Measuring Technological Change through an Extended Structural Decomposition Analysis: An Application to EU-28 Primary Sectors (2010–2015)
Abstract
:1. Introduction
2. Methodology
2.1. Normalization of the Leontief Inverse Matrix
2.2. Structural Decomposition Analysis
3. Preliminary DATA
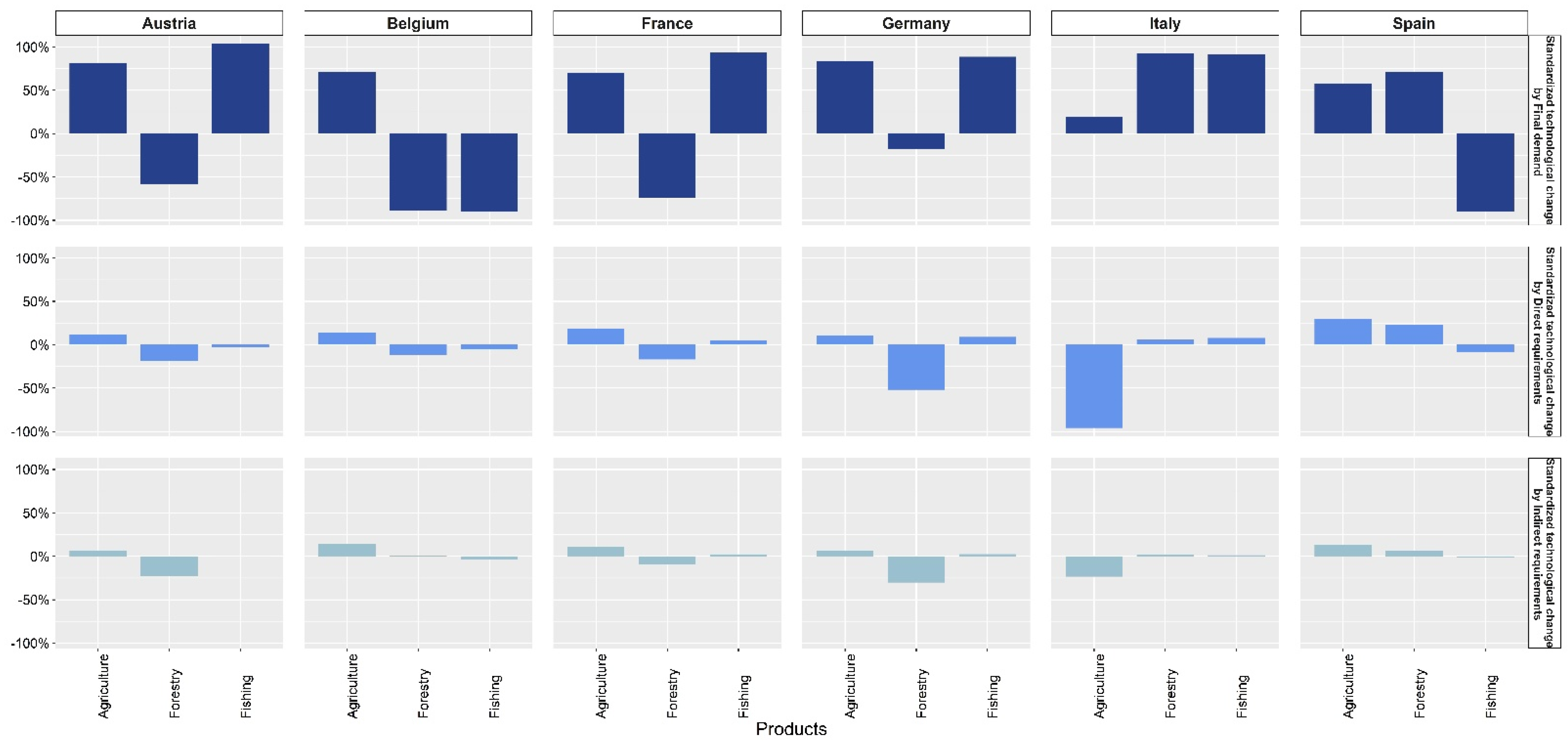
4. Results and Discussion
5. Conclusions
Supplementary Materials
Author Contributions
Funding
Institutional Review Board Statement
Informed Consent Statement
Data Availability Statement
Acknowledgments
Conflicts of Interest
References
- Avelino, Andre F. T., and Sandy Dall’erba. 2020. What factors drive the changes in water withdrawals in the U.S. Agriculture and food manufacturing industries between 1995 and 2010? Environmental Science and Technology 54: 10421–34. [Google Scholar] [CrossRef]
 - Cai, Beiming, Wei Zhang, Klaus Hubacek, Kuishuang Feng, Zhenliang Li, Yawen Liu, and Yu Liu. 2019. Drivers of virtual water flows on regional water scarcity in China. Journal of Cleaner Production 207: 1112–22. [Google Scholar] [CrossRef]
 - Casler, Stephen D., and Adam Rose. 1998. Carbon dioxide emissions in the U.S. economy: A structural decomposition analysis. Environmental and Resource Economics 11: 349–63. [Google Scholar] [CrossRef]
 - Cellura, Maurizio, Sonia Longo, and Marina Mistretta. 2012. Application of the Structural Decomposition Analysis to assess the indirect energy consumption and air emission changes related to Italian households consumption. Renewable and Sustainable Energy Reviews 16: 1135–45. [Google Scholar] [CrossRef]
 - Chen, Chia Yon, and Rong Hwa Wu. 1994. Sources of change in industrial electricity use in the Taiwan economy, 1976–1986. Energy Economics 16: 115–20. [Google Scholar] [CrossRef]
 - Chen, Yen Yin, and Jung Hua Wu. 2008. Simple Keynesian input–output structural decomposition analysis using weighted Shapley value resolution. Annals of Regional Science 42: 879–92. [Google Scholar] [CrossRef]
 - Dietzenbacher, Erik, and Alex R. Hoen. 1998. Deflation of input–output tables from the user’s point of view: A heuristic approach. Review of Income and Wealth 44: 111–22. [Google Scholar] [CrossRef]
 - Dietzenbacher, Erick, and Bart Los. 1998. Structural decomposition techniques: Sense and sensitivity. Economic Systems Research 10: 307–24. [Google Scholar] [CrossRef]
 - Doan, Ha Thi Thanh, and Trinh Quang Long. 2019. Technical change, exports, and employment growth in china: A structural decomposition analysis. Asian Economic Papers 18: 29–46. [Google Scholar] [CrossRef]
 - Eurostat. 2015a. ESA Supply, Use and Input–output Tables-Eurostat. Available online: https://ec.europa.eu/eurostat/web/esa-supply-use-input-tables/data/database (accessed on 25 March 2020).
 - Eurostat. 2015b. Eurostat-Data Explorer. Available online: https://appsso.eurostat.ec.europa.eu/nui/show.do?dataset=nama_10_a64&lang=en (accessed on 25 March 2020).
