Abstract
This study aims to investigate the impact of the market structure and efficiency on firm performance in the meat and milk processing industry in Poland, Czechia, and Slovakia. Using stochastic frontier analysis and a profitability regression model applied to data from 2015 to 2021, the results indicate no evidence of collusive behavior in the examined markets. Instead, profitability is significantly driven by efficiency, supporting the hypothesis of an efficient market structure. Companies with higher market shares do not exploit their market power to set higher prices and increase profitability. The findings highlight efficiency as a critical determinant of performance in unconcentrated markets, offering valuable insights for stakeholders in the food processing industry and policymakers.
1. Introduction
The food processing industry is a prominent contributor to the European economy (FoodDrink Europe, 2022). Most food processors in the EU serve local or national markets. However, there are a few very large food processors, characterized by global brands with considerable market reach (Eurostat, 2022). In 2019, the share of large companies (i.e., companies employing 250 or more persons) accounted for 60.6% of the EU food industry turnover (2010: 50.7%), 58.5% of the value added (2010: 48.7%), and 42.3% of employment (2012: 36.6%), despite large companies representing only 0.8% of all firms in the industry (FoodDrink Europe, 2012, 2022).
The structure of the food industry is undergoing significant changes, leading to an increase in the market concentration and market power of a few players, which raises some concerns. The increase in market concentration and market power in the food industry has been confirmed by several studies (Blažková, 2016 for the Czech food sector; Čechura et al., 2015 for the dairy industry in selected EU countries; Kufel-Gajda, 2017 for the Polish food sector; Nes et al., 2021 for the food industry in selected EU countries). The high and rising concentration and market power of some firms in the industry can have consequences for performance and overall welfare.
The fundamental economic theory suggests that high market concentration leads to market power for some firms and their non-competitive conduct, resulting in higher mark-ups (prices above marginal costs) (Kufel-Gajda, 2017). Companies that are able to set prices above the marginal costs tend to produce less output. This not only reduces consumer welfare but also has implications for factor demand, the distribution of economic rents, and business dynamics such as entry and exit and resource allocation (De Loecker et al., 2020). As stated by Nes et al. (2021), the higher market power of some firms may affect different aspects of the contractual terms governing their relationships with customers and suppliers as well.
However, as some authors argue (Shervani et al., 2006), rising concentration and market power in the hands of a few players should not be viewed as conclusive evidence of weak competition and need not necessarily be a cause for concern. Rather, this process may be a reflection of more efficient market processes. Firms may create innovations that decrease costs and improve quality, and this makes it possible to increase mark-ups and profits. This also helps them to achieve a dominant market position, speeding up the process of market concentration (Kufel-Gajda, 2017). Blažková (2016) points out that the positive effects of higher market concentration can be due to a reduction in the average fixed costs, the repetition of certain tasks and activities, the concentration of research, marketing, financial activities, and the use of managerial skills, which affect the competitiveness of the firm. Food companies need to concentrate and specialize in a smaller number of products because this is the only way that they can achieve efficient production. It should also be noted that the dominance of a few companies on the national market can also be dampened by imports and the very strong position of retail chains. Higher market power allows food processing firms to better compete with the concentrated retail sector and strengthens their position when negotiating prices.
These advantages and disadvantages have significant implications for industrial and antitrust policy, which must thoroughly assess the costs and benefits of rising market concentration. Currently, research on the relationship between indicators of the market structure, efficiency, and performance takes place only in the field of the banking sector, while the food processing sector is completely neglected, except by a few authors (Setiawan et al., 2012, 2013).
This study contributes to the literature on the relationship between the market structure, efficiency, and performance, in several ways. Firstly, it provides an empirical analysis of the food processing industry, which is largely neglected in the literature. We focus on three central European countries—Poland, the Czech Republic, and the Slovak Republic—due to their shared history of economic transition, their similar institutional development since joining the EU in 2004, and the importance of the food processing industry in their economies (2–3% contribution to employment and 2% contribution to gross value added (Eurostat, 2025a, 2025b)). These countries also represent different market sizes, with Poland being a large market and the Czech and Slovak Republics being smaller markets, allowing for a comparative analysis of the market size effect. Syverson (2019) states that determining concentration and market power inevitably involves defining the market, which is frequently a subject of debate. Empirical analyses of the relationship between the market structure, efficiency, and profitability often work with the food industry as a whole, which raises the possibility that increases in concentration in narrower and more relevant markets may be invisible in the broader environment (Syverson, 2019; Nes et al., 2021). Therefore, this study focuses separately on meat and milk food processors.
Secondly, the analysis uses recently developed approaches to robust efficiency estimation. Specifically, this study offers a robust estimate of the profitability model and the stochastic frontier model specified as a meta-input distance function (IDF) by employing methods that control for latent heterogeneity and potential endogeneity.
The rest of this paper is organized as follows. First, the theoretical background of our research and the current state of the art are presented. The following section focuses on interpreting and discussing the results obtained. Next, the data and the research methods are introduced. The main findings and their implications are summarized in the Conclusions section.
2. Theoretical Framework
The theoretical framework that explains the linkage between the market structure, efficiency, and performance is represented by two paradigms—the structure–conduct–performance (SCP) paradigm introduced by the Harvard School and the efficiency structure (ES) paradigm proposed by the UCLA–Chicago School.
The SCP originated from industrial organization economics and was first introduced by scholars from the Harvard School—specifically by Mason (1939) and later by Bain (1951, 1956). Bain (1951) found that industries in his sample with four-firm concentration ratios above 70 percent showed distinctly higher accounting profit rates compared to the others. The SCP paradigm suggests that the market structure affects how firms set prices and, in turn, their overall performance. Higher market concentration encourages collusion among dominant firms, which then results in increased profits (Seelanatha, 2010). Companies in industries with higher concentration will generate greater profits than those in less concentrated industries, regardless of their level of efficiency. In such an environment, the dominating companies do not have much motivation to enhance their efficiency (Ye et al., 2012). So, according to the SCP paradigm, market concentration is the key factor in business performance (Lelissa & Kuhil, 2018).
The related relative market power (RMP) hypothesis suggests that only companies with substantial market shares and highly differentiated product lines can exercise market power in pricing these products and generate supernormal profits (Berger, 1995). In comparison to the SCP hypothesis, the RMP hypothesis argues that the driving force of profitability is the market share and it does not require a highly concentrated market, since it is not necessary for the leading firms to collude to increase their prices (Ye et al., 2012). In his article, Syverson (2019) emphasizes that market concentration is not the same as market power. Ye et al. (2012), in their research on the banking sector, state that banks can exercise their market power due to widely distributed branches and intensive advertising. Customers then perceive these leading firms as a sign of quality, and their good knowledge and convenient access to their branches mean that they are willing to pay higher prices to avoid search costs. One can find a similar parallel in the food industry, where the products of leading companies are commonly available in retail chains that have great bargaining power due to their concentration. The sale of the products of leading food manufacturers is also supported by intensive advertising, so they are well known by customers due to their broad availability and advertising. It is often impossible for many small producers to sell their products in these chains due to their very harsh conditions. Therefore, these firms, whose products are widely distributed in markets, can determine the price, and the market share thus becomes the main determinant of profitability.
In other words, the above-mentioned hypotheses describe the influence of two market structure variables (market concentration and market share) on a firm’s performance: the first one examines how collusive behavior influences performance and the second one examines how individual firms use their market power (Seelanatha, 2010). Syverson (2019) mentions that, for example, a monopolistically competitive market can be very unconcentrated and show near-zero levels of economic profit, but firms in such a market can still have a lot of market power.
Contrasting these two market structure hypotheses is the efficiency structure paradigm introduced by Demsetz (1973), a representative of the UCLA–Chicago School. The ES hypothesis suggests that, under the pressure of market competition, efficient firms are more likely to succeed and grow. As they grow, they gain higher market shares and earn higher profits, and the market experiences increased concentration (Sathye, 2005). Therefore, higher profits are not due to collusive activities, as the traditional SCP paradigm would suggest (Molyneux & Forbes, 1995). Companies with better management or advanced production technologies have lower operating costs, which translate to higher profits.
Early studies on the ES hypothesis did not use direct efficiency measures; instead, they used the market share as a proxy for efficiency. The key argument of these studies supporting efficiency structure theory was that the observed positive correlation between performance and concentration is spurious, and a positive relationship between the market share and performance should be seen as a result of efficiency (Lelissa & Kuhil, 2018). In other words, if the market share positively affects performance, and concentration is not significant, the efficiency structure hypothesis cannot be rejected. However, Gumbau and Maudos (2000) mention that the market share may not only reflect efficiency but also be a manifestation of the residual influence of market power or other factors unrelated to efficiency.
Berger (1995) and, later, Berger and Hannan (1997) were the pioneers in considering the direct inclusion of efficiency variables in their models. This solved the issue of the appropriateness of using the market share as a proxy for efficiency. Berger (1995) argued that, in contrast to the market power hypothesis, profitability can be influenced by greater managerial and scale efficiency. The ES hypothesis is typically tested in two different forms, depending on the type of efficiency considered. The first form is the X-efficiency hypothesis (ESX), where companies with greater managerial efficiency or better technologies have lower costs and therefore higher profits. The second is the scale efficiency (ESS), where companies produce at more efficient levels than others and therefore have lower unit costs and higher profits (Berger, 1995). Since then, numerous studies have been conducted that use direct efficiency measures to analyze the relationship between the market structure and profitability (Gumbau & Maudos, 2000; Seelanatha, 2010; Chortareas et al., 2011; Ye et al., 2012; Setiawan et al., 2012; Destiartono & Purwanti, 2021).
The market power and efficiency structure hypotheses lead to different conclusions regarding regulation, especially concerning mergers and antitrust policies. Both the SCP and the RMP hypotheses propose that market power is a key factor in performance and suggest that antitrust laws and regulations may be merited (Ye et al., 2012). If the evidence supports the efficiency structure hypothesis, mergers are driven by efficiency goals, which should lead to increased consumer and producer surplus.
3. Current State of the Art
The empirical relationship between the market structure, efficiency, and profitability is very well described in the financial markets, which are generally characterized by a higher degree of concentration. Berger (1995) examined all four of the previously mentioned hypotheses (SCP, RMP, ESX, and ESS) in the context of the US banking sector, followed by Seelanatha (2010) for the banking sector in Sri Lanka, Chortareas et al. (2011) for Latin America, Ye et al. (2012) for China, Mala et al. (2018) for Indonesia and Mala et al. (2023) for Indonesia and Malaysia, and Kunwar (2018) for Nepal. Usually, the results of these studies are mixed; however, if the models incorporate explicit measures of efficiency, they generally provide some evidence in favor of the efficiency structure hypothesis (for example, Seelanatha, 2010; Chortareas et al., 2011; Destiartono & Purwanti, 2021).
On the contrary, the relationship between profitability, the market structure, and efficiency in the food manufacturing industry, and particularly in its subsectors, has received less attention in the literature, despite the relatively large amount of literature focusing purely on profitability, the market structure, or efficiency. For instance, the determinants of profitability in the European food industry, excluding the market share and efficiency, were analyzed by Grau and Reig (2021), Novotná and Volek (2023), and Golas and Kurzawa (2016). The efficiency of firms in the European food processing industry has been investigated by, e.g., Trnková and Žáková Kroupová (2021), Čechura and Žáková Kroupová (2021), Náglová and Šimpachová Pechrová (2019), Gardijan and Lukač (2018), Rudinskaya (2017), and Čechura and Hockmann (2010). Finally, for example, Nes et al. (2024), Van Dam et al. (2021), and Smutka et al. (2020) have examined the market structure of the European food market.
