and evaluation. Human Resource Management 57: 1339–53. [Google Scholar] [CrossRef]
- Tabiu, Abubakar, Faizuniah Pangil, and Siti Zubaidah Othman. 2016. Examining the link between HRM Practices and Employees’ performance in the Nigerian public sector. Management Science Letters 6: 395–408. [Google Scholar] [CrossRef] [Green Version]
- Tantri, Sakina Nusarifa, Shine Pintor Siolemba Patiro, Hendrian Hendrian, and Lasando Lumban Gaol. 2022. The Role of Job Demands in Moderating the Relationship between Servant Leadership and Job Satisfaction: A Study on Civil Apparatus in Five Major Cities in Indonesia. Jurnal Ilmiah Akuntansi 6: 221. [Google Scholar] [CrossRef]
- Tayibnapis, Ahmad Zafrullah, Lucia Endang Wuryaningsih, and Radita Gora. 2018. The Development of Digital Economy in Indonesia. International Journal of Management and Business Studies (IJMBS) 8: 14–18. [Google Scholar]
- Teiușan, Sorin-Ciprian, and Sorin-Constantin Deaconu. 2021. A Bibliometric Analysis for Global Research Trends on Digital Economy. Revista Economica 73: 312–36. [Google Scholar]
- Tran, Toan Khanh Pham, and Truc Trung Truong. 2021. Impact of Servant Leadership on Public Service Motivation of Civil Servants: Empirical Evidence from Vietnam. Journal of Asian Finance, Economics, and Business 8: 1057–66. [Google Scholar] [CrossRef]
- Tumi, Najameddin Sadeg, Ali Nawari Hasan, and Jamshed Khalid. 2021. Impact of Compensation, Job Enrichment, and Enlargement, and Training on Employee Motivation. Business Perspectives and Research 10: 121–39. [Google Scholar] [CrossRef]
- Uymaz, Ali Osman, and Serdar Arslan. 2022. Unethical pro-organizational behavior as an outcome of servant leadership. Journal of Management and Organization 28: 33–57. [Google Scholar] [CrossRef]
- Wanta, Derry, and Yvonne Augustine. 2021. The Effect of Servant Leadership, Job Satisfaction, and Organizational Culture on Employee Performance Moderated by Good Governance in Women’s Cooperative Institution. Technium Sustainability 1: 45–58. Available online: www.techniumscience.com (accessed on 16 April 2022).
- Widhy, Sudirman, Hendro Yuliantoro, Muhammad Zulkarnain Anwar, and Anita Maharani. 2021. The Influence of Organizational Culture and Compensation on Organizational Commitment with Job Satisfaction as Mediation. The Management Journal of Binaniaga 6: 165–90. [Google Scholar] [CrossRef]
- Wiliandri, Ruly. 2020. A Conceptual Approach to Identify Factors Affecting the Digital Transformation of Micro, Small, and Medium-sized Enterprises (MSMEs) during the COVID-19 Pandemic in Indonesia. Ekonomi Bisnis 25: 66. [Google Scholar] [CrossRef]
- Winston, Bruce E. 2022. The Relationship of Servant Leadership, Perceived Organizational Support, and Work-family Conflict with Employee Well-being. Servant Leadership: Theory & Practice 9: 13–40. [Google Scholar]
- Zhao, Wei, and Lihua Huang. 2022. The impact of green transformational leadership, green HRM, green innovation and organizational support on the sustainable business performance: Evidence from China. Economic Research-Ekonomska Istrazivanja, 1–21. [Google Scholar] [CrossRef]
- Zhao, Shuming, Mingwei Liu, Cherrie J. Zhu, and Hong Liu. 2020. The role of leadership in human resource management: Perspectives and evidence from the Asia Pacific. Asia Pacific Business Review, 1–5. [Google Scholar] [CrossRef]
