Assessing Rhotic Production by Bilingual Spanish Speakers
Abstract
1. Introduction
1.1. The Production of Spanish Rhotics by L1 Spanish Speakers
1.2. The Production of English Rhotics by L1 English Speakers
1.3. The Production of Spanish Rhotics by Heritage Speakers
1.4. The Present Study
- Do simultaneous bilingual heritage speakers of Spanish and sequential bilingual heritage speakers of Spanish pattern differently from each other and from L1 Spanish speakers in terms of their production of the alveolar tap and trill?
- If differences in the production of the alveolar tap and trill by heritage speakers of Spanish are found, is there evidence of transfer of the English alveolar approximant onto the Spanish rhotic system?
- Do L2 Spanish learners pattern differently from simultaneous bilingual heritage speakers of Spanish and sequential bilingual heritage speakers of Spanish in terms of their productions of these phonemes?
2. Method
2.1. Participants
2.2. Materials
2.3. Procedure
2.4. Analysis
3. Results
4. Discussion
5. Conclusions
Author Contributions
Funding
Acknowledgments
Conflicts of Interest
Appendix A
| Target Words | |
|---|---|
| tambores | cura |
| loro | oro |
| toro | zorro |
| mora | burro |
| cero | correa |
| pera | carro |
| coral | barra |
| Paris | barril |
| nariz | arroz |
References
- Amengual, Mark. 2018. Asymmetrical interlingual influence in the production of Spanish and English laterals as a result of competing activation in bilingual language processing. Journal of Phonetics 69: 12–28. [Google Scholar] [CrossRef]
- Au, Terry Kit-Fong, Leah M. Knightly, Sun-Ah Jun, and Janet S. Oh. 2002. Overhearing a Language during Childhood. Psychological Science 13: 238–43. [Google Scholar] [CrossRef] [PubMed]
- Benmamoun, Elabbas, Silvina Montrul, and Maria Polinsky. 2013. Heritage Languages and Their Speakers: Opportunities and Challenges for Linguistics. Theoretical Linguistics 39: 129–81. [Google Scholar] [CrossRef]
- Birdsong, David, Libby M Gertken, and Mark Amengual. 2012. Bilingual Language Profile: An Easy-to-Use Instrument to Assess Bilingualism. COERLL, University of Texas at Austin. Available online: https://sites.la.utexas.edu/bilingual/ (accessed on 2 November 2020).
- Boersma, Paul, and David Weenink. 2009. Praat: Doing Phonetics by Computer (Version 5.1.13). Available online: https://fon.hum.uva.nl/praat/ (accessed on 2 November 2020).
- Boomershine, Amanda. 2013. The Perception of English Vowels by Monolingual, Bilingual, and Heritage Speakers of Spanish and English. In Selected Proceedings of the 15th Hispanic Linguistics Symposium. Edited by Chad Howe, Sarah E. Blackwell and Margaret Lubbers Quesada. Somerville: Cascadilla Proceedings Project. [Google Scholar]
- Bradley, Travis G., and Erik W. Willis. 2012. Rhotic variation and contrast in Veracruz Mexican Spanish. Estudios de Fonetica Experimental 21: 43–74. [Google Scholar]
- Carballo, Gloria, and Elvira Mendoza. 2000. Acoustic characteristics of trill productions by groups of Spanish children. Clinical Linguistics & Phonetics 14: 587–601. [Google Scholar]
- Chang, Charles B. 2020. Phonetics and Phonology. In The Cambridge Handbook of Heritage Languages and Linguistics. Cambridge: Cambridge University Press. [Google Scholar]
- Chang, Charles B., Erin F. Hayes, Yao Yao, and Russell Rhodes. 2008. The phonetic space of phonological categories in heritage speakers of Mandarin. UC Berkely Phonology Lab Annual Report 2008: 75–89. [Google Scholar]
- Chang, Charles B., Erin F. Hayes, and Russel Rhodes. 2011. Production of phonetic and phonological contrast by heritage speakers of Mandarin. The Journal of the Acoustical Society of America 129: 3964–80. [Google Scholar] [CrossRef]
- Colantoni, Laura. 2006. Increasing Periodicity to Reduce Similarity: An Acoustic Account of Deassibilation in Rhotics. In Selected Proceedings of the 2nd Conference on Laboratory Approaches to Spanish Phonetics and Phonology. Edited by Manuel Diaz-Campos. Somerville: Cascadilla Proceedings Project, pp. 22–34. [Google Scholar]
