Abstract
Previous studies have shown that language learners’ auditory word recognition behavior provides evidence for independent contributions of perceptual and phonolexical representations, and learners’ patterns of auditory word recognition have been characterized as resulting from “fuzziness” or “imprecision” associated with these representations. More recently, it has been argued that representational “fuzziness” may in fact take various forms (e.g., neutralized, precise, ambiguous). The purpose of the present study is to further build on this line of work by elaborating additional logically possible scenarios by crossing larger sets of logically possible types of perceptual and phonolexical representational precision/imprecision, as an exercise in exploring the empirical and theoretical implications of our characterizations of representational fuzziness in language learners. We collect new empirical data for the purpose of demonstrating how we might evaluate auditory word recognition performance relative to this fuller set of predicted scenarios. We computed the set of hypothesized scenarios by crossing possible perceptual and lexical representations. We crossed four possible perceptual representations (NeutralizedC + NeutralizedV, NeutralizedC + PreciseV, PreciseC + NeutralizedV, or PreciseC + PreciseV) and six possible phonolexical representations (Neutralized, Ambiguous, Not X, Precise, Fuzzy Word, or Word Length), for a total of 24 scenarios, each accompanied by a set of predictions with respect to accuracy on an auditory word–picture matching test. We interpret the group and individual performance relative to these scenarios with the ultimate aim of better understanding the implications of our assumptions about the nature of perceptual and phonolexical representations relative to observed patterns of learner behavior. Our hope is that in computing this factorial typology of logically possible scenarios and demonstrating a starting point for how we might empirically evaluate its predictions, we set the stage for future research to refine the hypothesis space through empirical studies of auditory word processing in language learners.
1. Introduction
Adult language learners must acquire, among other things, the new language’s system of phonological contrasts, in addition to the ability to encode and retrieve lexical representations that reflect these contrasts. Much scholarship in adult learning of new sounds and contrasts has focused on the perception of individual speech sounds, while a smaller but growing body of literature documents the challenges associated with auditory word recognition, in particular for words that contain unfamiliar, or new, phonemes (Amengual 2016; Broersma 2012; Escudero et al. 2008; Hayes-Harb and Masuda 2008; Sebastián-Gallés et al. 2005; Weber and Cutler 2004). Along these lines, some studies have attempted to clarify the role that L2 learners’ perceptual representations (i.e., the representation of the auditory input that is used to contact the lexicon) and phonolexical representations (i.e., representations of words’ phonological forms in the lexicon) play in L2 word learning and recognition (Darcy et al. 2013; Escudero et al. 2008; Hayes-Harb and Barrios 2019; Hayes-Harb and Masuda 2008; Llompart and Reinisch 2021; See Darcy 2022 for discussion). However, studies that explicitly engage with a distinction between perceptual and phonolexical representations, and attempt to elaborate the factorial consequences for various predicted perceptual and phonolexical forms, remain rare. In this way, the present work engages deeply with the complexities of this topic and for this reason addresses a fairly narrow literature.
A challenge that arises in this area of study relates to the emergence of new terms, as well as competing and/or imprecise definitions of these terms. For example, the term “fuzzy” has emerged in the past decade and has been usefully applied to capture apparent imprecision in learners’ lexical representations of new phonemes (Cook et al. 2016; Cook and Gor 2015); however, “fuzzy” is often underdefined or variably defined such that phonolexical representations characterized as fuzzy have represented a range of logical possibilities with respect to the nature of fuzziness. This lack of clarity prevents careful characterization of learners’ perceptual and phonolexical representations. For example, “fuzzy” is often used synonymously with imprecise; however, there are multiple ways in which learners’ representations can be imprecise: they may be ambiguous, where they are contacted equally by more than one perceptual representation (Darcy et al. 2013), or they may be characterized by what they are not (the “Not X” representations in Hayes-Harb and Masuda (2008), Darcy et al. (2013), and Barrios and Hayes-Harb (2021)). Additional possibilities for the representation of novel phonemes in the learners’ lexicon include neutralization, where two phonemes that contrast in the new language neutralize to a representation that encodes only the more familiar “old” one in the learner’s lexicon (Pallier et al. 2001, but see Hayes-Harb and Masuda 2008, for an alternative interpretation of the same pattern). Importantly, these phonolexical representation alternatives predict different patterns of lexical representation and access. Hayes-Harb and Barrios (2019) began to elaborate some of these scenarios with respect to possible types of phonolexical fuzziness. Barrios and Hayes-Harb (2021) built on this work by crossing two perceptual representation possibilities with four possible types of phonolexical representations to produce eight possible scenarios representing combinations of perceptual and phonolexical representations. The present study represents an exercise in further elaborating logically possible scenarios with respect to perceptual and phonolexical representations. We replicate and extend (with methodological improvements) the Hayes-Harb and Barrios (2019) study of English speakers learning words involving Japanese vowel and consonant length contrasts. We compute a set of 24 possible scenarios (crossing four perceptual representation possibilities with six phonolexical representation possibilities), along with each scenario’s predictions regarding performance on novel word learning and auditory word–picture matching tasks. We report group and individual results, with the goal of better understanding the implications of our assumptions about the nature of perceptual and phonolexical representations relative to observed patterns of learner behavior.
Literature Review
The independence of the contributions of language learners’ perceptual and phonolexical representations to auditory word learning and processing tasks has been demonstrated across multiple languages and task types. Learners have been shown to have contrastive lexical representations without contrastive perceptual representations (Weber and Cutler 2004), and contrastive perceptual representations without contrastive lexical representations (Darcy et al. 2013; Hayes-Harb and Masuda 2008). In other cases, the situation has been shown to be even more complex (Barrios and Hayes-Harb 2021; Hayes-Harb and Barrios 2019).
Weber and Cutler (2004) and Escudero et al. (2008) employed the visual world paradigm to examine the lexical processing of English words contrasted by the /ɛ/-/æ/ contrast by Dutch speakers. An important finding of these studies is that asymmetries in lexical activation can provide insight into the structure of learners’ lexical representations. Crucially, Dutch speakers’ initial activation of words containing /ɛ/ but not /æ/ regardless of whether the stimulus word contained [ɛ] or [æ] provides evidence for the contrastive nature of their lexical representations despite perceptual neutralization of the contrast. These studies demonstrate the importance of developing experimental methods that capture the independent contributions of perceptual and lexical representations in second language lexical processing.
Several studies have also provided evidence that learners may exhibit precise perceptual representations but phonologically imprecise lexical representations. Hayes-Harb and Masuda (2008) investigated English speakers’ memory for Japanese-like words distinguished by consonant length. Importantly, Japanese distinguishes singleton and geminate consonants, as well as short and long vowels. Phonological length contrasts like those used in Japanese are expected to present difficulty for English learners, as English lacks these phonemic length distinctions (Dietrich et al. 2007; Mugitani et al. 2009). In their study, Hayes-Harb and Masuda exposed three groups of participants (English speakers with no prior experience with Japanese, English speakers with one year of Japanese study, and Japanese speakers) to a mini-lexicon consisting of twelve Japanese-like words (four singleton–geminate minimal pairs; e.g., [pete] and [pette], and four filler words). Following an exposure phase in which each auditory form was presented together with an image representing its meaning, participants were tested on their memory of the words’ phonological forms using a picture naming and auditory word–picture matching task. As expected, experience-related differences in performance were observed on both the listening (mean d’ for inexperienced English listeners = 1.01, English learners of Japanese = 2.11, Japanese speakers = 2.73) and the production task (geminate consonant production for inexperienced English listeners = 17%, English learners of Japanese = 58%, and Japanese speakers = 99%). However, the more interesting result was the discrepancy between the performance on the listening and production tasks. The authors interpreted the difference as evidence of the representation of the new (geminate) category as “not x”. This explains the observed data since performance on a perceptual task required participants only to recognize that an auditory input (e.g., singleton [t]) and a phonolexical representation (e.g., /*t/, which encodes geminate /tt/ as “not /t/”) were somehow different from one another, while the production task required participants to phonetically implement that difference (thus revealing that participants may have encoded geminate consonants in a way that served only to distinguish them from singletons but without specifying the nature of the distinction).
