Next Article in Journal
Exploring the Roles of IPOs and Main Bank Relationships on Debt Maturity: The Case of Japan
Previous Article in Journal
Interplay of Alternative Energy Sub-Sectors, Oil Prices, and Oil Volatility: Exploring Simultaneous Relationships
 
 
Font Type:
Arial Georgia Verdana
Font Size:
Aa Aa Aa
Line Spacing:
Column Width:
Background:
Article

Financial Markets Effect on Cryptocurrency Volatility: Pre- and Post-Future Exchanges Collapse Period in USA and Japan

1
Department of Accounting, Faculty of Business Administration, University of Tabuk, P.O. Box 741, Tabuk 71491, Saudi Arabia
2
Department of Banking and Finance, Near East University, North Cyprus, Lefkoşa 99138, Mersin 10, Türkiye
*
Authors to whom correspondence should be addressed.
Int. J. Financial Stud. 2025, 13(1), 24; https://doi.org/10.3390/ijfs13010024
Submission received: 11 January 2025 / Revised: 2 February 2025 / Accepted: 4 February 2025 / Published: 11 February 2025

Abstract

This study is the first to scientifically investigate stock indices and currency exchanges that affect crypto price volatility pre and post the FTX (Future Exchanges) collapse event. Weekly series from 1 January 2020 to 31 December 2024 were utilized for the analysis. The ARDL model suggests positive symmetric short- and long-term effects of USA stock indices on Bitcoin and Ethereum prices (p < 0.10), while Japanese stock indices and currency exchanges have negative symmetric short- and long-term effects on Bitcoin and Ethereum price volatility (p < 0.10). The global index MSCI has no symmetric effect. The asymmetric approach NARDL suggests positive and negative asymmetric short- and long-term effects of USA and Japanese stock indices and currency exchanges on Bitcoin and Ethereum price volatility (p < 0.05). This research helps exchange brokers and crypto traders diversify their holdings, reduce stock index and currency exchange risk, and accurately predict Bitcoin and Ethereum price variations.
JEL Classification:
E42; E51; F31

1. Introduction

Cryptocurrency has been floating in the financial market for the past ten years, but its identity has yet to be apparent. Nakamoto (2008) postulated the concept of cryptocurrency. Understanding the crypto markets’ fundamental features is a matter of debate because they have striking similarities with other assets such as the dollar, gold, bonds, and stocks. Whether it is a commodity or currency (Bouri et al., 2019), it has been widely used as the medium of exchange globally, and payments are made conveniently. It has the features of multiple commodities and has been used as an investment asset. It is to be considered digital money for the current saving dynamics in the financial markets. Crypto markets have raised the importance of Bitcoin; scholars and researchers are highly attentive to the search. The crypto markets have become a buzzword worldwide (Mnif et al., 2020). Scholars are paying earnest attention to the crypto market to evaluate its performance by comparing it with the historical data of ancient assets and calculating the price fluctuations and return volatility of Bitcoin and Ethereum. The comparison is essential and pertinent since it provides valuable insights into understanding and obtaining in-depth knowledge about the emerging financial market. Bradbury (2013) described the concept of Bitcoin as a distinct currency with unique features entirely different from other financial assets. The comparison is conducted by analyzing the differences in return between the cryptocurrencies (Bitcoin and Ethereum) and other financial assets.
Moreover, the trading activities in the local currency highlight the role of Bitcoin for local traders. Huang et al. (2022) concluded that significant dynamics have been noticed in the relationship between the USA and Japan’s financial markets and Bitcoin. The trend is emerging rapidly. With these results, cryptocurrencies are not considered a safe and protected medium for the exchange of diversified portfolios. The research is carried out from an international perspective. Research predominantly employs linear models to analyze Bitcoin within financial markets; however, these models presuppose symmetric reactions to market events and Bitcoin. Price fluctuations between gains and losses exhibit distinct implications in financial markets and cryptocurrencies. The Nonlinear Auto Regressive Distributed Lag (NARDL) model is employed as the research methodology due to its advanced capabilities in assessing the temporal effects of stock index fluctuations and currency exchange rate changes on Bitcoin and Ethereum. The method provides comprehensive insights into the effect of financial market dynamics on cryptocurrency price volatility, thereby offering valuable guidance for market participants (Liang et al., 2019; Matkovskyy et al., 2020; Shahzad et al., 2020). The FTX collapse in November 2022, which affected one of the largest cryptocurrency exchanges globally, was triggered by the rapid insolvency of FTX. The values of Bitcoin and Ethereum declined significantly, resulting in substantial losses for investors due to a major disruption in the global cryptocurrency market, which also prompted increased regulatory measures in the sector (Esparcia et al., 2024). FTX declared bankruptcy as a result of inadequate risk controls, deficient management plans, and fraudulent activities, leading to the arrest of its founder, Sam Bankman-Fried. The general public has diminished confidence in the cryptocurrency market due to the losses incurred by both FTX users and investors (Conlon et al., 2024). The collapse of FTX triggered a chain reaction that affected the entire cryptocurrency sector, leading to significant challenges for numerous businesses and causing widespread market disruptions. The collapse of FTX would constitute a significant disruptive event, potentially affecting the interactions between cryptocurrency markets and more established markets such as stock indices and currency exchanges (Lee et al., 2024). The volatility fluctuations of Bitcoin and Ethereum can be assessed by analyzing data from prior to and following the collapse.
This research is highly beneficial for providing the details regarding the financial investments so that the investors may know enough about the portfolios and investment options about the pricing decrement and losing their hedging properties after the FTX collapse period. This study is beneficial and provides two different perspectives. Firstly, it focuses on the relatedness of the Bitcoin, Ethereum, stock indices, and currency exchanges in a specific time that helps investigate short-term market adjustments, medium-term seasonal finance cycles, and long-term government regulations after the FTX collapse. Secondly, to see how effectively it has been working, the comparison ratio has been utilized, which is essential for the investors in deciding the portfolio’s investments for crypto markets, stock indices, and currency exchanges.
The overall structure of the paper comprises the following parts. Section 2 is the literature review that provides all the existing research details of crypto price volatility, currency exchanges, and stock indices. Section 3 represents the model of the estimation and the data collection. Section 4 describes the empirical results presenting the long-term and short-term effects of stock indices and currency exchanges on crypto price volatility. In the final section, Section 5 offers the conclusion, policy implications, and recommendations.

2. Literature Review

2.1. Theoretical Framework

Schilling and Uhlig (2019) considered that cryptocurrency could be used for making transactions deprived of existence pretentious by the rules that the dominant banks have created. It has been pronounced that cryptocurrency has some different features that are helpful for the diversification of the risks. The crypto returns depend on the other asset classes, creating another level of diversification benefits (Shahzad et al., 2020). Nguyen (2022) has verified the correlation between stock performance and cryptocurrency. Furthermore, the financial markets are influenced by Bitcoin with the effect of the three most important channels: monetary aggregates, inflation, and the exchange rate.
Bitcoin usage has affected the mobilization of money, and the utilization of Bitcoin has decreased as an alternative to the local currency. Moreover, the quantitative theory of money has repeatedly been used more than expected. Its features have demonstrated it as a particular type of medium of exchange and use for the diversification in portfolios. The most crucial elements involved in forming cryptocurrency prices are different. Moreover, the cryptocurrency’s business cycle has unique variations other than the equity markets and the other assets, enabling them for portfolio diversification (Kang et al., 2019). The behavioral theories also presented the broader concept of cryptocurrency and stocks. The information regarding the investors clearly explained the price fluctuations accompanied by other asset changes (Narayan et al., 2019). According to the two theories, the shares and other assets have unique features. Hong and Stein (1999) have provided several changes to the market equity prices. Furthermore, the investors in the old markets needed to be more springy, positive, and eager to receive modification rapidly.