- Daidone, Danielle, and Isabelle Darcy. 2014. Quierro comprar una guitara: Lexical Encoding of the Tap and Trill by L2 Learners of Spanish. In Selected Proceedings of the 2012 Second Language Research Forum. Edited by Ryan T. Miller, Katherine I. Martin, Chelsea M. Eddington, Ashlie Henery, Nausica Marcos Miguel, Alison M. Tseng, Alba Tuninetti and Daniel Walter. Somerville: Cascadilla Proceedings Project, pp. 39–50. [Google Scholar]
- Delattre, Pierre, and Donald C. Freeman. 1968. A Dialectal Study of American R’s by X-ray Motion Picture. Linguistics 6: 29–68. [Google Scholar] [CrossRef]
- Diaz-Campos, Manuel. 2008. Variable Production of the Trill in Spontaneous Speech: Sociolinguistic Implications. In Selected Proceedings of the 3rd Conference on Laboratory Approaches to Spanish Phonetics and Phonology. Edited by Laura Colantoni and Jeffrey Steele. Somerville: Cascadilla Proceedings Project, pp. 47–58. [Google Scholar]
- Elliott, A Raymond. 1997. On the Teaching and Acquisition of Pronunciation within a Communicative Approach. Hispania 80: 95–108. [Google Scholar] [CrossRef]
- Espy-Wilson, Carol. 2004. Articulatory Strategies, Speech Acoustics, and Variability. In From Sound to Sense: 50+ Years of Discoveries in Speech Communication. Edited by Janet Slifka, Sharon Manuel and Melanie Matthies. Available online: https://www.rle.mit.edu/soundtosense/conference/pages/invited.htm (accessed on 2 November 2020).
- Espy-Wilson, Carol, Suzanne E. Boyce, Michel Jackson, Shrikanth Narayanan, and Abeer Alwan. 2000. Acoustics modeling of American English/r/. The Journal of the Acoustical Society of America 108: 343–56. [Google Scholar] [CrossRef] [PubMed]
- Face, Timothy L. 2006. Intervocalic Rhotic Pronunciation by Adult Learners of Spanish as a Second Language. In Selected Proceedings of the 7th Conference on the Acquisition of Spanish and Portuguese as First and Second Languages. Edited by Carol A. Kleen and Timothy L. Face. Somerville: Cascadilla Proceedings Project, pp. 47–58. [Google Scholar]
- Face, Timothy L. 2018. Ultimate Attainment of Spanish Rhotics by Native English-Speaking Immigrants to Spain. Language and Migration 10: 57–80. [Google Scholar]
- Flege, James E. 1991. Age of learning affects the authenticity of voice-onset time (VOT) in stop consonants produced in a second language. Journal of the Acoustical Society of America 89: 395–411. [Google Scholar] [CrossRef]
- Flege, James E. 1995. Second Language Speech Learning Theory, Findings, and Problems. In Speech Perception and Linguistic Experience: Issues in Cross-Language Research. Edited by Winifred Strange. Timonium: York Press, pp. 233–77. [Google Scholar]
- Flege, James E. 2007. Language contact in bilingualism: Phonetic system interactions. In Laboratory Phonology. Edited by Jennifer Cole and Jose Ignacio Hualde. Berlin: Mouton de Gruyter, pp. 353–82. [Google Scholar]
- Flege, James E., and Ocke-Schwen Bohn. 2020. The revised Speech Learning Model. In Second Language Speech Learning: Theoretical and Empirical Progress. Edited by Ratree Wayland. Cambridge: Cambridge University Press. [Google Scholar]
- Gildersleeve-Neumann, Christina E., Ellen S. Kester, Barbara L. Davis, and Elizabeth D. Peña. 2008. English Speech Sound Development in Preschool-Aged Children from Bilingual English-Spanish Environments. Language, Speech, and Hearing Services in Schools 39: 314–28. [Google Scholar] [CrossRef]
- Godson, Linda. 2004. Vowel production in the speech of Western Armenian heritage speakers. Heritage Language Journal 2: 44–69. [Google Scholar]
- Goldman, Jean-Phillipe. 2011. EasyAlign: An automatic phonetic alignment tool under Praat. In Proceedings of the 12th Annual Conference of the International Speech Communication Association. Available online: https://archive-ouverte.unige.ch/unige:18188 (accessed on 2 November 2020).
