Next Article in Journal
An Acoustic Study of Romanian Stressed Vowels with Special Reference to Mid Central [ɨ] and [ə]
Previous Article in Journal
Perception Development of L2 English and L3 Polish Coda Obstruents by L1 German Adult Multilinguals
 
 
Font Type:
Arial Georgia Verdana
Font Size:
Aa Aa Aa
Line Spacing:
Column Width:
Background:
Article

Accentedness Perception in L2: An Investigation of Thai Monophthong Pronunciation of Chinese Students

by
Peng Hou
and
Sarawut Kraisame
*
Research Institute for Languages and Cultures of Asia, Mahidol University, Nakhon Pathom 73170, Thailand
*
Author to whom correspondence should be addressed.
Languages 2025, 10(1), 11; https://doi.org/10.3390/languages10010011
Submission received: 15 October 2024 / Revised: 2 January 2025 / Accepted: 6 January 2025 / Published: 15 January 2025

Abstract

This paper aims to investigate the Thai monophthong pronunciation of Chinese students speaking Thai as a second language (L2), and to examine how native Thai listeners perceived these Chinese-accented Thai monophthongs. This study involves an acoustic analysis targeted on the Thai monophthongs articulated by Chinese students of Thai (n = 15) in a picture description task in terms of duration and quality. The participants exhibited varying proficiency levels in different monophthongs, with the greatest difficulty being with Thai back monophthongs and certain central monophthongs, including /ɔ, ɔː/, /o, oː/, and /ɤː/. Moreover, a perception experiment among 30 native Thai listeners proved that Chinese students’ pronunciation of Thai monophthongs had varying levels of impact on accentedness perception. Specifically, /ɯ/, /ɤ/, /o/, /ɔ/, and their long counterparts significantly influenced accentedness perception. Conversely, /i/, /e/, /ɛ/, /a/, /u/, and their long counterparts showed less robustness in predicting the level of accentedness. Among the whole Thai monophthong inventory, teachers should prioritize those monophthongs that significantly influence accentedness perception for teaching Thai pronunciation to Chinese students.