2.2. Effect of Stock Indices on Crypto Price Volatility

The main focus is the connectivity between crypto price volatility and the stock indices, as shown in past studies. Mizerka et al. (2020) have explored the connectivity of Bitcoin with the stock indices returns, including the users of the crypto price volatility. Most researchers have raised the point that Bitcoin users only influence the return on Bitcoin, not the other market. Other studies (Shaikh, 2020; Jareño et al., 2020) have mentioned that Bitcoin is affected by the economic policies of the economies and is highly reactive to those. Jareño et al. (2020) applied the NARDL and the quantile regression models to test the connection between crypto markets and commodities. Its hedging features are explored by Das et al. (2020) using quantile models. Quantile models are additionally adopted by Dardouri et al. (2023), who found that Ethereum, Dogecoin, and Bitcoin are just a few of the cryptocurrencies that have grown in prominence in the past few years, serving as valuable tools for divergence, and evading strategies have presented themselves during the recent COVID-19 pandemic. They examined the long-term and short-term link between COVID-19 and Bitcoin by estimating this relationship using the ARDL from January 2020 to March 2021. Based on their findings, COVID-19 and the selected cryptocurrency market pair are highly integrated.
Further, the evaluation of the findings indicates that Bitcoin and Ethereum are distinct currencies. Altan et al. (2019) have researched the forecasting of the instability and dynamism of Bitcoin and how the fluctuations have been noticed. Another study conducted by Chu et al. (2021) explained the dissimilarities between gold and Bitcoin along with the application of the return series of equity indices and highlighted the 6 equity exchange-traded funds. Dirican and Canoz (2017) and Kristjanpoller et al. (2020) mentioned a cross-relationship between Bitcoin and ETFs. The ARDL model presents a significant specification between the stock indices and Bitcoin.
Kumar et al. (2022) have researched the connotation of Bitcoin with the rest of crypto and specified the rate of gain on these assets and Bitcoin. Cryptocurrency is considered the most effective tool for responding efficiently in panic situations (Williamson, 2022). In past studies, a hedging investment is an essential thing not considered by Huynh et al. (2020). The COVID-19 pandemic has positively affected the returns of cryptocurrencies, so most studies suggested that it has been very influential during natural calamities (Nair, 2021). Nazifi et al. (2021) have compared gold and Bitcoin, and the results have concluded that it has the ability to manage and mitigate risk efficiently and effectively.
Most of them are highly focused on returns. Jeribi and Fakhfekh (2021), using tools like GARCH and the complete BEKK model, explore Bitcoin, the S&P500 index, and gold characteristics. Moreover, the findings mentioned that Bitcoin has no significant effect on gold. Similarly, Baur et al. (2018) noted that Bitcoin could mitigate uncertainty by applying the DCC-GARCH model. Bouri et al. (2017) stated that it is most beneficial for the globally recognized large market. Zeng and Ahmed (2022) mentioned that it can diversify the risks of the Asian stock market by taking the day-to-day data of Bitcoin, the bill rate, the United States equity market returns, precious metals, energy, bonds, and currencies. Baur et al. (2018) suggested that Bitcoin is equally beneficial for both the regular and negative conditions. Kumar et al. (2022) studied the causality effects of gold prices, stock prices, and crypto prices using NARDL and ARDL approaches, and findings suggest that long-term crypto prices do not affect stock prices. Kliber et al. (2019) mentioned that Bitcoin has strong bonds with other assets and relies on market conditions, and the bullish conditions enable them to have positive returns, whereas it reverses when market conditions become bearish. Mensi et al. (2020) observed that crypto is essential coins for expanding the risk of Japanese financial markets. Kraaijeveld and De Smedt (2020) provided a crucial understanding of the financial markets during the pandemic. This study differs from the existing literature in three ways; at the initial point, the eight equity markets and the two cryptocurrencies are discussed: Bitcoin and Ethereum. Maitra et al. (2022) evaluate the ratio of mitigating the risks and the responsibilities of the currency. The data from five intervals have assessed the properties of Bitcoin and the fluctuations of the assets (Demiralay & Bayracı, 2021).

2.3. Effect of Currency Exchanges on Crypto Price Volatility

Naeem et al. (2020) and Yousaf and Yarovaya (2022) analyzed average and extreme dependence between returns and trading volumes of crypto coins using GARCH-copula models and concluded that there is a stronger bond when the books are higher than lower. The classification of Bitcoin is a complex and critical task that still needs to be performed. Research has been widely carried out on Bitcoin functionality because of its usage. However, whether it has the traits of a currency, commodity, or investment asset still needs to be determined. Bitcoin has the same characteristics as the currency; it has been widely used worldwide for transactions (Whelan, 2013). Ciaian et al. (2016a) state that more than 100,000 retailers accept Bitcoin as their medium of exchange. O’Leary (2017) has investigated that when the demand is high for making transactions, the usage also increases, and from the analysis of some survey reports, it has been considered globally accepted to use when making online transactions. Kwon (2020) and Bouoiyour et al. (2015) suggested that Bitcoin usage has increased the monetary velocity for a longer time, including the price of gold and the Shanghai market index. An interesting paper by Toyoda et al. (2019) monitored the transactions’ returns by the Bitcoin addresses. The unique addresses that provide the destination of the Bitcoin payment. The bivariate VAR models in this paper show strong bonds between Bitcoin’s returns and its transaction activities (Koutmos, 2018). Chen et al. (2024) proposed a co-bubble network capable of documenting both the static and dynamic transmission of co-bubbles across 37 distinct cryptocurrency prices. They distinguished between clean and filthy cryptocurrency, bearing in mind the properties of the COVID-19 and the Russia–Ukrainian war. Co-bubble transmission patterns vary between clean and dirty groups; the Russia–Ukraine war resulted in notably more intense co-bubbles in dirty cryptocurrencies.
According to Ciaian et al. (2016b), as per the error correction model, the euro–dollar exchange rate influenced Bitcoin value. The same ECM model for the euro/USD exchange was presented by Parrot et al. (2019). Some studies suggest that Bitcoin possesses inherent properties distinct from traditional assets; however, Giudici and Abu-Hashish (2019) utilized the network VAR method to show a minimal correlation between Bitcoin’s price and other assets. Ji et al. (2018) employed the directed acyclic graph method and concluded that there is no significant correlation or relationship between Bitcoin and other assets, indicating a lack of association among them. Dyhrberg (2016), using the regular day-to-day data of the Bitcoin, USD-EURO, USD-GBP, and FTSE returns, observed that Bitcoin demonstrated hedging capabilities against the FTSE index and the United States stocks. Based on the above literature review, the following conceptual model has been developed (see Figure 1).

3. Methodology

This research examines the relationship between stock indices, currency exchanges and crypto price volatility such as Bitcoin, Ethereum, NASDAQ, RUSSELL2000, and S&P500 for USA stock markets; NIKKEI225 for the Japanese stock market; and the MSCI world index for the global stock market with EUR/USD and GBP/USD currencies. The data set is taken from CoinMarketCap, Yahoo Finance, and Investing.com; the explanation of the data set is shown in Table 1. This study uses weekly data covering 1 January 2020 to 31 December 2024. This time frame allowed us to examine the events surrounding the FTX collapse in November 2022 and determine the effect of FTX on the volatility of Bitcoin and Ethereum prices, all while accounting for shifts in the financial markets.
Our research models are exhibited in Equations (1) and (2):
l n B T C i t = β 0 + β 1 l n N A S i t + β 2 l n S P i t + β 3 l n R U S i t + β 4 l n N I K i t + β 5 l n M S C I i t + β 6 l n E U R i t + β 7 l n G B P i t + β 8 D F T X + ε i t
l n E T E i t = β 0 + β 1 l n N A S i t + β 2 l n S P i t + β 3 l n R U S i t + β 4 l n N I K i t + β 5 l n M S C I i t + β 6 l n E U R i t + β 7 l n G B P i t + β 8 D F T X + ε i t
where l n B T C t denotes Bitcoin and is measured as closing prices, l n N A S t presents NASDAQ indices, l n S P i t is the S&P500 index, l n R U S t is RUSSELL2000 indices, l n N I K t is NIKKEI225 indices, l n M S C I i t is the MSCI global index, l n E U R t is the euro against the US dollar, l n G B P t is the British pound sterling against the US dollar. D F T X shows the dummy variable for the pre- and post-FTX collapse period. Moreover, l n E T E t is Ethereum used as the dependent variable in the proposed model (2), β 0 is the intercept, β 1   to   β 8 are the coefficients, i shows the USA period, t shows the Japan period, and ε i t shows residuals.

3.1. Stationary Tests

This paper uses the Augmented Dickey–Fuller (ADF) test (Dickey & Fuller, 1981) and Philip Perron (PP) (Phillips & Perron, 1988) to check the stationary of the variables of interest. Additionally, we utilized the ARDL bound test and the newly developed ARDL bootstrap cointegration test (McNown et al., 2018). Lagged variables ( H 0 : δ 1 = δ 2 = δ 3 = δ 4 = δ 5 = δ 6 = 0 ) and the F-test ( H 0 : 1 = 2 = 3 = 4 = 5 = 6 = 0 ) will be used. Furthermore, we applied the ARDL model (Pesaran et al., 2001; Raza et al., 2024b) to check the short-term and long-term symmetric effects and the NARDL model (Shin et al., 2014) for short-term and long-term positive and negative asymmetric effects of financial markets on Bitcoin and Ethereum price volatility in the USA and Japan. The stability of the model was checked via CUSUMQ plots (Brown et al., 1975; Raza et al., 2023). The ARDL testing formulas are as follows:
l n B T C t = δ 0 + i = 1 r δ 1 l n B T C t j + i = 1 r δ 2 l n N A S t j + i = 1 r δ 3 l n S P t j + i = 1 r δ 4 l n R U S t j +   i = 1 r δ 5 l n N I K t j + i = 1 r δ 6 l n M S C I t j + i = 1 r δ 7 l n E U R t j + i = 1 r δ 8 l n G B P t j + 1 l n B T C t 1 + 2 l n N A S t 1 + 3 l n S P t 1 + 4 l n R U S t 1 + 5 l n N I K t 1 + 6 l n M S C I t 1 + 7 l n E U R t 1 + 8 l n G B P t 1 + τ t D F T X + ε i
l n E T E t = δ 0 + i = 1 r δ 1 l n E T E t j + i = 1 r δ 2 l n N A S t j + i = 1 r δ 3 l n S P t j + i = 1 r δ 4 l n R U S t j +   i = 1 r δ 5 l n N I K t j + i = 1 r δ 6 l n M S C I t j + i = 1 r δ 7 l n E U R t j + i = 1 r δ 8 l n G B P t j + 1 l n E T E t 1 + 2 l n N A S t 1 + 3 l n S P t 1 + 4 l n R U S t 1 + 5 l n N I K t 1 + 6 l n M S C I t 1 + 7 l n E U R t 1 + 8 l n G B P t 1 + τ t D F T X + ε i
In Equations (3) and (4), ε i shows residuals, ∆ shows differences, α shows constant, δ 1 8 shows short-term coefficients, and 1 8 shows long-term coefficients. τ t is the coefficient of dummy variable and D F T X shows the dummy variable for pre- and post-FTX collapse period.