Additional evidence for imprecision in learners phonolexical representations comes from learners’ asymmetric lexical decision task performance. Darcy et al. (2013) examined the perceptual and lexical processing of German and Japanese words and nonwords by English speaking learners. They elaborated two possible hypotheses relating to learners’ phonetic coding (perceptual representations) or lexical coding (phonolexical representations). According to their phonetic coding hypothesis, learners’ phonolexical representations of novel contrasts are contrastive while their perceptual representations neutralize the contrast. In this scenario, for example, the new phone [pp] in /kippu/ ‘ticket’ is perceived as the familiar phone [p] ([kipu]), even though their phonolexical representations maintain the contrast (e.g., /kipu/ and /kippu/). In this case, the authors predicted that it should be easier to accept auditory words and to reject auditory nonwords containing the familiar category than to accept auditory words or to reject auditory nonwords containing the new category. On the other hand, according to their lexical encoding hypothesis, where learners’ perceptual representations preserve the contrast, but their phonolexical representation of the new category is imprecise or “fuzzy” /?/, auditory words containing the familiar category should be easy to accept, while words containing the new category should be less easy to accept due to the imprecision of the match. Auditory nonwords containing the new category should be easy to reject, and nonwords containing the familiar category should be difficult to reject. To test these hypotheses, English speakers who were advanced and intermediate learners of Japanese, as well as “native” Japanese speakers, performed ABX perception and auditory lexical decision tasks. The ABX results confirmed that all participants could discriminate singleton and geminate consonants, and the pattern of performance on the auditory lexical decision task was consistent with their lexical coding hypothesis, providing evidence for phonolexical representation of Japanese geminate consonants by English-speaking learners which are contacted by auditory inputs involving both geminate and singleton consonants. While the authors characterized learners’ phonolexical representations as “fuzzy”, in an attempt to distinguish different types of representational fuzziness, we follow Barrios and Hayes-Harb (2021) in referring to this type of phonolexical imprecision as “ambiguous”).
Building on the work of Hayes-Harb and Masuda (2008) and Darcy et al. (2013), Hayes-Harb and Barrios (2019) further investigated the phonological content of English users’ lexical representations of phonological length in Japanese using an artificial lexicon study design. Two groups of English users, with no prior experience with Japanese or any other language with a phonological length contrast, were exposed to twelve Japanese-like words (six minimal pairs). Participants were randomly assigned to one of two experiments. In the Consonant Length Experiment, participants were exposed to the singleton–geminate consonant contrast (e.g., /teki/-/tekki/) and those assigned to the Vowel Length Experiment were exposed to vowel length minimal pairs (e.g., /teki/-/teeki/). Following a criterion test that established adequate memory for the word–object associations, participants were tested on their memory for the new words using an auditory word–picture matching test. Test trials were of three types (Match, MismatchC, MismatchV). For example, in match trials in the Consonant Length Experiment, the auditory input [teki] was paired with the image associated with /teki/ during the exposure phase and the [tekki] was paired with the /tekki/. In ‘mismatch’ trials, the auditory input differed from the auditory form associated with the image during exposure in either the consonant or vowel segment (e.g., MismatchC: [tekki] was presented with the /teki/ image and [teki] was paired with the /tekki/ image; MismatchV: [teeki] was paired with the /teki/ image and [teekki] was paired with the /tekki/ image). The authors elaborated five scenarios related to the lexical encoding of length (target-like, mora-counting, fuzzy segment, fuzzy word, and word length), which each make interestingly different predictions about learners’ performance. Importantly, precise perceptual representations were assumed. Given both precise perceptual representations and precise phonolexical representations of consonant or vowel length (target-like scenario), participants were expected to show accurate performance on all trial types. The authors note that mora-counting would produce identical results. If instead participants’ perceptual representations were precise but their phonolexical representations of the new phoneme were ambiguous or ‘fuzzy’ (fuzzy segment), then participants were expected to have difficulty rejecting mismatch trials when the auditory input involved the familiar segment because this input would not mismatch the ‘fuzzy’ representation of the new segment (e.g., [teki] input does not mismatch /tek?i/). If the ambiguity is instead associated with representation of the word involving the new segment (fuzzy word), then participants were expected to easily accept match trials and reject vowel and consonant mismatches for /teki/, but have difficulty rejecting [teki] and [teekki] for /(teki)?/ since these inputs fail to mismatch the ambiguous word form representation. In the word length scenario, the phonolexical representation of words involving the new segment are recognized as involving length, but participants have not associated length with a particular segment. Accordingly, match trials should be easy to accept, [tekki] and [teeki] for /teki/ should be easy to reject, since the input involves long segments and the phonolexical representation does not. Likewise, [teki] for /tekiLONG/ should be easy to reject as a mismatch as the input does not involve any long segments. However, [teekki] for /tekiLONG/ should be difficult to reject since it involves at least one long segment. Ultimately, the authors interpret the results of the two experiments as consistent with participants having fuzzy/ambiguous representations of long consonants, and non-contrastive lexical encoding of vowel length contrasts.
Importantly, Hayes-Harb and Barrios (2019) only considered scenarios where learners’ perceptual representations were assumed to be precise. However, adult learners are well known to neutralize novel phonological contrasts in perception. Barrios and Hayes-Harb (2021) thus investigated additional logically possible scenarios by considering multiple possible types of representations at both the perceptual and phonolexical levels. In their experiment, they compared the performance of Mandarin and Korean learners of English and English speakers on an auditory lexical decision task involving words and nonwords distinguished by the /ɹ/-/l/ and /æ/-/ɛ/ contrasts (e.g., legend/*[r]egend, rabbit/*[l]abbit, battle/*b[ɛ]ttle, lecture/*l[æ]cture). For the Mandarin and Korean learners, /l/ was expected to be the familiar/dominant segment. The dominance of /æ/ vs. /ɛ/ was unclear for these groups. Barrios and Hayes-Harb presented eight scenarios involving two possible perceptual representations for new segments (neutralized or precise) and four possible phonolexical representations for new segments (neutralized, ambiguous, “not X”, or precise). Precise perceptual representations preserve new segments when they are present in the auditory input (e.g., the nonword [ɹ]egend is perceived as [ɹ]egend). When perceptual representations are neutralized, auditory inputs involving the new segment are perceived as involving the dominant segment (e.g., [ɹ]egend is perceived as [l]egend). Neutralized phonolexical representations of words involving the new category will be represented with the dominant category (e.g., ‘rabbit’ /læbɪt/). Ambiguous phonolexical representations of the new category neither match nor mismatch auditory inputs involving either the dominant or new category (e.g., /?æbɪt/ is contacted by both [ɹæbɪt] and [læbɪt]). In “not X” phonolexical representations, /ɹ/ is encoded as /not l/ (e.g., /{not l}æbɪt/). Like precise phonolexical representations, ‘not X’ representations preserve the lexical distinction (e.g., /ɹæbɪt/ or /{not l}æbɪt/ representations are contacted by [ɹæbɪt], but not [læbɪt]). The authors proposed ordinal accuracy predictions for each of the eight lexical decisions scenarios crossing the two perceptual representations with the four phonolexical representations ranging from easy to accept, easy-ish to accept, easy to reject, difficult-ish to reject, and difficult to reject. All three groups exhibited the same pattern for the /æ/-/ɛ/ contrast with near-ceiling acceptance of words, and higher accuracy for nonwords containing [æ] than [ɛ]. The three participant groups exhibited a range of patterns for the /ɹ/-/l/ contrast. Unsurprisingly, English speakers exhibited highly accurate and symmetric performance for both words and nonwords, suggestive of precise perceptual and precise lexical coding. Mandarin speakers exhibited asymmetric performance favoring [l] words and nonwords (consistent with perceptual coding difficulty). Korean speakers exhibited asymmetries favoring [l] for words and [ɹ] for nonwords (consistent with difficulty with lexical coding). Despite some limitations, these data suggest that interpreting ordinal accuracy predictions may be informative as to the locus of learners’ difficulty with respect to novel phonological contrasts.
