The Impact of Lexical Bundle Length on L2 Oral Proficiency
Abstract
1. Introduction
2. Literature Review
2.1. Multiword Sequences and Lexical Bundles
2.2. From Theory to Empirical Findings
2.3. Gaps and Unexplored Areas in Previous Research
3. The Current Study
4. Materials and Methods
4.1. Participants
4.2. Oral Presentation Tasks and Proficiency Scores
4.3. Measuring Lexical Bundles: A Two-Pronged Approach
4.3.1. Text-External Lexical Bundle Analysis and Measures
4.3.2. Text-Internal Lexical Bundle Identification and Refinement Procedures
4.4. Scoring the Use of Text-Internal Bundles
4.5. Statistical Analyses
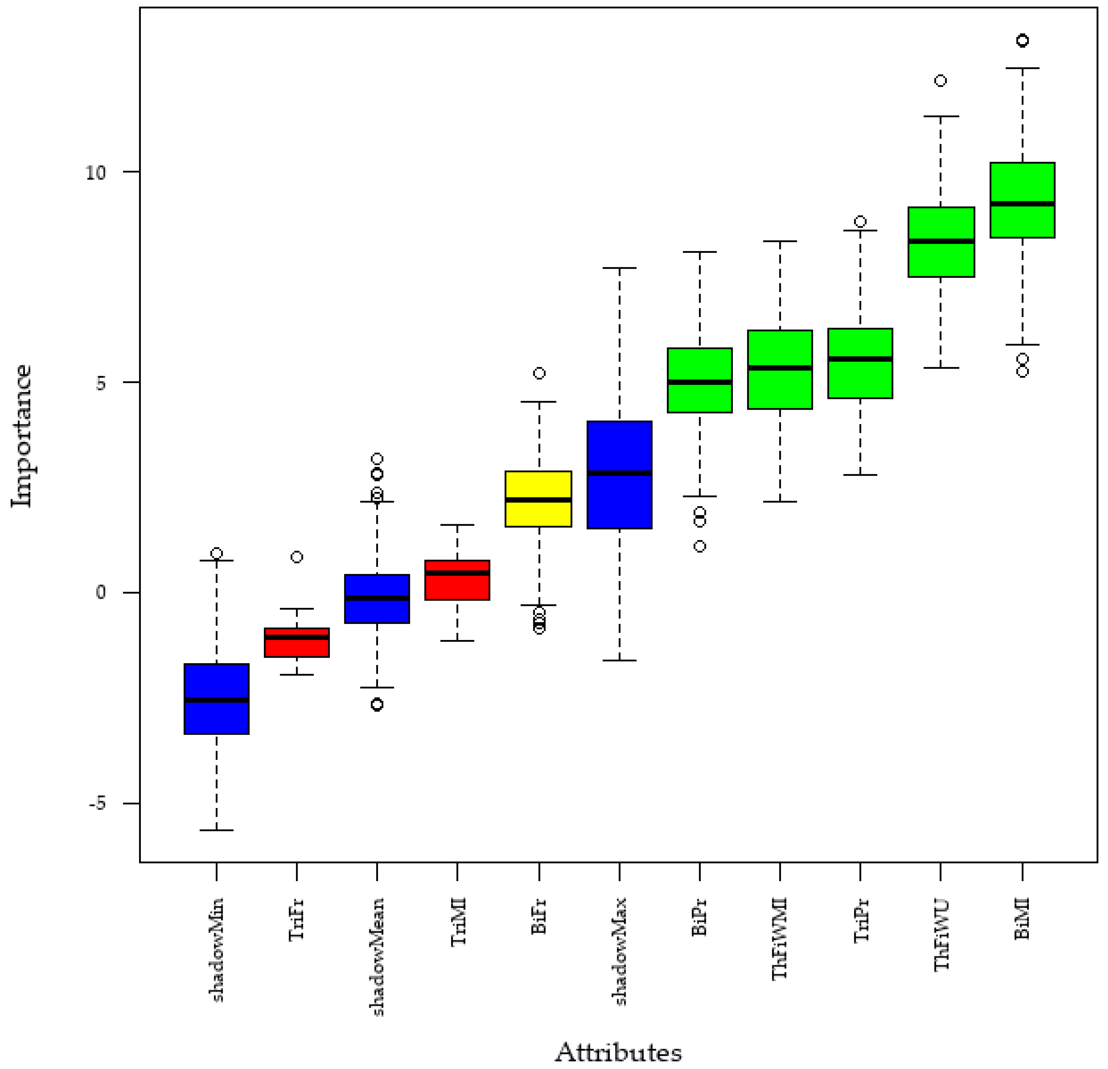
5. Results
6. Discussion
7. Limitations and Suggestions for Future Research
8. Pedagogical Implications and Suggestions
- Select relevant texts: Choose texts that align with students’ interests and proficiency levels.
- Identify high MI bigrams: Use Tom Cobb’s “Phrase Extractor” tool (https://www.lextutor.ca/multiwords/phrase/, accessed 3 February 2024) to extract high MI bigrams from the selected texts. These bigrams often serve as the foundation for longer LBs and expressions, thus making them a useful starting point.