3.2. Non-ARDL Model

Along with ARDL, the NARDL model applies to determine the asymmetric association between the study’s variables. The NARDL model enables researchers to better understand the distinct influences of the financial market on Bitcoin volatility rates. The speculative nature of cryptocurrencies such as Bitcoin and Ethereum, influenced by investor sentiment, regulatory developments, and economic factors, necessitates an understanding of the differences in price volatility between these two platforms (Raza et al., 2024a; Demir et al., 2021; Jareño et al., 2020). Based on Equations (1) and (2), the NARDL model has been derived into Equations (5) and (6).
l n B T C i t ± = t = 1 q ( γ t l n N A S t 1 + + γ t l n N A S t 1 ) + t = 1 q ( γ t l n S P t 1 + + γ t l n S P t 1 ) + t = 1 q ( γ t l n R U S t 1 + + γ t l n R U S t 1 ) + t = 1 q ( γ t N I K t 1 + + γ t l n N I K t 1 ) + t = 1 q ( γ t M S C I t 1 + + γ t l n M S C I t 1 ) + t = 1 q ( γ t E U R t 1 + + γ t l n E U R t 1 ) + t = 1 q ( γ t G B P t 1 + + γ t l n G B P t 1 ) + t = 1 q γ t l n N A S t 1 ± + t = 1 q γ t l n S P t 1 ± + t = 1 q γ t l n R U S t 1 ± + t = 1 q γ t l n N I K t 1 ± + t = 1 q γ t l n M S C I t 1 ± + t = 1 q γ t l n E U R t 1 ± + t = 1 q γ t l n G B P t 1 ± + τ t D F T X + ϵ t
l n E T E i t ± = t = 1 q ( γ t l n N A S t 1 + + γ t l n N A S t 1 ) + t = 1 q ( γ t l n S P t 1 + + γ t l n S P t 1 ) + t = 1 q ( γ t l n R U S t 1 + + γ t l n R U S t 1 ) + t = 1 q ( γ t N I K t 1 + + γ t l n N I K t 1 ) + t = 1 q ( γ t M S C I t 1 + + γ t l n M S C I t 1 ) + t = 1 q ( γ t E U R t 1 + + γ t l n E U R t 1 ) + t = 1 q ( γ t G B P t 1 + + γ t l n G B P t 1 ) + t = 1 q γ t l n N A S t 1 ± + t = 1 q γ t l n S P t 1 ± + t = 1 q γ t l n R U S t 1 ± + t = 1 q γ t l n N I K t 1 ± + t = 1 q γ t l n M S C I t 1 ± + t = 1 q γ t l n E U R t 1 ± + t = 1 q γ t l n G B P t 1 ± + τ t D F T X + ϵ t
where ∆ shows difference and ϵ t shows residuals.