Among the few studies examining these relationships in the food industry, Oustapassidis et al. (2000) examined the relationship between firm profitability, the market share, and firm advertising in the Greek food industry, excluding technical and scale efficiency, and found that profitability was significantly determined by the market share but not by market concentration. In contrast, later research focusing on broader markets reached different conclusions. Hirsch et al. (2014) analyzed the determinants of firm profitability in EU food processing, while Gschwandtner and Hirsch (2018) extended this investigation to include the drivers of profitability in both US and EU food processing, albeit without incorporating efficiency into their profitability model. Both studies found that the market share had no significant impact on profitability in either region. This finding, which contradicts the results of Oustapassidis et al. (2000), may be attributed to the possibility that firms with high market shares may face transparency issues and diseconomies of scope, which counteract the positive effects, leading to an overall insignificant influence on profitability. On the other hand, their results highlight that economies of scale play an important role in the profitability of the US and EU food processing industries. Large farms typically have better access to capital and more skilled management and are also better equipped to counter the power of a concentrated retail sector. However, the impact of market concentration differs between regions. In the EU, firms in highly concentrated industries can maintain higher profits through entry barriers. In contrast, US market concentration shows no significant effect, possibly due to the intense rivalry among large firms offsetting the potential concentration benefits.
Blažková and Dvouletý (2017) also demonstrated the positive effect of market concentration on profitability, based on their analysis of the Czech food and beverage industry from 2003 to 2014. According to these authors, higher market concentration allows for the exploitation of economies of scale, improved access to capital, and greater investment, while also supporting the financing of research and development and increasing advertising and promotion—all of which contribute to significant improvements in economic performance. Although their model did not directly consider efficiency, instead focusing on labor productivity, their results further indicate that firms with higher productivity tend to offer superior products or benefit from lower production costs than their competitors, making them more profitable.
Setiawan et al. (2012, 2013) extended the structure–conduct–performance (SCP) framework by incorporating price rigidity and technical efficiency in their analysis of the food industry. They focused on the Indonesian food industry, which can be described as unconcentrated according to the HHI, but with the presence of an oligopoly structure (average CR4 in their sample was 48.3% in Setiawan et al., 2013). In their work, Setiawan et al. (2012) emphasized the importance of considering the interrelationships among all variables, rather than relying solely on single-equation models. Their analyses confirm that both concentration and technical efficiency positively influence profitability, while identifying a bidirectional relationship: high industrial concentration leads to increased profitability, which in turn reinforces market concentration over time. Furthermore, their findings support the quiet life hypothesis, which suggests that firms operating in highly concentrated industries face reduced pressure to enhance their technical efficiency.
More recently, Žáková Kroupová et al. (2022) investigated the relationship between the market structure, efficiency, and profitability using data from the Czech food processing sector for the years 2016–2020. Their results emphasize the role of technical efficiency as a key driver of profitability. They found that, in only one subsector, the manufacture of prepared animal feeds, which had the highest concentration among the analyzed subsectors of the food processing industry, market power had a greater impact on profitability than technical efficiency.
This paper seeks to fill the research gap and contribute to the literature through an empirical analysis of selected subsectors of the food industry in three Central European countries.
4. Results and Discussion
The results first describe the profitability in the meat and milk processing industry and its drivers, using violin plots to compare the statistical distributions between the three analyzed countries: Czechia, Slovakia, and Poland. Figure 1 presents the violin plots of profitability (ROA). The width of the plots around the median values indicates high data density at these values, while the tails represent the distribution of extreme values, including loss-making firms.
Figure 1.
Violin plots of profitability. Source: Own calculations.
The distribution of profitability is quite symmetric in both subsectors of the food processing sector, except for the Polish meat processing sector (NACE 10.1), where the distribution of profitability is negatively skewed. This suggests that, while many Polish meat processing companies have profitability clustered around the median (0.08), there is a notable subset of companies with lower profitability, which pulls the distribution downward. Compared to the rest of the analyzed countries, the profitability of Polish meat processors (NACE 10.1) achieved the highest average value (0.11), but with the greatest variability (0.22). The lowest profitability, on average, was achieved by meat processors in Slovakia (−0.03). Slovakia also achieved the worst result in terms of the return on assets in the market of milk processors (NACE 10.5), with the lowest median and even a negative average value (−0.04). Moreover, negative profitability in the case of Slovak companies is a persistent phenomenon accompanying production in several consecutive periods (mostly 4–6 years). The highest average profitability (0.05) (and also median value (0.05)) of milk processors was achieved in the Czech Republic, where the higher concentration of profitability in black numbers than in the rest of the analyzed countries is also observed. Table 1 (and Figure A1 in Appendix A) provides information about profitability by firm size. While, in the milk processing sector (NACE 10.5), the tendency to achieve high profitability increases with the firm size, in the meat processing sector (NACE 10.1), the relationship between the firm size and profitability is ambiguous.
Table 1.
Profitability across different sizes of firms.
Focusing on technical efficiency, we first briefly present the results of the country-specific input distance functions and meta IDF estimates, which are reported in Appendix A, Table A2, Table A3, Table A4, Table A5, Table A6, Table A7, Table A8 and Table A9. All these estimates meet the theoretical assumptions of the IDF (monotonicity and concavity in inputs). The first-order parameters of the IDFs are highly significant, and the significance of the second-order parameters was confirmed by the Wald test, both conducted at a 5% significance level. Since the AR(2) test and Hansen’s J-test statistics also confirm the validity of the model estimates, we can assume that our models approximate well the real transformation process in the investigated subsectors of the food industry. The estimated country-specific technical efficiency scores are summarized in Appendix A, Table A2, Table A3, Table A4, Table A5, Table A6 and Table A7.
Figure 2 presents the distribution of the meta-frontier technical efficiency scores (TE). The distributions are more uniform across countries in the dairy sector (NACE 10.5) than in the meat processing sector (NACE 10.1), where greater variability in efficiency is observed. Additionally, the distribution of technical efficiency in NACE 10.1 exhibits longer lower tails, especially in Slovakia and Poland, indicating a subset of firms that are significantly lagging behind. The highest median was achieved by Slovak meat processors (0.73) (NACE 10.1). In NACE 10.5, the median values of the Czech and Slovak processors are very similar (around 0.85). The Czech Republic and Slovakia also achieve very similar average values (around 0.85) with a very similar distribution (positively skewed in the case of meat processing and more symmetric in the case of milk processing, representing the higher concentration of technical efficiency scores around the median than in meat processing). Enterprises in Poland achieve the lowest technical efficiency on average in both sectors (0.63 in NACE 10.1 and 0.84 in NACE 10.5).
Figure 2.
Violin plots of efficiency. Source: Own calculations.
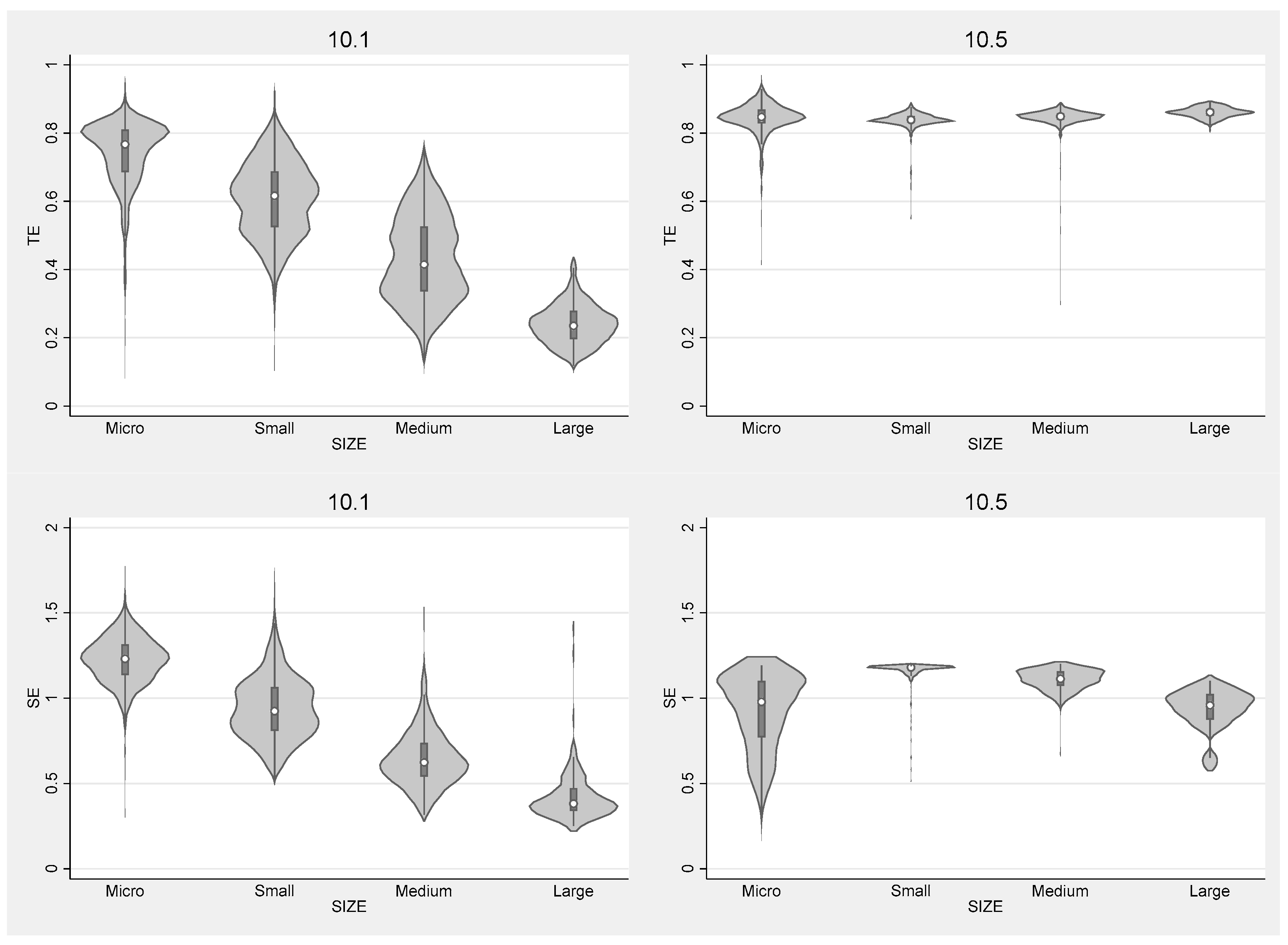
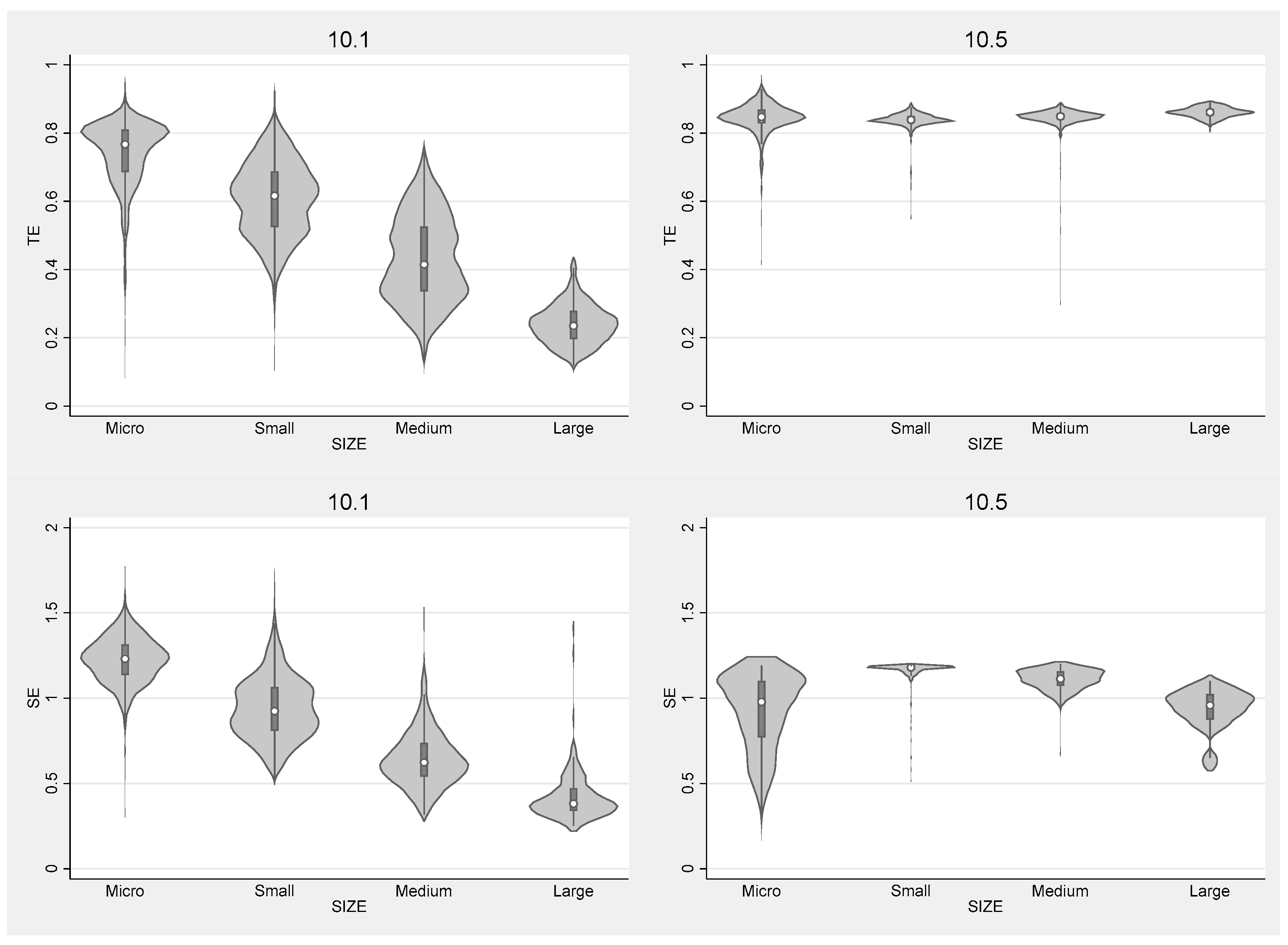
Scale efficiency (SE) shows higher variability than technical efficiency in both sectors, with the highest average value (1.15) and median value (1.21) in the Slovakian meat processing industry and the Czech milk processing industry (mean of 1.09 and median of 1.04). In contrast, the lowest average values are observed in Polish meat processing (1.01) and Slovakia’s milk industry (0.95). This suggests that Polish food processors tend to lag behind their competitors in both technical and scale efficiency on average in NACE 10.1 and in technical efficiency in NACE 10.5.