- Practice and raise awareness:
- Develop exercises: Create exercises that target high MI bigrams and longer LBs.
- Highlight during activities: Have students notice and highlight high MI bigrams and longer LBs during reading and listening activities.
- Assessment criteria: Include criteria related to use of high-quality LBs in speaking (and writing) grading rubrics.
9. Conclusions
Supplementary Materials
Author Contributions
Funding
Institutional Review Board Statement
Informed Consent Statement
Data Availability Statement
Acknowledgments
Conflicts of Interest
Appendix A
| 80–100% CEFR: C2 | 70–79%+ CEFR: HIGH C1 | 60–69% CEFR: LOW C1 | 50–59% CEFR: HIGH B2 | 40–49% CEFR: LOW B2 | 30–39% CEFR: B1 | 1–29% CEFR: A1–A2 | |
|---|---|---|---|---|---|---|---|
| Presentation Content [20] |
|
|
|
|
|
|
|
| Presentation Structure [20] |
|
|
|
|
|
|
|
| Seminar Leadership [20] |
|
|
|
|
|
|
|
| Language Fluency [20] |
|
|
|
|
|
|
|
| Language Accuracy [20] |
|
|
|
|
|
|
|
Appendix B
| Rank (FREQ) | Rank (MI) | Bundles | Freq | Range | FREQ as 5-Gram | MI Score |
|---|---|---|---|---|---|---|
| 21 | 1 | if you have any questions | 22/18 * | 22/18 | 18 | 33.14 |
| 29 | 2 | market forces and free competition (are) | 18/18 | 9/9 | 18 | 32.59 |
| 73 | 3 | in a socially responsible way | 6/5 | 5/4 | 5 | 32.17 |
| 98 | 4 | the possibility of armed conflict | 4/4 | 3/3 | 4 | 28.58 |
| 111 | 5 | Let’s start by taking | 3 | 3 | 25.07 | |
| 63 | 6 | I shall(will) only take | 7(3) | 7(3) | 24.89 | |
| 56 | 7 | the presentation will be brief | 10/10 | 10/10 | 10 | 23.62 |
| 34 | 8 | (seven) minutes of your time | 14 | 14 | 23.40 | |
| 101 | 9 | a wide range of | 3 | 3 | 22.34 | |
| 78 | 10 | have a seminar discussion | 5 | 5 | 21.27 | |
| 77 | 11 | does globalization lead to | 5 | 5 | 20.87 | |
| 37 | 12 | at the same time | 12 | 12 | 20.78 | |
| 47 | 13 | as we all know | 11 | 11 | 20.65 | |
| 95 | 14 | can be defined as | 4 | 3 | 20.50 | |
| 69 | 15 | will last about seven (to eight minutes) | 6 | 6 | 20.43 | |
| 86 | 16 | (have/has) a positive impact on | 5 | 4 | 20.38 | |
| 97 | 17 | for a long time | 4 | 3 | 20.32 | |
| 108 | 18 | it can be seen | 3 | 3 | 20.10 | |
| 99 | 19 | a large amount of | 3 | 3 | 20.06 | |
| 76 | 20 | the rich and the poor | 4/4 | 4/4 | 4 | 19.99 |
| 24 | 21 | as you(we) can see (from) | 20(7) | 17(7) | 19.87 | |
| 80 | 22 | (to) help you understand the | 5 | 5 | 19.72 | |
| 102 | 23 | advantage and disadvantage of | 3 | 3 | 19.71 | |
| 74 | 24 | on the other hand | 6 | 5 | 19.55 | |
| 2 | 25 | I would like to (talk about the/discuss/explain/introduce) | 50 | 39 | 19.50 | |
| 61 | 26 | all over the world | 8 | 6 | 19.31 | |
| 75 | 27 | we all know that | 6 | 4 | 19.26 | |
| 96 | 28 | developed and developing countries | 4 | 3 | 18.79 | |
| 100 | 29 | a large number of | 3 | 3 | 18.72 | |
| 5 | 30 | (firstly/then) I will talk about | 37 | 24 | 18.49 | |
| 118 | 31 | to deal with this | 3 | 3 | 18.26 | |
| 85 | 32 | (my) presentation is(will be) divided into | 5(4) | 5(4) | 18.25 | |
| 50 | 33 | I will focus on | 10 | 10 | 18.24 | |
| 117 | 34 | This talk will last | 3 | 3 | 17.58 | |
| 13 | 35 | corporate social responsibility (is) | 26 | 12 | 17.51 | |
| 105 | 36 | in the United States | 3 | 3 | 17.08 | |
| 43 | 37 | we are going to (talk) | 12 | 6 | 16.76 | |
| 109 | 38 | it is easy to | 3 | 3 | 16.32 | |
| 110 | 39 | my presentation today is | 3 | 3 | 16.21 | |
| 9 | 40 | (is) my thesis statement (is/and) | 28 | 22 | 16.04 | |
| 67 | 41 | Let’s turn to the | 7 | 5 | 15.88 | |