1. Introduction

For adult learners, acquiring a second language (L2) involves a variety of difficulties, one of which is achieving good proficiency in the pronunciation of the target L2 (Bongaerts et al., 1997; Levy & Hanulíková, 2019). The Critical Period Hypothesis in language acquisition claims that individuals who do not start learning an L2 before the age of 12 may find it challenging to attain a level of proficiency comparable to that of native or near-native speakers. This is particularly evident in the area of L2 pronunciation, which tends to deviate from that of native speakers (Flege & Port, 1981; Tarone, 1987). In practice, adult learners are rarely observed to attain a native-like accent in their L2, reflected in various phonetic inaccuracies in their pronunciation. When they communicate with native speakers, how closely their pronunciation resembles a native speaker is defined as the level of accentedness (Munro & Derwing, 1999). Factors such as the influence of their native language, as well as other individual variables like attitude, age, and aptitude, can significantly impact their pronunciation of L2, making L2 speakers have various degrees of accentedness (Moyer, 2014). Regardless, a significant number of individuals learning L2 still seek out a more native-like accent due to their belief that it guarantees effective communication. Derwing (2003) found that L2 learners are typically aware of the fact that pronunciation difficulties can cause communication challenges. That is to say, certain inaccuracies in pronunciation might hinder the comprehension of speech by listeners (Suzukida & Saito, 2019) and can lead to disruptions in communication (Jenkins, 2000).
To attain a more authentic accent like that of a native speaker, it is crucial to receive explicit pronunciation instructions as well as participate in dedicated pronunciation practice. Yet, pronunciation instruction is seldom treated as an independent topic, but rather incorporated into other facets of L2 acquisition (Darcy et al., 2021). Consequently, L2 teachers must confront the challenge of balancing the diverse range of pronunciation issues that impact L2 learners with the limited time available to address all aspects of their pronunciation difficulties in the classroom. Hence, the allocation of pronunciation teaching time must be properly managed to ensure its optimal utilization. Put simply, L2 teachers frequently need to determine which aspects of L2 are significant and hence deserve valuable class time, while others may be considered less vital and can be deferred until a later, more advanced level (Brown, 1988). Teachers need to prioritize which L2 pronunciation features are worth fighting for and which are not. If a certain L2 feature can make L2 significantly more accented, this feature should be highlighted as more urgent to solve in pronunciation instruction. That is to say, determining which L2 features are associated to the degree of accentedness can promote the efficiency of L2 instruction, since it can help L2 teachers to make a hierarchy of the order of instruction.
Some researchers have attempted to determine which features in L2 pronunciation are strongly associated with accentedness, in order to give priority to these features in pronunciation instruction. A study conducted by Sereno et al. (2016) involved the acoustic manipulation of L2 English pronunciation in native Korean speakers during a sentence reading task. The researchers found that segmentals, rather than suprasegmental features, played a significant influence in enhancing the accent of Korean-accented English. In a rigorous study conducted by Munro (1993), a group of 23 native Arabic speakers who spoke English as their L2 were chosen to examine their vowel pronunciation within particular word contexts. Analysis of the data indicated that Arabic speakers frequently encountered difficulties with specific English vowels, especially those that lack direct counterparts in Arabic. Moreover, the ratings from listeners revealed a greater level of accentedness in the speech of Arabic speakers while pronouncing these challenging vowels. This confirms that the pronunciation of these vowels has a key role in Arabic-accented English pronunciation. Through an analysis of Korean-accented English, Chung and Kim (2021) discovered that the F2–F1 values of /l/ in Korean-English speakers are notably lower than those in Korean, but much higher than those of /l/ produced by native English speakers. The variations in English liquids of Korean-accented English exhibit a negative correlation with the level of accentedness. Particular emphasis should be placed on this specific phoneme while instructing native Korean speakers in English. A study conducted by Idemaru et al. (2018) examined the impact of vowel F1 and F2 frequencies, stop VOT, and other features on the level of accentedness in Chinese- and English-accented Japanese. The tone is a significant determinant in forecasting the level of accent in foreign-accented Japanese.
Still, the studies of L2 pronunciation have been mostly limited to English due to its widespread use as a lingua franca. Only a handful of studies dealing with the Thai language can provide insights into the relationship of L2 pronunciation and the degree of accentedness in Thai. A study conducted by Wayland (1997) investigated how native Thai listeners perceived Thai vowels, consonants, and tones produced by native English speakers. The results of the accentedness evaluation revealed that only level tones consistently served as predictors of accentedness in English-accented Thai. Hou and Kraisame (2023) conducted a study to empirically assess the acquisition of Thai final nasal consonants by Chinese students and the accentedness perception of native Thai listeners. Native Thai listeners perceived /n/ and /ŋ/ as more accented than /m/. This suggests that /n/ and /ŋ/ should be regarded with more importance in the Thai pronunciation instruction for Chinese students. Moreover, the findings of this study also revealed that the duration of the final nasal consonant was the most reliable predictor for the accentedness of Chinese students’ pronunciation, indicating that duration carried the highest importance among all the acoustic features examined and needed further emphasis in the Thai pronunciation instruction for Chinese students.
With the growing demand for cross-linguistic interaction between Chinese students and native Thai speakers, it is crucial to focus on the pronunciation of Thai by Chinese students. Several studies have demonstrated that Chinese students have various difficulties in pronouncing Thai, with one of the most notable challenges being the pronunciation of vowels. For instance, Yi (2017) conducted an acoustic study that examined the pronunciation of Thai vowels by three groups of Chinese speakers, Tai Lue, Naxi, and Yunnanese, by using a wordlist reading task. She found that all three groups of Chinese speakers lacked the same level of distinction in vowel length as native Thai speakers, and also exhibited divergence from conventional Thai vowel quality. Nevertheless, the limited number of participants and controlled data collection task hinder the ability to apply the findings to different groups of Thai language learners. Thus, the specific issue with Chinese students’ Thai vowel pronunciation in more naturally connected speech remains unclear. In the context of Thai monophthongs produced by Chinese students, if certain monophthongs are perceived as more accented, it indicates that they have a greater significance in the communication between Chinese students and native Thai speakers. These monophthongs should therefore be highlighted in pronunciation instruction because they have the potential to significantly influence the effectiveness of communication. Conversely, if certain monophthongs are not perceived as more accented, it suggests that they are less important in the communication between Chinese students and native Thai speakers.
Hence, this article has three distinct objectives: (1) to examine the acoustic features in the pronunciation of Thai monophthongs between Chinese students of Thai and native Thai speakers; (2) to examine how native Thai listeners perceive the level of accentedness of Chinese-accented Thai monophthongs; (3) to investigate which Thai monophthongs are the most reliable predictors for accentedness perception.