Table 2 and Figure A2 in Appendix A provide additional information about the technical and scale efficiency scores across different firm sizes. For both efficiencies, a similar pattern of decrease with increasing firm size can be observed in the meat processing sector. In contrast, in the dairy sector, the technical efficiency increases with size, while the scale efficiency follows an inverse U-shaped pattern.
Table 2.
Technical and scale efficiencies across different sizes of firms.
Figure 3 presents the violin plots of the market share (MS). The distributions exhibit negatively skewed characteristics, with medians clustered near 0, suggesting generally low market shares (MS) across all three countries. The Czech Republic exhibits the highest market concentration, with a median around 0.02 and notable upper outliers, indicating several dominant firms with significantly higher market shares. Slovakia shows a similar, albeit less pronounced, pattern of market concentration, while Poland’s distribution reveals uniformly low market shares across firms. The right-skewed distributions and the presence of outliers, particularly in the Czech Republic and Slovakia, suggest structurally different market dynamics compared to Poland’s more competitive environment.
Figure 3.
Violin plots of market share. Source: Own calculations.
In terms of the market structure, according to Naldi and Flamini (2014), the market of meat processors (NACE 10.1) in all three countries can be characterized as unconcentrated, which is also evidenced by the very low values of the average market share (see Figure 3 and Table 3). The highest level of concentration is achieved by the Slovak meat processor market (HHI = 655.9) and the lowest concentration is achieved in the Polish market (HHI = 128.4), with an average market share value of only 0.3%. The low concentration of the meat industry in Poland could also be determined by the low concentration of pork and beef supplies, being the result of a fragmented agriculture structure. Although it is possible to describe the market of meat processors in all three countries as unconcentrated, the CR4 indicator shows the presence of a loose oligopoly or monopolistic competition in the case of Slovakia (CR4 = 44.4%), while these four major players are mainly owned by foreign companies from the Czech Republic, the United Kingdom, or the Netherlands. In the Czech Republic and Poland, the value of CR4 does not exceed 40%, and it is, therefore, possible to describe the markets as effectively competitive environments. In the case of the Czech Republic, the four largest meat processors are Czech companies; in Poland, with the exception of one Danish company, the ownership of these largest players is also in Polish hands.
Table 3.
Market structure indicators.
Looking at the market structure of milk processors (NACE 10.5), all three countries can also be characterized as unconcentrated, as the value of the HHI does not exceed the commonly used threshold of 1500 points (Naldi & Flamini, 2014) in any country, although the value of the HHI in Slovakia (HHI = 1200.3) is close to this threshold. In the Czech Republic and Poland, the HHI reaches similar values, but the average market share differs significantly. In the Czech Republic, the concentration according to the HHI reaches 666.2 points, with an average market share of 2.5%; in Poland, it reaches an HHI 698.2 points, with an average share of 0.7%. According to the CR4 index, there are oligopoly structures in all three countries in this market: the CR4 in the Czech Republic is 42.2%; in Poland, it is 43.2%; and, in the case of Slovakia, it is even 59.8%. A market where the CR4 is above 60% can then be characterized as a tight oligopoly or as being dominated by firms with a competitive fringe. Almost 25% of the market is held by Rajo, s.r.o., owned by the German company Meggle Consumer Products International GmbH; the second major player is owned by the French company Bel; and the other two players are already Slovak companies. In the case of the Czech Republic, unlike meat processors, there are more companies in the top four owned by foreign companies from Germany and France. In the case of Poland, the three most important players are Polish companies, and in fourth place in terms of the largest market share is a company from France.
However, it should be noted here that the HHI calculated purely based on individual company data cannot perfectly describe the concentration in the relevant sub-market of a specific product. Moreover, in the HHI index, the ownership of several similar economic entities by one entity is not taken into account. Since both markets in all countries can be characterized as unconcentrated, with a sufficient number of players, this would not affect the value of the HHI indicator much. The existence of group ownership has a greater impact on the value of the CR4 indicator, especially in the case of the Czech Republic due to the strong position of the Agrofert group. Here, the value of the CR4 indicator will increase in the case of meat processors from 34.2% to 39.3% and in the case of milk processors from 42.2% to 49.7%. In Slovakia, where the values of the CR4 indicator are higher compared to the other monitored countries, there is no change in the CR4 indicator after taking into account group ownership.
To summarize, milk processors and dairy and cheese producers are more concentrated in all observed countries compared to meat processors (see Figure 3), with a higher market share on average, and, in all three countries, it is possible to find prominent players, creating an oligopolistic market of varying intensity.
However, Blažková (2016) examined the concentration in the food and beverage industry in the Czech Republic in the period of 2003–2014 and highlighted that the concentration is still low in comparison with the subsequent vertical stage, i.e., retail. This could lead to a worse market position for food processors and disproportionate profits among processors and traders. Nes et al. (2021) analyzed market power in the food market in some EU member states. In all of the selected member states, besides Finland, the food retail sector was more concentrated in comparison to manufacturing, while, in the Czech Republic, the value of the HHI and CR4 reached the third-highest values in the case of retail in comparison to other countries. Špička (2016) also addressed the market concentration of grocery retailers in Central Europe. Based on his research focusing on the period of 2010–2015, it is clear that grocery retailers in Poland are significantly less concentrated and the market shares of the four most important players (for the year 2015, the CR4 was 41.2%) are significantly lower than in the case of the Czech Republic (CR4 = 63.1%) and Slovakia (CR4 = 65.5%). This environment can also affect the profitability of food processing companies in Poland.
It is possible to state that both markets in all three countries can be characterized as non-concentrated, but the market shares of companies vary significantly depending on the market and the specific country. This leads to the following questions: Does the market share affect corporate profitability? Do companies with higher market shares make higher profits, and why?
The estimation results of the models exploring the relationship between profitability, efficiency, and the market structure are presented in Table 4. The corresponding descriptive statistics of the profitability model variables are presented in Table A10 in Appendix A. According to the results of the Hausman test, the profitability model for NACE 10.1 is specified as a fixed-effects model, while the profitability model for NACE 10.5 is specified as a random-effects model. The significance of these models is confirmed by the F-test at a 5% significance level. Moreover, the obtained values of the Hansen test suggest the validity of the GMM estimates, since the orthogonality of the instruments is not rejected at the 5% significance level.
Table 4.
The estimation results of the profitability models.
The estimated parameters and their significance reveal that technical efficiency, the market share, and size have a positive and statistically significant (however, only at a 10% level in the case of the market share) effect on profitability in NACE 10.1.
Concentration, expressed by the HHI, is not found to affect profitability significantly. Moreover, Keil (2019) finds no evidence that concentration has any positive effect on long-term differences in profitability. This conclusion was expected because, although there are differences in the levels of concentration in individual countries, all three markets, as already mentioned, can be considered unconcentrated. In more concentrated industries, producers can more easily collude, meaning that they can collectively set prices and quantities to earn monopoly profits (Lelissa & Kuhil, 2018). This behavior is not observed in the case of NACE 10.1. A higher market share leads to higher profitability only in the case of NACE 10.1 (see Table 4).
To test the purity of these results (as emphasized by Setiawan et al., 2012), the regression of efficiency on the market share was performed according to Equation (2). The market share was found to be significantly and positively (at 5% level) influenced by technical efficiency. Therefore, it can be concluded that firms generate excess profits not because of their market shares but because of enhanced efficiency in input use.