| 25 | 42 | at the end of (my/the talk/presentation) | 20 | 19 | 15.86 | |
| 88 | 43 | as a result of | 4 | 4 | 15.58 | |
| 92 | 44 | I will make a | 4 | 4 | 15.27 | |
| 40 | 45 | (I will be) glad(happy) to answer (them) | 12(5) | 12(5) | 15.18 | |
| 106 | 46 | is a form of | 3 | 3 | 14.89 | |
| 58 | 47 | the last one is (the) | 8 | 8 | 14.79 | |
| 23 | 48 | and then I(we) will (show) | 21(4) | 19(4) | 14.70 | |
| 116 | 49 | there will be a | 3 | 3 | 14.60 | |
| 107 | 50 | is the most important | 3 | 3 | 14.39 | |
| 119 | 51 | will move on to | 3 | 3 | 14.20 | |
| 82 | 52 | (I) will start with the | 5 | 5 | 14.16 | |
| 87 | 53 | moving on to the | 5 | 4 | 14.15 | |
| 10 | 54 | Let’s move on (to the) | 28 | 22 | 14.10 | |
| 81 | 55 | I will analyze the | 5 | 5 | 14.00 | |
| 89 | 56 | in the context of | 4 | 4 | 13.95 | |
| 112 | 57 | Let’s talk about the | 3 | 3 | 13.90 | |
| 1 | 58 | (today/firstly/then) I’m going to (talk about/present/analyze) | 52 | 34 | 13.87 | |
| 45 | 59 | Let’s start (begin) with (the) | 11(5) | 11(5) | 13.70 | |
| 114 | 60 | the last part is | 3 | 3 | 13.24 | |
| 113 | 61 | So in this presentation | 3 | 3 | 13.09 | |
| 30 | 62 | we can see (the/that) | 18 | 11 | 12.87 | |
| 14 | 63 | (I have divided) my presentation(talk) into (four/five parts) | 25(4) | 25(4) | 12.78 | |
| 94 | 64 | So what are the | 4 | 4 | 12.64 | |
| 103 | 65 | in the era of | 3 | 3 | 12.53 | |
| 104 | 66 | in the field of | 3 | 3 | 12.40 | |
| 66 | 67 | a brief introduction (of) | 7 | 7 | 12.39 | |
| 18 | 68 | (is/about) the relationship between (a and b) | 24 | 14 | 12.30 | |
| 8 | 69 | (first/then/second) I will introduce (the/my/some) | 29 | 18 | 12.13 | |
| 4 | 70 | (firstly/and finally) I will give (you/the/a/some) | 41 | 31 | 11.83 | |
| 91 | 71 | we move to the | 4 | 4 | 11.81 | |
| 93 | 72 | (be) seen as a | 4 | 4 | 11.66 | |
| 90 | 73 | that globalization is a | 4 | 4 | 11.32 | |
| 65 | 74 | as well as (the) | 7 | 7 | 11.15 | |
| 6 | 75 | (Let’s) look at the (first part) | 34 | 28 | 10.97 | |
| 12 | 76 | I want to (talk about/show) | 26 | 20 | 10.88 | |
| 39 | 77 | (this/here) is my outline (and) | 12 | 12 | 10.82 | |
| 33 | 78 | (with/about) the background information | 15 | 10 | 10.78 | |
| 52 | 79 | (then) I will discuss (the) | 10 | 10 | 10.75 | |
| 31 | 80 | We need to (look at) | 17 | 9 | 10.74 | |
| 41 | 81 | Let’s move to (the) | 12 | 10 | 10.74 | |
| 84 | 82 | (the) third one is | 5 | 5 | 10.51 | |
| 20 | 83 | first of all (I/the) | 23 | 19 | 10.38 | |
| 62 | 84 | in this slide (I) | 8 | 6 | 10.33 | |
| 46 | 85 | (and) after that I (will) | 11 | 11 | 10.24 | |
| 38 | 86 | (becoming) more and more | 12 | 12 | 10.12 | |
| 16 | 87 | (in/and) the second part (is/I) | 24 | 22 | 10.00 | |
| 26 | 88 | So what is (globalization/the) | 20 | 19 | 9.91 | |
| 42 | 89 | to give you (some/a) | 12 | 10 | 9.80 | |
| 51 | 90 | (and) the last one (is the) | 10 | 10 | 9.69 | |
| 72 | 91 | to start with (I) | 6 | 6 | 9.62 | |
| 115 | 92 | the needs of the | 3 | 3 | 9.48 | |
| 3 | 93 | (on to/at) the first part(one) (is/the introduction) | 41(12) ** | 31(10) | 9.39 | |
| 59 | 94 | (and) the third part (is) | 8 | 8 | 9.33 | |
| 48 | 95 | we will have (a) | 11 | 10 | 9.30 | |
| 7 | 96 | (the outline/focus/part) of my presentation (is) | 31(4) | 29(4) | 9.27 | |
| 79 | 97 | (be) responsible for the | 5 | 5 | 9.06 | |
| 70 | 98 | (will) show you the | 6 | 6 | 8.79 | |
| 32 | 99 | in this presentation (I will) | 15 | 13 | 8.43 | |
| 54 | 100 | in my presentation (I) | 10 | 10 | 8.39 | |
| 64 | 101 | (and) the second one (is) | 7 | 7 | 8.35 | |