In the present work, we extended the scenarios formulated by Barrios and Hayes-Harb (2021) from 8 total scenarios to 24 by crossing four types of perceptual representations (NeutralizedC + NeutralizedV, NeutralizedC + PreciseV, PreciseC + NeutralizedV, and PreciseC + PreciseV) with six types of lexical representations (Neutralized, Ambiguous, “Not X”, Precise, Fuzzy Word, and Word Length), each accompanied by a set of predictions with respect to accuracy on the auditory word–picture matching test. Following previous studies that looked at English-speaking learners of Japanese-like words (Hayes-Harb and Barrios 2019; Hayes-Harb and Masuda 2008), this study investigates English speakers’ auditory processing of newly-learned Japanese-like words contrasting in phonological length (short vs. long vowels and consonants), in order to examine if and how English speakers vary in their perceptual and phonolexical encoding of these new contrasts. In this way, this manuscript reports a replication and extension of the empirical study reported in Hayes-Harb and Barrios (2019).
The main goals of the present work are thus: (1) to identify and clarify hypotheses regarding the nature of learners’ phonolexical representations, and especially to tease apart empirically- and logically-distinct meanings previously captured by the term “fuzziness”; (2) to carefully compute the full set of empirical predictions produced by these various hypotheses; and (3) to provide new empirical data allowing us to illustrate an approach to how we might empirically test these predictions.
2. Materials and Methods
2.1. Researcher Subjectivity
The authors acknowledge that our identities and experiences have shaped the decisions involved in this research, including the research questions we pursue, the methods and materials we use, our interpretations of the results, and the way we present the work in this manuscript. We are White women in a US academic context. We speak English as our first language, and our experience with language learning can be characterized as elite multilingualism (Flores and Rosa 2019; Wise 2011). The first and second authors have language teaching experience. To the extent possible, we avoid characterizations of language users as “native” or “non-native”—this is an intentional response to the potential for these terms to harm the people we use them to describe, in addition to the limited utility of the terms due to their vagueness (Cheng et al. 2021). Finally, we acknowledge that our practice of separating languages into bounded, named entities as though they exist as such in people is not uncontroversial and erases the experience of many language users (Otheguy et al. 2015). We explore individual participants’ performance in addition to group results for the purpose of capturing the rich variety of human language experience.
2.2. Participants
One hundred and ninety-seven participants were recruited from the University of Utah’s Linguistics and Educational Psychology study participant pools and received course credit for their participation. Participants were randomly assigned to one of two word learning experiments involving a set of Japanese-like minimal pairs contrasting consonant or vowel length (Consonant Length Experiment or Vowel Length Experiment). One hundred and seventeen of these participants met all age and language-based inclusionary criteria. They were at least 18 years of age, identified English as either a “native” language or as a language they spoke with parents or childhood caregivers, and reported no prior experience with any language(s) with phonological length contrasts. A total of 80 participants were excluded as they failed to meet one or more of these criteria (4 were minors, 18 did not identify English as either a “native” language or as a language spoken by parents or childhood caregivers, 72 reported experience learning or using language(s) with consonant or vowel length contrasts, including Arabic (4), Armenian (1), Cantonese (2), Chinese (17), Danish (1), Farsi/Persian (2), German (11), Hebrew (2), Hindi (2), Italian (7), Japanese (23), Korean (15), Latin (5), Laotian (2), Navajo (1), Norwegian (1), Punjabi (1), Russian (4), Samoan (1), Swedish (1), Tamil (1), Thai (3), Tongan (1), and Turkish (2)).
We adopted a performance-based criterion to ensure that participants demonstrated sufficient knowledge of the set of new words to proceed to the final test. An additional 46 participants were excluded for failing to reach 90% accuracy or higher on Criterion Test 2 (See Section 2.4 and Section 3 below for details). Ultimately, the data reported here come from 71 individuals (mean (sd) age in years = 23.48 (7.75), female = 48, male = 21, non-binary = 2); Consonant Length Experiment (N = 35) and Vowel Length Experiment (N = 36). These individuals also reported experience with one or more additional languages including American Sign Language (10), French (9), Mandarin (2), Spanish (41), and Vietnamese (1).
2.3. Materials
Our auditory materials for each experiment included six CVCV minimal pairs. For the Consonant Length Experiment, the minimal pairs involved the singleton–geminate consonant contrast in medial position (e.g., [teki]-[tekːi]; see Table 1 for the full set). In the Vowel Length Experiment, the six CVCV minimal pairs involved the short–long vowel contrast in the first syllable (e.g., [teki]-[teːki]; see Table 2 for the full set). We chose to employ minimal pairs in the training set to increase the likelihood that participants would notice and encode the length contrasts during the experimental session (Llompart and Reinisch 2021). In addition to the six singleton–geminate consonant pairs and six short–long vowel pairs, six words involving geminate consonants and long vowels ([teːkːi], [haːkːo], [hoːsːa], [meːsːo], [kiːtːe], and [keːtːo]) were used as foils in the final test of both experiments. Most but not all of the 24 words were nonwords in Japanese; importantly, from the perspective of our participants, who had no prior Japanese experience, all words were unfamiliar. Four productions of each word were recorded by a phonetically trained woman speaker of Japanese, who produced each word with pitch accent on the first syllable. One token of each word was selected for use in the word learning phase and criterion tests, and a second was selected for the final test.
Each word was randomly assigned a non-object ‘meaning’ represented by a line-drawing (Kroll and Potter 1984). See Table 1 and Table 2 for the full list of the word forms and associated non-object images used in the Consonant Length and Vowel Length Experiments.
Table 1.
Word forms and non-object images/meanings used in the Consonant Length Experiment. Participants heard the auditory word forms that appear under the column heading “Hear” and were presented the non-object images that appear under “See”.
Table 1.
Word forms and non-object images/meanings used in the Consonant Length Experiment. Participants heard the auditory word forms that appear under the column heading “Hear” and were presented the non-object images that appear under “See”.
| Hear | See | Hear | See | Hear | See | Hear | See | |
|---|---|---|---|---|---|---|---|---|
| [teki] | ![]() | [tekːi] | ![]() | [kite] | ![]() | [kitːe] | ![]() | |
| [hako] | ![]() | [hakːo] | ![]() | [keto] | ![]() | [ketːo] | ![]() | |
| [hosa] | ![]() | [hosːa] | ![]() | [meso] | ![]() | [mesːo] | ![]() |
Table 2.
Word forms and non-object images/meanings used in the Vowel Length Experiment. Participants heard the auditory word forms that appear under the column heading “Hear” and were presented the non-object images that appear under “See”.
Table 2.
Word forms and non-object images/meanings used in the Vowel Length Experiment. Participants heard the auditory word forms that appear under the column heading “Hear” and were presented the non-object images that appear under “See”.
| Hear | See | Hear | See | Hear | See | Hear | See | |
|---|---|---|---|---|---|---|---|---|
| [teki] | ![]() | [teːki] | ![]() | [kite] | ![]() | [kiːte] | ![]() | |
| [hako] | ![]() | [haːko] | ![]() | [keto] | ![]() | [keːto] | ![]() | |
| [hosa] | ![]() | [hoːsa] | ![]() | [meso] | ![]() | [meːso] | ![]() |
2.4. Procedure
This study was completed entirely online and remotely. Participants followed a study link available to them from the participant recruitment platform (Sona; https://www.sona-systems.com/, accessed on 5 February 2021). The link took them to a Qualtrics (https://www.qualtrics.com/, accessed on 5 February 2021) survey where they provided their informed consent by selecting “I agree to participate”. Next, they were redirected to PsychoPy/Pavlovia (pavlovia.org), which was used to control the experiment. The experiments consisted of three phases: word learning, criterion test, and final test. Following the experimental tasks, participants were redirected to Qualtrics where they completed a language background questionnaire.
2.4.1. Word Learning
The word learning phase consisted of two word learning blocks, each followed by a criterion test. During each word learning block, participants were presented with each of the twelve words together with the corresponding non-object meaning in a random order a total of 8 times. In each trial the presentation of the word and the image were presented simultaneously, and the image remained on the screen for 2 s. There was a one-second interval between word learning trials. Participants were instructed to “Learn the words and their meanings as well as possible”. No response was required during word learning.