NACE 10.1 can be characterized by increasing returns to scale (the mean of RTS was 1.3); however, in the analyzed period, movement to the optimal size can be observed. The increasing scale efficiency of smaller operations leads to a reduction in the market shares of larger players. This finding highlights the significance of efficiency in explaining profitability (Žáková Kroupová et al., 2022).
The importance of efficiency in generating profitability is also identified in NACE 10.5, where market structure variables do not have a statistically significant effect on profitability. Although the values of the HHI and average market share are higher for all three countries in the case of NACE 10.5 than in the case of NACE 10.1, a clear relationship between the market share and profitability is not demonstrated. The coefficients of the technical and scale efficiency, on the other hand, are positive and statistically significant (at the 5% level). This means that more efficient producers can benefit from a cost advantage, with a positive impact on profits, but are unable to translate this into their market shares, as in the case of NACE 10.1. Although the market is not concentrated, its structure is much more oligopolistic (especially in Slovakia and the Czech Republic when group ownership is taken into account), and the market is relatively saturated (especially the milk market), so achieving a higher market share would probably be possible only in the case of the acquisition of existing production capacities, rather than a result of the natural process of business development due to cost savings.
Regarding the control variables, there appears to be a significant inverse relationship between profitability and the debt-to-assets ratio in both sectors and a significant positive relationship between profitability and size. This is in line with the research of Blažková et al. (2019). Furthermore, the random-effects model of the NACE 10.5 profitability allows us to analyze the effect of ownership. The coefficient of the ownership dummy (D_OWN) is negative and statistically significant (at the 5% level), suggesting that the firms in the group are ceteris paribus less profitable.
5. Materials and Methods
5.1. Data
The empirical analysis is based on the financial data provided by the database Dun and Bradstreet—Global Financials. This database provides standardized, comparable information from the financial reports of companies across countries worldwide and thus enables the benchmarking of financial performance and financial health.
The analysis uses these micro-economic financial data from the food processing companies in Poland, the Czech Republic, and Slovakia for the period 2015–2021, focusing specifically on the following sectors according to the Nomenclature of Economic Activities (NACE):
C 10.1 Processing and preserving of meat and production of meat products;
C 10.5 Manufacture of dairy products.
Since not all meat and dairy processors had complete information, firms with incomplete financial statements were excluded from the dataset. Moreover, to reduce the problems associated with the entry and exit of firms to/from the database, and to use a sufficient number of lagged instruments in the generalized methods of moments estimator (GMM), firms with less than three consecutive years of observations during the analyzed period were removed from the dataset. As a result of this process, the dataset consisted of 5417 observations of 926 companies. Table 5 presents the structure of the dataset. This dataset was used in stochastic frontier analysis. For panel data regression, after removing extreme values, the dataset included 3800 observations for NACE 10.1 and 1567 observations for NACE 10.5.
Table 5.
Structure of dataset.
5.2. Panel Data Regression Model
The in-depth investigation of the relationship between profitability, efficiency, and the market structure was based on panel data regression analysis. This empirical framework followed and developed the studies of Berger (1995), Chortareas et al. (2011), and Ye et al. (2012). Profitability was calculated as the return on assets (ROA), which measures management’s ability to generate profits from the total assets regardless of the means of funding, consistent with the work of Evanoff and Fortier (1988), Seelanatha (2010), and Destiartono and Purwanti (2021).
Efficiency was defined in a technical sense as “a firm’s ability to minimize input use in the production of a given output since profits are primarily determined by differences in cost efficiency” (Berger, 1995). This study focuses on technical efficiency and scale efficiency. The theoretical foundation for the measurement of technical efficiency was proposed by Farrell (1957), who considered technical inefficiency as the distance from the point of the current input–output combination to the frontier that reflects the efficient input–output subset and defined its measurement in the input orientation as the ratio of the minimum input required to produce the given output to the observed input. Scale efficiency offers additional information about the potential to reduce the input use per unit of output by moving to a point of technically optimal scale (Paul et al., 2004).
The market structure was represented by market concentration and the market share. As highlighted by Berger (1995), profitability and concentration are supposed to be only spuriously related because both variables are correlated with the market share. However, once the market share is entered into the profitability equation, the spurious relationship disappears. In this study, the market share represents the percentage of the i-th firm in the total sales at time t in the given NACE and country. This is in line with Blažková (2016), who recommends using sales data because this indicator seems to explain more about the market structure than the output.
Market concentration was measured by the Herfindahl–Hirschman Index (HHI), calculated as where MSit denotes the individual market share in the particular food industry in a given country; i, with i = 1, 2, …, I, refers to a certain company; and t, with t = 1, …, T, refers to a certain year. The HHI informs us about the inequality of the market share distribution among all firms in the industry, and, if the market shares are expressed as percentages, the HHI varies from 0 (indicating no concentration and a highly competitive system) to 10,000 (representing a pure monopoly). The thresholds for determining the competition level in the particular subsector were taken from Naldi and Flamini (2014). However, Setiawan et al. (2013) mention that, given that both of the two most used concentration indicators (HHI, CR4) have their limits, it is advisable to complement them. Unlike CR4, the HHI can capture the distribution of a firm’s market share in a market, but it is quite difficult to classify oligopoly categories using the HHI. Therefore, to describe the situation in the given market, we also relied on the CR4 indicator, which measures the percentage of the turnover controlled by the four largest firms in the industry, according to .
The panel data model, with profitability as a dependent variable and technical efficiency, scale efficiency, the market share, and concentration as independent variables, was specified as follows:
where ROA is the return on assets, TE represents technical efficiency, SE is scale efficiency, MS refers to the market share, CON is concentration, Zk represents the k-th control variable, and subscripts i, with i = 1, 2, …, I, and t, with t = 1, …, T, refer to a certain firm and year, respectively. ai is a heterogeneity effect. β and δ are vectors of the parameters to be estimated, and εit is an idiosyncratic error term (Greene, 2008). The control variables used to mitigate the omitted variable bias followed previous research (Žáková Kroupová et al., 2022; Setiawan et al., 2013; Seelanatha, 2010) and included the following: the total capital intensity (TCI), defined as the total assets-to-output ratio; risk (DAR), represented by the total debt-to-total assets ratio; the natural logarithm of total assets (ln_ASSETS) as a proxy for size; and a dummy variable for ownership (D_OWN). This dummy variable indicates whether the firm is (D_OWN = 1) or is not (D_OWN = 0) a member of a group of enterprises, whether national or multinational. According to Wood et al. (2021), evidence suggests that common shareholder ownership can harm competition, particularly in highly concentrated markets, by increasing management incentives to tacitly or explicitly collude with rivals.
Since the market share can be related to efficiency, an additional model of the market share was estimated and tested in the case of a positive and significant impact of the market share on profitability:
The specification of the panel data models Equations (1) and (2) (fixed- or random-effects model; for details see, e.g., Greene, 2008) was based on the results of the Hausman (1978) test. The potential endogeneity of the explanatory variables (Ye et al., 2012) was tested by the difference-in-Sargan test (C-test; Baum et al., 2003) and addressed by the generalized method of moments (GMM) estimator in STATA 17. The GMM estimator employed the following external instrumental variables available in the dataset: total payroll costs to net sales, total fixed assets to net sales, net working capital to sales, sales-to-assets ratio, direct cost-to-net-sales ratio, and a time variable. These variables were expected to correlate with the regressors while remaining uncorrelated with the error term. The correlation of these instruments with the endogenous regressors was tested using the LM test of identification and the Stock and Yogo (2005) test for weak identification. The validity of the instruments, i.e., the orthogonality condition of all instruments with the error terms, was tested using the Hansen (1982) J-test.
Based on estimates of Equations (1) and (2), the market structure drives profitability if concentration and the market share have a significant and positive impact on profitability and, at the same time, if efficiency does not have a significant impact on the market share. If the relationship between profitability and efficiency is significant and positive and the market share and concentration lose their explanatory power and are insignificantly related to profitability (Chortareas et al., 2011), or if the market structure variables have a significant impact on profitability and efficiency has a significant impact on the market share (Ye et al., 2012), then efficiency becomes the more significant factor influencing profitability.
5.3. Technical and Scale Efficiency Estimation
The efficiency of meat and milk processors for the regression model was estimated based on stochastic frontier analysis (SFA). In this study, a stochastic meta-frontier approach, which allows for the calculation of comparable efficiencies for firms operating under different technologies (Battese et al., 2004), was used. The estimation of the meta-frontier model employed, according to Huang et al. (2014), the efficient input based on the quantification of overall technical efficiency (OTE) from the country-specific input distance function (IDF). Specifically, the research strategy of technical efficiency quantification consisted of two phases. In the first phase, the country-specific IDF was estimated. In the second phase, a meta IDF was estimated using the same model specification as the country-specific IDF and using the effective level of inputs calculated using the overall technical efficiency from the first phase.
The IDF that measures the largest factor of proportionality ρ by which the input vector x can be scaled down to produce a given output vector y with the technology existing at a particular time t (Caves et al., 1982) is defined as (Kumbhakar et al., 2007)
where x denotes the input vector, y denotes the output vector, t represents time, and L(y) is the input requirement set.
For any input–output combination (x,y) belonging to the technology set, the input distance function takes a value no smaller than unity (Irz & Thirtle, 2005). If , the given output vector y is produced with the minimum amount of inputs at a given time and with the given technology, and a firm is technically efficient (Caves et al., 1982). A value above one suggests that the observed input–output combination is technically inefficient. In other words, the IDF, by definition, offers a measure of input-based technical efficiency: (Hailu & Veeman, 2000).
In this study, the IDF is estimated in the flexible translog functional form:
where subscripts i, with i = 1, 2, …, I, and t, with t = 1, …, T, refer to a certain firm and year, respectively. α, β, γ, and δ are vectors of the parameters to be estimated. The symmetry property of the IDF assumes that (Tsionas et al., 2015). The linear homogeneity of degree one in inputs is imposed by dividing the inputs by one of the inputs (x1 in this case). This implies that the parameters of the IDF are restricted: (Sipiläinen, 2007). After this normalization and extension to the generalized true random-effects (GTRE) model (Tsionas & Kumbhakar, 2014), the IDF takes the following form:
where , , , vit is a statistical error term,; uit is transient technical inefficiency, ; ηi is persistent technical inefficiency with ; and μi is latent heterogeneity with . This specification ensures that αi and εit have a zero mean and constant variance.
In this study, the following output and input variables were used in the IDF (the descriptive statistics of these variables are presented in Appendix A, Table A11): output (y), measured by net sales deflated by the NACE subsector index of food processing prices (2015 = 100); labr (xL), represented by the total payroll costs deflated by the labor cost index (2015 = 100); capital (xC), represented by the book value of fixed assets deflated by the index of producer prices in the industry (2015 = 100); and material (xM)—the direct costs deflated by the index of producer prices in the industry (2015 = 100). All these price indexes were obtained from Eurostat (2023). Moreover, these variables were transformed to logarithms and normalized by their sample means before the estimation of the IDF.