- Goldstein, Brian A., Leah Fabiano, and Patricia Sweeney Washington. 2005. Phonological Skills in Predominantly English-Speaking, Predominantly Spanish-Speaking, and Spanish-English Bilingual Children. Language, Speech, and Hearing Services in Schools 36: 201–18. [Google Scholar] [CrossRef]
- Grosjean, François. 2008. Studying Bilinguals. Oxford: Oxford University Press. [Google Scholar]
- Hammond, Robert M. 1999. On the Non-Occurrence of the Phone [r] in the Spanish Sound System. In Advances in Hispanic Linguistics. Edited by Javier Gutierrez-Rexach and Fernando Martinez-Gil. Somerville: Cascadilla Press, pp. 135–51. [Google Scholar]
- Henriksen, Nicholas C. 2015. Acoustic analysis of the rhotic contrast in Chicagoland Spanish: An intergenerational study. Linguistic Approaches to Bilingualism 5: 285–321. [Google Scholar] [CrossRef]
- Henriksen, Nicholas C., and Erik W. Willis. 2010. Acoustic Characteristics of Phonemic Trill Production in Jerezano Andalusian Spanish. In Selected Proceedings of the 4th Conference on Laboratory Approaches to Spanish Phonology. Edited by Marta Ortega-Llebaria. Somerville: Cascadilla Proceedings Projects, pp. 115–27. [Google Scholar]
- Hualde, Jose Ignacio. 2005. The Sounds of Spanish. Cambridge: Cambridge University Press. [Google Scholar]
- Hyltenstam, Kenneth, Emanuel Bylund, Niclas Abrahamsson, and Hyeon-Sook Park. 2009. Dominant-language replacement: The case of international adoptees. Bilingualism: Language and Cognition 12: 121–40. [Google Scholar] [CrossRef]
- Jimenez, Beatrice C. 1987. Acquisition of Spanish Consonants in Children Aged 3-5 Years, 7 Months. Language, Speech, and Hearing Services in Schools 18: 357–63. [Google Scholar] [CrossRef]
- Kehoe, Margaret. 2018. The development of rhotics: A comparison of monolingual and bilingual children. Bilingualism: Language and Cognition 21: 710–13. [Google Scholar] [CrossRef]
- Kim, Ji-Young. 2015. Perception and production of Spanish lexical stress by Spanish heritage speakers and English L2 learners of Spanish. In Selected Proceedings of the 6th Conference on Laboratory Approaches to Romance Phonology. Edited by Erik W. Willis. Somerville: Cascadilla Proceedings Projects, pp. 106–28. [Google Scholar]
- Kim, Ji-Young. 2019. Discrepancy between heritage speakers’ use of suprasegmental cues in the perception and production of Spanish lexical stress. Bilingualism: Language and Cognition 23: 233–50. [Google Scholar] [CrossRef]
- Kim, Ji-Young, and Gemma Repiso Puigdelliura. 2019. Deconstructing Heritage Language Dominance: Effects of Proficiency, Use, and Input on Heritage Speakers’ Production of the Spanish Alveolar Tap. Phonetica 77: 55–80. [Google Scholar] [CrossRef] [PubMed]
- Kissling, Elizabeth M. 2018. An exploratory study of heritage Spanish rhotics: Addressing methodological challenges of heritage language phonetics research. Heritage Language Journal 15: 25–70. [Google Scholar] [CrossRef]
- Knightly, Leah M., Janet S. Oh, and Terry Kit-Fong Au. 2003. Production benefits of childhood overhearing. Journal of the Acoustical Society of America 114: 465–74. [Google Scholar] [CrossRef]
- Kuhl, Patricia K., Erica Stevens, Akiko Hayashi, Toshisada Deguchi, Shigeru Kiritani, and Paul Iverson. 2006. Infants show a facilitation effect for native language phonetic perception between 6 and 12 months. Developmental Science 9: F12–F21. [Google Scholar] [CrossRef] [PubMed]
- Kuhl, Patricia K., Barbara T. Conboy, Sharon Coffey-Corina, Denise Padden, Maritza Rivera-Gaxiola, and Tobey Nelson. 2008. Phonetic learning as a pathway to language: New data and native language magnet theory expanded (NLM-e). Philosophical Transactions of the Royal Society 363: 979–1000. [Google Scholar] [CrossRef] [PubMed]
- Ladefoged, Peter, and Ian Maddieson. 1996. The Sounds of the World’s Languages. Oxford: Blackwell. [Google Scholar]
- Lastra, Yolanda, and Pedro Martín Butragueño. 2006. Un posible cambio en curso: El caso de las vibrantes en la ciudad de México. In Estudios Sociolingüísticos del Español de España y América. Edited by Ana María Cesetero Mancera, Isabel Molina Martos and Florentino Paredes García. Madrid, Spain: Arco Libros–La Muralla, S.L., pp. 35–68. [Google Scholar]
- Lenth, Russell. 2018. Emmeans: Estimated Marginal Means, Aka Least-Squares Means. CRAN. Available online: https://rdrr.io/cran/emmeans/ (accessed on 2 November 2020).