2.4.2. Criterion Test
Each word learning block was followed by a Criterion Test consisting of an auditory word–picture matching task. During each criterion test, participants heard each of the 12 auditory word forms twice: once paired with the image it was paired with during exposure (‘match’ trial; [teki] paired with the image of a /teki/) and once with an image that had been paired with one of the other words (‘mismatch’ trial; [teki] paired with the image of a /hosa/) for a total of 24 trials (see Table 3). Participants were instructed to “Press the ‘y’ key if the image and the spoken word match. Press the ‘n’ key if the image and the spoken word DO NOT match.” Criterion Tests 1 and 2 followed the same principles, but each had a different random order and different mismatch pairings. The criterion test was self-paced with images and text remaining on the screen until participants made their response. The criterion test assessed whether each participant had sufficient knowledge of the words to proceed to the final test. During the criterion test, participants were not tested on length minimal pairs. Data from participants who did not achieve 90% accuracy or better on Criterion test 2 were excluded from analysis (See the Section 3 below for details).
Table 3.
Example of a match and mismatch criterion test trial for the word /teki/. Participants heard the auditory word forms that appear under the column heading “Hear” and were presented the non-object images that appear under “See”.
2.4.3. Final Test
The final test employed an auditory word–picture matching task consisting of 36 trials (12 match, 12 vowel mismatch (MismatchV), and 12 consonant mismatch (MismatchC)) and directly tested participants’ sensitivity to the length contrast of interest. New tokens of each of the auditory words were used to require generalization beyond the specific tokens participants heard in the earlier parts of the experiment.
In match trials, the correspondence between auditory word and the picture was consistent with the word learning phase (e.g., in the Consonant Length Experiment, [teki] was paired with the image of the /teki/, and [tekːi] was paired with the image of a /tekːi/ and in the Vowel Length Experiment [teki] was paired with the image of the /teki/, and [teːki] was paired with the image of a /teːki/). In mismatch consonant trials (MismatchC), the length of the consonant in auditory input mismatched the length of the consonant in the pictured word (e.g., in the Consonant Length Experiment, [tekːi] was presented with the image of the /teki/ and [teki] was paired with the image of the /tekːi/ and in the Vowel Length Experiment, [tekːi] was presented with the image of the /teki/ and [teːkːi] was paired with the image of the /teːki/). In the MismatchV trials, the length of the vowel in the auditory input mismatched the length of the vowel in the pictured word (in the Consonant Length Experiment, [teːki] was paired with the image of the /teki/ and [teːkːi] was paired with the image of the /tekːi/, and in the Vowel Length Experiment, [teːki] was presented with the image of the /teki/ and [teki] was presented with the image of the /teːki/). Participants provided their response by pressing the ‘y’ key to indicate a match and the ‘n’ key to indicate a mismatch between the auditory form and the image. See Table 4 and Table 5 below for an example of final test items for the Consonant and Vowel Length Experiments, respectively. The final test was self-paced where images and text remained on the screen until participants registered a response. The next trial was presented following a delay of 1 s.
Table 4.
Example final test items for the Consonant Length Experiment. Participants heard the auditory word forms that appear under the column heading “Hear” and were presented the non-object images that appear under “See”.
Table 5.
Example final test items for the Vowel Length Experiment. Participants heard the auditory word forms that appear under the column heading “Hear” and were presented the non-object images that appear under “See”.
2.5. Predictions
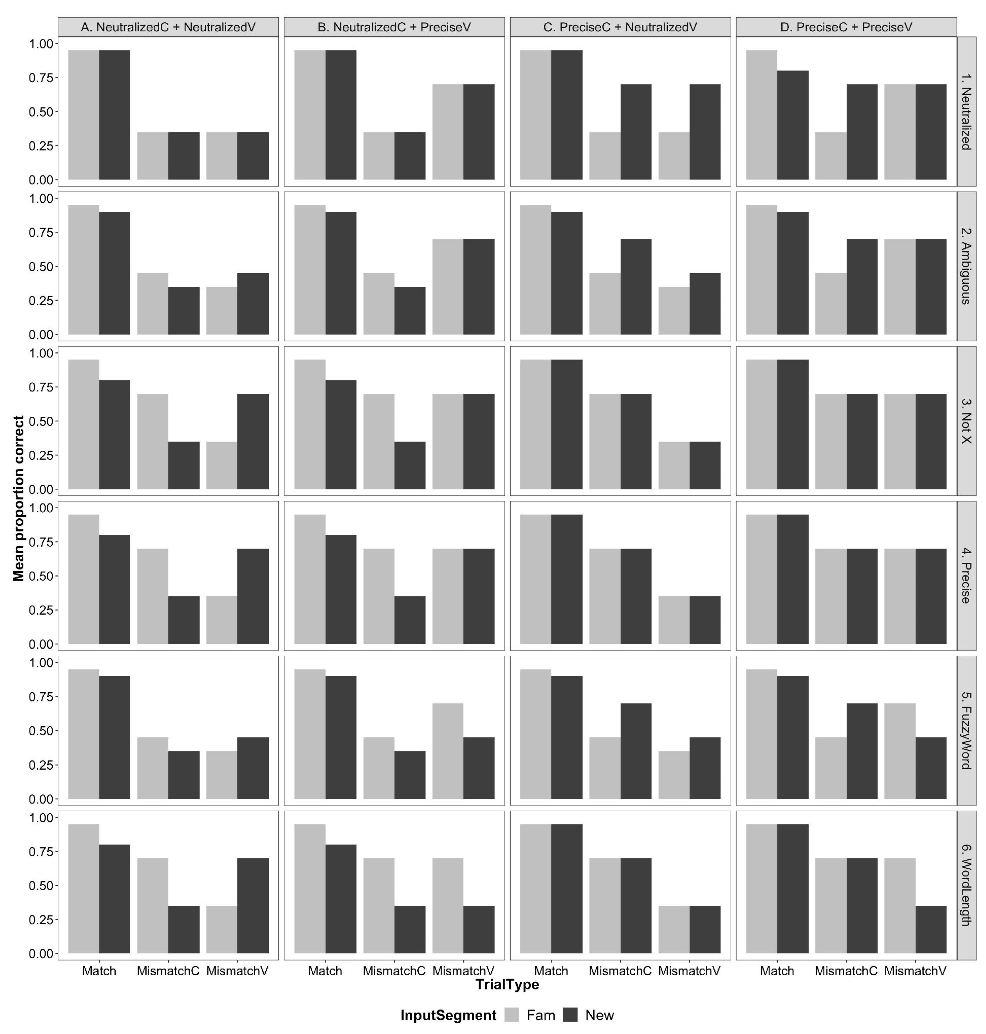
Following Barrios and Hayes-Harb (2021) and Hayes-Harb and Barrios (2019), we elaborated possible scenarios relating to the nature of the learner’s perceptual and phonolexical representations of consonant and vowel length, each with a set of predictions for accuracy on the auditory word–picture matching test. The full set of consonant and vowel length predictions are spelled out in Supplementary Materials Tables S1 and S2, and a visual summary of the predictions are provided in Figure 1 and Figure 2. We make the assumption that English does not have phonological vowel or consonant length contrasts, and we refer to auditory inputs involving short consonant and vowels (e.g., /k/ and /e/) as the familiar category and long consonants or vowels (e.g., /kː/ and /eː/) as “new”.
We hypothesize that learners’ perceptual representations of novel contrasts will be either neutralized or precise. Given our study materials, this leads to four possible patterns depending on whether consonant length and/or vowel length contrasts are neutralized perceptually or encoded precisely in perceptual representations (these are the column labels (A–D) in Figure 1 and Figure 2):
- NeutralizedC + NeutralizedV—Auditory inputs involving the new C and V category are perceived as involving only the familiar C and V categories (e.g., input [teːkːi] is perceived as [teki]).
- NeutralizedC + PreciseV—Auditory inputs involving the new C category are perceived as involving the familiar C category, whereas the new V category is perceived precisely (e.g., input [teːkːi] is perceived as [teːki]).
- PreciseC + NeutralizedV—Auditory inputs involving the new C category are perceived precisely, whereas the new V category is perceived as involving the familiar V category (e.g., input [teːkːi] is perceived as [tekːi]).
- PreciseC + PreciseV—Auditory inputs involving the new C and V category are perceived precisely (e.g., input [teːkːi] is perceived as [teːkːi]).