4. Empirical Results and Discussion

This research aims to explore how stock indices and currency exchanges affect Bitcoin and Ethereum prices and determine whether or not the USA and Japan’s stock indices and currency exchanges have symmetrical or asymmetrical effects. Figure 2 shows that Ethereum exhibited similar, yet less pronounced, price fluctuations compared to Bitcoin’s significant volatility, which peaked before experiencing a decline. The stock market indices NASDAQ, S&P500, NIKKEI225, and the MSCI global index exhibit varying levels of volatility, characterized by modest fluctuations. Among these indices, the RUSSELL2000 exhibits the highest variance. The NIKKEI225, as a representation of Japan’s economic market activity, exhibits a persistent upward trend. The MSCI global index indicates minimal fluctuations, reflecting a stable global market environment. The EUR/USD and GBP/USD currency pairs exhibit consistent movement, indicating minimal fluctuations in forex market activity. If you require a detailed analysis of a specific variable, please inform us.
Table 2 shows that Bitcoin presents a significant opportunity for high returns, evidenced by its mean value of 36,609, a substantial standard deviation of 21,380, a right-skewed distribution (0.69), and notable kurtosis (3.09). Ethereum’s data exhibit characteristics akin to a normal distribution, with a mean of 1992, skewness of 0.07, and kurtosis of 2.18, indicating that the cryptocurrency’s volatility is relatively low. The NASDAQ and S&P500 stock indices exhibit reduced volatility, resulting in minimal positive skewness and moderate kurtosis values, indicating infrequent yet significant positive returns. The RUSSELL index returns predominantly consist of small values, interspersed with a few significant negative values, resulting in a distribution characterized by a negative skewness of −0.58. Moderate volatility and right skewness, along with minor kurtosis levels, are observed in the NIKKEI and MSCI indexes. Kurtosis values for the EUR/USD and GBP/USD exchange rates exceed 2, attributed to low volatility patterns and symmetric distribution characteristics. Traditional market indices and currencies demonstrate stable and regular volatility levels; however, our statistical analysis indicates that Bitcoin and Ethereum exhibit significantly abnormal movement patterns.
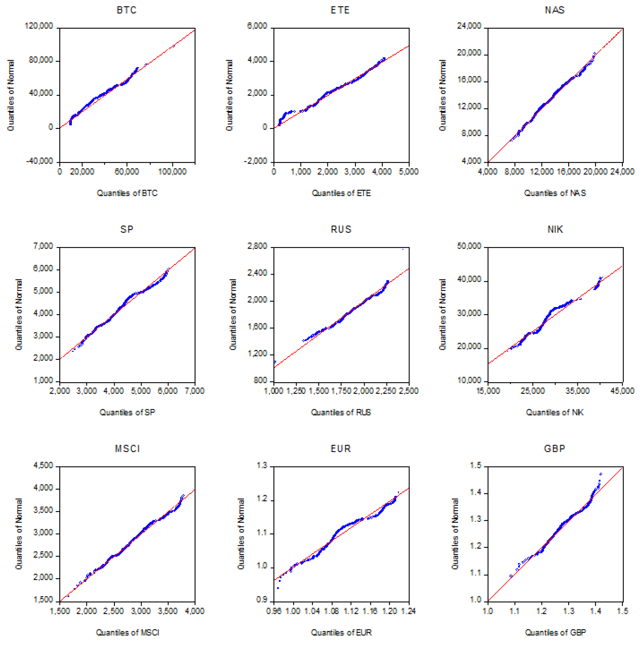
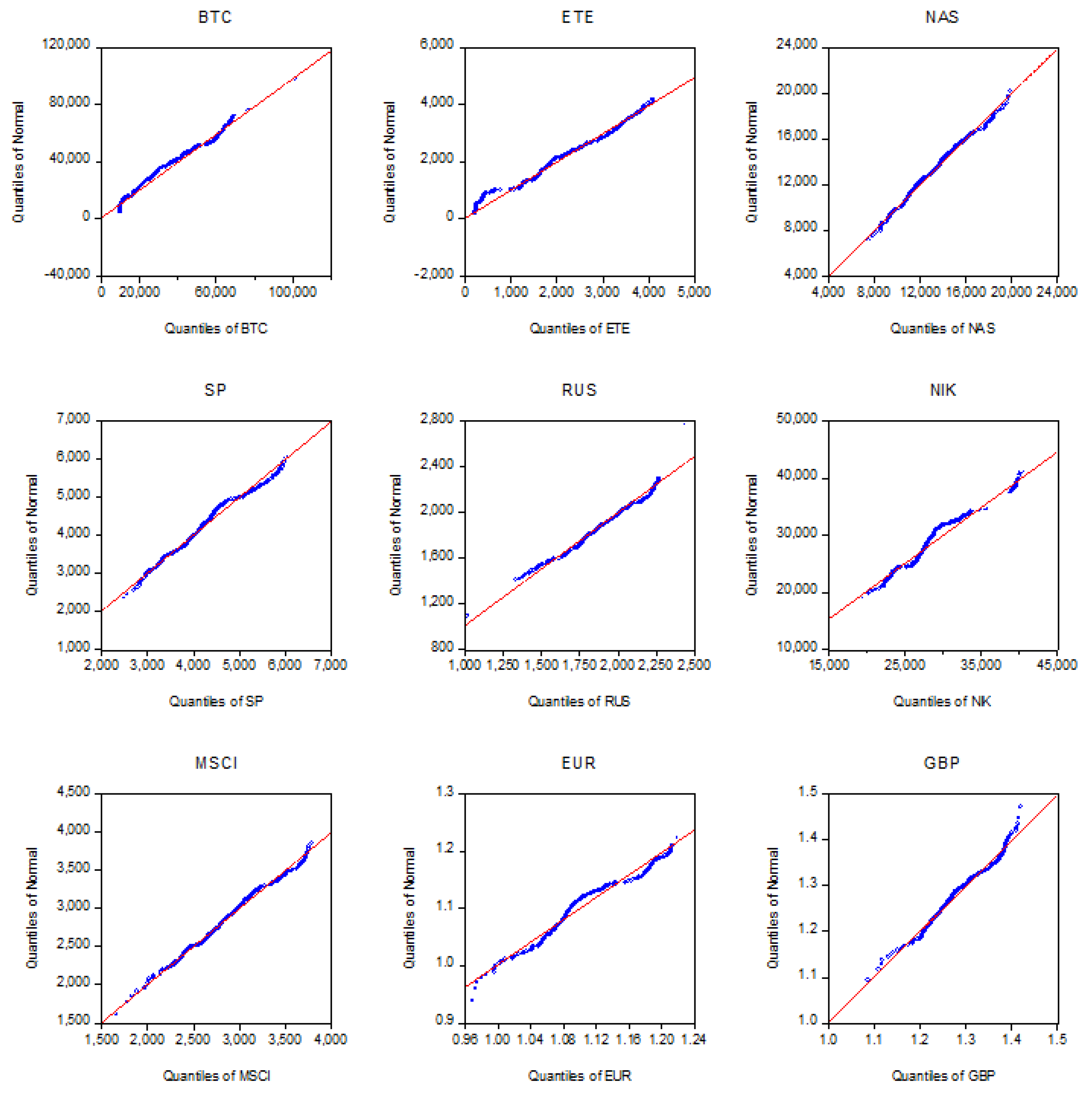
To handle the noisy data, we use quantile–quantile plots to check for outliers in the data. In Figure 3, the presence of a straight red line connecting all blue dots in a Q-Q plot indicates that the data are normally distributed. Since the provided data points adhere to the predicted distribution pattern, no significant outliers can be identified. Figure 4 indicates that stock indices trends cause the NASDAQ, S&P500, RUSSELL2000, NIKKEI225, and MSCI global index to move in unison. The strong correlation between the market values of Bitcoin and Ethereum suggests that these two cryptocurrencies exhibit parallel movements. Cryptocurrencies, as unique financial instruments, exhibit only limited correlations with conventional stock indices. The robust correlation between the EUR/USD and GBP/USD currency pairs arises from economic policy and prevailing market conditions. The correlation of the NIKKEI225 with global markets is less pronounced than that of USA-based financial indices, attributed to regional economic factors; however, a correlation still exists.
The PP and ADF unit root tests were applied to Bitcoin, Ethereum, stock indices, and currency exchanges, as presented in Table 3. All variables exhibited p-values exceeding the 5% significance level, suggesting that the unit root null hypothesis could not be rejected, thereby demonstrating that the levels are non-stationary. All tested variables achieve stationarity at the I(1) level, as demonstrated by various tests employing first differencing, resulting in p-values of 0.000. The variables are pertinent for econometric analysis, including cointegration and the NARDL analysis, as the time series data displays level anomalies due to unit roots but achieves stability when converted into different forms (Yousaf & Yarovaya, 2022). In Table 4, Zivot–Andrews tests indicate that all variables exhibit structural breaks, although the timing of these breaks differs among the analyzed variables. Prior to the collapse of FTX, Bitcoin, Ethereum, NASDAQ, and the S&P500 exhibited predominantly negative test statistics among financial markets. The variables occasionally exceeded stationarity criteria, indicating potential breaks, yet no clear stationarity was observed. With fewer negative values produced by test statistics following the FTX collapse period, there was stronger evidence for stationarity, and shock persistence effects were stronger. Financial stock market indices exhibit more significant time breaks compared to currencies such as EUR/USD and GBP/USD (Naeem et al., 2020). However, statistical evaluations of the RUSSELL2000 indicate consistent periodic stability across different time periods. The collapse of FTX’s market operations enhanced the stability of financial variables and reduced the visibility of stationarity in the subsequent structures (Mensi et al., 2020).
The results of the BARDL cointegration test are shown in Table 5, which suggests the following research models. The H0 of “no cointegration” is rejected by the F-statistic based on the exponential upper and lower bounds, the F-statistic for IDV, and T-statistics for the DV. All the values are less than their critical values in both proposed research models. Additionally, our findings support the presence of cointegration equilibria among NASDAQ, S&P500, RUSSELL2000, NIKKEI225, MSCI, euro, GBP, Bitcoin, and Ethereum at a 1% statistical significance (Raza et al., 2024a). Table 6 displays the results of the diagnostic tests along with the p-values that are below 0.05 in both models. It indicates that neither model exhibits issues of heteroscedasticity nor serial correlation. Jarqaue Bera indicates that both models exhibit normality because the p-values are above 0.05 in both models (Raza et al., 2023) and the Ramsey Reset test confirms that both models are correctly specified.
Table 7 provides findings from the ARDL model by showing the short-term and long-term effects of Bitcoin and Ethereum. The analysis of cryptocurrency-based models in short-term patterns reveals that the stock indices and currency exchanges examined exhibit both positive and negative effects. This analysis reveals that variations in the NASDAQ index exhibit a positive and statistically significant effect on Bitcoin (0.679) and Ethereum (0.2543), with Bitcoin exerting a stronger impact in the short run. Simultaneously, an increase in S&P500 enhances Ethereum values (0.962) and exerts a significant positive effect on Bitcoin (0.123) in the short run. RUSSELL2000 indicates a positive and significant effect on Ethereum (0.681) and a lower effect on Bitcoin price volatility (0.183) in the short run. The decline of the NIK, EUR, and GBP indices is negatively correlated with increases in cryptocurrency values in the short run. Bitcoin (0.310) and Ethereum (0.078) exhibit positive correlations with the NASDAQ index in the long run. The research indicates that the S&P500 index exerts a significant positive influence on Bitcoin and Ethereum in the long run, with Ethereum demonstrating a greater sensitivity (0.774) compared to Bitcoin (0.694). The RUSSELL2000 significantly influences Bitcoin (0.217) and Ethereum (0.161) over the long run. The sustained values indicate that declining currency exchanges and the Japanese stock market, including NIK, EUR, and GBP, positively influence the adoption of cryptocurrencies. MSCI does not contain short-term and long-term symmetric effects on Bitcoin and Ethereum. The model includes FTX as a dummy variable, demonstrating a positive significant effect size of 0.179 ** for Bitcoin and 0.133 ** for Ethereum. The results indicate that FTX operations significantly influenced the dynamics of the cryptocurrency market. The R-squared scores obtained are 0.98 for Bitcoin analysis and 0.96 for Ethereum analysis, demonstrating the significant predictive capability of the model.
Our results also confirmed that of Nguyen (2022) and Matkovskyy et al. (2020). Crypto is a riskier investment than stock markets in the USA and Japan and currency markets in the long run for investors Dirican and Canoz (2017); Palazzi et al. (2021); Gillaizeau et al. (2019).
Table 8 presents the results of the model, illustrating the FTX collapse, cryptocurrency markets (specifically Bitcoin and Ethereum), stock indices, currency exchanges, and the asymmetrical linkages identified by the (NARDL) model in USA–Japan. In response to favorable NASDAQ developments, the prices of Bitcoin and Ethereum experience a notable increase of 25%. Conversely, negative shocks in NASDAQ exert a more significant influence, with an impact of 32% on Bitcoin and 19% on Ethereum. This indicates that the cryptocurrency market experiences greater volatility during declines in tech indexes compared to increases in prices. The S&P500 index adversely affects cryptocurrency prices, as increasing stock prices diminish volatility in the cryptocurrency market, whereas declining stock prices, especially for Bitcoin −14%, create additional stability concerns. This analysis reveals divergent effects of the RUSSELL2000 on Bitcoin and Ethereum, with a negative impact on Bitcoin −59% and a positive effect on Ethereum 18%. This direct link between Bitcoin, Ethereum, and stock markets and euros supports the past study by Singh (2021). The impact of RUSSELL negative shocks is comparatively less pronounced. Our discovery backs up Demir et al. (2021) research, which showed NARDL superiority by establishing an asymmetrical two-way causality between Bitcoin and altcoin.
Bitcoin and Ethereum experience advantages from the NIKKEI 225 stock index; however, both cryptocurrencies exhibit increased price volatility as a result of its adverse effects 19%.
In the short run, the MSCI index exerts negative asymmetric effects of −19% on Bitcoin and −59% on Ethereum. The performance of the global share market attracts investors to allocate their wealth to traditional assets instead of cryptocurrencies. During periods of economic difficulty, the protective advantages of cryptocurrencies are diminished by the adverse responses of Bitcoin −41% and Ethereum −8% values to global stock market downturns. The data provide substantial evidence contradicting the hypothesis that cryptocurrency serves as a hedge against declining equity markets. Bitcoin −26% and Ethereum −49% demonstrate negative long-term impacts on the MSCI index, indicating that rises in global stock markets lead to decreased investment in cryptocurrencies. Both −34% and Ethereum −4% experience significant declines in market value during periods of prolonged negative performance in global stock indices. This demonstrates that cryptocurrency markets resemble stock markets in that they adhere to trends rather than serve as a refuge for asset preservation. Evidence suggests that cryptocurrencies are not functioning as an independent asset class but are increasingly integrated with global equity markets.
The depreciation of the euro and the British pound adversely affects cryptocurrency prices, particularly Bitcoin, with observed effects of ΔlnEUR+: −29% ** and ΔlnGBP+: −92% **, respectively. The results are similar to those of Ghorbel et al. (2022). The volatility of cryptocurrency is mitigated by stable fiat currencies, evidenced by the persistent decline in the values of Bitcoin and Ethereum, primarily driven by adverse shock factors such as lnEUR 5% and 4% and lnGBP 4% and 3%. The spot rate then moves up or down by the crypto prices. These findings are consistent with Jiang et al. (2021) and Ahmed (2021). However, currency markets’ long-term adverse asymmetric effects on Bitcoin and Ethereum are supported by Bouri et al. (2018) and Kumar et al. (2022).
The significant and enduring effects of the FTX collapse (FTX+ and FTX) on cryptocurrency markets serve as evidence that disruptions in exchanges influence long-term market price variations. Investors adjusted to the new post-crisis market arrangements, resulting in a temporary increase in Bitcoin and Ethereum prices, with Bitcoin rising to 28% and Ethereum to 38% following the collapse of FTX. Bitcoin experienced significant long-term price fluctuations, more so than Ethereum, due to the FTX collapse. The negative FTX shock for Bitcoin was 86%, while for Ethereum, it was 8%. Bitcoin demonstrated lower resilience during systemic exchange failures, exhibiting greater susceptibility compared to Ethereum.
The model’s high R-squared values of 84% for Bitcoin and 87% for Ethereum show that it can accurately capture patterns of price volatility. The study indicates that significant price fluctuations in cryptocurrencies are triggered by stock indices downturns, currency depreciation, and exchange issues.
Figure 5 illustrates the effects of the FTX collapse on Bitcoin, Ethereum, stock indices, and currency exchange, as represented by impulse response functions (IRFs). The impact plots present distinct subplots illustrating the response of selected variables to one-standard-deviation shocks induced by FTX. The provided graphs illustrate both independent and interdependent behaviors. In response to the FTX collapse, Bitcoin and Ethereum initially declined significantly, followed by a partial recovery, while demonstrating erratic behavior in the early stages. The exposure is less direct yet still perceptible, resulting in stock indexes responding to the shock with minor, consistent fluctuations. The exchange rates of GBP/USD and EUR/USD exhibited volatility as global investors employed diverse strategies in response to heightened market caution. The varied responses of different assets indicate differing levels of risk sensitivity and reaction times, attributable to the intricate dynamics of financial contagion stemming from the FTX collapse. These results were also obtained by (Parrot et al., 2019; Zeng & Ahmed, 2022; Yousaf & Yarovaya, 2022).
Figure 6 and Figure 7 present the CUSUMQ curves with Bitcoin and Ethereum models generated from the ARDL and NARDL approaches. Zero lines exceed a critical boundary across the period, and all cords are within the crucial edge. These figures demonstrate the consistency of the ARDL predicted results shown above.