- Lukyanchenko, Anna, and Kira Gor. 2011. Perceptual correlates of phonological representations in heritage speakers and L2 learners. In Proceedings of the 35th Annual Boston University Conference on Language Development. Somerville: Cascadilla Proceedings Projects. [Google Scholar]
- Mayer, Mercer. 1967. A Boy, a Dog, and a Frog. New York: Dial Press. [Google Scholar]
- Mayer, Mercer. 1969. Frog, Where Are You? New York: Dial Press. [Google Scholar]
- Mayer, Mercer. 1974. Frog Goes to Dinner. New York: Dial Press. [Google Scholar]
- McAllister Byun, Tara, Elaine R. Hitchcock, and Michelle T. Swartz. 2014. Retroflex Versus Bunched in Treatment for Rhotic Misarticulation: Evidence From Ultrasound Biofeedback Intervention. Journal of Speech, Language, and Hearing Research 57: 2116–30. [Google Scholar] [CrossRef]
- McGowan, Richard S., Susan Nittrouer, and Carol J. Manning. 2004. Development of [ɹ] in young, Midwestern, American children. The Journal of the Acoustical Society of America 115: 871–84. [Google Scholar] [CrossRef]
- Montrul, Silvina. 2010. Current Issues in Heritage Language Acquisition. Annual Review of Applied Linguistics 30: 3–23. [Google Scholar] [CrossRef]
- Montrul, Silvina. 2012a. Is the Heritage Language Like a Second Language? Eurosla Yearbook 12: 1–29. [Google Scholar] [CrossRef]
- Montrul, Silvina. 2012b. DELE Proficiency Test. Unpublished Instrument. Available online: https://international.ucla.edu/institute/article/126305 (accessed on 2 November 2020).
- O’Rourke, Erin, and Kim Potowski. 2016. Phonetic accommodation in a situation of Spanish dialect contact: Coda/s/and/r/in Chicago. Studies in Hispanic and Lusophone Linguistics 9: 355–99. [Google Scholar] [CrossRef]
- Olsen, Michael K. 2012. The L2 Acquisition of Spanish Rhotics by L1 English Speakers: The Effect of L1 Articulatory Routines and Phonetic Context for Allophonic Variation. Hispania 95: 65–82. [Google Scholar]
- Olsen, Michael K. 2016. Limitations of the influence of English phonetics and phonology on L2 Spanish rhotics. Borealis: An International Journal of Hispanic Linguistics 5: 313–31. [Google Scholar] [CrossRef]
- Patkowski, Mark S. 1990. Age and Accent in a Second Language: A Reply to James Emil Flege. Applied Linguistics 11: 73–89. [Google Scholar] [CrossRef]
- Pierce, Lara J., Denise Klein, Jen-Kai Chen, Audrey Delcenserie, and Fred Genesee. 2014. Mapping the unconscious maintenance of a lost first language. Proceedings of the National Academy of Sciences 111: 17314–19. [Google Scholar] [CrossRef]
- R Core Team. 2013. R: A language and environment for statistical computing. R Project. Available online: https://www.r-project.org/ (accessed on 2 November 2020).