2. Materials and Methods

To address the three research objectives, we first compared the acoustic differences of Thai monophthongs, the vowel duration and quality, produced by Chinese students of Thai and native Thai speakers, and then identified which monophthongs carried a high or low predictability of accentedness based on native Thai listeners’ judgment. Accordingly, we split the research design into two dependent experiments, the production and perception experiments. The production experiment entailed conducting an acoustic examination of the monophthongs articulated by Chinese students in comparison to those produced by native Thai speakers. The perception experiment examined the accentedness of Chinese students’ monophthongs by assessing how native Thai listeners perceived them. In the third step, the combination of the production and perception experiments’ results was employed to identify which monophthongs are the most reliable predictors for the accentedness perception of native Thai listeners.

2.1. Production Experiment

2.1.1. Participants

The speakers in the production experiment consisted of a group of 15 Chinese students who were studying Thai as an L2 in their third or fourth year at a Chinese public university. Their age ranged between 21 and 23, with a mean of 22.7. Among the 15 Chinese students studying Thai, 12 originated from Shaanxi Province, two from Henan Province, and one from Hebei Province. All Chinese speakers of Thai indicated exposure to Mandarin Chinese from infancy and recognized Mandarin Chinese as their most fluent language. Mandarin Chinese is the most predominant language in their daily lives, and they also speak in Central Plain Mandarin as a dialect. However, they only occasionally use their dialect with their family members. They acquired Thai in a formal educational environment after the age of 18. Exclusively female students were chosen to minimize the influence of gender on acoustic analysis. In addition to Chinese students, we also selected a group of 15 female Thai native speakers as the control group. They were undergraduate students enrolled in various faculties of a public university in Thailand. Their age ranged from 19 to 22, with a mean of 21.3. All 15 native Thai speakers came from Bangkok and Nakhon Pathom Province, identifying Central Thai as their predominant and most proficient language in everyday communication. None of the participants reported that they experienced any difficulties with speaking or hearing.

2.1.2. Stimuli

A picture description task was designed to obtain speech samples from Chinese speakers of Thai and native Thai speakers. The selection of this method was based on its ability to promote natural speech production while also ensuring control over speech segmentals (Trofimovich & Baker, 2007). Participants were instructed to provide a description of the contents of pictures by utilizing the keywords that were associated with the picture, which were designed to control the monophthongs of speech samples. Tingsabadh and Abramson (1993) and Slayden (2009) state that there are nine monophthongs with durational contrast, resulting in a complete inventory of 18 monophthongs, including three pairs of front monophthongs (i.e., /i/–/iː/, /e/–/eː/, and /ɛ/–/ɛː/), central monophthongs (i.e., /ɯ/–/ɯː/, /ɤ/–/ɤː/, and /a/–/aː/), and back monophthongs (i.e., /u/–/uː/, /o/–/oː/, and /ɔ/–/ɔː/), as shown in Figure 1.
In total, there were ten pictures, with each picture paired with three keywords. Thus, there were a total of 30 keywords allocated to the pictures. Out of them, 18 keywords were chosen to contain the targeted monophthongs, while the remaining 12 keywords were added to complete the picture contents. In order to prevent mispronunciation caused by lack of familiarity, the keywords were chosen exclusively from the Textbooks of Foundation Thai 1–4, which were published by Peking University Press in 2011 and used by Chinese participants during their language acquisition process. The keywords that fulfilled the aforementioned criteria are presented in Table 1.