5. Conclusions

The link between currency exchanges, stock indices, and cryptocurrency price volatility is now being studied by academics and practitioners. We found symmetrical (ARDL) and asymmetrical (NARDL) connections among currency exchanges, stock indices, and crypto price volatility in the long run and short run for the time covering from 1st January 2020 to 31st December 2024 (pre- and post-FTX collapse). We found positive symmetric effects of USA stock indices on crypto price volatility. Simultaneously, Japanese stock indices and currency exchanges have negative symmetric effects on crypto price volatility in USA–Japan. We also found an asymmetrical effect of the USA–Japan stock markets and currency exchanges on Bitcoin and Ethereum price volatility. These may benefit investors who choose to adopt diversification methods for such purposes. There are significant policy ramifications of these findings. Our results offer a better grasp of ARDL and NARDL between currencies exchanges, stock indices, and crypto price volatility, as the increase throughout consistency could help investors, investment advisors, and foreign currency exchange brokers create the best financial derivatives. It could also alert regulatory agencies and policy experts to the economy’s extreme volatility, which has potential ramifications for the money supply. Given the unique interaction among currency exchanges, stock indices, and crypto price volatility in the short run and long run, it is challenging for crypto traders to determine the best investment decision. Exchange brokers and crypto traders can use the findings of this research to stop making excessive investment decisions because it has been demonstrated that crypto prices have more volatility in the long run and short run than stock indices and currency exchanges. To protect the integrity of the global financial system, policymakers should observe trends in the relationship between stocks and cryptocurrencies and enhance regulatory oversight of exchange platforms like FTX.

Policy Recommendations

Recent findings concerning the symmetric ARDL and asymmetric NARDL relationships among cryptocurrency price volatility, stock indices, and currency exchanges have prompted policymakers to act towards financial stability and risk management. Financial authorities must enhance their monitoring capabilities to mitigate spillover risks, given the favorable volatility effects on cryptocurrency markets resulting from fluctuations in USA stock indices. Furthermore, it is essential to promote the diversification of institutional investors’ holdings through the use of crypto-hedging instruments. Constructing stress testing frameworks that integrate volatility in the cryptocurrency market is essential for assessing financial stability. Considering the adverse symmetric impacts of Japanese stock indices and currency exchanges on cryptocurrency volatility, it is advisable for the USA and Japan to align their macroeconomic policies to ensure exchange rate stability and regulate capital flow movements. The Federal Reserve and the Bank of Japan should collaborate to monitor interest rate differentials to stabilize the cryptocurrency and currency markets. To establish a robust and stable global financial system, it is essential to modify monetary policies and regulatory frameworks to reflect the varying responses of the cryptocurrency market in Japan and the United States. The government must monitor the correlation between cryptocurrencies and stocks to establish a standard framework for regulating the cryptocurrency market and implement safeguards for investors. Research findings indicate that cryptocurrency prices influence global financial markets as they operate within these systems. Moreover, the results of this research can be used by exchange brokers and crypto traders to effectively diversify their holdings, mitigate for stock indices and currency exchanges, and forecast the future movements of Bitcoin and Ethereum.

Author Contributions

Conceptualization, F.A. and A.R.; methodology, A.R.; software, A.R.; validation, F.A.; formal analysis, F.A.; investigation, F.A.; resources, F.A.; data curation, A.R.; writing—original draft preparation, F.A.; writing—review and editing, A.R.; visualization, A.R.; supervision, F.A.; project administration, A.R.; funding acquisition, F.A. All authors have read and agreed to the published version of the manuscript.

Funding

This research received no external funding.

Informed Consent Statement

Not applicable.

Data Availability Statement

The data presented in this study are available on request from the corresponding authors.

Conflicts of Interest

The authors declare that they have no competing interests.