- Ronquest, Rebecca E. 2013. An acoustic examination of unstressed vowel reduction in heritage Spanish. In Selected Proceedings of the 15th Hispanic Linguistics Symposium. Edited by Chad Howe, Sarah E. Blackwell and Margaret Lubbers Quesada. Somerville: Cascadilla Proceedings Projects, pp. 157–71. [Google Scholar]
- Rose, Marda. 2010. Differences in Discriminating L2 Contrasts: A Comparison of Spanish Taps and Trills. In Selected Proceedings of the 2008 Second Language Research Forum. Edited by Matthew T. Prior, Yukiko Watanabe and Sang-Ki Lee. Somerville: Cascadilla Proceedings Projects, pp. 181–96. [Google Scholar]
- Saddah, Emman. 2011. The Production of Arabic Vowels by English L2 Learners and Heritage Speakers of Arabic. Doctoral dissertation, University of Illinois at Urbana-Champaign, Urbana, IL, USA. [Google Scholar]
- Scovel, Thomas. 2000. A Critical Review of the Critical Period Research. Annual Review of Applied Linguistics 20: 213–23. [Google Scholar] [CrossRef]
- Shapiro, Samuel Sanford, and Martin Wilk. 1965. An analysis of variance test for normality. Biometrika 52: 591–611. [Google Scholar] [CrossRef]
- Werker, Janet F., and Richard C. Tees. 1983. Developmental Changes across Childhood in the Perception of Non-native Speech Sounds. Canadian Journal of Psychology 37: 278–86. [Google Scholar] [CrossRef]
- Werker, Janet F., and Richard C. Tees. 1984. Cross-Language Speech Perception: Evidence for Perceptual Reorganization during the First Year of Life. Infant Behavior and Development 7: 49–63. [Google Scholar] [CrossRef]
- Werker, Janet F., and Richard C. Tees. 1999. Influences on Infant Speech Processing: Towards a New Synthesis. Annual Review of Psychology 50: 509–35. [Google Scholar] [CrossRef]
- Werker, Janet F., John H.V. Gilbert, Keith Humphrey, and Richard C. Tees. 1981. Developmental Aspects of Cross-Language Speech Perception. Society for Research in Child Development 52: 349–55. [Google Scholar] [CrossRef]
- Willis, Erik W. 2006. Trill Variation in Dominican Spanish: An Acoustic Examination and Comparaitive Analysis. In Selected Proceedings of the 9th Hispanic Linguistics Symposium. Edited by Nuria Sagarra and Almeida Jacqueline Toribio. Somerville: Cascadilla Proceedings Projects, pp. 121–31. [Google Scholar]
- Willis, Erik W. 2007. An acoustic study of the ‘pre-aspirated trill’ in narrative Cibaeño Dominican Spanish. Journal of the International Phonetic Association 37: 33–49. [Google Scholar] [CrossRef]
- Zhou, Xinhui, Carol Y. Espy-Wilson, Suzanne Boyce, Mark Tiede, Christy Holland, and Ann Choe. 2008. A magnetic resonance imaging-based articulatory and acoustic study of “retroflex” and “bunched” American English/r/. The Journal of the Acoustical Society of America 123: 4455–81. [Google Scholar] [CrossRef]