 - Fang, Dan, and Jin Yang. 2021. Drivers and critical supply chain paths of black carbon emission: A structural path decomposition. Journal of Environmental Management 278: 111514. [Google Scholar] [CrossRef]
 - Feng, Le, Bin Chen, Tasawar Hayat, Ahmed Alsaedi, and Bashir Ahmad. 2017. The driving force of water footprint under the rapid urbanization process: A structural decomposition analysis for Zhangye city in China. Journal of Cleaner Production 163: S322–S328. [Google Scholar] [CrossRef]
 - Forssell, Osmo. 1990. The input–output framework for analysing changes in the use of labour by education levels. Economic Systems Research 2: 363–76. [Google Scholar] [CrossRef]
 - Fujimagari, David. 1989. The sources of change in canadian industry output. Economic Systems Research 1: 187–202. [Google Scholar] [CrossRef]
 - Gerveni, Maria, Andre F. T. Avelino, and Sandy Dall’erba. 2020. Drivers of Water Use in the Agricultural Sector of the European Union 27. Environmental Science and Technology 54: 9191–99. [Google Scholar] [CrossRef] [PubMed]
 - Gim, Ho Un, and Koonchan Kim. 1998. The general relation between two different notions of direct and indirect input requirements. Journal of Macroeconomics 20: 199–208. [Google Scholar] [CrossRef]
 - Gim, Ho Un, and Koonchan Kim. 2005. The decomposition by factors in direct and indirect requirements: With applications to estimating the pollution generation. The Korean Economic Review 21: 309–25. [Google Scholar]
 - Han, Xiaoli, and T. K. Lakshmanan. 1994. Structural changes and energy consumption in the Japanese economy 1975–85: An input–output analysis. Energy Journal 15: 165–88. [Google Scholar] [CrossRef]
 - Han, Xiaoli. 1995. Structural change and labor requirement of the Japanese economy. Economic Systems Research 7: 47–66. [Google Scholar] [CrossRef]
 - Hoekstra, Rutger, and Jeroen. C. J. M. Van Der Bergh. 2003. Comparing structural and index decomposition analysis. Energy Economics 25: 39–64. [Google Scholar] [CrossRef]
 - Jacobsen, Henrik K. 2000. Energy demand, structural change and trade: A decomposition analysis of the Danish manufacturing industry. Economic Systems Research 12: 319–43. [Google Scholar] [CrossRef]
 - Jeong, Ki Jun. 1982. Direct and indirect requirements: A correct economic interpretation of the Hawkins-Simon conditions. Journal of Macroeconomics 4: 349–56. [Google Scholar] [CrossRef]
 - Jeong, Ki Jun. 1984. The relation between two different notions of direct and indirect input requirements. Journal of Macroeconomics 6: 473–76. [Google Scholar] [CrossRef]
 - Li, Dongrui, Yalin Lei, Li Li, and Lingna Liu. 2020. Study on industrial selection of counterpart cooperation between Jilin province and Zhejiang province in China from the perspective of low carbon. Environmental Science and Pollution Research 27: 16668–76. [Google Scholar] [CrossRef]