The GTRE model was estimated by a four-step procedure that controlled for the potential endogeneity of netputs (Bokusheva & Čechura, 2017). In this procedure, the two-step system generalized method of moments (GMM) estimator (Arellano & Bover, 1995; Blundell & Bond, 1998) is employed to obtain consistent estimates of the IDF parameters as step 1. The system GMM, solving the endogeneity problem and the problem of weak instruments, estimates a model in differences and levels and employs two types of instruments: the level instruments for the differenced equations and the lagged differences for the equations in levels. In this study, 2–3 lags were employed for internal (GMM style) instruments. The external instrumental variables included the total capital intensity, labor intensity, total liabilities to total equity, gross profit margin, stock turnover days, sales to assets, net working capital over sales, returns on sale, price index for intermediate goods, price index of energy, price index for industry, and price index for dairy products. The validity of the instruments was assessed by the Hansen J-test (Hansen, 1982), which checks the joint validity of the instruments, and the Arellano–Bond test for autocorrelation, which evaluates lags as valid instruments (Arellano & Bond, 1991).
Residuals from the system GMM level equation are used to estimate a random-effects panel model, employing the generalized least squares (GLS) estimator to obtain theoretical values of and (step 2). Then, the transient technical inefficiency is estimated from the theoretical value of εit using the standard stochastic frontier technique with assumptions (step 3). Finally, the persistent technical inefficiency is estimated using the theoretical value of αi and the stochastic frontier model with the assumptions (step 4). These steps were implemented in STATA 17. Kumbhakar et al. (2015) and Roodman (2009) provide codes for these estimates.
The estimates of the transient and persistent technical inefficiency were used to quantify the overall technical efficiency (OTE) (Kumbhakar et al., 2014) as , where the estimates from the meta-frontier were used in the regression model. The overall technical efficiency scores lie between 0 and 1, and the value of unity indicates that a firm is technically efficient. Moreover, scale efficiency was calculated from the IDF based on the Ray (2003) and Rasmussen (2010) framework as the distance between the actual and the most productive scale size, representing the point where the production technology exhibits constant returns to scale (Ray, 1998). According to Bokusheva and Čechura (2017), this measure can be quantified as , where
and The closer the firm’s production is to the most productive scale size, the higher the scale efficiency score.
6. Conclusions
This paper has examined the impact of the market structure and efficiency on profitability. The research focused on the market of meat and milk processors in Poland, the Czech Republic, and Slovakia in the period of 2015–2021. Although both markets can be characterized as unconcentrated, with a large number of players, in some countries, the presence of strong players is evident. This was also the main motivation for the conducted research—to identify the key driver of profitability in both markets and to assess the influence of market structures on profitability. To achieve this, panel data regression was used.
This research did not reveal the presence of collusive behavior in the examined markets. The profitability of companies is significantly influenced by the efficiency of the production process. The more important position of some players in both markets does not have a direct effect on their financial performance. The indirect or mediated effect of market share on profitability was confirmed only in the case of the meat processing sector (NACE 10.1), where a higher market share is a consequence of higher technical efficiency, which is positively reflected in profitability. The meat processing sector is an unconcentrated market, where companies achieve, on average, a lower market share compared to the market of milk processors; moreover, with the exception of Slovakia, the CR4 indicator does not exceed 40%. Therefore, mergers (and overall market concentration) are primarily influenced by efficiency factors, which are expected to boost both consumer and producer surplus. The process of increasing market shares on this basis can be seen as the natural evolution of the enterprise.
On the other hand, in the case of milk processors, technically more efficient production, resulting in cost savings, is reflected in increased profitability—but is not reflected in a higher market share. In this market, which, according to the HHI, is unconcentrated in all three countries, producers achieve a higher average market share compared to meat processors. In all three countries, the market can be described as an oligopoly, with varying degrees of intensity. Furthermore, the effect of oligopolistic power is amplified when group ownership is considered. More efficient production can then be positively reflected by the company in its profitability, but not in its market share, which can be attributed to the fact that “the cards are already dealt here”.
This research has many practical implications. It was found that improved financial performance among these food producers can be achieved by enhancing efficiency through investments in new production technologies, knowledge transfer, and process innovations that reduce the unit production costs. Policymakers should prioritize measures such as subsidies or grants for the adoption of advanced technologies and to foster innovation so as to support profitability without economic disruption. Governments should also ensure that competition policies prevent collusion and the abuse of market power while promoting a level playing field. Encouraging innovation and reducing the barriers to entry for smaller firms can stimulate dynamic competition, particularly in the oligopolistic milk market. Regulators should remain vigilant about anti-competitive practices while ensuring that the efficiency achieved by larger groups translates into benefits for consumers, such as lower prices and higher-quality products.
This article also contributes to expanding the state of knowledge about the interrelationship between performance, efficiency, and the market structure in selected sectors of the food industry and brings new perspectives on the analysis of profitability in two markets with a relatively large number of players but with different intensities of oligopoly.
The profitability of meat and milk processors is influenced by a wide range of other factors, such as the level of government support for producers, market saturation with domestic production, the volume of imports, and the development of input prices on world markets, but also by concentration at the end of the product cycle, i.e., on the retail side. This research recognizes limitations in addressing these factors and exogenous shocks, including the COVID-19 pandemic and sector-specific disease outbreaks (African swine fever, avian influenza, and bovine spongiform encephalopathy). These events substantially affected market fundamentals through their influence on supply chains, price mechanisms, and consumer behavior (Grunert et al., 2023; Höhler & Oude Lansink, 2021; Lin et al., 2020; Magdelaine et al., 2008). The resultant market pressures disproportionately impacted small and medium-sized producers, leading to market exits and industry restructuring (Ali et al., 2021). Future empirical investigations should incorporate these structural disruptions to better understand their effects on market dynamics and industry concentration. Another limiting factor in profitability analysis is the fact that profit reinvestment is not considered, which can distort the view of the overall financial situation of the company.
At a time when, in particular, countries affected by high inflation—such as the Czech Republic, Slovakia, and Poland—are asking themselves the question of who is to blame for high food prices and who is becoming rich, this analysis becomes even more important. It points to the absence of collusive behavior or the use of market power by food producers and, at the same time, to the importance of production efficiency by explaining profitability. From the perspective of future research, it will be important to examine the relationship between performance, the market structure, and efficiency at all stages of the commodity chain, which will be the subject of further research.
Author Contributions
Conceptualization, Z.Ž.K. and G.T.; methodology, Z.Ž.K.; software, Z.Ž.K.; validation, Z.Ž.K.; formal analysis, Z.Ž.K. and G.T.; investigation, Z.Ž.K. and G.T.; resources, Z.Ž.K. and G.T.; data curation, Z.Ž.K. and G.T.; writing—original draft preparation, Z.Ž.K. and G.T.; writing—review and editing, Z.Ž.K. and G.T.; visualization, Z.Ž.K. and G.T.; supervision, Z.Ž.K. All authors have read and agreed to the published version of the manuscript.
Funding
This research received no external funding.
Informed Consent Statement
Not applicable.
Data Availability Statement
The original contributions presented in the study are included in the article; further inquiries can be directed to the corresponding author.
Conflicts of Interest
The authors declare no conflicts of interest.
Appendix A
Table A1.
Structure of dataset according to firm size.
Table A1.
Structure of dataset according to firm size.
| Micro | Small | Medium | Large | |
|---|---|---|---|---|
| 10.1 | ||||
| Czechia | 223 | 129 | 72 | 3 |
| Slovakia | 497 | 209 | 32 | 14 |
| Poland | 1351 | 821 | 350 | 99 |
| 10.5 | ||||
| Czechia | 41 | 106 | 92 | 40 |
| Slovakia | 205 | 49 | 63 | 20 |
| Poland | 387 | 251 | 224 | 89 |
Note: Micro size represents firms with total assets (TA) ≤ EUR 2000 thousand; small size includes firms with TA > EUR 2000 thousand and ≤ EUR 10,000 thousand; medium size refers to firms with TA > EUR 10,000 thousand and ≤ EUR 43,000 thousand; and large size includes firms with TA > EUR 43,000 thousand.
Figure A1.
Violin plots of profitability across different sizes of firms. Source: Own calculations.
Figure A1.
Violin plots of profitability across different sizes of firms. Source: Own calculations.

Figure A2.
Violin plots of efficiency across different sizes of firms. Source: Own calculations.
Figure A2.
Violin plots of efficiency across different sizes of firms. Source: Own calculations.

Table A2.
The IDF estimates—CZ_101.
Table A2.
The IDF estimates—CZ_101.
| ln_xC | Coef. | Std. Err. | P > |t| | |
|---|---|---|---|---|
| ln_y | −0.980 | 0.021 | 0.000 | |
| ln_xL | 0.195 | 0.058 | 0.001 | |
| ln_xM | 0.755 | 0.050 | 0.000 | |
| t | 0.002 | 0.003 | 0.531 | |
| ln_y_2 | −0.018 | 0.027 | 0.511 | |
| ln_xL_2 | 0.132 | 0.086 | 0.128 | |
| ln_xM_2 | 0.145 | 0.059 | 0.016 | |
| ln_yxL | 0.003 | 0.040 | 0.948 | |
| ln_yxM | −0.014 | 0.033 | 0.670 | |
| ln_xLxM | −0.134 | 0.058 | 0.024 | |
| t_2 | 0.010 | 0.003 | 0.000 | |
| ln_yt | −0.002 | 0.003 | 0.376 | |
| ln_xLt | 0.005 | 0.006 | 0.400 | |
| ln_xMt | −0.017 | 0.005 | 0.002 | |
| _cons | −0.030 | 0.044 | 0.486 | |
| Tests | p-value | |||
| F-test | 1928.690 | F [14,73] | 0.000 | |
| AR(2) | 0.720 | 0.473 | ||
| Hansen | 69.620 | Chi2 [59] | 0.162 | |
| Wald test of second-order parameters | 3.570 | F [10,73] | 0.000 | |
| Number of instruments | 74 | |||
| Number of groups | 74 | |||
| Returns to scale, technical efficiency | Mean | Stand. Dev. | Min. | Max. |
| Returns to scale | 1.122 | 0.036 | 0.952 | 1.171 |
| Technical efficiency | 0.888 | 0.042 | 0.729 | 0.970 |
Source: Own calculations.
Table A3.
The IDF estimates—SK_101.
Table A3.
The IDF estimates—SK_101.
| ln_xC | Coef. | Std. Err. | P > |t| | |
|---|---|---|---|---|
| ln_y | −0.919 | 0.037 | 0.000 | |
| ln_xL | 0.159 | 0.027 | 0.000 | |
| ln_xM | 0.814 | 0.034 | 0.000 | |
| t | 0.015 | 0.005 | 0.005 | |
| ln_y_2 | −0.098 | 0.028 | 0.001 | |
| ln_xL_2 | 0.073 | 0.050 | 0.150 | |
| ln_xM_2 | 0.147 | 0.072 | 0.043 | |
| ln_yxL | 0.039 | 0.035 | 0.270 | |
| ln_yxM | −0.027 | 0.041 | 0.511 | |
| ln_xLxM | −0.112 | 0.051 | 0.029 | |
| t_2 | 0.012 | 0.005 | 0.012 | |
| ln_yt | −0.005 | 0.004 | 0.227 | |
| ln_xLt | −0.002 | 0.010 | 0.817 | |
| ln_xMt | 0.000 | 0.009 | 0.976 | |
| _cons | 0.108 | 0.061 | 0.080 | |
| Tests | p-value | |||
| F-test | 411.440 | F [14,127] | 0.000 | |
| AR(2) | −0.710 | 0.477 | ||
| Hansen | 32.460 | Chi2 [36] | 0.638 | |
| Wald test of second-order parameters | 12.950 | F [10,127] | 0.000 | |
| Number of instruments | 51 | |||
| Number of groups | 128 | |||
| Returns to scale, technical efficiency | Mean | Stand. Dev. | Min. | Max. |
| Returns to scale | 1.130 | 0.248 | 0.717 | 1.850 |
| Technical efficiency | 0.931 | 0.020 | 0.777 | 0.983 |
Source: Own calculations.