We also consider the following hypotheses about the learner’s phonolexical representation of the length contrasts (these are rows 1–4 in Figure 1 and Figure 2):
- (1)
- Neutralized—the representation of the new category is neutralized to familiar category (e.g., /kː/ is encoded as /k/ or /eː/ is encoded as /e/).
- (2)
- Ambiguous—the representation of the new category is neither matched, nor mismatched by auditory input (e.g., /kː/ or /eː/ are encoded as /?/ which are contacted by inputs involving both [kː] and [k] or [eː] and [e]).
- (3)
- Not X—the representation of the new category is differentiated from the familiar category but imprecise (e.g., /kː/ is encoded as /Not k/ or /eː/ is encoded as /Not e/).
- (4)
- Precise—the representation of the new category is differentiated from the familiar category and represented precisely (e.g., /kː/ is encoded as /kː/ or /eː/ is encoded as /eː/).
Finally, we also consider two additional hypotheses introduced by Hayes-Harb and Barrios (2019) about learners’ word form representations when these involve the new category, namely the “fuzzy word” and “word length” hypotheses described below (these are rows 5–6 in Figure 1 and Figure 2).
- (5)
- Fuzzy Word—the entire phonolexical representations of words involving the new category are ambiguous (e.g., /tekːi/ and /teːki/ are encoded as /(teki)?/), such that the representation is contacted by inputs involving either familiar or new categories. For example, assuming precise perceptual representations (D above), participants would correctly accept [tekːi] or [teːki] matches, but would find it difficult to reject [teki] and [teːkːi] mismatches.
- (6)
- Word Length—the representations of words involving the new category are recognized as involving phonological length, but length is not associated with any particular segment (e.g., /tekːi/ and /teːki/ are encoded as /tekiLONG/). For example, assuming precise perceptual representations (D above), participants would correctly accept [tekːi] or [teːki] matches and easily reject a [teki] mismatch, but would have difficulty rejecting [teːkːi] as a mismatch since it includes at least one long segment.
Figure 1.
Predictions for the Consonant Length Experiment. See Supplementary Materials Table S1 for how these ordinal predictions are computed.
As a starting point for evaluating study results with respect to the predictions outlined above, we might expect any predicted differences among the bars to be observed as significant differences in our data, and any predicted identity among the bars to be observed as non-significant differences in our data.
Figure 2.
Predictions for the Vowel Length Experiment. See Supplementary Materials Table S2 for how these ordinal predictions are computed.
3. Results
The data from the 117 participants who met our age- and language-based inclusionary criteria consisted of a total of 9828 observations (24 trials from Criterion Test 1, 24 from Criterion Test 2, and 36 from the Final Test per participant). Of these, 607 (6.1% of the data) involved response times that exceeded 4 s and were excluded from analysis.
In order to determine whether participants had sufficient knowledge of the new words, we computed each participant’s mean accuracy for all trials in Criterion Test 2. As a reminder, the criterion tests did not test participants’ ability to encode and use the length contrasts of interest, but rather their memory of the word–object associations. As noted above, the data from 46 participants who failed to reach 90% accuracy or better on Criterion Test 2 were excluded from analysis. Our final data set thus consisted of 5613 observations (Criterion Test 1 = 1586, Criterion Test 2 = 1621, Final Test = 2406) from 71 participants who met our performance-based criteria.
Next, group and participant mean proportion correct responses (‘Yes’/match responses for Match trials and ‘No’/mismatch responses to Mismatch trials) for the Final Test were computed by TrialType (Match, MismatchC, MismatchV) and InputSegment (Familiar, New) for both the Consonant and Vowel Length Experiments (See Figure 3, Figure 4, Figure 5 and Figure 6 below).
Our statistical analysis of the data consisted of a Generalized Linear Mixed Effects Model with binomial linking function (accurate responses = 1, inaccurate = 0) using the lme4 package (version 1.1-15; Bates et al. 2015) of R (version 3.3.1). Fixed effects were dummy/treatment coded and included TrialType (Match, MismatchC, MismatchV) and InputSegment (Familiar, New) with Match and Familiar as the reference group. We included random by-participant and by-item intercepts as well as random by-participant slopes for TrialType. Models were fit using a maximum likelihood technique. For each data set (Consonant Length and Vowel Length experiment), we used a likelihood ratio test to compare two models one with and one without the interaction of TrialType and InputSegment. Planned pairwise comparisons were conducted using simultaneous tests for general linear hypotheses with the multcomp package in R (Hothorn et al. 2008). p-values were adjusted using the single-step method and a family-wise error rate protection via Bonferroni correction.
3.1. Experiment 1: Consonant Length
3.1.1. Group Pattern
For the consonant experiment, mean proportion correct for Match trials was high regardless of the InputSegment (Familiar = 0.94, New = 0.93), whereas mean proportion correct for Mismatch trials was generally low (MismatchC-Familiar = 0.36, MismatchC-New = 0.31, MismatchV-Familiar = 0.36, MismatchC-New = 0.26). These results are shown in Figure 3.
Figure 3.
Bar plot of group mean accuracy for the Consonant Length experiment (N = 35) by TrialType (Match, MismatchC, MismatchV) and InputSegment (Familiar, New). Error bars represent lower and upper Gaussian confidence limits based on the t-distribution.
For the Consonant Length Experiment, model comparison revealed that inclusion of the TrialType by InputSegment interaction did not significantly improve the fit of the model (χ2(2) = 1.01, p = 0.60), and thus was not statistically justified. Our statistical analysis of the Consonant Length Experiment revealed significant main effects of TrialType [F(2) = 36.50] and of InputSegment [F(1) = 4.01].
To further understand the main effect of TrialType, pairwise comparisons were conducted as described above. Performance on the Match trials was significantly more accurate than performance on the MismatchC (β = 5.26, SE = 0.91, z = 5.73, p < 0.001) and MismatchV (β = 4.73, SE = 0.64, z = 7.34, p < 0.001) TrialTypes. No significant difference was observed between the MismatchC and MismatchV TrialTypes (β = −0.53, SE = 0.55, z = −0.96, p = 0.58). The simple effect of InputSegment was not significant for Match (β = 0.14, SE = 0.49, z = 0.29, p = 0.99), MismatchC (β = 0.38, SE = 0.39, z = 0.96, p = 0.88), or MismatchV (β = 73, SE = 0.37, z = 2.01, p = 0.21) TrialTypes.
The significant difference between the Match and the MismatchC/MismatchV trials is consistent with all 24 scenarios. The nonsignificant difference between the MismatchC and MismatchV conditions, in combination with the nonsignificant differences between Familiar and New for the MismatchC and the MismatchV conditions, are most consistent with Scenario 1A, where listeners have perceptual representations in which consonant length and vowel length contrasts have been neutralized and where their phonolexical representations also neutralized the consonant length contrast.
3.1.2. Individual Results
We also computed the mean proportion correct by TrialType and InputSegment for each of the 35 individuals in the Consonant Length Experiment. These data are shown in Figure 4 below, where each facet provides the mean proportion correct for an individual participant. What can easily be observed from these descriptive patterns is that individuals actually vary a great deal in their performance and that their performance also varies based on TrialType and InputSegment. Eight of the 35 participants in the Consonant Length Experiment (CL08, CL10, CL11, CL15, CL20, CL25, CL30, CL31) clearly exhibit the group pattern. Two other individuals (CL09 and CL12) also show patterns that are similar to the group pattern of performance. Patterns that are consistent with other scenarios are also observed: for example, CL13 demonstrated ceiling performance on all six experimental conditions which is consistent with them having precise perceptual representations for consonant and vowel length, as well as precise (or not X) phonolexical encoding of the consonant length contrasts.
On the basis of these descriptive patterns of performance by individuals, we have attempted a rough classification of individuals’ performance (see Table 6) per the predictions that were laid out in Figure 1. Of the 35 participants, this rough classification was possible for 31; 4 were not readily classifiable according to the set of predicted patterns (CL16, CL21, CL28, and CL32). Due to the large number of predicted patterns, current limitations on our understanding of the expected magnitude of various predicted differences, and the limited number of observations for each participant, we have not submitted the individual data to inferential statistical analyses. Thus, this classification of individuals’ performance is impressionistic at this point, and our impressions may differ from those of the reader (especially in the cases that are italicized in Table 6). Indeed, we hope to set the stage for further negotiation of the methodological and analytical complexities of this approach, and minimally to highlight the conceptual consequences of laying out this fuller set of hypothesized types of perceptual and phonolexical representations.