| 35 | 102 | this presentation is (the) | 14 | 13 | 8.08 | |
| 60 | 103 | in this part (I will) | 8 | 7 | 7.99 | |
| 49 | 104 | (that) I think the | 11 | 9 | 7.78 | |
| 53 | 105 | The purpose of (this presentation is) | 10 | 10 | 7.68 | |
| 71 | 106 | the effect of (globalization) | 6 | 6 | 7.38 | |
| 28 | 107 | (the) impact of globalization (on) | 22 | 12 | 7.30 | |
| 17 | 108 | (go/move) to the next (slide/part/point) | 24 | 20 | 7.04 | |
| 27 | 109 | (in) the process of (globalization) | 19 | 14 | 6.97 | |
| 15 | 110 | the definition of (the/globalization/CSR) | 25 | 19 | 6.81 | |
| 44 | 111 | the protection of (women’s labor rights) | 12 | 8 | 6.58 | |
| 83 | 112 | (presentation) is going to | 5 | 5 | 6.45 | |
| 68 | 113 | (and) the third is | 7 | 6 | 6.39 | |
| 19 | 114 | (is) one of the (main/most) | 24 | 20 | 5.98 | |
| 11 | 115 | (lead to/with) the (rapid) development of | 27 | 19 | 5.81 | |
| 55 | 116 | (about) the introduction of (globalization) | 10 | 7 | 5.28 | |
| 36 | 117 | the first is (introduction) | 13 | 8 | 4.98 | |
| 57 | 118 | of the world (economy) | 9 | 8 | 4.92 | |
| 22 | 119 | This is the (outline) | 22 | 19 | 4.72 |
Appendix C
| Rank (MI) | Bigram | MI Score | Freq | Range |
|---|---|---|---|---|
| 1 | carbon dioxide | 11.36 | 2 | 1 |
| 2 | Kyoto protocol | 11.19 | 2 | 2 |
| 3 | Hong Kong | 11.16 | 1 | 1 |
| 4 | Saudi Arabia | 9.77 | 1 | 1 |
| 5 | infectious diseases | 9.75 | 1 | 1 |
| 6 | global warming | 9.57 | 2 | 1 |
| 7 | 21st century | 9.20 | 1 | 1 |
| 8 | sexual harassment | 9.06 | 7 | 1 |
| 9 | 19th century | 8.84 | 1 | 1 |
| 10 | breast cancer | 8.65 | 8 | 8 |
| 11 | human beings | 8.59 | 1 | 1 |
| 12 | greenhouse gas | 8.16 | 3 | 2 |
| 13 | intellectual property | 8.16 | 16 | 5 |
| 14 | environmental protection | 7.84 | 1 | 1 |
| 15 | wide range | 7.81 | 3 | 3 |
| 16 | pharmaceutical companies | 7.67 | 1 | 1 |
| 17 | virtual reality | 7.58 | 2 | 1 |
| 18 | substance abuse | 7.57 | 1 | 1 |
| 19 | gas emissions | 7.48 | 1 | 1 |
| 20 | 17th century | 7.41 | 1 | 1 |
| 1 | Unlike Tavakoli and Uchihara (2020), we did not use t-scores, because it has recently been indicated that they do not measure association very reliably (Gries 2022). |
References
- Altenberg, Bengt. 1998. On the phraseology of spoken English: The evidence of recurrent Word combinations. In Phraseology: Theory, Analysis, and Applications. Edited by Cowie Anthony Paul. Oxford: Oxford University Press, pp. 101–22. [Google Scholar]
- Anthony, Laurence. 2022. AntConc (Version 4.0.5) [Computer Software]. Waseda University. Available online: https://www.laurenceanthony.net/software/antconc/ (accessed on 3 February 2024).
- Appel, Randy, and David Wood. 2016. Recurrent word combinations in EAP test-taker writing: Differences between high- and low-proficiency levels. Language Assessment Quarterly 13: 55–71. [Google Scholar] [CrossRef]
- Barlow, Michael. 2015. Collocate (Version 2.0) [Computer Software]. Athelstan. Available online: https://athel.com/ (accessed on 3 February 2024).
- Biber, Douglas. 2009. A corpus-driven approach to formulaic language in English: Multi-word patterns in speech and writing. International Journal of Corpus Linguistics 14: 275–311. [Google Scholar] [CrossRef]
- Biber, Douglas, and Bethany Gray. 2013. Discourse characteristics of writing and speaking task types on the Toefl iBT® test: A lexico-grammatical analysis. ETS Research Report Series 2013: i–128. Available online: https://onlinelibrary.wiley.com/doi/pdf/10.1002/j.2333-8504.2013.tb02311.x (accessed on 3 February 2024).