Table A4.
The IDF estimates—PL_101.
Table A4.
The IDF estimates—PL_101.
| ln_xC | Coef. | Std. Err. | P > |t| | |
|---|---|---|---|---|
| ln_y | −0.953 | 0.019 | 0.000 | |
| ln_xL | 0.135 | 0.071 | 0.057 | |
| ln_xM | 0.821 | 0.077 | 0.000 | |
| t | 0.004 | 0.003 | 0.202 | |
| ln_y_2 | −0.094 | 0.008 | 0.000 | |
| ln_xL_2 | 0.068 | 0.046 | 0.140 | |
| ln_xM_2 | 0.031 | 0.068 | 0.652 | |
| ln_yxL | −0.008 | 0.025 | 0.751 | |
| ln_yxM | 0.025 | 0.018 | 0.164 | |
| ln_xLxM | −0.035 | 0.050 | 0.485 | |
| t_2 | −0.002 | 0.003 | 0.427 | |
| ln_yt | −0.001 | 0.003 | 0.783 | |
| ln_xLt | 0.002 | 0.006 | 0.693 | |
| ln_xMt | −0.005 | 0.006 | 0.450 | |
| D2019 | −0.060 | 0.033 | 0.070 | |
| _cons | 0.075 | 0.032 | 0.018 | |
| Tests | p-value | |||
| F-test | 774.190 | F [54,459] | 0.000 | |
| AR(2) | −1.120 | 0.261 | ||
| Hansen | 46.170 | Chi2 [50] | 0.628 | |
| Wald test of second-order parameters | 44.060 | F [10,459] | 0.000 | |
| Number of instruments | 66 | |||
| Number of groups | 460 | |||
| Returns to scale, technical efficiency | Mean | Stand. Dev. | Min. | Max. |
| Returns to scale | 1.075 | 0.176 | 0.697 | 1.986 |
| Technical efficiency | 0.963 | 0.006 | 0.803 | 0.985 |
Source: Own calculations.
Table A5.
The IDF estimates—CZ_105.
Table A5.
The IDF estimates—CZ_105.
| ln_xC | Coef. | Std. Err. | P > |t| | |
|---|---|---|---|---|
| ln_y | −0.995 | 0.014 | 0.000 | |
| ln_xL | 0.126 | 0.030 | 0.000 | |
| ln_xM | 0.849 | 0.021 | 0.000 | |
| t | 0.002 | 0.005 | 0.638 | |
| ln_y_2 | −0.006 | 0.011 | 0.568 | |
| ln_xL_2 | 0.093 | 0.051 | 0.078 | |
| ln_xM_2 | 0.097 | 0.045 | 0.036 | |
| ln_yxL | −0.024 | 0.017 | 0.179 | |
| ln_yxM | 0.007 | 0.017 | 0.658 | |
| ln_xLxM | −0.102 | 0.044 | 0.025 | |
| t_2 | 0.006 | 0.004 | 0.209 | |
| ln_yt | 0.003 | 0.003 | 0.333 | |
| ln_xLt | 0.014 | 0.009 | 0.129 | |
| ln_xMt | −0.016 | 0.008 | 0.041 | |
| _cons | −0.031 | 0.016 | 0.060 | |
| Tests | p-value | |||
| F-test | 58,665.980 | F [14,42] | 0.000 | |
| AR(2) | −0.210 | 0.832 | ||
| Hansen | 35.080 | Chi2 [36] | 0.512 | |
| Wald test of second-order parameters | 3.910 | F [10,42] | 0.000 | |
| Number of instruments | 51 | |||
| Number of groups | 43 | |||
| Returns to scale, technical efficiency | Mean | Stand. Dev. | Min. | Max. |
| Returns to scale | 1.005 | 0.018 | 0.931 | 1.054 |
| Technical efficiency | 0.809 | 0.049 | 0.557 | 0.986 |
Source: Own calculations.
Table A6.
The IDF estimates—SK_105.
Table A6.
The IDF estimates—SK_105.
| ln_xC | Coef. | Std. Err. | P > |t| | |
|---|---|---|---|---|
| ln_y | −0.936 | 0.038 | 0.000 | |
| ln_xL | 0.165 | 0.078 | 0.039 | |
| ln_xM | 0.771 | 0.092 | 0.000 | |
| t | −0.008 | 0.011 | 0.464 | |
| ln_y_2 | −0.071 | 0.038 | 0.071 | |
| ln_xL_2 | 0.121 | 0.106 | 0.259 | |
| ln_xM_2 | 0.170 | 0.104 | 0.109 | |
| ln_yxL | −0.002 | 0.068 | 0.973 | |
| ln_yxM | −0.052 | 0.076 | 0.499 | |
| ln_xLxM | −0.152 | 0.100 | 0.132 | |
| t_2 | 0.004 | 0.007 | 0.576 | |
| ln_yt | 0.011 | 0.005 | 0.036 | |
| ln_xLt | 0.020 | 0.017 | 0.242 | |
| ln_xMt | −0.039 | 0.016 | 0.019 | |
| _cons | 0.139 | 0.079 | 0.085 | |
| Tests | p-value | |||
| F-test | 393.920 | F [14,56] | 0.000 | |
| AR(2) | −0.340 | 0.730 | ||
| Hansen | 45.230 | Chi2 [78] | 0.999 | |
| Wald test of second-order parameters | 2.750 | F [10,56] | 0.008 | |
| Number of instruments | 93 | |||
| Number of groups | 57 | |||
| Returns to scale, technical efficiency | Mean | Stand. Dev. | Min. | Max. |
| Returns to scale | 1.091 | 0.239 | 0.758 | 1.971 |
| Technical efficiency | 0.885 | 0.046 | 0.619 | 0.968 |
Source: Own calculations.
Table A7.
The IDF estimates—PL_105.
Table A7.
The IDF estimates—PL_105.
| ln_xC | Coef. | Std. Err. | P > |t| | |
|---|---|---|---|---|
| ln_y | −0.908 | 0.035 | 0.000 | |
| ln_xL | 0.167 | 0.074 | 0.026 | |
| ln_xM | 0.816 | 0.081 | 0.000 | |
| t | 0.026 | 0.015 | 0.095 | |
| ln_y_2 | −0.069 | 0.027 | 0.010 | |
| ln_xL_2 | 0.102 | 0.128 | 0.426 | |
| ln_xM_2 | 0.145 | 0.077 | 0.061 | |
| ln_yxL | −0.007 | 0.052 | 0.898 | |
| ln_yxM | −0.002 | 0.041 | 0.957 | |
| ln_xLxM | −0.112 | 0.089 | 0.210 | |
| t_2 | −0.028 | 0.015 | 0.065 | |
| ln_yt | −0.008 | 0.005 | 0.075 | |
| ln_xLt | −0.006 | 0.010 | 0.545 | |
| ln_xMt | 0.006 | 0.009 | 0.526 | |
| D2021 | 0.075 | 0.034 | 0.031 | |
| _cons | 0.099 | 0.058 | 0.091 | |
| Tests | p-value | |||
| F-test | 1226.360 | F [15,156] | 0.000 | |
| AR(2) | 0.580 | 0.559 | ||
| Hansen | 126.680 | Chi2 [104] | 0.065 | |
| Wald test of second-order parameters | 2.660 | F [10,156] | 0.005 | |
| Number of instruments | 120 | |||
| Number of groups | 157 | |||
| Returns to scale, technical efficiency | Mean | Stand. Dev. | Min. | Max. |
| Returns to scale | 1.124 | 0.219 | 0.765 | 1.997 |
| Technical efficiency | 0.810 | 0.031 | 0.416 | 0.917 |
Source: Own calculations.
Table A8.
The IDF estimates—META_101.
Table A8.
The IDF estimates—META_101.
| ln_xC | Coef. | Std. Err. | P > |t| | |
|---|---|---|---|---|
| ln_y | −0.825 | 0.041 | 0.000 | |
| ln_xL | 0.192 | 0.085 | 0.024 | |
| ln_xM | 0.740 | 0.067 | 0.000 | |
| T | 0.007 | 0.005 | 0.204 | |
| ln_y_2 | 0.123 | 0.041 | 0.003 | |
| ln_xL_2 | 0.133 | 0.049 | 0.007 | |
| ln_xM_2 | 0.184 | 0.064 | 0.004 | |
| ln_yxL | −0.149 | 0.056 | 0.008 | |
| ln_yxM | 0.005 | 0.002 | 0.004 | |
| ln_xLxM | −0.003 | 0.002 | 0.138 | |
| t_2 | 0.003 | 0.004 | 0.438 | |
| ln_yt | −0.005 | 0.004 | 0.164 | |
| ln_xLt | 0.085 | 0.038 | 0.025 | |
| ln_xMt | −0.113 | 0.044 | 0.011 | |
| _cons | −0.214 | 0.065 | 0.001 | |
| Tests | p-value | |||
| F-test | 303.360 | F [14,659] | 0.000 | |
| AR(2) | −0.320 | 0.745 | ||
| Hansen | 71.430 | Chi2 [58] | 0.111 | |
| Wald test of second-order parameters | 2.560 | F [10,659] | 0.005 | |
| Number of instruments | 73 | |||
| Number of groups | 660 | |||
| Returns to scale, technical efficiency | Mean | Stand. Dev. | Min. | Max. |
| Returns to scale | 1.294 | 0.366 | 0.578 | 2.973 |
| Technical efficiency | 0.644 | 0.166 | 0.099 | 0.949 |
Source: Own calculations.
Table A9.
The IDF estimates—META_105.
Table A9.