Table 6.
The 31 individual participants in the Consonant Length Experiment who exhibited patterns consistent with each of the 24 scenarios with respect to perceptual and phonolexical encoding. Note that since the predictions for Not X and Precise phonolexical encoding are identical, these two rows are collapsed in this table. Adjacent cells where the same ordinal accuracies are predicted have also been merged to indicate the ambiguity. In addition, scenarios 2C and 5C, as well as scenarios 1A, 3D and 4D also make the same ordinal accuracy predictions. Italics are used to indicate categorizations of observed patterns that are less clear fits to a scenario. Gray cells correspond to hypothesized scenarios which are unattested in our data.
Figure 4.
Bar plots of participants’ mean accuracy for the Consonant Length Experiment (N = 35) by TrialType (Match, MismatchC, MismatchV) and InputSegment (Familiar, New). Facets represent the aggregated data for an individual participant for each of the six experimental conditions.
3.2. Experiment 2: Vowel Length
3.2.1. Group Pattern
The results of the vowel experiment are shown in Figure 5. As before, the group mean proportion correct for Match trials was high regardless of InputSegment (Familiar = 0.95, New = 0.93). There was only a small numeric difference in mean proportion correct by InputSegment for the MismatchV TrialType (MismatchV-Familiar = 0.47, MismatchV-New = 0.52); a larger difference in mean proportion correct was observed for the MismatchC TrialType (MismatchC-Familiar = 0.52, MismatchC-New = 0.23).
Figure 5.
Bar plot of group mean accuracy for the Vowel Length experiment (N = 36) by TrialType (Match, MismatchC, MismatchV) and InputSegment (Familiar, New). Error bars represent lower and upper Gaussian confidence limits based on the t-distribution.
In our statistical analysis of the Vowel Length Experiment, we again compared a model with and without the TrialType by InputSegment interaction. In this case, model comparison revealed that the model that included the interaction term significantly improved the model fit (χ2(2) = 23.47, p < 0.001), and thus inclusion of the interaction term was statistically justified. Our statistical analysis revealed a main effect of TrialType [F(2) = 30.91] and InputSegment [F(1) = 15.26], as well as a TrialType by InputSegment interaction [F(2) = 18.10].
Planned pairwise comparisons revealed a significant difference between Match and MismatchC (β = 3.91, SE = 0.48, z = 8.10, p < 0.001) and between Match and MismatchV (β = 2.98, SE = 0.58, z = 5.14, p < 0.001) TrialTypes. However, no significant difference between MismatchC and MismatchV TrialTypes (β = −0.93, SE = 0.46, z = −2.02, p = 0.22) was observed. A significant simple effect of InputSegment was observed for the MismatchC TrialType (β = 2.07, SE = 0.31, z = 6.66, p < 0.001), with significantly greater proportion of correct responses observed for when the auditory input involved the familiar than the new category. However, the simple effect of InputSegment was not significant for either the Match (β = 0.36, SE = 0.43, z = 0.85, p = 0.78) or MismatchV (β = −0.42, SE = 0.29, z = −1.46, p = 0.37) TrialTypes.
Again, the significant difference between the Match and the MismatchC/MismatchV trials is consistent with all 24 scenarios. The significant simple effect of TrialType for the MismatchC trials, in combination with the lack of such an effect for the Match and MismatchV trials, is most consistent with Scenario 6D, where participants have precise perceptual representations of consonant and vowel length and their phonolexical representations encode whether length is present but are ambiguous as to which segments (C or V) are long.
3.2.2. Individual Results
We also computed the mean proportion correct by TrialType and InputSegment for each of the 36 individuals in the Vowel Length Experiment (See Figure 6). These data revealed a great deal of individual variation. As with the Consonant Length Experiment, we attempted a rough classification of individuals’ performance (see Table 7) per the predictions that were laid out in Figure 2. Of the 36 participants, this rough classification was possible for 33; 3 were not readily classifiable according to the set of predicted patterns (VL06, VL27, VL32). An amount of 14 of them exhibited the group pattern (VL01, VL02, VL03, VL07, VL14, VL18, VL19, VL22, VL28, VL29, VL30, VL33, VL34, VL36). An additional six participants (VL08, VL11, VL13, VL21, VL24, VL35) exhibited a pattern consistent with neutralized perceptual representations of vowel and consonant length and neutralized phonolexical representations of vowel length.
Table 7.
Individual participants in the Vowel Length Experiment who exhibited patterns consistent with each of the 24 scenarios with respect to perceptual and phonolexical encoding. Note that since the predictions for Not X and Precise phonolexical encoding are identical, these two rows are collapsed in this table. Adjacent cells where the same ordinal accuracies are predicted have also been merged to indicate the ambiguity. In addition, scenarios 2B and 5B, as well as scenarios 1A, 3D, and 4D also make the same ordinal accuracy predictions. Italics are used to indicate categorizations of observed patterns that are less clear fits to a scenario. Gray cells correspond to hypothesized scenarios which are unattested in our data.
Figure 6.
Bar plots of participants’ mean accuracy in the Vowel Length Experiment (N = 36) by TrialType (Match, MismatchC, MismatchV) and InputSegment (Familiar, New). Facets represent the aggregated data for an individual participant for each of the six experimental conditions.
4. Discussion
The first goal of the present study was to identify and clarify hypotheses regarding the nature of learners’ phonolexical representations, and especially to tease apart empirically- and logically-distinct meanings captured by the umbrella term “fuzziness”. A review of the relevant literature produced several empirically- and logically-motivated hypotheses with respect to the nature of representational fuzziness. We identified and operationalized four possible perceptual representations (NeutralizedC + NeutralizedV, NeutralizedC + PreciseV, PreciseC + NeutralizedV, or PreciseC + PreciseV) and six possible phonolexical representations (Neutralized, Ambiguous, Not X, Precise, Fuzzy Word, or Word Length).
We pursued our second goal of carefully computing the full set of empirical predictions produced by these hypothesized types of perceptual and phonolexical representations. This produced a set of 24 possible scenarios, each involving specific empirical predictions. This exercise revealed that there is a great deal of overlap among the scenarios regarding predicted behavior patterns. A second observation is that statistically distinguishing among the scenarios is complicated by the need to rely on the magnitude of differences among conditions to distinguish some scenarios from each other. When combined with the number of conditions (and the number of comparisons involved), it is not yet obvious how these patterns of results are best evaluated. We proposed and implemented a simplistic technique for this evaluation based on pairwise comparisons of individual conditions, and hope that future studies will provide opportunities for increasingly sophisticated analyses to empirically investigate which of the scenarios are attested and unattested, with the aim of appropriately expanding/constraining the hypothesis space.
Finally, our third goal was to provide new empirical data allowing us to illustrate an approach to how we might empirically test these predictions. The group results in the Consonant Length Experiment revealed a pattern that was most consistent with the participants neutralizing consonant and vowel length contrasts in their perceptual representations and neutralizing consonant length contrasts in their phonolexical representations (Scenario 1A). By contrast, the group data for the Vowel Length Experiment was most consistent with the scenario in which learners have precise perceptual representations of consonant and vowel length, and phonolexical representations that encode phonological length but which are ambiguous as to which segments in the words are long (Scenario 6D). In order to understand whether group patterns reflect the grammars of individual language learners, we also considered individual learners’ profiles. In both experiments, there were a number of individuals who exhibited the group pattern, suggesting that the group pattern reflects the grammars of individual learners to some extent. However, individual language learners also exhibited a variety of other scenarios as well.
The group pattern for the Consonant Length Experiment was not entirely unexpected. First, participants in this study had no prior experience with phonological length. Moreover, while the mini-lexicon included minimal pairs to highlight the consonant length distinctions, participants in fact received relatively little exposure (only 192 word learning exposure trials; 12 words × 8 repetitions × 2 word learning blocks) and no feedback was provided (See, e.g., Goudbeek et al. 2008 for evidence that speech category learning is supported by trial-by-trial feedback). Additionally, the criterion test, which did not test participants on their ability to distinguish length minimal pairs, may have had the effect of downplaying the relevance of the length contrasts.