- Biber, Douglas, and Federica Barbieri. 2007. Lexical bundles in university spoken and written registers. English for Specific Purposes 26: 263–86. [Google Scholar] [CrossRef]
- Biber, Douglas, Stig Johansson, Geoffrey Leech, Susan Conrad, and Edward Finegan. 1999. Longman Grammar of Spoken and Written English. London: Longman. [Google Scholar]
- Boers, Frank, June Eyckmans, Jenny Kappel, Helene Stengers, and Murielle Demecheleer. 2006. Formulaic sequences and perceived oral proficiency: Putting a lexical approach to the test. Language Teaching Research 10: 245–61. [Google Scholar] [CrossRef]
- Bybee, Joan. 2006. From usage to grammar: The mind’s response to repetition. Language 82: 711–33. Available online: http://www.jstor.org/stable/4490266 (accessed on 3 February 2024). [CrossRef]
- Cowie, Anthony Paul. 1981. The treatment of collocations and idioms in learners’ dictionaries. Applied Linguistics 2: 223–35. [Google Scholar] [CrossRef]
- Dang, Thi Ngoc Yen, Averil Coxhead, and Stuart Webb. 2017. The academic spoken word list. Language Learning 67: 959–97. [Google Scholar] [CrossRef]
- Davies, Mark. 2009. The 385+ million word Corpus of Contemporary American English (1990–2008+). Design, architecture, and linguistic insights. International Journal of Corpus Linguistics 14: 159–90. [Google Scholar] [CrossRef]
- De Cock, Sylvie. 1998. A recurrent word combination approach to the study of formulae in the speech of native and non-native speakers of English. International Journal of Corpus Linguistics 3: 59–80. [Google Scholar] [CrossRef]
- De Cock, Sylvie. 2004. Preferred sequences of words in NS and NNS speech. Belgian Journal of English Language and Literatures, New Series 2: 225–46. Available online: https://dial.uclouvain.be/downloader/downloader.php?pid=boreal:75157&datastream=PDF_01 (accessed on 3 February 2024).
- Durrant, Phil, and Norbert Schmitt. 2009. To what extent do native and non-native writers make use of collocations? International Review of Applied Linguistics in Language Teaching 47: 157–77. [Google Scholar] [CrossRef]
- Ebeling, Signe, and Hilde Hasselgård. 2015. Learner corpora and phraseology. In The Cambridge Handbook of Learner Corpus Research. Edited by Sylviane Granger, Gaëtanelle Gilquin and Fanny Meunier. Cambridge: Cambridge University Press, pp. 207–29. [Google Scholar]
- Ellis, Nick C. 2002. Frequency effects in language processing: A review with implications for theories of implicit and explicit language acquisition. Studies in Second Language Acquisition 24: 143–88. Available online: https://psycnet.apa.org/doi/10.1017/S0272263102002024 (accessed on 3 February 2024). [CrossRef]
- Ellis, Nick C., Eric Frey, and Isaac Jalkanen. 2009. The psycholinguistic reality of collocation and semantic prosody (1): Lexical access. In Exploring the Lexis-Grammar Interface. Edited by Ute Römer-Barron and Rainer Schulze. Amsterdam: John Benjamins, pp. 89–114. [Google Scholar]
- Ellis, Nick C., Rita Simpson-Vlach, and Carson Maynard. 2008. Formulaic language in native and second-language speakers: Psycholinguistics, corpus linguistics, and TESOL. TESOL Quarterly 42: 375–96. [Google Scholar] [CrossRef]
- Ellis, Nick C., Rita Simpson-Vlach, Ute Römer, Matthew B. O’Donnell, and Stefanie Wulff. 2015. Learner corpora and formulaic language in second language acquisition research. In The Cambridge Handbook of Learner Corpus Research, 1st ed. Edited by Sylviane Granger, Gaëtanelle Gilquin and Fanny Meunier. Cambridge: Cambridge University Press, pp. 357–78. [Google Scholar] [CrossRef]
- Gablasova, Dana, Vaclav Brezina, and Tony McEnery. 2017. Collocations in corpus-based language learning research: Identifying, comparing, and interpreting the evidence. Language Learning 67: 155–79. [Google Scholar] [CrossRef]
- Garner, Jamie, and Scott Crossley. 2018. A latent curve model approach to studying L2 N-Gram development. The Modern Language Journal 102: 494–511. [Google Scholar] [CrossRef]
- Granger, Sylviane, and Magali Paquot. 2008. Disentangling the phraseological web. In Phraseology: An Interdisciplinary Perspective. Edited by Sylviane Granger and Fanny Meunier. Amsterdam: John Benjamins, pp. 27–49. [Google Scholar]
- Granger, Sylviane, and Yves Bestgen. 2014. The use of collocations by intermediate vs. advanced non-native writers: A bigram-based study. International Review of Applied Linguistics in Language Teaching 52: 229–52. [Google Scholar] [CrossRef]
- Gries, Stefan Th. 2022. What do (some of) our association measures measure (most)? Association? Journal of Second Language Studies 5: 1–33. [Google Scholar] [CrossRef]
- Groom, Nicholas. 2009. Effects of second language immersion on second language collocational development. In Researching Collocations in Another Language. Edited by Andy Barfield and Henrik Gyllstad. London: Palgrave Macmillan, pp. 21–33. [Google Scholar]