 - Li, Wei, Yuyan Huang, and Can Lu. 2020. Exploring the driving force and mitigation contribution rate diversity considering new normal pattern as divisions for carbon emissions in Hebei province. Journal of Cleaner Production 243: 118559. [Google Scholar] [CrossRef]
 - Li, Xin, Xiaoqiong He, Xiyu Luo, Xiandan Cui, and Minxi Wang. 2020. Exploring the characteristics and drivers of indirect energy consumption of urban and rural households from a sectoral perspective. Greenhouse Gases: Science and Technology 10: 907–24. [Google Scholar] [CrossRef]
 - Liu, Dunnan, Xiaodan Guo, and Bowen Xiao. 2019. What causes growth of global greenhouse gas emissions? Evidence from 40 countries. Science of the Total Environment 661: 750–66. [Google Scholar] [CrossRef] [PubMed]
 - Liu, Li-Jing, and Qiao-Mei Liang. 2017. Changes to pollutants and carbon emission multipliers in China 2007–2012: An input–output structural decomposition analysis. Journal of Environmental Management 203: 76–86. [Google Scholar] [CrossRef] [PubMed]
 - Miller, Ronald E., and Peter D. Blair. 2009. Input–output Analysis: Fundations and Extensions, 2nd ed. Cambridge: Cambridge University Press. [Google Scholar]
 - Mukhopadhyay, Kakali, and Debesh Chakraborty. 1999. India’s energy consumption changes during 1973/74 to 1991/92. Economic Systems Research 11: 423–38. [Google Scholar] [CrossRef]
 - Muradov, Kirill. 2021. Structural decomposition analysis with disaggregate factors within the Leontief inverse. Journal of Economic Structures 10: 1–17. [Google Scholar] [CrossRef]
 - Pereira-López, Xesús, Małgorzata Anna Węgrzyńska, and Melchor Fernández-Fernández. 2021. Methodological contribution to the detection of backward linkages between sectors of the economy. Argumenta Oeconomica 46: 31–52. [Google Scholar] [CrossRef]
 - Qian, Yiying, Huijuan Dong, Yong Geng, Shaozhuo Zhong, Xu Tian, Yanhong Yu, Yihui Chen, and Dana Avery Moss. 2018. Water footprint characteristic of less developed water-rich regions: Case of Yunnan, China. Water Research 141: 208–16. [Google Scholar] [CrossRef]
 - Rose, Adams, and Chia-Yon Chen. 1991. Sources of change in energy use in the US economy, 1972–1982: A structural decomposition analysis. Resources and Energy 13: 1–21. [Google Scholar] [CrossRef]
 - Rose, Adams, and Stephen Casler. 1996. Input–output structural decomposition analysis: A critical appraisal. Economic Systems Research 8: 33–62. [Google Scholar] [CrossRef]
 - Song, Yi, Jianbai Huang, Yijun Zhang, and Zhiping Wang. 2019. Drivers of metal consumption in China: An input–output structural decomposition analysis. Resources Policy 63: 101421. [Google Scholar] [CrossRef]
 - Sonis, Michael, Geoffrey J. Hewings, and Jiemin Guo. 1996. Sources of structural change in input–output systems: A field of influence approach. Economic Systems Research 8: 15–32. [Google Scholar] [CrossRef]