| 1 | Face (2006, 2018) found advanced-proficiency L2 Spanish learners to display a low rate of accuracy when producing alveolar trills and did not approximate native-speaker performance. Although the simultaneous bilingual data in this study differed significantly from that of L1 speakers, we believe that their productions would be more target-like than those of advanced-proficiency L2 Spanish speakers. |






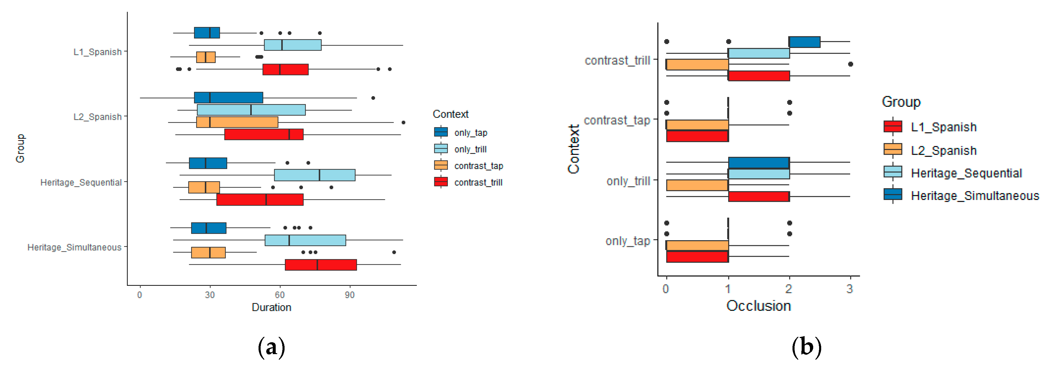
| Participant Group | Mean (Standard Deviation) | |||
| Only Tap Duration (ms) | Only Trill Duration (ms) | Contrast Tap Duration (ms) | Contrast Trill Duration (ms) | |
| L1 Spanish | 29.7 (9.7) | 69.8 (25.6) | 28.6 (7.6) | 66.5 (27) |
| L2 Spanish | 40.5 (25.6) | 49.2 (24.8) | 43.7 (29.7) | 62.6 (29.9) |
| Heritage Sequential | 31 (115.8) | 75.9 (25.3) | 29.6 (12.9) | 56.7 (25.6) |
| Heritage Simultaneous | 30 (11.3) | 67.6 (26) | 32.6 (16.3) | 78.6 (20.9) |
| Participant Group | Mean (Standard Deviation) | |||
| Only Tap Occlusion | Only Trill Occlusion | Contrast Tap Occlusion | Contrast Trill Occlusion | |
| L1 Spanish | 0.58 (0.51) | 1.89 (1.03) | 0.70 (0.46) | 1.44 (1.04) |
| L2 Spanish | 0.49 (0.58) | 0.87 (0.78) | 0.51 (0.55) | 0.66 (0.92) |
| Heritage Sequential | 0.87 (0.48) | 1.49 (1.12) | 0.82 (0.52) | 1.10 (0.73) |
| Heritage Simultaneous | 0.91 (0.34) | 1.88 (0.85) | 0.93 (0.45) | 2.02 (0.85) |
| Duration | Estimate | SE | t | p |
| L2 Spanish | −0.788 | 1.504 | −0.524 | 0.600 |
| Heritage Simultaneous | 4.049 | 1.378 | 2.939 | 0.003 |
| Heritage Sequential | 0.59 | 1.400 | 0.421 | 0.674 |
| Only Trill | −2.412 | 1.597 | −1.511 | 0.131 |
| Contrast Tap | 3.236 | 1.897 | 1.706 | 0.088 |
| Contrast Trill | −34.991 | 1.742 | −20.086 | <0.001 |
| Task Storytelling Task | −7.481 | 1.346 | −5.559 | <0.001 |
| L2 Spanish x Only Trill | 6.713 | 2.566 | 2.617 | 0.009 |
| Heritage Simultaneous x Only Trill | 4.554 | 2.522 | 1.806 | 0.071 |
| Heritage Sequential x Only Trill | −2.519 | 2.573 | −0.979 | 0.328 |
| L2 Spanish x Contrast Tap | −10.890 | 3.348 | −3.253 | 0.001 |
| Heritage Simultaneous x Contrast Tap | −11.238 | 2.996 | −3.751 | <0.001 |
| Heritage Sequential x Contrast Tap | 7.287 | 3.009 | 2.422 | 0.016 |
| L2 Spanish x Contrast Trill | 24.943 | 2.987 | 8.350 | <0.001 |
| Heritage Simultaneous x Contrast Trill | −3.033 | 2.778 | −1.092 | 0.275 |
| Heritage Sequential x Contrast Trill | 0.673 | 2.801 | 0.240 | 0.810 |
| Number of Occlusions | Estimate | SE | t | p |
| L2 Spanish | −0.152 | 0.083 | −1.843 | 0.066 |
| Heritage Simultaneous | 0.238 | 0.071 | 3.357 | 0.001 |
| Heritage Sequential | 0.223 | 0.081 | 2.756 | 0.006 |
| Only Trill | 1.051 | 0.093 | 11.263 | <0.001 |
| Contrast Tap | 0.025 | 0.081 | 0.305 | 0.761 |
| Contrast Trill | 0.689 | 0.078 | 8.998 | <0.001 |
| Task Storytelling Task | −0.188 | 0.049 | −3.866 | <0.001 |