- Grömping, Ulrike. 2006. Relative importance for linear regression in R: The package relaimpo. Journal of Statistical Software 17: 1–27. [Google Scholar] [CrossRef]
- Hasselgård, Hilde. 2019. Phraseological teddy bears: Frequent lexical bundles in academic writing by Norwegian learners and native speakers of English. In Corpus Linguistics, Context and Culture. Edited by Michaela Mahlberg and Viola Wiegand. Berlin: De Gruyter, pp. 339–62. [Google Scholar]
- Hougham, Dan, Jon Clenton, and Takumi Uchihara. 2024. Disentangling the contributions of shorter vs. longer lexical bundles to L2 oral fluency. System 121: 103243. [Google Scholar] [CrossRef]
- Hyland, Ken. 2008. As can be seen: Lexical bundles and disciplinary variation. English for Specific Purposes 27: 4–21. [Google Scholar] [CrossRef]
- Hyland, Ken. 2012. Bundles in academic discourse. Annual Review of Applied Linguistics 32: 150–69. [Google Scholar] [CrossRef]
- Kormos, Judit. 2006. Speech Production and Second Language Acquisition. London: Routledge. [Google Scholar]
- Kursa, Miron B., and Witold R. Rudnicki. 2010. Feature selection with the Boruta package. Journal of Statistical Software 36: 1–13. [Google Scholar] [CrossRef]
- Kyle, Kristopher, and Scott A. Crossley. 2015. Automatically assessing lexical sophistication: Indices, tools, findings, and application. TESOL Quarterly 49: 757–86. [Google Scholar] [CrossRef]
- Kyle, Kristopher, Scott A. Crossley, and Cynthia Berger. 2018. The tool for the automatic analysis of lexical sophistication (TAALES): Version 2.0. Behavior Research Methods 50: 1030–46. [Google Scholar] [CrossRef] [PubMed]
- Larson-Hall, Jenifer. 2015. A Guide to Doing Statistics in Second Language Research Using SPSS and R. London: Routledge. [Google Scholar]
- Levelt, Willem J. M. 1989. Speaking: From Intention to Articulation. Cambridge: MIT Press. [Google Scholar]
- Levelt, Willem J. M. 1992. Accessing words in speech production: Stages, processes and representations. Cognition 42: 1–22. [Google Scholar] [CrossRef] [PubMed]
- Liakhovitski, Dmitri, Yegor Bryukhov, and Michael Conklin. 2010. Relative importance of predictors: Comparison of random forests with Johnson’s relative weights. Model Assisted Statistics and Applications 5: 235–49. [Google Scholar] [CrossRef]
- Liu, Dilin. 2012. The most frequently-used multi-word constructions in academic written English: A multi-corpus study. English for Specific Purposes 31: 25–35. [Google Scholar] [CrossRef]
- McGuire, Michael, and Jenifer Larson-Hall. 2017. Teaching formulaic sequences in the classroom: Effects on spoken fluency. TESL Canada Journal 34: 1–25. Available online: https://teslcanadajournal.ca/index.php/tesl/article/download/1271/1106 (accessed on 3 February 2024). [CrossRef]
- McGuire, Michael, and Jenifer Larson-Hall. 2021. The contribution of high-frequency multi-word sequences to speech rate and listening perception among EFL learners. Vocabulary Learning and Instruction 10: 18–29. Available online: https://vli-journal.org/wp/wp-content/uploads/2022/02/VLI_10_2.pdf#page=22 (accessed on 3 February 2024). [CrossRef]
- Mizumoto, Atsushi. 2022. Calculating the relative importance of multiple regression predictor variables using dominance analysis and random forests. Language Learning 73: 161–96. Available online: https://onlinelibrary.wiley.com/doi/pdf/10.1111/lang.12518 (accessed on 3 February 2024). [CrossRef]
- Myles, Florence, and Caroline Cordier. 2017. Formulaic sequence (FS) cannot be an umbrella term in SLA: Focusing on psycholinguistic FSs and their identification. Studies in Second Language Acquisition 39: 3–28. [Google Scholar] [CrossRef]
- Nation, Paul. 2013. Learning Vocabulary in Another Language. Cambridge: Cambridge University Press. [Google Scholar]
- Nesselhauf, Nadja. 2004. What are collocations? In Phraseological Units: Basic Concepts and Their Application. Edited by David John Allerton, Nadja Nesselhauf and Paul Skandera. Karlsruhe: Schwabe, pp. 1–21. [Google Scholar]
- Paquot, Magali, and Sylviane Granger. 2012. Formulaic language in learner corpora. Annual Review of Applied Linguistics 32: 130–49. [Google Scholar] [CrossRef]
- Pawley, Andrew, and Frances Hodgetts Syder. 1983. Two puzzles for linguistic theory: Nativelike selection and nativelike fluency. In Language and Communication. Edited by Jack C. Richards and Richard W. Schmidt. London: Longman, pp. 29–59. [Google Scholar]
- Plonsky, Luke, and Deirdre J. Derrick. 2016. A meta-analysis of reliability coefficients in second language research. The Modern Language Journal 100: 538–53. [Google Scholar] [CrossRef]
- R Development Core Team. 2019. R: A Language and Environment for Statistical Computing. Vienna: R Foundation for Statistical Computing. Available online: http://www.r-project.org/ (accessed on 3 February 2024).