 - Supasa, Tharinya, Shu-San Hsiau, Shih-Mo Lin, Wongkot Wongsapai, and Jiunn-Chi Wu. 2017. Household energy consumption behaviour for different demographic regions in Thailand from 2000 to 2010. Sustainability 9: 2328. [Google Scholar] [CrossRef] [Green Version]
 - Wang, Fei, Baomin Dong, Xiaopeng Yin, and Chi An. 2014. China’s structural change: A new SDA model. Economic Modelling 43: 256–66. [Google Scholar] [CrossRef]
 - Wang, Xiaomeng, Kai Huang, Yajuan Yu, Tingting Hu, and Yanjie Xu. 2016. An input–output structural decomposition analysis of changes in sectoral water footprint in China. Ecological Indicators 69: 26–34. [Google Scholar] [CrossRef]
 - Wood, Richard, and Manfred Lenzen. 2009. Structural path decomposition. Energy Economics 31: 335–41. [Google Scholar] [CrossRef]
 - Xu, Shichun, Wenwen Zhang, Qinbin Li, Bin Zhao, Shuxiao Wang, and Ruyin Long. 2017. Decomposition analysis of the factors that influence energy related air pollutant emission changes in China using the SDA method. Sustainability 9: 1742. [Google Scholar] [CrossRef] [Green Version]
 - Yu, Yang, Tangyang Jiang, Shuangqi Li, Xiaolong Li, and Dingchao Gao. 2020. Energy-related CO2 emissions and structural emissions’ reduction in China’s agriculture: An input–output perspective. Journal of Cleaner Production 276: 124169. [Google Scholar] [CrossRef]
 - Zhi, Yuan, Z. F. Yang, and X. A. Yin. 2014. Decomposition analysis of water footprint changes in a water-limited river basin: A case study of the Haihe River basin, China. Hydrology and Earth System Sciences 18: 1549–59. [Google Scholar] [CrossRef] [Green Version]
 





| Country | Product | Total Final Consumption Expenditure | Gross Fixed Capital Formation | Exports | 
|---|---|---|---|---|
| Austria | Agriculture | 2073.76 | 191.14 | 979.25 | 
| Forestry | 406.22 | 0.00 | 72.41 | |
| Fishing | 41.87 | 0.00 | 2.57 | |
| Belgium | Agriculture | 2537.83 | 63.39 | 3701.04 | 
| Forestry | 93.40 | 0.00 | 145.75 | |
| Fishing | 167.03 | 0.00 | 60.04 | |
| France | Agriculture | 15,015.05 | 1374.04 | 12,086.93 | 
| Forestry | 1154.17 | 0.00 | 152.98 | |
| Fishing | 783.25 | 0.00 | 519.02 | |
| Germany | Agriculture | 17,318.48 | 674.49 | 9924.52 | 
| Forestry | 1117.48 | 0.00 | 337.28 | |
| Fishing | 340.93 | 0.00 | 237.43 | |
| Italy | Agriculture | 13,704.94 | 365.38 | 4897.40 | 
| Forestry | 826.99 | 0.00 | 94.03 | |
| Fishing | 2066.41 | 47.70 | 236.75 | |
| Spain | Agriculture | 8260.62 | 1649.21 | 12,520.33 | 
| Forestry | 320.49 | 0.21 | 149.85 | |
| Fishing | 1942.74 | 0.00 | 448.47 | 
| Country | Product | Output Change | Technological Change | Final Demand Change | |||
|---|---|---|---|---|---|---|---|
| Value | % | Standardized by Final Demand | Standardized by Direct Requirements | Standardized by Indirect Requirements | Aggregated | ||