- Zhu, Jinlong, Zhenyu Liao, Kai Chi Yam, and Russell E. Johnson. 2018. Shared leadership: A state-of-the-art review and future research agenda. Journal of Organizational Behavior 39: 834–52. [Google Scholar] [CrossRef]
- Zimmermann, Volker. 2016. SMEs and digitalization: The current position, recent developments, and challenges. KfW Research Focus on Economics 138: 1–7. [Google Scholar]


| No. | Indicators | Sources |
|---|---|---|
| LSs: The chief executive officer of my company… | ||
| 1 | Provides services to me in increasing my credibility and competence in working (servant leadership: X1.1). | (Russell and Stone 2002) |
| 2 | Provides services to me in improving communication skills (servant leadership: X1.2). | |
| 3 | Interacts formally in the coordination of my teamwork (shared leadership: X1.3). | (Song et al. 2020) |
| 4 | Interacts informally in the coordination of my work team (shared leadership: X1.4). | |
| 5 | Involves my participation in managerial decision-making (empowering leadership: X1.5). | (Naqshbandi et al. 2018) |
| 6 | Makes managerial decisions according to my participation (empowering leadership: X1.6). | |
| HIHRMPs: I have well-developed skills, motivation, and platform to apply them in… | ||
| 7 | HRP (X2.1). | (Huo et al. 2015; Leroy et al. 2018) |
| 8 | Training (X2.2). | |
| 9 | Compensation (X2.3). | |
| 10 | OSH (X2.4). | |
| IEP: I have… | ||
| 11 | High motivation at work (Y1). | (Leroy et al. 2018) |
| 12 | High productivity at work (Y2). | |
| 13 | high performance in completing tasks of work (Y3). | (He et al. 2021; Marescaux et al. 2019) |
| Demography | Percentage (%) |
|---|---|
| Gender | Female (44.56); Male (55.43) |
| Age | 20–30 years old (23.55); 31–40 years old; (30.07); 41–50 years old (20.28); >50 years old (26.09) |
| Education | High schools (60); Universities (40) |
| Work experience | <5 years (26%); 5–10 years (55); >10 years (18.84) |
| No. | Indicators | N | Minimum | Maximum | Mean | Standard Deviation | Variance |
|---|---|---|---|---|---|---|---|
| 1 | X1.1 | 276 | 1 | 5 | 3.62 | 1.187 | 1.408 |
| 2 | X1.2 | 3.50 | 1.165 | 1.356 | |||
| 3 | X1.3 | 3.58 | 1.159 | 1.343 | |||
| 4 | X1.4 | 3.65 | 1.167 | 1.362 | |||
| 5 | X1.5 | 3.53 | 1.155 | 1.334 | |||
| 6 | X1.6 | 3.72 | 1.158 | 1.342 | |||
| 7 | Y1.1 | 3.61 | 1.121 | 1.257 | |||
| 8 | Y1.2 | 3.67 | 1.129 | 1.275 | |||
| 9 | Y1.3 | 3.67 | 1.106 | 1.224 | |||
| 10 | Y1.4 | 3.67 | 1.106 | 1.224 | |||
| 11 | Y2.1 | 3.58 | 1.114 | 1.241 | |||
| 12 | Y2.2 | 3.69 | 1.107 | 1.225 | |||
| 13 | Y2.3 | 3.63 | 1.182 | 1.397 |
| No. | Correlation | Estimate | Standard Error | Critical Ratio | Probability |
|---|---|---|---|---|---|
| 1 | X1.1 ← LSs | 1.000 | |||
| 2 | X1.2 ← LSs | 0.977 | 0.055 | 17.776 | *** |
| 3 | X1.3 ← LSs | 0.956 | 0.055 | 17.254 | *** |
| 4 | X1.4 ← LSs | 0.961 | 0.056 | 17.218 | *** |
| 5 | X1.5 ← LSs | 0.985 | 0.054 | 18.227 | *** |
| 6 | X1.6 ← LSs | 0.909 | 0.057 | 15.944 | *** |
| 7 | Y1.1 ← HIHRMPs | 1.000 | |||
| 8 | Y1.2 ← HIHRMPs | 0.928 | 0.066 | 13.973 | *** |
| 9 | Y1.3 ← HIHRMPs | 0.908 | 0.065 | 14.042 | *** |
| 10 | Y1.4 ← HIHRMPs | 0.891 | 0.065 | 13.700 | *** |
| 11 | Y2.1 ← IEP | 1.000 | |||
| 12 | Y2.2 ← IEP | 0.948 | 0.056 | 16.818 | *** |
| 13 | Y2.3 ← IEP | 1.045 | 0.059 | 17.688 | *** |
| Correlation | LF | AVE | CR and CA |
|---|---|---|---|
| X1.1 ← LSs | 0.843 | 0.62 | 0.91 (CR) 0.93 (CA) |
| X1.2 ← LSs | 0.839 | ||
| X1.3 ← LSs | 0.826 | ||
| X1.4 ← LSs | 0.824 | ||
| X1.5 ← LSs | 0.853 | ||
| X1.6 ← LSs | 0.785 | ||