2.1.3. Data Elicitation

In the data elicitation process, we divided it into three sets by randomly arranging the order of the ten pictures. Each set was conducted on a different day. This allowed us to collect data at least three times for each keyword to facilitate further acoustic analyses. Participants were given ten seconds to prepare and fifteen seconds to describe each picture. There was a five-second interval between two successive pictures. The whole data elicitation procedure was recorded by a professional audio recorder (Zoom H5) in a quiet room and closely monitored by the researchers. Then, the keywords containing the targeted monophthongs were excerpted from the picture description. The total number of tokens collected through the recording was 1620 tokens (30 speakers × 18 monophthongs × 3 sets = 1620 tokens). The acoustic analysis utilized the digital speech analysis software, Praat (Version 6.1.53) (Boersma & Weenink, 2023).
The analysis focused on examining the duration and quality features of monophthongs. The duration of monophthongs was measured by placing cursors on the waveform at the beginning of the first periodicity and the end of the final pitch period of each monophthong, examining the total duration between the onset and offset of the monophthong. There is a basic distinction between Mandarin Chinese and Thai. Thai contains phonemically short and long vowels, while Mandarin Chinese does not. How Chinese speakers of Thai produced a durational feature that is not present in their native language was investigated. As for the quality of monophthongs, the first two formant frequencies (F1 and F2 hereafter) of each monophthong were measured. F1 and F2 arose from resonance in the oral cavity and were potential cues in differentiating the places of articulation. To minimize the potential interference of initial and final consonants on the formant analysis, the study focused on the central portion of each monophthong’s duration. By narrowing the analysis to the segment corresponding to 25% to 75% of the normalized 100% duration of each monophthong (Adank et al., 2004; Hagiwara, 2005; Roengpitya, 2002), the research ensured that the measurements were taken from the most stable and representative part of the monophthongs. This specific range was selected to avoid the dynamic acoustic changes typically associated with the onset and offset of the vowel, where the influence of adjacent consonants and coarticulatory transitions is more pronounced. The process is visually represented in Figure 2, which illustrates the time range analyzed within the normalized vowel duration.

2.2. Perception Experiment

2.2.1. Participants

In the perception experiment, a group of 30 individuals (6 males, 24 females) who were monolingual native Thai speakers were selected as listeners. Their task was to evaluate the degree of accentedness of the keywords produced by both Chinese speakers of Thai and native Thai speakers using a 9-point Likert scale (1 = the most accented, 9 = the least accented). The average age of the native Thai listeners was 22.5, with a range of 21 to 26. In order to minimize the influence of listeners’ social backgrounds and language experience, this study selected naïve listeners who claimed to have little exposure to foreign-accented Thai and did not have any systematic linguistic training. All of them reported no hearing or speaking difficulties. Also, the 30 Thai native listeners in the perception experiment were independent of those involved in the production experiment.

2.2.2. Data Elicitation

Before the actual rating session, the researcher conducted an online training session to verify that the listeners fully understood the concept of accentedness. During the training session, the listeners were introduced to the concept of accentedness, which refers to how closely the pronunciation of an utterance resembles that of a native speaker with a nine-point scale (1 = the most accented, 9 = the least accented) based on the definition used in previous research (Trofimovich & Isaacs, 2012). We excerpted a total of 50 Thai words from the picture descriptions for the training rating. None of these selected words were the same for the actual rating. To test the consistency of the listeners’ scores in the training rating session, the Cronbach’s α coefficient was calculated, for which a value of 0.81 demonstrated that they rated in a consistent manner.
After the training session, the researcher conducted the actual perception experiment via Zoom. Participants were instructed to position themselves in front of their laptops in a noise-free environment, and to request the researcher to pause the experiment if there were any troubles with the Internet connection or other disruptive problems. The perception experiment involved a total of 1620 keyword tokens (30 speakers × 18 monophthongs × 3 sets = 1620 tokens) collected from the production experiment. The 1620 tokens were randomly presented to native listeners in order to obtain judgments of accentedness. The participants were instructed to rely on their intuition when making judgments about the level of accentedness and to utilize the 1 to 9 scales flexibly. To prevent tiredness and boredom in the perception process, the entire perception experiment was split into two distinct days. The researcher played the electronic audio files via Zoom. Each token was played to the listeners only once, with a three-second interval between each succeeding token. Upon completion of the rating process, the listeners transmitted the digital rating sheets back to the researcher for further evaluation. Native listeners also showed a high degree of agreement in their accentedness rating, demonstrated by a high Cronbach’s α coefficient of 0.85.