- Schmidt, Richard. 1992. Psychological mechanisms underlying second language fluency. Studies in Second Language Acquisition 14: 357–85. [Google Scholar] [CrossRef]
- Schmitt, Norbert. 2010. Researching Vocabulary: A Vocabulary Research Manual. London: Palgrave Macmillan. [Google Scholar]
- Schmitt, Norbert. 2012. Formulaic language and collocation. In The Encyclopedia of Applied Linguistics, 1st ed. Edited by Carol A. Chapelle. Hoboken: Wiley. [Google Scholar]
- Simpson-Vlach, Rita, and Nick C. Ellis. 2010. An academic formulas list (AFL). Applied Linguistics 31: 487–512. [Google Scholar] [CrossRef]
- Sinclair, John. 1991. Corpus, Concordance, Collocation. Oxford: Oxford University Press. [Google Scholar]
- Siyanova-Chanturia, Anna, and Stefania Spina. 2020. Multi-word expressions in second language writing: A large-scale longitudinal learner corpus study. Language Learning 70: 420–63. [Google Scholar] [CrossRef]
- Skehan, Peter. 2014. Processing Perspectives on Task Performance. Amsterdam: John Benjamins. [Google Scholar]
- Staples, Shelley, Jesse Egbert, Douglas Biber, and Alyson McClair. 2013. Formulaic sequences and EAP development: Lexical bundles in the TOEFL iBT writing section. English for Specific Purposes 12: 214–25. [Google Scholar] [CrossRef]
- Stengers, Helene, Frank Boers, Alex Housen, and June Eyckmans. 2011. Formulaic sequences and L2 oral proficiency: Does the type of target language influence the association? International Review of Applied Linguistics 49: 321–43. [Google Scholar] [CrossRef]
- Suzuki, Yuichi, Masaki Eguchi, and Nivja de Jong. 2022. Does the reuse of constructions promote fluency development in task repetition? A usage-based perspective. TESOL Quarterly 56: 1290–319. [Google Scholar] [CrossRef]
- Tavakoli, Parvaneh. 2011. Pausing patterns: Differences between L2 learners and native speakers. ELT Journal 65: 71–79. [Google Scholar] [CrossRef]
- Tavakoli, Parvaneh, and Takumi Uchihara. 2020. To what extent are multiword sequences associated with oral fluency? Language Learning 70: 506–47. [Google Scholar] [CrossRef]
- Tremblay, Antoine, Bruce Derwing, Gary Libben, and Chris Westbury. 2011. Processing advantages of lexical bundles: Evidence from self-paced reading and sentence recall tasks. Language Learning 61: 569–613. [Google Scholar] [CrossRef]
- Uchihara, Takumi, and Jon Clenton. 2020. Investigating the role of vocabulary size in second language speaking ability. Language Teaching Research 24: 540–56. [Google Scholar] [CrossRef]
- Uchihara, Takumi, and Tetsuo Harada. 2018. Roles of vocabulary knowledge for success in English-medium instruction: Self-perceptions and academic outcomes of Japanese undergraduates. TESOL Quarterly 52: 564–87. Available online: https://www.jstor.org/stable/44987081 (accessed on 3 February 2024). [CrossRef]
- Uchihara, Takumi, Masaki Eguchi, Jon Clenton, Kristopher Kyle, and Kazuya Saito. 2021. To what extent is collocation knowledge associated with oral proficiency? A corpus-based approach to word association. Language and Speech 65: 311–36. [Google Scholar] [CrossRef] [PubMed]
- Wood, David. 2009. Effects of focused instruction of formulaic sequences on fluent expression in second language narratives: A case study. Canadian Journal of Applied Linguistics 12: 39–57. Available online: https://journals.lib.unb.ca/index.php/CJAL/article/download/19898/21737/ (accessed on 3 February 2024).