The Vowel Length Experiment findings are more surprising as, taken at face value, they suggest that following brief exposure to a mini-lexicon including vowel length minimal pairs, inexperienced English listeners may have established precise perceptual representations of both vowel and consonant length. This would seem unlikely for all the reasons that the consonant length results were anticipated. How could it be that under the same exposure and test conditions, participants sampled from the same population exhibited neutralized perceptual representations for consonant and vowel length when exposure involved consonant length, but precise perceptual representations of consonant and vowel length when exposure involved vowel length contrasts? One possibility is that the individuals recruited into the two experiments differed in their pretraining perceptual sensitivity to phonological length contrasts. While we cannot immediately rule out this possibility, it would seem unlikely given that participants were randomly assigned to the two experiments and the samples were not small. Another possibility is that the vowel length contrast is perceptually more salient than the consonant length contrast, perhaps because English does not have consonant length contrasts, though duration is a secondary cue to the tense-lax distinction for vowels (Hillenbrand et al. 2000). A final possibility is that the arguably low variability exposure conditions facilitated learning as indexed by our final test. While two auditory tokens were used for each of the 12 words (one token for exposure and criterion test, and another for final test), in order to ensure that participants’ ability to distinguish length contrasts extended beyond trained tokens, the experiment still involved only a single talker. The low variability exposure in this experiment may have allowed participants to pick up on low-level differences between the stimuli and perform well on the final test that involved only generalization to new tokens of familiar words spoken by a familiar talker (that is, no generalization to new talkers or phonological contexts was required).
Ultimately, the difference in profiles observed between the Consonant Length Experiment and Vowel Length Experiment remains interesting. Namely, that exposure to vowel length minimal pairs led participants in the Vowel Length Experiment to develop perceptual representations that were sensitive not only to vowel length, but extended to consonant length as well, while consonant length minimal pairs did not trigger the same perceptual sensitivity for participants in the Consonant Length Experiment. This asymmetry suggests the possibility that learners acquiring languages with both consonant and vowel length may benefit differentially from vowel vs. consonant length exposure. This hypothesis may have implications for language learning and teaching and should be taken up in future investigation. Future studies involving additional listeners, talkers, phonological contexts, and more unique tokens of each auditory word are also needed to determine whether the findings of the Consonant and Vowel Length Experiments are robust to such methodological adjustments.
4.1. Individual Learner Patterns
As mentioned above, the data from individual language learners exhibited a variety of different profiles. For both the Consonant and Vowel Length Experiments, the group pattern was the most frequent pattern across participants, suggesting that the group pattern indeed characterizes the grammar of (many of) the individual learners as opposed to an “average” grammar that is unattested in individual profiles. Yet, the group pattern is not representative of all of the participants. Other frequent patterns include: Scenario 6D: PreciseC + PreciseV perceptual representations, WordLength phonolexical representations (8/35 participants in the Consonant Length Experiment), Scenario 1A: NeutralizedC + NeutralizedV perceptual representation, Neutralized phonolexical representations (6/36 participants in the Vowel Length Experiment). A number of other patterns are also attested in the Consonant Length and Vowel Length Experiments (See Table 6 and Table 7 for attested patterns).
Interestingly, some patterns are unattested in our data. Individual data consistent with scenarios 1C, 2B, 2C, 2D, and 3 and 4B were absent from both the Consonant and Vowel Length Experiments. Additionally, scenarios 5C and 6C and scenarios 1B, 3 and 4D, and 5B were unattested in the Consonant and Vowel Length Experiments, respectively. The question that arises is why do these gaps occur? One possibility is that some of them reflect the relative learnability of vowel and consonant length representations. The observation that only one participant in the Consonant Length Experiment exhibited a pattern consistent with PreciseC + NeutralizedV perceptual representations though six show the NeutralizedC + PreciseV perceptual representations pattern may be consistent with this. Another possible explanation for the gaps is that certain types of representations emerge only following substantially more experience. This is a question that could be addressed by providing inexperienced learners with additional exposure or recruiting experienced learners.
Finally, it is also worth noting that some observed patterns were not predicted under any scenario. For example, with respect to relative performance on Match and Mismatch trials, we expected that it would be more difficult to reject mismatches than to accept match trials. While this was generally true, some participants were more accurate on one or more of the mismatch conditions than a match condition (CL03, CL05, CL28, CL35, VL04, VL10, VL14, VL22, VL23, VL28, VL36). Additionally, regarding Match trials, we also expected that if differential performance was observed for words involving familiar and new categories that it would be easier to accept matches involving the familiar than the new category. The opposite was not expected under any of the 24 scenarios. Yet, this pattern was also observed (CL03, CL05, CL19, CL27, CL28, VL06, VL07, VL15, VL23, VL31). These unexpected patterns may suggest that we are missing relevant hypotheses and/or that the individual data are too noisy to interpret with respect to the scenarios.
4.2. Limitations and Future Directions
Despite its promise of beginning to characterize and examine group and individual phonetic and phonolexical coding, the methodology used here does have its limitations. First, thinking about perceptual and phonolexical representations in this way can quickly lead to a proliferation of scenarios. Moreover, different scenarios sometimes make the same ordinal accuracy predictions. Some ambiguities occur across the four different types of perceptual representations (e.g., Not X and Precise), though different test phase foils might help to disambiguate. In other cases, ambiguities in the ordinal predictions for different phonolexical representation types arise for perceptual representations. For example, the ordinal predictions for Ambiguous, Not X, Precise, Fuzzy Word, and Word Length phonolexical representations are the same when perceptual representations neutralize both consonant and vowel length (Scenarios 2A, 3A, 4A, 5A, 6A). When perceptual representations involve Precise phonetic coding of consonant and vowel length, the ordinal predictions for Neutralized and Ambiguous phonolexical representations also overlap (Scenarios 1D and 2D). Finally, Scenarios 2C and 5C, and Scenarios 2B and 5B, also make the same ordinal predictions for the Consonant and Vowel Length Experiments, respectively. As noted above, in some cases, scenarios that characterize very different types of perceptual and phonolexical representations (e.g., Scenario 1A, 3D, and 4D), result in the same ordinal accuracy predictions. Ultimately, distinguishing among these scenarios also requires taking relative quantitative predictions into account. Indeed, we interpreted the group pattern for the Consonant Length Experiment and a number of individual profiles as better matches to Scenario 1A than to Scenario 3D or 4D because of the relatively high mean proportion correct scores for match trials, relatively low mean proportion correct scores, and lack of difference between them for mismatch trials. A final observation is that individual data rarely match scenarios exactly. Instead, interpreting individual data requires the experimenter to make a call about what aspects of the data to prioritize when categorizing profiles.
In conclusion, as the nature and use of language learners’ phonolexical representations gain more attention, researchers must contend with the attendant empirical and theoretical challenges. Studies of lexical processing have led to valuable theoretical insights regarding the independence of perceptual and phonolexical representations, the ways in which these representations may vary in their phonological content, and the mappings between lexical processing patterns and the types of representations that may produce them. We believe that by computing the scenarios predicted by the various uses of terms like “fuzziness”, and comparing these predictions to empirical findings, we as a field will be better prepared to more carefully study and characterize learners’ perceptual and phonolexical representations. At this point, this exercise raises more questions than it answers. Ultimately, understanding the perceptual and phonolexical sources of learner difficulty has important implications for language teaching, as the ability to characterize the source(s) of learners’ difficulty is expected to facilitate individualized language instruction. Future work should address the methodological limitations noted here so that it is possible to distinguish among the full set of possible scenarios and characterize the profiles of individuals and groups of language learners with respect to the locus of difficulty.
Supplementary Materials
The following supporting information can be downloaded at: https://www.mdpi.com/article/10.3390/languages9120369/s1, Table S1: Auditory word-picture matching scenarios and ordinal accuracy predictions for the Consonant Length Experiment. Table S2: Auditory word-picture matching scenarios and ordinal accuracy predictions in the Vowel Length Experiment.