2.3. The Predictability of Monophthongs on Their Level of Accentedness

After conducting the production and perception experiments, a three-step statistical analysis was used to determine which Chinese-accented Thai monophthongs significantly predicted accentedness perception. Those monophthongs should be emphasized when teaching Thai to Chinese students since they can potentially influence the communication between Chinese speakers of Thai and native Thai speakers.
Step 1: Correlation analysis between accentedness and monophthong acoustic features
The first step involved performing a Pearson correlation analysis to determine the bivariate correlation between the acoustic features of Thai monophthongs (specifically, vowel duration and vowel quality) and the level of accentedness. All acoustic features that showed a strong correlation were subjected to further examination.
Step 2: Principal component analysis of monophthong acoustic features
The next step consisted of carrying out a principal component analysis. The purpose of this step was to group the monophthong acoustic features that were identified in the previous step in order to enhance the interpretability of the dataset. During this step, all the monophthong acoustic features were grouped into quantifiable components.
Step 3: Regression analysis of monophthong acoustic features on accentedness
The predictability identification of monophthongs on accentedness was accomplished by a stepwise regression analysis in the final step. In this step, the components discovered in the second step were used as the predictor variables, while the degree of accentedness was used as the predicting variable. The regression analysis allowed us to identify significant predictors for accentedness. This analysis would yield two types of Thai monophthongs produced by Chinese speakers of Thai, i.e., the monophthongs presented in the components that served as highly reliable predictors for accentedness, and those that were not successful in accurately predicting accentedness.

3. Results

The following sections present the results of the research. In the production experiment, Chinese students demonstrated both similarities and differences in monophthong pronunciation compared to native Thai speakers, namely in terms of vowel duration and vowel quality. Moreover, Chinese students encountered varying levels of difficulty when it came to distinct monophthongs. During the perception experiment, native Thai listeners evaluated the monophthongs pronounced by Chinese students as more accented in contrast to those produced by native Thai speakers. Following that, we performed a series of statistical analyses to determine that certain monophthongs could significantly impact on the perception of accentedness, which should be urgently addressed in the Thai pronunciation instruction for Chinese students.

3.1. Production Experiment

3.1.1. Duration of Monophthongs

Figure 3 illustrates the average duration of each monophthong produced by Chinese students of Thai and native Thai speakers, separately for front monophthongs (panel a), for central monophthongs (panel b), and for back monophthongs (panel c). The durations between these two groups of participants were compared using a series of independent t-tests. The results of these t-tests are also presented in Figure 3.
Generally speaking, Chinese students demonstrate the tendency to differentiate between the contrast of long and short monophthongs, showing the acquisition ability to overcome the absence of such distinction in their own language, which does not phonemically contrast short and long vowels. Also, Chinese students exhibit greater variability in producing most short monophthongs compared to their longer counterparts, as evidenced by the larger error bars observed for short monophthongs in Figure 3. This increased production variability in short monophthongs can be attributed to several factors. First, their shorter duration limits the time available for learners to adjust articulatory positions, thereby increasing the likelihood of errors. Second, long monophthongs possess greater acoustic stability, making them easier to perceive and replicate, whereas short monophthongs require more rapid articulation and precise control. Additionally, the brevity of short monophthongs poses perceptual challenges for learners, further complicating their accurate production.
Furthermore, Chinese students’ production in both long and short monophthongs exhibit greater duration compared to Thai native speakers, with only a limited number of exceptions in /iː/ (Figure 3a) and /ɯː/ (Figure 3b), in which Chinese students produced a shorter duration than native Thai speakers. Regarding short monophthongs, all short monophthongs of Chinese students, except for /a/ (Figure 3c), have a significantly longer duration than those of Thai native speakers. In terms of the long monophthongs, Chinese students’ productions show a similar duration as Thai native speakers when articulating most of the long monophthongs. Among the significant differences, only /ɤː/ in Figure 3b reaches a significant difference level of 0.01. Additionally, the monophthongs /oː/ and /ɔː/ in Figure 3c also achieve a significance level of 0.05. The remaining long monophthongs of Chinese students do not display any significant differences from those of native Thai speakers.
When comparing the front (Figure 3a), central (Figure 3b), and back monophthongs (Figure 3c), it becomes evident that Chinese students encounter the greatest difficulty in pronouncing the back monophthongs (i.e., /ɔ, ɔː/ and /o, oː/) and central monophthongs (i.e., /ɤ, ɤː/). This is because, except for the duration of /uː/ which is not particularly significant, the distinctions between the other back monophthongs are statistically significant at a level of 0.05 at least, as shown in Figure 3c. Also, the duration differences of the central monophthong pair /ɤ, ɤː/ also reaches the most significant level. Comparatively, they demonstrate a similar duration production in particular front and other central monophthongs to native Thai speakers. Specifically, their pronunciation of the /a/–/aː/ monophthong is the most native among all monophthongs examined, since no significant differences exist in the durations of these two monophthongs. Furthermore, there are no significant differences in the durations of long front monophthongs among Chinese students, as seen in Figure 3a. This suggests that the long front monophthongs produced by Chinese students are comparable to those of native speakers in terms of duration.