| Y1.1 ← HIHRMPs | 0.815 | 0.53 | 0.82 (CR) 0.849 (CA) |
| Y1.2 ← HIHRMPs | 0.751 | ||
| Y1.3 ← HIHRMPs | 0.750 | ||
| X2.4 ← HIHRMPs | 0.736 | ||
| Y2.1 ← IEP | 0.847 | 0.63 | 0.84 (CR) 0.869 (CA) |
| Y2.2 ← IEP | 0.808 | ||
| Y2.3 ← IEP | 0.834 |
| Indicators | |||||||||||||
|---|---|---|---|---|---|---|---|---|---|---|---|---|---|
| Y2.3 | Y2.2 | Y2.1 | Y1.4 | Y1.3 | Y1.2 | Y1.1 | X1.6 | X1.5 | X1.4 | X1.3 | X1.2 | X1.1 | |
| Y2.3 | 1.392 | ||||||||||||
| Y2.2 | 0.878 | 1.220 | |||||||||||
| Y2.1 | 0.927 | 0.841 | 1.236 | ||||||||||
| Y1.4 | 0.782 | 0.709 | 0.748 | 1.220 | |||||||||
| Y1.3 | 0.797 | 0.723 | 0.763 | 0.673 | 1.220 | ||||||||
| Y1.2 | 0.814 | 0.738 | 0.779 | 0.688 | 0.701 | 1.270 | |||||||
| Y1.1 | 0.877 | 0.796 | 0.840 | 0.741 | 0.756 | 0.772 | 1.253 | ||||||
| X.6 | 0.890 | 0.807 | 0.852 | 0.715 | 0.728 | 0.744 | 0.802 | 1.337 | |||||
| X.5 | 0.964 | 0.874 | 0.923 | 0.774 | 0.789 | 0.806 | 0.869 | 0.893 | 1.329 | ||||
| X.4 | 0.941 | 0.853 | 0.900 | 0.755 | 0.770 | 0.786 | 0.848 | 0.872 | 0.944 | 1.357 | |||
| X.3 | 0.936 | 0.849 | 0.896 | 0.752 | 0.766 | 0.783 | 0.844 | 0.867 | 0.939 | 0.917 | 1.338 | ||
| X.2 | 0.956 | 0.867 | 0.915 | 0.768 | 0.783 | 0.799 | 0.862 | 0.886 | 0.960 | 0.937 | 0.932 | 1.351 | |
| X.1 | 0.978 | 0.888 | 0.937 | 0.786 | 0.801 | 0.818 | 0.882 | 0.907 | 0.982 | 0.958 | 0.954 | 0.974 | 1.403 |
| Direct Effect | Indirect Effect | Total Effect | Critical Ratio | Probability | Decision |
|---|---|---|---|---|---|
| H1: LSs → IEP = 0.79 | H4: LSs → HIHRMPs → IEP = 0.208 | 0.996 | H1: 3.112 | 0.02 | H1 is accepted, but H4 is rejected. |
| H2: HIHRMPs → IEP = 0.21 | 0.21 | H2: 0.853 | 0.394 | H2 is rejected. | |
| H3: LSs → HIHRMPs = 0.97 | 0.97 | H3: 16.006 | *** | H3 is accepted |
Publisher’s Note: MDPI stays neutral with regard to jurisdictional claims in published maps and institutional affiliations. |
© 2022 by the authors. Licensee MDPI, Basel, Switzerland. This article is an open access article distributed under the terms and conditions of the Creative Commons Attribution (CC BY) license (https://creativecommons.org/licenses/by/4.0/).
Share and Cite
Cahyadi, A.; Marwa, T.; Hágen, I.; Siraj, M.N.; Santati, P.; Poór, J.; Szabó, K. Leadership Styles, High-Involvement Human Resource Management Practices, and Individual Employee Performance in Small and Medium Enterprises in the Digital Era. Economies 2022, 10, 162. https://doi.org/10.3390/economies10070162
Cahyadi A, Marwa T, Hágen I, Siraj MN, Santati P, Poór J, Szabó K. Leadership Styles, High-Involvement Human Resource Management Practices, and Individual Employee Performance in Small and Medium Enterprises in the Digital Era. Economies. 2022; 10(7):162. https://doi.org/10.3390/economies10070162
Chicago/Turabian StyleCahyadi, Afriyadi, Taufiq Marwa, István Hágen, Mohammed Nuru Siraj, Parama Santati, József Poór, and Katalin Szabó. 2022. "Leadership Styles, High-Involvement Human Resource Management Practices, and Individual Employee Performance in Small and Medium Enterprises in the Digital Era" Economies 10, no. 7: 162. https://doi.org/10.3390/economies10070162
APA StyleCahyadi, A., Marwa, T., Hágen, I., Siraj, M. N., Santati, P., Poór, J., & Szabó, K. (2022). Leadership Styles, High-Involvement Human Resource Management Practices, and Individual Employee Performance in Small and Medium Enterprises in the Digital Era. Economies, 10(7), 162. https://doi.org/10.3390/economies10070162