The IDF estimates—META_105.
| ln_xC | Coef. | Std. Err. | P > |t| | |
|---|---|---|---|---|
| ln_y | −0.964 | 0.010 | 0.000 | |
| ln_xL | 0.093 | 0.021 | 0.000 | |
| ln_xM | 0.855 | 0.035 | 0.000 | |
| T | −0.003 | 0.003 | 0.337 | |
| ln_y_2 | −0.034 | 0.011 | 0.002 | |
| ln_xL_2 | 0.063 | 0.032 | 0.048 | |
| ln_xM_2 | 0.122 | 0.073 | 0.097 | |
| ln_yxL | −0.065 | 0.045 | 0.149 | |
| ln_yxM | 0.004 | 0.002 | 0.009 | |
| ln_xLxM | 0.005 | 0.002 | 0.001 | |
| t_2 | 0.003 | 0.004 | 0.456 | |
| ln_yt | −0.005 | 0.004 | 0.163 | |
| ln_xLt | 0.004 | 0.012 | 0.753 | |
| ln_xMt | −0.029 | 0.022 | 0.192 | |
| _cons | −0.026 | 0.009 | 0.003 | |
| Tests | p-value | |||
| F-test | 1553.520 | F [15,265] | 0.000 | |
| AR(2) | −1.930 | 0.053 | ||
| Hansen | 104.220 | Chi2 [88] | 0.114 | |
| Wald test of second-order parameters | 4.700 | F [10,265] | 0.000 | |
| Number of instruments | 104 | |||
| Number of groups | 266 | |||
| Returns to scale, technical efficiency | Mean | Stand. Dev. | Min. | Max. |
| Returns to scale | 1.048 | 0.117 | 0.848 | 1.494 |
| Technical efficiency | 0.842 | 0.044 | 0.300 | 0.962 |
Source: Own calculations.
Table A10.
Description of profitability model variables.
Table A10.
Description of profitability model variables.
| NACE 10.1 | MEAN | SD | Q1 | MEDIAN | Q3 |
|---|---|---|---|---|---|
| ROA | 0.0870 | 0.1704 | 0.0079 | 0.0579 | 0.1488 |
| TE | 0.6442 | 0.1651 | 0.5429 | 0.6798 | 0.7819 |
| SE | 1.0428 | 0.2775 | 0.8532 | 1.1036 | 1.2518 |
| MS | 0.0056 | 0.0145 | 0.0004 | 0.0011 | 0.0044 |
| CON | 0.0273 | 0.0222 | 0.0130 | 0.0133 | 0.0491 |
| NACE 10.5 | MEAN | SD | Q1 | MEDIAN | Q3 |
| ROA | 0.0100 | 0.1418 | −0.0106 | 0.0163 | 0.0626 |
| TE | 0.8427 | 0.0422 | 0.8338 | 0.8471 | 0.8608 |
| SE | 1.0300 | 0.1878 | 0.9624 | 1.0977 | 1.1732 |
| MS | 0.0134 | 0.0311 | 0.0004 | 0.0022 | 0.0108 |
| CON | 0.0801 | 0.0214 | 0.0651 | 0.0722 | 0.0762 |
Table A11.
Data description (EUR).
Table A11.
Data description (EUR).
| Net Sales | Total Fixed Assets | Direct Costs | Total Payroll Costs | |||||
|---|---|---|---|---|---|---|---|---|
| 10.1 | Mean | St. Dev. | Mean | St. Dev. | Mean | St. Dev. | Mean | St. Dev. |
| Czechia | 14,300 | 30,200 | 3982 | 8958 | 12,200 | 25,400 | 1681 | 3555 |
| Poland | 20,100 | 49,600 | 4830 | 20,100 | 19,400 | 46,400 | 1494 | 3953 |
| Slovakia | 7492 | 19,000 | 2009 | 6127 | 6452 | 15,800 | 903 | 2613 |
| 10.5 | ||||||||
| Czechia | 40,700 | 53,100 | 8529 | 14,400 | 35,200 | 46,800 | 3452 | 4809 |
| Poland | 44,000 | 131,000 | 13,300 | 62,200 | 43,100 | 128,000 | 3021 | 7924 |
| Slovakia | 13,500 | 30,400 | 4820 | 9702 | 11,700 | 26,300 | 1243 | 2526 |
References
- Ali, M. H., Suleiman, N., Khalid, N., Tan, K. H., Tseng, M.-L., & Kumar, M. (2021). Supply chain resilience reactive strategies for food SMEs in coping to COVID-19 crisis. Trends in Food Science & Technology, 109, 94–102. [Google Scholar]
- Arellano, M., & Bond, S. (1991). Some tests of specification for panel data: Monte Carlo evidence and an application to employment equations. Review of Economic Studies, 58(2), 277–297. [Google Scholar] [CrossRef]
- Arellano, M., & Bover, O. (1995). Another look at the instrumental variable estimation of error-components models. Journal of Econometrics, 68, 29–51. [Google Scholar] [CrossRef]
- Bain, J. S. (1951). Relation of profit rate to industry concentration: American Manufacturing, 1936–1940. The Quarterly Journal of Economics, 65(3), 293–324. [Google Scholar] [CrossRef]
- Bain, J. S. (1956). Barriers to new competition. Harvard University Press. [Google Scholar]
- Battese, G. E., Rao, D. S. P., & O’Donnel, C. H. J. (2004). A metafrontier production function for estimation of technical efficiencies and technology gaps for firms operating under different technologies. Journal of Productivity Analysis, 21, 91–103. [Google Scholar] [CrossRef]
- Baum, C. F., Schaffer, M. E., & Stillman, S. (2003). Instrumental variables and GMM: Estimation and testing. The Stata Journal, 3(1), 1–31. [Google Scholar] [CrossRef]
- Berger, A. N. (1995). The profit-structure relationship in banking: Tests of market-power and efficient-structure hypotheses. Journal of Money, Credit and Banking, 27(2), 404–431. [Google Scholar] [CrossRef]
- Berger, A. N., & Hannan, T. H. (1997). Using efficiency measures to distinguish among alternative explanations of the structure-performance relationship in banking. Managerial Finance, 23(1), 6–31. [Google Scholar] [CrossRef]
- Blažková, I. (2016). Convergence of market concentration: Evidence from Czech food processing sectors. AGRIS On-Line Papers in Economics and Informatics, 8(4), 25–36. [Google Scholar] [CrossRef]
- Blažková, I., & Dvouletý, O. (2017). Is the price-cost margin affected by the market concentration? Evidence from the Czech food and beverages industry. Business and Economic Horizons, 13(2), 256–269. [Google Scholar] [CrossRef]
- Blažková, I., Dvouletý, O., & Machek, O. (2019). What drives total factor productivity and its growth in post-communist countries? The case of the Czech food industry. Journal of Agribusiness in Developing and Emerging Economies, 10(3), 285–305. [Google Scholar] [CrossRef]
- Blundell, R., & Bond, S. (1998). Initial conditions and moment restrictions in dynamic panel data models. Journal of Econometrics, 87, 115–143. [Google Scholar] [CrossRef]
- Bokusheva, R., & Čechura, L. (2017). Evaluating dynamics, sources and drivers of productivity growth at the farm level. In OECD food, agriculture and fisheries papers, No. 106. OECD Publishing. [Google Scholar]
- Caves, D. W., Christensen, L. R., & Diewert, E. W. (1982). The economic theory of index numbers and the measurement of input, output, and productivity. Econometrica, 50, 1393–1414. [Google Scholar] [CrossRef]
- Chortareas, G. E., Garza-Garcia, J. G., & Girardone, C. (2011). Banking sector performance in Latin America: Market power versus efficiency. Review of Development Economics, 15, 307–325. [Google Scholar] [CrossRef]
- Čechura, L., & Hockmann, H. (2010). Sources of economical growth in the Czech food processing. Prague Economic Papers, 19(2), 169–182. [Google Scholar] [CrossRef]
- Čechura, L., & Žáková Kroupová, Z. (2021). Technical efficiency in the European dairy industry: Can we observe systematic failures in the efficiency of input use? Sustainability, 13(4), 1830. [Google Scholar] [CrossRef]
- Čechura, L., Žáková Kroupová, Z., & Hockmann, H. (2015). Market power in the European dairy industry. Agris On-Line Paper in Economics and Informatics, 7(4), 39–47. [Google Scholar] [CrossRef][Green Version]
- De Loecker, J., Eeckhout, J., & Unger, G. (2020). The rise of market power and the macroeconomic implications. The Quarterly Journal of Economics, 135(2), 561–644. [Google Scholar] [CrossRef]
- Demsetz, H. (1973). Industry structure, market rivalry, and public policy. The Journal of Law and Economics, 16(1), 1–9. [Google Scholar] [CrossRef]
- Destiartono, M. E., & Purwanti, E. Y. (2021). Market power or efficiency? An empirical study on the Indonesian fertilizer industry. Journal Ekonomi dan Bisnis, 24(2), 361–378. [Google Scholar] [CrossRef]
- Eurostat. (2022). Key figures on the European food chain. Publications Office of the European Union. [Google Scholar]
- Eurostat. (2023). Producer prices in industry, total—Annual data [STS_INPP_A__custom_5608745]. Available online: https://ec.europa.eu/eurostat/databrowser/view/sts_inpp_a/default/table?lang=en (accessed on 12 December 2024).
- Eurostat. (2025a). Employment by sex, age and detailed economic activity [lfsa_egan22d__custom_14847433]. Available online: https://ec.europa.eu/eurostat/databrowser/view/lfsa_egan22d/default/table?lang=en (accessed on 12 December 2024).
- Eurostat. (2025b). National accounts aggregates by industry [nama_10_a64__custom_14847544]. Available online: https://ec.europa.eu/eurostat/databrowser/view/nama_10_a64__custom_14847544/default/table?lang=en (accessed on 19 December 2024).
- Evanoff, D. D., & Fortier, D. L. (1988). Re-evaluation of the structure-conduct performance paradigm in banking. Journal of Financial Services Research, 1, 277–294. [Google Scholar] [CrossRef]
- Farrell, M. J. (1957). The measurement of productive efficiency. Journal of the Royal Statistical Society, 120, 253–290. [Google Scholar] [CrossRef]
- FoodDrink Europe. (2012). Data & trends of the European food and drink industry 2012. FoodDrink Europe. Available online: https://mind.prismsrl.it/wp-content/uploads/2017/03/Data__Trends_.pdf (accessed on 10 November 2024).
- FoodDrink Europe. (2022). Data & trends EU food and drink industry. FoodDrink Europe. Available online: https://www.fooddrinkeurope.eu/resource/data-trends-of-the-european-food-and-drink-industry-2022/ (accessed on 10 November 2024).