| L2 Spanish x Only Trill | −0.816 | 0.166 | −4.905 | <0.001 |
| Heritage Simultaneous x Only Trill | −0.090 | 0.137 | −0.652 | 0.514 |
| Heritage Sequential x Only Trill | −0.505 | 0.139 | −3.644 | <0.001 |
| L2 Spanish x Contrast Tap | −0.037 | 0.127 | −0.289 | 0.773 |
| Heritage Simultaneous x Contrast Tap | −0.004 | 0.128 | −0.029 | 0.977 |
| Heritage Sequential x Contrast Tap | −0.089 | 0.130 | −0.680 | 0.496 |
| L2 Spanish x Contrast Trill | −0.548 | 0.130 | −4.201 | <0.001 |
| Heritage Simultaneous x Contrast Trill | 0.415 | 0.127 | 3.276 | 0.001 |
| Heritage Sequential x Contrast Trill | −0.465 | 0.137 | −3.393 | 0.001 |
| Duration | Estimate | SE | t | p |
| L1 Spanish—Heritage Simultaneous | −4.049 | 1.378 | −2.938 | 0.018 |
| L2 Spanish—Heritage Simultaneous | −4.837 | 1.609 | −3.007 | 0.014 |
| Only Tap—Only Trill | −28.820 | 1.552 | −18.576 | <0.001 |
| Only Tap—Contrast Trill | −29.356 | 1.370 | −21.428 | <0.001 |
| Only Trill—Contrast Tap | 29.335 | 1.637 | 17.916 | <0.001 |
| Contrast Tap—Contrast Trill | 29.870 | 1.527 | 19.556 | <0.001 |
| Number of Occlusions | Estimate | SE | t | p |
| L1 Spanish—L2 Spanish | 0.502 | 0.054 | 9.197 | <0.001 |
| L1 Spanish—Heritage Simultaneous | −0.318 | 0.050 | −6.358 | <0.001 |
| L2 Spanish—Heritage Sequential | −0.821 | 0.059 | −14.018 | <0.001 |
| L2 Spanish—Heritage Simultaneous | −0.461 | 0.059 | −7.780 | <0.001 |
| Heritage Simultaneous—Heritage Sequential | 0.360 | 0.056 | 6.471 | <0.001 |
| Only Tap—Only Trill | −0.698 | 0.057 | −12.342 | <0.001 |
| Only Tap—Contrast Trill | −0.549 | 0.050 | −11.047 | <0.001 |
| Only Trill—Contrast Tap | 0.706 | 0.060 | 11.807 | <0.001 |
| Contrast Tap—Contrast Trill | 0.557 | 0.056 | 10.006 | <0.001 |
Publisher’s Note: MDPI stays neutral with regard to jurisdictional claims in published maps and institutional affiliations. |
© 2020 by the authors. Licensee MDPI, Basel, Switzerland. This article is an open access article distributed under the terms and conditions of the Creative Commons Attribution (CC BY) license (http://creativecommons.org/licenses/by/4.0/).
Share and Cite
Cummings Ruiz, L.D.; Montrul, S. Assessing Rhotic Production by Bilingual Spanish Speakers. Languages 2020, 5, 51. https://doi.org/10.3390/languages5040051
Cummings Ruiz LD, Montrul S. Assessing Rhotic Production by Bilingual Spanish Speakers. Languages. 2020; 5(4):51. https://doi.org/10.3390/languages5040051
Chicago/Turabian StyleCummings Ruiz, Laura D., and Silvina Montrul. 2020. "Assessing Rhotic Production by Bilingual Spanish Speakers" Languages 5, no. 4: 51. https://doi.org/10.3390/languages5040051
APA StyleCummings Ruiz, L. D., & Montrul, S. (2020). Assessing Rhotic Production by Bilingual Spanish Speakers. Languages, 5(4), 51. https://doi.org/10.3390/languages5040051