3.1.2. Quality of Monophthongs Produced by CH and TH

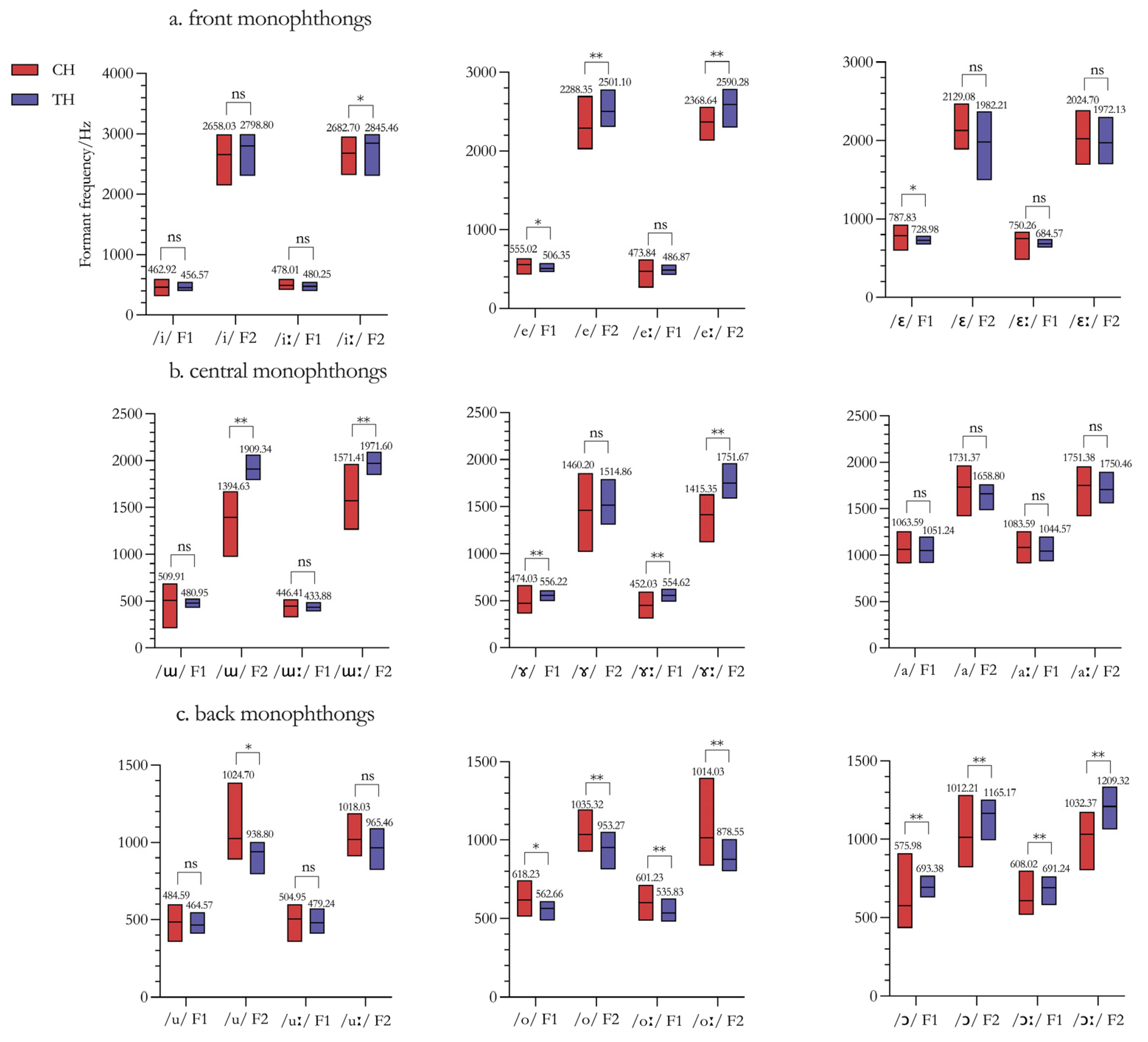
The mean formant frequencies (namely, F1 and F2) for each monophthong generated by Chinese students of Thai and native Thai speakers are plotted in Figure 4. The data are presented separately for front monophthongs in panel a, central monophthongs in panel b, and back monophthongs in panel c. Independent t-tests were conducted to compare the formant frequencies between the two groups of participants to see if they were different in monophthong quality produced.
Overall, the quality of monophthongs produced by Chinese students is both comparable and distinct from that of Thai native speakers, as manifested in distinct monophthongs. Regarding front monophthongs (panel a), Chinese students’ pronunciations of /i/ and /ɛː/ closely resemble those of Thai native speakers. This is due to the similarity in the F1 and F2 of these two monophthongs, which are not significantly different from those of native speakers. On the other hand, Chinese students may find /e/ and its long counterpart to be the most challenging front monophthongs. This is because their F2 values greatly differ from those of native speakers at a level of 0.01, and the F1 of /e/ likewise significantly differs from that of native speakers at a level of 0.05.
With regard to the central monophthongs (panel b), Chinese students demonstrate no difficulties with /a/ and its long counterpart, and both F1 and F2 values for this pair of monophthongs do not significantly deviate from those of native speakers. In contrast, Chinese students have the least native-like pronunciation of /ɤː/ due to a significant difference of 0.01 in the F1 and F2 values compared with native speakers. When it comes to producing the monophthongs of /ɯ/ and /ɯː/, Chinese students show a higher degree of deviation from native speakers in terms of F2. This deviation is statistically significant, with a significance level of 0.01. Nevertheless, there are no significant differences in the F1 of these two monophthongs.
According to Figure 4c, Chinese students encounter the most difficulty with the back monophthongs, particularly with /o/, /oː/, /ɔ/, and /ɔː/. The F1 and F2 values of these four monophthongs differ significantly from those of native speakers, with a significance level of at least 0.05. This suggests that the quality of these monophthongs is markedly distinct from that of native speakers. When it comes to the other two back monophthongs, /u/ and /uː/, Chinese students execute these at a highly proficient level, comparable to that of native speakers. The F2 of /u/ is the only aspect that considerably deviates from that of native speakers.