- Gardijan, M., & Lukač, Z. (2018). Measuring the relative efficiency of the food and drink industry in the chosen EU countries using the data envelopment analysis with missing data. Central European Journal of Operations Research, 26, 695–713. [Google Scholar] [CrossRef]
- Golas, Z., & Kurzawa, I. (2016). Profitability of the food industry in Poland—An ordered logit model approach. E+M Economics and Management, 19(4), 73–88. [Google Scholar] [CrossRef]
- Grau, A., & Reig, A. (2021). Operating leverage and profitability of SMEs: Agri-food industry in Europe. Small Business Economics, 57, 221–242. [Google Scholar] [CrossRef]
- Greene, W. H. (2008). Econometric analysis (6th ed.). Pearson Education. [Google Scholar]
- Grunert, K. G., Chimisso, C., Lähteenmäki, L., Leardini, D., Sandell, M. A., Vainio, A., & Vranken, L. (2023). Food-related consumer behaviours in times of crisis: Changes in the wake of the Ukraine war, rising prices and the aftermath of the COVID-19 pandemic. Food Research International, 173(2), 113451. [Google Scholar] [CrossRef]
- Gschwandtner, A., & Hirsch, S. (2018). What drives firm profitability? A comparison of the US and EU food processing industry. The Manchester School, 86, 390–416. [Google Scholar] [CrossRef]
- Gumbau, M., & Maudos, J. (2000). Profitability, market structure and efficiency: An application to the Spanish industry. In Working papers. Serie EC 2000-05. Instituto Valenciano de Investigaciones Económicas, S.A. [Google Scholar]
- Hailu, A., & Veeman, T. (2000). Environmentally sensitive productivity analysis of the Canadian pulp and paper industry, 1959–1994: An input distance function approach. Journal of Environmental Economics and Management, 40, 251–274. [Google Scholar] [CrossRef]
- Hansen, L. P. (1982). Large sample properties of generalized method of moments estimator. Econometrica, 50, 1029–1054. [Google Scholar] [CrossRef]
- Hausman, J. A. (1978). Specification tests in econometrics. Econometrica, 46(6), 1251–1271. [Google Scholar] [CrossRef]
- Hirsch, S., Schiefer, J., Gschwandtner, A., & Hartmann, M. (2014). The Determinants of firm profitability differences in EU food processing. Journal of Agricultural Economics, 65, 703–721. [Google Scholar] [CrossRef]
- Höhler, J., & Oude Lansink, A. (2021). Measuring the impact of COVID-19 on stock prices and profits in the food supply chain. Agribusiness, 37, 171–186. [Google Scholar] [CrossRef] [PubMed]
- Huang, C. J., Huang, T. H., & Liu, N. H. (2014). A new approach to estimating the metafrontier production function based on a stochastic frontier framework. Journal of Productivity Analysis, 42, 241–254. [Google Scholar] [CrossRef]
- Irz, X., & Thirtle, C. (2005). Dual technological development in botswana agriculture: A stochastic input distance function approach. Journal of Agricultural Economics, 55(3), 455–478. [Google Scholar] [CrossRef]
- Keil, J. (2019). Is there a causal effect of concentration on persistent profitability differentials? Industrial and Corporate Change, 28(2), 241–257. [Google Scholar] [CrossRef]
- Kufel-Gajda, J. (2017). Monopolistic markups in the Polish food sector. Equilibrium. Quarterly Journal of Economics and Economic Policy, 12(1), 147–170. [Google Scholar] [CrossRef]
- Kumbhakar, S. C., Lien, G., & Hardaker, J. B. (2014). Technical efficiency in competing panel data models: A study of Norwegian grain farming. Journal of Productivity Analysis, 41(2), 321–337. [Google Scholar] [CrossRef]
- Kumbhakar, S. C., Orea, L., Rodríguez-Álvarez, A., & Tsionas, E. G. (2007). Do we estimate an input or an output distance function? An application of the mixture approach to European railways. Journal of Productivity Analysis, 27, 87–100. [Google Scholar] [CrossRef]
- Kumbhakar, S. C., Wang, H. J., & Horncastle, A. P. (2015). A practitioner’s guide to stochastic frontier analysis using stata. Cambridge University Press. [Google Scholar]
- Kunwar, K. (2018). Market structure and performance of commercial banks: Empirical evidence from Nepal. Journal of Business and Management, 5, 33–41. [Google Scholar] [CrossRef]
- Lelissa, T. B., & Kuhil, A. M. (2018). The structure conduct performance model and competing hypothesis: A review of literature. Research Journal of Finance and Accounting, 9, 76–89. [Google Scholar]
- Lin, H., Lloyd, T., & McCorriston, S. (2020). An odd crisis: COVID-19 and UK food prices. EuroChoices, 19, 42–48. [Google Scholar] [CrossRef]
- Magdelaine, P., Spiess, M. P., & Valceschini, E. (2008). Poultry meat consumption trends in Europe. World’s Poultry Science Journal, 64(1), 53–64. [Google Scholar] [CrossRef]
- Mala, C. M. F., Hosen, M. N., & Al Arif, M. N. R. (2023). An analysis of market power and efficiency of Islamic banking in Indonesia and Malaysia. Jurnal Ekonomi & Keuangan Islam, 9(1), 1–16. [Google Scholar] [CrossRef]
- Mala, C. M. F., Rodoni, A., & Yaman, B. (2018). Market power and efficiency of Islamic banking and conventional banking in Indonesia. Global Review of Islamic Economics and Business, 6(2), 131–143. [Google Scholar] [CrossRef]
- Mason, E. (1939). Price and production policies of large-scales enterprises. American Economic Review, 29, 61–74. [Google Scholar]
- Molyneux, P., & Forbes, W. (1995). Market structure and performance in European banking. Applied Economics, 27(2), 155–159. [Google Scholar] [CrossRef]
- Naldi, M., & Flamini, M. (2014). The CR4 index and the interval estimation of the Herfindahl-Hirschman index: An empirical comparison. Electronic Journal. [Google Scholar] [CrossRef]
- Náglová, Z., & Šimpachová Pechrová, M. (2019). Subsidies and technical efficiency of Czech food processing industry. Agricultural Economics—Czech, 65, 151–159. [Google Scholar] [CrossRef]
- Nes, K., Colen, L., & Ciaian, P. (2021). Market power in food industry in selected EU member states. Publications Office of the European Union. [Google Scholar]
- Nes, K., Colen, L., & Ciaian, P. (2024). Market structure, power, and the unfair trading practices directive in the EU food sector: A review of indicators. Agricultural and Resource Economics Review, 53, 454–477. [Google Scholar] [CrossRef]
- Novotná, M., & Volek, T. (2023). Efficiency of use fixed assets in the context of profitability—Empirical evidence of food industry enterprises in visegrad group. AGRIS On-Line Papers in Economics and Informatics, 15(4), 67–77. [Google Scholar] [CrossRef]
- Oustapassidis, K., Vlachvei, A., & Notta, O. (2000). Efficiency and market power in Greek food industries. American Journal of Agricultural Economics, 82(3), 623–629. [Google Scholar] [CrossRef]
- Paul, C., Nehring, R., Banker, D., & Somwaru, A. (2004). Scale economies and efficiency in U.S. agriculture: Are traditional farms history? Journal of Productivity Analysis, 22, 185–205. [Google Scholar] [CrossRef]
- Rasmussen, S. (2010). Scale efficiency in Danish agriculture: An input distance-function approach. European Review of Agricultural Economics, 37(3), 335–367. [Google Scholar] [CrossRef]
- Ray, S. C. (1998). Measuring scale efficiency from a Translog production function. Journal of Productivity Analysis, 11, 183–194. [Google Scholar] [CrossRef]
- Ray, S. C. (2003). Measuring scale efficiency from the Translog multi-input, multi-output distance function. In Working papers 2003–25. University of Connecticut, Department of Economics. [Google Scholar]
- Roodman, D. (2009). How to do xtabond2: An introduction to difference and system GMM in Stata. Stata Journal, 9, 86–136. [Google Scholar] [CrossRef]
- Rudinskaya, T. (2017). Heterogeneity and efficiency of food processing companies in the Czech Republic. Agricultural Economics—Czech, 63, 411–420. [Google Scholar] [CrossRef]
- Sathye, M. (2005). Market structure and performance in Australian banking. Review of Accounting and Finance, 4(2), 107–124. [Google Scholar] [CrossRef]
- Seelanatha, L. (2010). Market structure, efficiency and performance of banking industry in Sri Lanka. Banks and Bank Systems, 5(1), 20–31. [Google Scholar]
- Setiawan, M., Emvalomantis, G., & Oude Lansink, A. (2012). The relationship between technical efficiency and industrial concentration: Evidence from the Indonesian food and beverages industry. Journal of Asian Economics, 23(4), 466–475. [Google Scholar] [CrossRef]
- Setiawan, M., Emvalomantis, G., & Oude Lansink, A. (2013). Structure, conduct, and performance: Evidence from the Indonesian food and beverages industry. Empirical Economics, 45, 1149–1165. [Google Scholar] [CrossRef]
- Shervani, T. A., Frazier, G., & Challagalla, G. (2006). The moderating influence of firm market power on the transaction cost economics model: An empirical test in a forward channel integration context. SSRN Electronic Journal, 28(6), 635–652. [Google Scholar] [CrossRef][Green Version]
- Sipiläinen, T. (2007). Sources of productivity growth on Finnish dairy farms—Application of input distance function. Acta Agriculturae Scandinavica—Section C, 4, 65–67. [Google Scholar] [CrossRef]
- Smutka, L., Kotyza, P., Pawlak, K., & Pulkrabek, J. (2020). Czech and Polish sugar market concentration-development and perspectives. Listy Cukrovarnicke a Reparske, 136(7–8), 278–285. [Google Scholar]
- Stock, J. H., & Yogo, M. (2005). Testing for weak instruments in linear IV regression. In D. W. K. Andrews, & J. H. Stock (Eds.), Identification and inference for econometric models: Essays in honor of thomas rothenberg. Cambridge University Press. [Google Scholar]
- Syverson, C. (2019). Macroeconomics and market power: Context, implications, and open questions. Journal of Economic Perspectives, 33(3), 23–43. [Google Scholar] [CrossRef]
- Špička, J. (2016). Market concentration and profitability of the grocery retailers in Central Europe. Central European Business Review, 5(3), 5–24. [Google Scholar] [CrossRef]
- Trnková, G., & Žáková Kroupová, Z. (2021). Drivers of economic performance: What can we observe in the Czech food industry? E&M Economics and Management, 24(3), 110–127. [Google Scholar]
- Tsionas, E. G., & Kumbhakar, S. C. (2014). Firm heterogeneity, persistent and transient technical inefficiency: A generalized true random-effects model. Journal of Applied Econometrics, 29(1), 110–132. [Google Scholar] [CrossRef]
- Tsionas, E. G., Kumbhakar, S. C., & Malikov, E. (2015). Estimation of input distance functions: A system approach. American Journal of Agricultural Economics, 97, 1478–1493. [Google Scholar] [CrossRef]
- Van Dam, I., Wood, B., Sacks, G., Allais, O., & Vandevijvere, S. (2021). A detailed mapping of the food industry in the European single market: Similarities and differences in market structure across countries and sectors. International Journal of Behavioral Nutrition and Physical Activity, 18, 54. [Google Scholar] [CrossRef]
- Wood, B., Williams, O., Baker, P., Nagarajan, V., & Sacks, G. (2021). The influence of corporate market power on Health: Exploring the structure-conduct-performance model from a Public Health Perspective. Globalization and Health, 17(1), 41. [Google Scholar] [CrossRef]
- Ye, Q., Xu, Z., & Fang, D. (2012). Market structure, performance, and efficiency of the Chinese banking sector. Economic Change and Restructuring, 45, 337–358. [Google Scholar] [CrossRef]
- Žáková Kroupová, Z., Trnková, G., & Roman, M. (2022). Is market power or efficiency behind economic performance? The case of the Czech food processing industry. Economies, 10(9), 215. [Google Scholar] [CrossRef]
Disclaimer/Publisher’s Note: The statements, opinions and data contained in all publications are solely those of the individual author(s) and contributor(s) and not of MDPI and/or the editor(s). MDPI and/or the editor(s) disclaim responsibility for any injury to people or property resulting from any ideas, methods, instructions or products referred to in the content. |
© 2025 by the authors. Licensee MDPI, Basel, Switzerland. This article is an open access article distributed under the terms and conditions of the Creative Commons Attribution (CC BY) license (https://creativecommons.org/licenses/by/4.0/).