Author Contributions
Conceptualization, S.L.B. and R.H.-H.; Methodology, S.L.B. and R.H.-H.; Software, S.L.B.; Validation, S.L.B. and R.H.-H.; Formal analysis, S.L.B., R.H.-H. and J.C.M.; Investigation, S.L.B. and R.H.-H.; Resources, S.L.B. and R.H.-H.; Data curation, S.L.B., R.H.-H. and J.C.M.; Writing—original draft, S.L.B., R.H.-H. and J.C.M.; Writing—review and editing, S.L.B., R.H.-H. and J.C.M.; Visualization, S.L.B., R.H.-H. and J.C.M.; Supervision, S.L.B. and R.H.-H.; Project administration, S.L.B. and R.H.-H. All authors have read and agreed to the published version of the manuscript.
Funding
This research received no external funding.
Institutional Review Board Statement
This study was conducted according to the guidelines of the Declaration of Helsinki, and approved by the Institutional Review Board (or Ethics Committee) of the University of Utah.
Informed Consent Statement
Informed consent was obtained from all subjects involved in this study.
Data Availability Statement
The study materials, anonymized data sets, and R code used in this study are openly available in the Open Science Framework at https://osf.io/rac5v/, accessed on 17 November 2023.
Acknowledgments
We are grateful to our Japanese speaker for producing the auditory stimuli, our study participants for their contribution to this research, members of the Speech Acquisition Lab at the University of Utah for their help with data collection and their input on the project at various stages, the participants of the 13th annual Pronunciation in Second Language Learning and Teaching Conference pre-conference workshop on “Investigating the phonological structure of the L2 lexicon: Designing and conducting experiment” and the 2022 “Bilingual Lexical Representations Workshop”, as well as the associate editors and reviewers for their invaluable feedback on this work.
Conflicts of Interest
The authors declare no conflicts of interest.
References
- Amengual, Mark. 2016. The perception of language-specific phonetic categories does not guarantee accurate phonological representations in the lexicon of early bilinguals. Applied Psycholinguistics 37: 1221–51. [Google Scholar] [CrossRef]
- Barrios, Shannon, and Rachel Hayes-Harb. 2021. L2 processing of words containing English /æ/-/ɛ/ and /l/-/ɹ/ contrasts, and the uses and limits of the auditory lexical decision task for understanding the locus of difficulty. Frontiers in Communication 6: 144. [Google Scholar] [CrossRef]
- Bates, Dougla, Martin Mächler, Benjamin M. Bolker, and Steven C. Walker. 2015. Fitting Linear Mixed-Effects Models Using lme4. Journal of Statistical Software 67: 1–48. [Google Scholar] [CrossRef]
- Broersma, Mirjam. 2012. Increased lexical activation and reduced competition in second-language listening. Language and Cognitive Processes 27: 1205–24. [Google Scholar] [CrossRef]
- Cheng, Lauretta S. P., Danielle Burgess, Natasha Vernooij, Cecilia Solís-Barroso, Ashley McDermott, and Savithry Namboodiripad. 2021. The problematic concept of native speaker in psycholinguistics: Replacing vague and harmful terminology with inclusive and accurate measures. Frontiers in Psychology 12: 715843. [Google Scholar] [CrossRef]
- Cook, Svetlana V., and Kira Gor. 2015. Lexical access in L2: Representational deficit or processing constraint? The Mental Lexicon 10: 247–70. [Google Scholar] [CrossRef]
- Cook, Svetlana V., Nick B. Pandža, Alia K. Lancaster, and Kira Gor. 2016. Fuzzy nonnative phonolexical representations lead to fuzzy form-to-meaning mappings. Frontiers in Psychology 7: 1345. [Google Scholar] [CrossRef] [PubMed]
- Darcy, Isabelle. 2022. From fuzzy to fine-grained representations in the developing lexicon. Bilingualism: Language and Cognition 25: 206–7. [Google Scholar] [CrossRef]
- Darcy, Isabelle, Danielle Daidone, and Chisato Kojima. 2013. Asymmetric lexical access and fuzzy lexical representations in second language learners. Mental Lexicon 8: 372–420. [Google Scholar] [CrossRef]
- Dietrich, Christiane, Daniel Swingley, and Janet F. Werker. 2007. Native language governs interpretation of salient speech sound differences at 18 months. Proceedings of the National Academy of Sciences of the United States of America 104: 16027–31. [Google Scholar] [CrossRef]
- Escudero, Paola, Rachel Hayes-Harb, and Holger Mitterer. 2008. Novel second-language words and asymmetric lexical access. Journal of Phonetics 36: 345–60. [Google Scholar] [CrossRef]
- Flores, Nelson, and Jonathan Rosa. 2019. Bringing race into second language acquisition. Modern Language Journal 103: 145–51. [Google Scholar] [CrossRef]
- Goudbeek, Martijn, Anne Cutler, and Roel Smits. 2008. Supervised and unsupervised learning of multidimensionally varying non-native speech categories. Speech Communication 50: 109–25. [Google Scholar] [CrossRef][Green Version]
- Hayes-Harb, Rachel, and Kyoko Masuda. 2008. Development of the ability to lexically encode novel second language phonemic contrasts. Second Language Research 24: 5–33. [Google Scholar] [CrossRef]
- Hayes-Harb, Rachel, and Shannon Barrios. 2019. Investigating the phonological content of learners’ “fuzzy” lexical representation for new L2 words. In Proceedings of the 10th Pronunciation in Second Language Learning and Teaching Conference. Edited by John Levis, Charles Nagle and Erin Todey. Ames: Iowa State University, pp. 55–69. [Google Scholar]
- Hillenbrand, James M., Michael J. Clark, and Robert A. Houde. 2000. Some effects of duration on vowel recognition. The Journal of the Acoustical Society of America 108: 3013–22. [Google Scholar] [CrossRef]
- Hothorn, Torsten, Frank Bretz, and Peter Westfall. 2008. Simultaneous inference in general parametric models. Biometrical Journal. Biometrische Zeitschrift 50: 346–63. [Google Scholar] [CrossRef] [PubMed]
- Kroll, Judith F., and Mary C. Potter. 1984. Recognizing words, pictures, and concepts: A comparison of lexical, object, and reality decisions. Journal of Verbal Learning and Verbal Behavior 23: 39–66. [Google Scholar] [CrossRef]
- Llompart, Miquel, and Eva Reinisch. 2021. Lexical representations can rapidly be updated in the early stages of second-language word learning. Journal of Phonetics 88: 101080. [Google Scholar] [CrossRef]
- Mugitani, Ryoko, Ferran Pons, Laurel Fais, Christiane Dietrich, Janet F. Werker, and Shigeaki Amano. 2009. Perception of vowel length by Japanese- and English-learning infants. Developmental Psychology 45: 236–47. [Google Scholar] [CrossRef] [PubMed]
- Otheguy, Ricardo, Ofelia García, and Wallis Reid. 2015. Clarifying translanguaging and deconstructing named languages: A perspective from linguistics. Applied Linguistics Review 6: 281–307. [Google Scholar] [CrossRef]
- Pallier, Christophe, Angels Colomé, and Núria Sebastián-Gallés. 2001. The influence of native-language phonology on lexical access: Exemplar-based versus abstract lexical entries. Psychological Science 12: 445–49. [Google Scholar] [CrossRef] [PubMed]
- Sebastián-Gallés, Núria, Sagrario Echeverría, and Laura Bosch. 2005. The influence of initial exposure on lexical representation: Comparing early and simultaneous bilinguals. Journal of Memory and Language 52: 240–55. [Google Scholar] [CrossRef]
- Weber, Andrea, and Anne Cutler. 2004. Lexical competition in non-native spoken-word recognition. Journal of Memory and Language 50: 1–25. [Google Scholar] [CrossRef]
- Wise, Nancy. 2011. Access to special education for exceptional students in French immersion programs: An equity issue. The Canadian Journal of Applied Linguistics 14: 177–93. [Google Scholar]
Disclaimer/Publisher’s Note: The statements, opinions and data contained in all publications are solely those of the individual author(s) and contributor(s) and not of MDPI and/or the editor(s). MDPI and/or the editor(s) disclaim responsibility for any injury to people or property resulting from any ideas, methods, instructions or products referred to in the content. |
© 2024 by the authors. Licensee MDPI, Basel, Switzerland. This article is an open access article distributed under the terms and conditions of the Creative Commons Attribution (CC BY) license (https://creativecommons.org/licenses/by/4.0/).