References

  1. Ahmed, W. M. (2021). How do Islamic equity markets respond to cryptocurrencies’ good and bad volatility? The case of Bitcoin. Pacific-Basin Finance Journal, 70, 101667. [Google Scholar] [CrossRef]
  2. Altan, A., Karasu, S., & Bekiros, S. (2019). Digital currency forecasting with chaotic meta-heuristic bio-inspired signal processing techniques. Chaos, Solitons & Fractals, 126, 325–336. [Google Scholar]
  3. Baur, D. G., Hong, K., & Lee, A. D. (2018). Bitcoin: Medium of exchange or speculative assets? Journal of International Financial Markets, Institutions, and Money, 54, 177–189. [Google Scholar] [CrossRef]
  4. Bouoiyour, J., Selmi, R., & Tiwari, A. K. (2015). Is Bitcoin business income or speculative foolery? New ideas through an improved frequency domain analysis. Annals of Financial Economics, 10(1), 1550002. [Google Scholar] [CrossRef]
  5. Bouri, E., Gupta, R., Lahiani, A., & Shahbaz, M. (2018). Testing for asymmetric non-linear short-and long-run relationships between Bitcoin, aggregate commodity and gold prices. Resources Policy, 57, 224–235. [Google Scholar] [CrossRef]
  6. Bouri, E., Gupta, R., Tiwari, A. K., & Roubaud, D. (2017). Does Bitcoin hedge global uncertainty? Evidence from wavelet-based quantile-in-quantile regressions. Finance Research Letters, 23, 87–95. [Google Scholar] [CrossRef]
  7. Bouri, E., Lau, C. K. M., Lucey, B., & Roubaud, D. (2019). Trading volume and the predictability of return and volatility in the cryptocurrency market. Finance Research Letters, 29, 340–346. [Google Scholar] [CrossRef]
  8. Bradbury, D. (2013). The problem with Bitcoin. Computer Fraud & Security, 2013(11), 5–8. [Google Scholar]
  9. Brown, R. L., Durbin, J., & Evans, J. M. (1975). Techniques for testing the constancy of regression relationships over time. Journal of the Royal Statistical Society Series B: Statistical Methodology, 37(2), 149–163. [Google Scholar] [CrossRef]
  10. Chen, Y., Zhang, L., & Bouri, E. (2024). Co-Bubble transmission across clean and dirty Cryptocurrencies: Network and portfolio analysis. Journal of International Money and Finance, 145, 103108. [Google Scholar] [CrossRef]
  11. Chu, J., Chan, S., & Zhang, Y. (2021). Bitcoin versus high-performance technology stocks in diversifying against global stock market indices. Physica A: Statistical Mechanics and Its Applications, 580, 126161. [Google Scholar] [CrossRef]
  12. Ciaian, P., Rajcaniova, M., & Kancs, D. A. (2016a). The digital agenda of virtual currencies: Can Bitcoin become a global currency? Information Systems and e-Business Management, 14(4), 883–919. [Google Scholar] [CrossRef]
  13. Ciaian, P., Rajcaniova, M., & Kancs, D. A. (2016b). The economics of Bitcoin price formation. Applied Economics, 48(19), 1799–1815. [Google Scholar] [CrossRef]
  14. Conlon, T., Corbet, S., & Hou, Y. G. (2024). Contagion effects of permissionless, worthless cryptocurrency tokens: Evidence from the collapse of FTX. Journal of International Financial Markets, Institutions and Money, 91, 101940. [Google Scholar] [CrossRef]
  15. Dardouri, N., Aguir, A., & Smida, M. (2023). The effect of COVID-19 transmission on Cryptocurrencies. Risks, 11(8), 139. [Google Scholar] [CrossRef]
  16. Das, D., Le Roux, C. L., Jana, R. K., & Dutta, A. (2020). Does Bitcoin hedge crude oil imply volatility and structural shocks? A comparison with gold, commodity, and the US dollar. Finance Research Letters, 36, 101335. [Google Scholar] [CrossRef]
  17. Demir, E., Simonyan, S., García-Gómez, C. D., & Lau, C. K. M. (2021). The asymmetric effect of Bitcoin on altcoins: Evidence from the non-linear autoregressive distributed lag (NARDL) model. Finance Research Letters, 40, 101754. [Google Scholar] [CrossRef]
  18. Demiralay, S., & Bayracı, S. (2021). Should stock investors include cryptocurrencies in their portfolios after all? Evidence from a conditional diversification benefits measure. International Journal of Finance & Economics, 26(4), 6188–6204. [Google Scholar]
  19. Dickey, D. A., & Fuller, W. A. (1981). Likelihood ratio statistics for autoregressive time series with a unit root. Econometrica: Journal of the Econometric Society, 49, 1057–1072. [Google Scholar] [CrossRef]
  20. Dirican, C., & Canoz, I. (2017). The cointegration relationship between Bitcoin prices and major world stock indices: An analysis with ARDL model approach. Journal of Economics Finance and Accounting, 4(4), 377–392. [Google Scholar] [CrossRef]
  21. Dyhrberg, A. H. (2016). Hedging capabilities of Bitcoin. Is it the virtual gold? Finance Research Letters, 16, 139–144. [Google Scholar] [CrossRef]
  22. Esparcia, C., Escribano, A., & Jareño, F. (2024). Assessing the crypto market stability after the FTX collapse: A study of high frequency volatility and connectedness. International Review of Financial Analysis, 94, 103287. [Google Scholar] [CrossRef]
  23. Ghorbel, A., Frikha, W., & Manzli, Y. S. (2022). Testing for asymmetric non-linear short-and long-run relationships between crypto-currencies and stock markets. Eurasian Economic Review, 12, 387–425. [Google Scholar] [CrossRef]
  24. Gillaizeau, M., Jayasekera, R., Maaitah, A., Mishra, T., Parhi, M., & Volokitina, E. (2019). Giver and the receiver: Understanding spillover effects and predictive power in cross-market Bitcoin prices. International Review of Financial Analysis, 63, 86–104. [Google Scholar] [CrossRef]
  25. Giudici, P., & Abu-Hashish, I. (2019). What determines Bitcoin exchange prices? A network VAR approach. Finance Research Letters, 28, 309–318. [Google Scholar] [CrossRef]
  26. Hong, H., & Stein, J. C. (1999). A unified theory of underreaction, momentum trading, and overreaction in asset markets. The Journal of Finance, 54(6), 2143–2184. [Google Scholar] [CrossRef]
  27. Huang, Y., Duan, K., & Urquhart, A. (2022). Time-varying dependence between Bitcoin and green financial assets: A comparison between pre-and post-COVID-19 periods. Journal of International Financial Markets, Institutions and Money, 82, 101687. [Google Scholar] [CrossRef]
  28. Huynh, T. L. D., Nasir, M. A., Vo, X. V., & Nguyen, T. T. (2020). “Small things matter most”: The spillover effects in the cryptocurrency market and gold as a silver bullet. The North American Journal of Economics and Finance, 54, 101277. [Google Scholar] [CrossRef]
  29. Jareño, F., de la O González, M., Tolentino, M., & Sierra, K. (2020). Bitcoin and gold price returns: A quantile regression and NARDL analysis. Resources Policy, 67, 101666. [Google Scholar] [CrossRef]
  30. Jeribi, A., & Fakhfekh, M. (2021). Portfolio management and dependence structure between cryptocurrencies and traditional assets: Evidence from FIEGARCH-EVT-Copula. Journal of Asset Management, 22(3), 224–239. [Google Scholar] [CrossRef]
  31. Ji, Q., Bouri, E., Gupta, R., & Roubaud, D. (2018). Network causality structures among Bitcoin and other financial assets: A directed acyclic graph approach. The Quarterly Review of Economics and Finance, 70, 203–213. [Google Scholar] [CrossRef]
  32. Jiang, Y., Wu, L., Tian, G., & Nie, H. (2021). Do cryptocurrencies hedge against EPU and the equity market volatility during COVID-19?–New evidence from quantile coherency analysis. Journal of International Financial Markets, Institutions, and Money, 72, 101324. [Google Scholar] [CrossRef]
  33. Kang, J., Xiong, Z., Niyato, D., Ye, D., Kim, D. I., & Zhao, J. (2019). Toward secure blockchain-enabled internet of vehicles: Optimizing consensus management using reputation and contract theory. IEEE Transactions on Vehicular Technology, 68(3), 2906–2920. [Google Scholar] [CrossRef]
  34. Kliber, A., Marszałek, P., Musiałkowska, I., & Świerczyńska, K. (2019). Bitcoin: Safe haven, hedge or diversifier? Perception of Bitcoin in the context of a country’s economic situation—A stochastic volatility approach. Physica A: Statistical Mechanics and Its Applications, 524, 246–257. [Google Scholar] [CrossRef]
  35. Koutmos, D. (2018). Bitcoin returns and transaction activity. Economics Letters, 167, 81–85. [Google Scholar] [CrossRef]
  36. Kraaijeveld, O., & De Smedt, J. (2020). The predictive power of public Twitter sentiment for forecasting cryptocurrency prices. Journal of International Financial Markets, Institutions, and Money, 65, 101188. [Google Scholar] [CrossRef]
  37. Kristjanpoller, W., Bouri, E., & Takaishi, T. (2020). Cryptocurrencies and equity funds: Evidence from an asymmetric multifractal analysis. Physica A: Statistical Mechanics and Its Applications, 545, 123711. [Google Scholar] [CrossRef]
  38. Kumar, S., Kumar, A., & Singh, G. (2022). Gold, crude oil, Bitcoin, and Indian stock market: Recent confirmation from non-linear ARDL analysis. Journal of Economic Studies, 50, 734–751, (ahead-of-print). [Google Scholar] [CrossRef]
  39. Kwon, J. H. (2020). Tail behavior of Bitcoin, the dollar, gold, and the stock market index. Journal of International Financial Markets, Institutions, and Money, 67, 101202. [Google Scholar] [CrossRef]
  40. Lee, C., Lee, S., Kim, J., & Lim, J. S. (2024). Analyzing social media reactions to the FTX crisis: Unraveling the spillover effect on crypto markets. Journal of Contingencies and Crisis Management, 32(2), e12577. [Google Scholar] [CrossRef]
  41. Liang, J., Li, L., Chen, W., & Zeng, D. (2019, July 1–3). Towards an understanding of cryptocurrency: A comparative analysis of cryptocurrency, foreign exchange, and stock. 2019 IEEE International Conference on Intelligence and Security Informatics (ISI) (pp. 137–139), Shenzhen, China. [Google Scholar]
  42. Maitra, D., Rehman, M. U., Dash, S. R., & Kang, S. H. (2022). Do cryptocurrencies provide better hedging? Evidence from major equity markets during the COVID-19 pandemic. The North American Journal of Economics and Finance, 62, 101776. [Google Scholar] [CrossRef]
  43. Matkovskyy, R., Jalan, A., & Dowling, M. (2020). Effects of economic policy uncertainty shocks on the interdependence between Bitcoin and traditional financial markets. The Quarterly Review of Economics and Finance, 77, 150–155. [Google Scholar] [CrossRef]
  44. McNown, R., Sam, C. Y., & Goh, S. K. (2018). Bootstrapping the autoregressive distributed lag test for cointegration. Applied Economics, 50(13), 1509–1521. [Google Scholar] [CrossRef]
  45. Mensi, W., Rehman, M. U., Maitra, D., Al-Yahyaee, K. H., & Sensoy, A. (2020). Does Bitcoin co-move and share risk with Sukuk and world and regional Islamic stock markets? Evidence using a time-frequency approach. Research in International Business and Finance, 53, 101230. [Google Scholar] [CrossRef]
  46. Mizerka, J., Stróżyńska-Szajek, A., & Mizerka, P. (2020). The role of Bitcoin on developed and emerging markets–on the basis of a Bitcoin users graph analysis. Finance Research Letters, 35, 101489. [Google Scholar] [CrossRef]
  47. Mnif, E., Jarboui, A., & Mouakhar, K. (2020). How the cryptocurrency market has performed during COVID-19? A multifractal analysis. Finance Research Letters, 36, 101647. [Google Scholar] [CrossRef] [PubMed]
  48. Naeem, M., Bouri, E., Boako, G., & Roubaud, D. (2020). Tail dependence in the return volume of leading cryptocurrencies. Finance Research Letters, 36, 101326. [Google Scholar] [CrossRef]