- Wood, David. 2010. Formulaic Language and Second Language Speech Fluency: Background, Evidence, and Classroom Applications. Dallas: Continuum. [Google Scholar]
- Wood, David, and Randy Appel. 2014. Multiword constructions in first year business and engineering university textbooks and EAP textbooks. Journal of English for Academic Purposes 15: 1–13. [Google Scholar] [CrossRef]
- Zhang, Xiaopeng, Baoshan Zhao, and Wenwen Li. 2021. N-gram use in EFL learners’ retelling and monologic tasks. International Review of Applied Linguistics in Language Teaching 61: 939–65. [Google Scholar] [CrossRef]



| Nationality | n | Nationality | n | Nationality | n |
|---|---|---|---|---|---|
| Chinese | 101 | Indonesian | 2 | Taiwanese | 1 |
| Saudi Arabian | 9 | Bangladeshi | 1 | Chilean | 1 |
| Turkish | 9 | German | 1 | Egyptian | 1 |
| Japanese | 7 | Bahraini | 1 | Georgian | 1 |
| Thai | 6 | Kuwaiti | 1 | Pakistani | 1 |
| Indian | 2 | Ghanian | 1 | Russian | 1 |
| Colombian | 2 | Italian | 1 |
| IELTS speaking level | 6.5 | 7 | 7.5 | Total |
| n | 50 | 50 | 50 | 150 |
| Lexical bundle length | three-word units | four-word units | five-word units | Total |
| Number of units | 55 | 58 | 6 | 119 |
| Examples | I’m going to the first part I will give | I would like to at the end of at the same time | if you have any questions the presentation will be brief in a socially responsible way |
| Measure | M | SD | Median | Minimum | Maximum |
|---|---|---|---|---|---|
| Presentation raw scores | 62.71 | 5.53 | 63.00 | 53.00 | 78.00 |
| Bigram log frequency | 1.32 | 0.12 | 1.31 | 1.04 | 1.73 |
| Bigram proportion | 0.44 | 0.07 | 0.44 | 0.26 | 0.63 |
| Bigram association MI | 1.54 | 0.17 | 1.54 | 1.13 | 2.09 |
| Trigram log frequency | 0.68 | 0.13 | 0.67 | 0.41 | 1.07 |
| Trigram proportion | 0.12 | 0.04 | 0.12 | 0.04 | 0.26 |
| Trigram association MI | 2.53 | 0.25 | 2.54 | 1.91 | 3.21 |
| Three-to-five-word usage | 10.29 | 5.10 | 10.00 | 1.00 | 27.00 |
| Three-to-five-word MI | 132.39 | 73.57 | 117.97 | 19.87 | 399.56 |
| Predictor | B | 95% CI | SE | T | Dominance Weight (%) |
|---|---|---|---|---|---|
| Intercept | 39.02 | 16.45, 61.58 | 11.51 | 3.39 | |
| Bigram frequency | 8.10 | −4.17, 20.37 | 6.26 | 1.29 | 0.008 (3.41%) |
| Bigram proportion | −12.09 | −39.57, 15.39 | 14.02 | −0.86 | 0.006 (2.64%) |
| Bigram MI | 14.38 * | 8.01, 20.76 | 3.25 | 4.42 | 0.129 (58.63%) |
| Trigram frequency | −3.07 | −13.10, 6.95 | 5.11 | −0.60 | 0.003 (1.23%) |
| Trigram proportion | 4.15 | −58.81, 67.11 | 32.12 | 0.13 | 0.007 (3.23%) |
| Trigram MI | −2.05 | −6.24, 2.14 | 2.14 | −0.96 | 0.007 (3.28%) |
| Three-to-five-word usage | 0.53* | 0.06, 0.99 | 0.24 | 2.22 | 0.041 (18.80%) |
| Three-to-five-word MI | −0.02 | −0.05, 0.01 | 0.02 | −1.25 | 0.019 (8.78%) |
| Total | 0.220 (100%) |
Disclaimer/Publisher’s Note: The statements, opinions and data contained in all publications are solely those of the individual author(s) and contributor(s) and not of MDPI and/or the editor(s). MDPI and/or the editor(s) disclaim responsibility for any injury to people or property resulting from any ideas, methods, instructions or products referred to in the content. |
© 2024 by the authors. Licensee MDPI, Basel, Switzerland. This article is an open access article distributed under the terms and conditions of the Creative Commons Attribution (CC BY) license (https://creativecommons.org/licenses/by/4.0/).
Share and Cite
Hougham, D.; Clenton, J.; Uchihara, T.; Higginbotham, G. The Impact of Lexical Bundle Length on L2 Oral Proficiency. Languages 2024, 9, 232. https://doi.org/10.3390/languages9070232
Hougham D, Clenton J, Uchihara T, Higginbotham G. The Impact of Lexical Bundle Length on L2 Oral Proficiency. Languages. 2024; 9(7):232. https://doi.org/10.3390/languages9070232
Chicago/Turabian StyleHougham, Dan, Jon Clenton, Takumi Uchihara, and George Higginbotham. 2024. "The Impact of Lexical Bundle Length on L2 Oral Proficiency" Languages 9, no. 7: 232. https://doi.org/10.3390/languages9070232
APA StyleHougham, D., Clenton, J., Uchihara, T., & Higginbotham, G. (2024). The Impact of Lexical Bundle Length on L2 Oral Proficiency. Languages, 9(7), 232. https://doi.org/10.3390/languages9070232