In addition to the mentioned differences in formant frequencies, Figure 5 below also illustrates the articulation places of short and long monophthongs produced by Chinese students of Thai (panels a and b) and native Thai speakers (panels c and d). The y-axis represents the F1 values, while the x-axis corresponds to the F2 values, allowing for a visual representation of the monophthong positions in the acoustic space. Native Thai speakers typically differentiate the position of articulation while pronouncing various monophthongs. However, there is a significant amount of overlap in the place of articulation when it comes to Chinese students’ production of both short (Figure 5a) and long monophthongs (Figure 5b). An example of this is the pronunciations of /ɯ/ and /ɤ/ along with their long counterparts, which show a clear overlap. This suggests that Chinese speakers of Thai struggle to differentiate between these two pairs of monophthongs. The most apparent overlap is observed in the location where back monophthongs are articulated. The three pairs of monophthongs produced by Chinese speakers have a significant overlap in their position of articulation, as indicated in Figure 5a,b. This implies that Chinese students of Thai face the most difficulty in accurately pronouncing Thai back monophthongs compared to native speakers. On the other hand, Chinese students do not appear to have much problem with the front monophthongs because their place of articulation is relatively spread out in distinct areas.
The aim of the production experiment was to compare and identify the significantly different acoustic features of monophthongs pronounced by Chinese speakers of Thai and native Thai speakers. Table 2 presents a summary of the acoustic features comparison in both monophthong duration and quality. Regarding the duration of monophthongs, the most notable differences are found in the duration of short monophthongs. Chinese speakers of Thai produced longer durations for all short monophthongs compared to native Thai speakers, except for /a/. The primary differences in monophthong quality occur mainly in the back monophthongs, specifically /o/, /oː/, /ɔ/, and /ɔː/. Furthermore, Table 2 also highlights the distinguishing quality features of other monophthongs, such as the F2 of /e/ and /ɯ/, as well as their long counterparts, and the F1 of /ɤ/ and /ɤː/, among others.