  49. Nair, S. T. G. (2021). On extreme value theory in the presence of technical trend: Pre and post COVID-19 analysis of cryptocurrency markets. Journal of Financial Economic Policy, 14, 533–561. [Google Scholar]
  50. Nakamoto, S. (2008). Bitcoin: A peer-to-peer electronic cash system. Decentralized Business Review, 21260. Available online: https://static.upbitcare.com/931b8bfc-f0e0-4588-be6e-b98a27991df1.pdf (accessed on 2 February 2025).
  51. Narayan, P. K., Narayan, S., Rahman, R. E., & Setiawan, I. (2019). Bitcoin price growth and Indonesia’s monetary system. Emerging Markets Review, 38, 364–376. [Google Scholar] [CrossRef]
  52. Nazifi, A., Murdy, S., Marder, B., Gäthke, J., & Shabani, B. (2021). A Bit (coin) of Happiness after a Failure: An empirical examination of the Effectiveness of Cryptocurrencies as an innovative recovery tool. Journal of Business Research, 124, 494–505. [Google Scholar] [CrossRef]
  53. Nguyen, K. Q. (2022). The correlation between the stock market and Bitcoin during COVID-19 and other uncertainty periods. Finance Research Letters, 46, 102284. [Google Scholar] [CrossRef]
  54. O’Leary, D. E. (2017). Configuring blockchain architectures for transaction information in blockchain consortiums: The case of accounting and supply chain systems. Intelligent Systems in Accounting, Finance, and Management, 24(4), 138–147. [Google Scholar] [CrossRef]
  55. Palazzi, R. B., Júnior, G. D. S. R., & Klotzle, M. C. (2021). The dynamic relationship between Bitcoin and the foreign exchange market: A non-linear approach to test causality between Bitcoin and currencies. Finance Research Letters, 42, 101893. [Google Scholar] [CrossRef]
  56. Parrot, A., Michell, K., & Kristjanpoller, W. D. (2019). Using Artificial Neural Networks to forecast exchange Rate, including VAR-VECM residual analysis and prediction linear combination. Intelligent Systems in Accounting, Finance, and Management, 26(1), 3–15. [Google Scholar] [CrossRef]
  57. Pesaran, M. H., Shin, Y., & Smith, R. J. (2001). Bounds testing approaches to the analysis of level relationships. Journal of Applied Econometrics, 16(3), 289–326. [Google Scholar] [CrossRef]
  58. Phillips, P. C., & Perron, P. (1988). Testing for a unit root in time series regression. Biometrika, 75(2), 335–346. [Google Scholar] [CrossRef]
  59. Raza, A., Alavi, A. B., & Asif, L. (2024a). Sustainability and financial performance in the banking industry of the United Arab Emirates. Discover Sustainability, 5(1), 223. [Google Scholar] [CrossRef]
  60. Raza, A., Ali, M., Tursoy, T., Seraj, M., & Habeeb, Y. O. (2024b). Evaluating the Scandinavian economy’s transition to a sustainable environment. Fresh evidence from newly developed CS-ARDL approach. Resources Policy, 89, 104566. [Google Scholar] [CrossRef]
  61. Raza, A., Asif, L., Türsoy, T., Seraj, M., & Bayram, G. E. (2023). Macro-economic indicators and housing price index in Spain: Fresh evidence from FMOLS and DOLS. International Journal of Housing Markets and Analysis. (ahead-of-print). [Google Scholar]
  62. Schilling, L., & Uhlig, H. (2019). Some simple Bitcoin economics. Journal of Monetary Economics, 106, 16–26. [Google Scholar] [CrossRef]
  63. Shahzad, S. J. H., Bouri, E., Roubaud, D., & Kristoufek, L. (2020). Safe haven, hedge and diversification for G7 stock markets: Gold versus Bitcoin. Economic Modelling, 87, 212–224. [Google Scholar] [CrossRef]
  64. Shaikh, I. (2020). Policy uncertainty and Bitcoin returns. Borsa Istanbul Review, 20(3), 257–268. [Google Scholar] [CrossRef]
  65. Shin, Y., Yu, B., & Greenwood-Nimmo, M. (2014). Modeling asymmetric cointegration and dynamic multipliers in a non-linear ARDL framework. In Festschrift in honor of Peter Schmidt (pp. 281–314). Springer. [Google Scholar]
  66. Singh, A. (2021). Investigating the dynamic relationship between litigation funding, gold, Bitcoin, and the stock market: The case of Australia. Economic Modelling, 97, 45–57. [Google Scholar] [CrossRef]
  67. Toyoda, K., Mathiopoulos, P. T., & Ohtsuki, T. (2019). A novel methodology for hyip operators’ Bitcoin addresses identification. IEEE Access, 7, 74835–74848. [Google Scholar] [CrossRef]
  68. Whelan, K. (2013). Sovereign default and the Euro. Oxford Review of Economic Policy, 29(3), 478–501. [Google Scholar] [CrossRef]
  69. Williamson, S. D. (2022). Central bank digital currency and flight to safety. Journal of Economic Dynamics and Control, 142, 104146. [Google Scholar] [CrossRef]
  70. Yousaf, I., & Yarovaya, L. (2022). The relationship between trading volume, volatility and returns of Non-Fungible Tokens: Evidence from a quantile approach. Finance Research Letters, 50, 103175. [Google Scholar] [CrossRef]
  71. Zeng, H., & Ahmed, A. D. (2022). Market integration and volatility spillover across major East Asian stock and Bitcoin markets: An empirical assessment. International Journal of Managerial Finance, 19, 772–802, (ahead-of-print). [Google Scholar] [CrossRef]
Figure 1. Conceptual model. Source: Author’s compilation.
Figure 1. Conceptual model. Source: Author’s compilation.
Ijfs 13 00024 g001
Figure 2. Prices volatility of stock indices, currency exchanges, Bitcoin, and Ethereum. Source: Authors compilation.
Figure 2. Prices volatility of stock indices, currency exchanges, Bitcoin, and Ethereum. Source: Authors compilation.
Ijfs 13 00024 g002
Figure 3. Quantile-quantile plots of stock indices, currency exchanges, Bitcoin, and Ethereum. Source: Authors compilation.
Figure 3. Quantile-quantile plots of stock indices, currency exchanges, Bitcoin, and Ethereum. Source: Authors compilation.
Ijfs 13 00024 g003
Figure 4. Correlation estimation of stock indices, currency exchanges, Bitcoin, and Ethereum. Source: Authors compilation.
Figure 4. Correlation estimation of stock indices, currency exchanges, Bitcoin, and Ethereum. Source: Authors compilation.
Ijfs 13 00024 g004
Figure 5. Impact plots with FTX collapse.
Figure 5. Impact plots with FTX collapse.
Ijfs 13 00024 g005
Figure 6. CUSUMQ plots (model with Bitcoin).
Figure 6. CUSUMQ plots (model with Bitcoin).
Ijfs 13 00024 g006
Figure 7. CUSUMQ plots (model with Ethereum).
Figure 7. CUSUMQ plots (model with Ethereum).
Ijfs 13 00024 g007
Table 1. Data description.
Table 1. Data description.
VariableAbbreviationsMeasurement UnitsSource
Bitcoin BTCBitcoin closing pricesCoinMarketCap
Ethereum ETEEthereum closing pricesCoinMarketCap
NASDAQ indexNASNASDAQ100 Futures closing pricesYahoo Finance
S&P500 indexSPS&P500 Futures closing pricesInvesting.com
RUSSELL2000 indexRUSRUSSELL2000 Futures closing pricesYahoo Finance
NIKKEI 225 indexNIKNIKKEI closing pricesYahoo Finance
MSCI indexMSCIMSCI closing pricesInvesting.com
EURO/USDEUREUR/USD closing pricesYahoo Finance
GBP/USDGBPGBP/USD closing pricesYahoo Finance
Table 2. Descriptive Statistics.
Table 2. Descriptive Statistics.
Variables MeanStd. Dev.Max.Min.SkewnessKurtosis
Bitcoin36,60921,380101,41751820.693.09
Ethereum1992114446441220.072.18
NASDAQ13,438268219,92668790.212.72
S&P 4270773609023040.242.90
RUSSELL192428724351013−0.583.06
NIKKEI29,599545641,19016,5520.352.58
MSCI288844038551650−0.012.84
EURO1.100.051.220.960.202.47
GBP1.280.061.411.08−0.082.77
Source: Authors compilation.
Table 3. Unit root estimation.
Table 3. Unit root estimation.
VariablesLevel1st Dif. Level1st Diff.
PP Unit Root ADF Unit Root
1Bitcoin0.09460.000I(1)0.09640.000I(1)
2Ethereum 0.44180.000I(1)0.46140.000I(1)
3NASDAQ0.39990.000I(1)0.38710.000I(1)
4S&P5000.39900.000I(1)0.38980.000I(1)
5NIKKEI2250.45740.000I(1)0.40550.000I(1)
6RUSSELL20000.33980.000I(1)0.31520.000I(1)
7MSCI0.43110.000I(1)0.41740.000I(1)
8Euro/USD0.35040.000I(1)0.35050.000I(1)
9GBP/USD0.31560.000I(1)0.126250.000I(1)
Source: Authors compilation.
Table 4. Structural breaks unit root estimation.
Table 4. Structural breaks unit root estimation.
VariablesLevelBreaksLevelBreaks
Pre-FTX CollapsePost-FTX Collapse
1Bitcoin−3.57 **04/03/2022−2.50 **20/08/2023
2Ethereum −4.07 **10/04/2022−0.76 **04/04/2023
3NASDAQ−4.22 **03/04/2022−2.27 **03/12/2023
4S&P500−4.93 **03/04/2022−2.47 **20/08/2023
5NIKKEI225−4.22 **21/11/2021−3.22 **25/12/2022
6RUSSELL2000−4.42 **01/11/2020−4.42 **12/12/2023
7MSCI−4.63 **03/04/2022−2.27 **08/11/2023
8Euro/USD−2.84 **24/10/2021−2.18 **17/07/2023
9GBP/USD−4.12 **20/02/2022−2.25 **11/08/2023
Source: Authors compilation. ** shows the significance at 5%.
Table 5. ARDL bound test.
Table 5. ARDL bound test.
BitcoinEthereum
ValuesCV at 1% LevelValuesCV at 1% Level
F - S t a t i s t i c O A 2.4063.250.4193.592
F - S t a t i s t i c I D V 2.6264.950.9264.929
F - S t a t i s t i c D V −3.995−4.66−1.592−3.199
Source: Authors compilation.
Table 6. Diagnostic test estimation.
Table 6. Diagnostic test estimation.
BitcoinEthereum
F-Statisticsp-ValueF-Statisticsp-Value
Heteroskedasticity 7.6230.0003.9500.002
Serial Correlation375.220.000300.320.000
Jarque–Bera5.6220.75516.8090.233
Ramesy Reset8.7550.0002.8840.004
Source: Authors compilation.
Table 7. Symmetric effects of ARDL estimations.
Table 7. Symmetric effects of ARDL estimations.
BitcoinEthereum
VariableCoefficientst-StatCoefficientst-Stat
ΔlnNAS0.679 *1.3180.2543 **1.711
ΔlnSP0.123 ***1.5480.962 **1.623
ΔlnRUS0.183 **3.3640.681 **2.020
ΔlnNIK−0.852 **−1.596−0.163 **−1.451
ΔlnMSCI−0.756−0.329−0.220−1.482
ΔlnEUR−0.285 **−1.936−0.169 **−1.626
ΔlnGBP−0.137 **−1.513−0.310 **−2.022
lnNAS0.310 **2.2450.078 **1.979
lnSP0.694 *1.4800.774 *1.697
lnRUS0.217 ***3.9590.161 ***4.585
lnNIK−0.114 **−0.997−0.087 **−1.068
lnMSCI−0.11−1.154−0.124−1.068
lnEUR−0.124 **−0.094−0.135 **−1.309
lnGBP−0.207 **−0.181−0.359 **−0.461
FTX0.179 **2.1220.133 **1.816
R-Square0.98 R-Square0.96
Notes: ***, **, * shows the significance level at 1%, 5%, and 10%.
Table 8. Asymmetric + and − NARDL estimations.
Table 8. Asymmetric + and − NARDL estimations.
BitcoinEthereum
VariableCoefficientst-StatCoefficientst-Stat
ΔlnNAS+0.258 **1.1690.292 **1.225
ΔlnSP+−0.281 **−1.292−0.292 **−1.963
ΔlnRUS+−0.593 **−1.5920.188 **2.199
ΔlnNIK+0.266 **2.5920.192 **2.299
ΔlnMSCI+−0.199 **−1.299−0.592 **−2.599
ΔlnEUR+−0.299 **−2.518−0.496 **−2.452
ΔlnGBP+−0.922 **−3.295−0.299 **−2.699
lnNAS+0.296 **1.2920.112 **1.299
lnSP+−0.269 **2.369−0.599 **−1.898
lnRUS+0.196 **2.8910.292 **1.222
lnNIK+0.296 **3.5960.299 **2.888
lnMSCI+−0.262 **−2.292−0.493 **−1.999
lnEUR+−0.299 **−2.292−0.536 **−2.659
lnGBP+−0.493 **−2.692−0.642 **−2.699
FTX+0.282 **1.2990.388 **1.666
ΔlnNAS0.327 **2.0540.192 **−1.652
ΔlnSP−0.417 **−3.176−0.042 ***−1.348
ΔlnRUS0.051 ***1.2420.049 **1.979
ΔlnNIK0.919 **3.1330.052 ***1.298
ΔlnMSCI−0.418 ***−2.011−0.088 ***−2.071
ΔlnEUR−0.562 **−3.950−0.167 **−0.098
ΔlnGBP−0.33 ***−2.230−0.318 ***−0.027
lnNAS0.047 **2.3430.905 **3.543
lnSP−0.249 **−1.759−0.390 **−1.447
lnRUS0.324 ***1.3060.668 **2.176
lnNIK0.701 ***1.4060.090 **1.658
lnMSCI−0.346 **−1.218−0.042 **−1.348
lnEUR−0.051 **−1.248−0.049 **−1.977
lnGBP−0.047 ***−1.946−0.003 **−0.165
FTX0.863 **2.7960.088 **1.127
R-Square0.84 R-Square0.87
Notes: ***, ** reflect the significance level at 1%, and 5%.
Disclaimer/Publisher’s Note: The statements, opinions and data contained in all publications are solely those of the individual author(s) and contributor(s) and not of MDPI and/or the editor(s). MDPI and/or the editor(s) disclaim responsibility for any injury to people or property resulting from any ideas, methods, instructions or products referred to in the content.