| Austria | Agriculture | 999.25 | 18.59 | 544.45 | 81.78 | 44.81 | 328.21 | 
| Forestry | 52.46 | 2.41 | −64.97 | −20.66 | −25.63 | 163.71 | |
| Fishing | 0.64 | 1.52 | 10.52 | −0.32 | −0.03 | −9.53 | |
| Belgium | Agriculture | 1042.71 | 12.34 | 1548.82 | 310.86 | 318.44 | −1135.41 | 
| Forestry | −6.35 | −1.57 | −25.13 | −3.27 | 0.07 | 21.98 | |
| Fishing | −33.23 | −25.64 | −63.42 | −3.96 | −2.74 | 36.88 | |
| France | Agriculture | 4479.31 | 7.12 | 1568.98 | 418.71 | 241.55 | 2250.06 | 
| Forestry | 152.84 | 3.06 | −710.22 | −163.50 | −87.95 | 1114.52 | |
| Fishing | 122.14 | 5.85 | 178.06 | 8.74 | 4.40 | −69.06 | |
| Germany | Agriculture | 5763.43 | 14.14 | 4860.93 | 599.65 | 365.42 | −62.57 | 
| Forestry | 1085.35 | 34.35 | −29.51 | −85.93 | −49.97 | 1250.75 | |
| Fishing | 44.10 | 11.67 | 124.67 | 12.58 | 3.44 | −96.59 | |
| Italy | Agriculture | −1763.27 | −3.82 | 7.15 | −35.33 | −8.64 | −1726.45 | 
| Forestry | 89.72 | 7.06 | 145.97 | 8.90 | 3.37 | −68.51 | |
| Fishing | −180.33 | −8.33 | 227.49 | 19.53 | 3.14 | −430.49 | |
| Spain | Agriculture | 5512.51 | 14.00 | 1755.95 | 903.09 | 394.84 | 2458.64 | 
| Forestry | 233.58 | 19.45 | 159.77 | 51.30 | 14.65 | 7.86 | |
| Fishing | −345.30 | −14.99 | −198.02 | −18.62 | −2.75 | −125.91 | |
Publisher’s Note: MDPI stays neutral with regard to jurisdictional claims in published maps and institutional affiliations.  | 
© 2022 by the authors. Licensee MDPI, Basel, Switzerland. This article is an open access article distributed under the terms and conditions of the Creative Commons Attribution (CC BY) license (https://creativecommons.org/licenses/by/4.0/).
Share and Cite
Pereira-López, X.; Węgrzyńska, M.A.; Sánchez-Chóez, N.G. Measuring Technological Change through an Extended Structural Decomposition Analysis: An Application to EU-28 Primary Sectors (2010–2015). Economies 2022, 10, 15. https://doi.org/10.3390/economies10010015
Pereira-López X, Węgrzyńska MA, Sánchez-Chóez NG. Measuring Technological Change through an Extended Structural Decomposition Analysis: An Application to EU-28 Primary Sectors (2010–2015). Economies. 2022; 10(1):15. https://doi.org/10.3390/economies10010015
Chicago/Turabian StylePereira-López, Xesús, Małgorzata Anna Węgrzyńska, and Napoleón Guillermo Sánchez-Chóez. 2022. "Measuring Technological Change through an Extended Structural Decomposition Analysis: An Application to EU-28 Primary Sectors (2010–2015)" Economies 10, no. 1: 15. https://doi.org/10.3390/economies10010015
APA StylePereira-López, X., Węgrzyńska, M. A., & Sánchez-Chóez, N. G. (2022). Measuring Technological Change through an Extended Structural Decomposition Analysis: An Application to EU-28 Primary Sectors (2010–2015). Economies, 10(1), 15. https://doi.org/10.3390/economies10010015
        
                                                