Share and Cite

MDPI and ACS Style

Alsulami, F.; Raza, A. Financial Markets Effect on Cryptocurrency Volatility: Pre- and Post-Future Exchanges Collapse Period in USA and Japan. Int. J. Financial Stud. 2025, 13, 24. https://doi.org/10.3390/ijfs13010024

AMA Style

Alsulami F, Raza A. Financial Markets Effect on Cryptocurrency Volatility: Pre- and Post-Future Exchanges Collapse Period in USA and Japan. International Journal of Financial Studies. 2025; 13(1):24. https://doi.org/10.3390/ijfs13010024

Chicago/Turabian Style

Alsulami, Faizah, and Ali Raza. 2025. "Financial Markets Effect on Cryptocurrency Volatility: Pre- and Post-Future Exchanges Collapse Period in USA and Japan" International Journal of Financial Studies 13, no. 1: 24. https://doi.org/10.3390/ijfs13010024

APA Style

Alsulami, F., & Raza, A. (2025). Financial Markets Effect on Cryptocurrency Volatility: Pre- and Post-Future Exchanges Collapse Period in USA and Japan. International Journal of Financial Studies, 13(1), 24. https://doi.org/10.3390/ijfs13010024

Note that from the first issue of 2016, this journal uses article numbers instead of page numbers. See further details here.

Article Metrics

Back to TopTop