3.2. Perception Experiment

The accentedness perception results are displayed in Table 3, showing the average ratings given by 30 native Thai listeners for target words containing monophthongs produced by the two groups of speakers. The average accentedness score for native Thai speakers is 7.46, with a range of 6.45 to 8.87. On the contrary, Chinese speakers of Thai have an average score of 5.28 (with a range of 2.62 to 7.98). The non-native group has, on average, a mean degree of accentedness that is 2.18 lower than that of native speakers, indicating that native Thai listeners effectively detected a higher level of accentedness from non-native speakers. The accentedness ratings were then subjected to an independent sample t-test, which revealed a significant difference, t(28) = −5.17, p < 0.01.
Having determined the monophthongs that exhibit the most significant distinctions between the two groups of speakers in the production experiment, we have also acquired data on how native Thai speakers perceived these monophthongs in the perception experiment. The results of the production and perception experiments served as two instruments for further identification of the predictability of each monophthong on accentedness perception. To proceed, it is necessary to determine which monophthongs have the greatest predictability for the perception of accentedness. The monophthongs that have a greater predictability for the perception of accentedness should be given priority, since they have a greater impact on communication between Chinese speakers of Thai and native Thai speakers. In contrast, Thai monophthongs that were not significantly associated with the perception of accentedness should be less prioritized since they did not significantly hinder communication between Chinese speakers of Thai and native Thai speakers. This issue may be handled at a more advanced stage of language acquisition.

3.3. The Predictability of Monophthongs for the Level of Accentedness

The identification of the predictability of monophthongs for the level of accentedness involves three statistical steps: correlation analysis, principal component analysis, and regression analysis. These steps were based on the data gained from both the production and perception experiments, which constituted an in-depth procedure for eliminating the insignificant monophthongs and identifying the most crucial monophthongs that impacted the perception of accentedness. First, conducting a correlation study might help us identify the Thai monophthongs that exhibited the most deviation when produced by Chinese students. This is important because the greater the divergence of a Chinese-accented monophthong was, the more it would influence the level of accentedness. Various monophthong acoustic features were identified after the first step. Consequently, a principal component analysis was performed to group these monophthong acoustic features into measurable components. Following that, a stepwise regression analysis was conducted as the last step to determine which monophthongs had the most substantial predictability on the perception of accentedness.
Step 1: Correlation analysis between accentedness and monophthong acoustic features
In step 1, we conducted a Pearson correlation analysis to determine which acoustic features of monophthongs were significantly correlated to accentedness perceived by native Thai listeners. Table 4 displays that a total of 14 acoustic features exhibited a significant correlation with accentedness at a p < 0.01. The correlation coefficients (r) quantify the degrees of correlation between accentedness and acoustic features of monophthongs. According to Table 4, only the duration features of three short monophthongs (/ɯ/, /ɤ/, and /o/) reversely correlated with accentedness. In comparison, the quality of monophthongs showed a stronger correlation with accentedness. The emphasis is particularly placed on the quality of the back monophthongs /oː/, /ɔ/, and /ɔː/ due to the significant correlation shown between both the F1 and F2 of these three monophthongs and accentedness. Furthermore, the quality features of some other monophthongs were shown to be correlated with accentedness, such as the F2 of /eː/, /ɯ/, /ɯː/, and /ɤː/, and the F1 of /ɤ/.
Step 2: Principal component analysis of monophthong acoustic features
The correlation analysis revealed that 14 acoustic features of monophthongs were significantly correlated with accentedness. In the second step, we employed a principal component analysis to aggregate these variables and improve the interpretability of the data. According to Table 5, the principal component analysis successfully reduced the number of acoustic features from 14 to three components, while retaining the maximum amount of information. The three components accounted for 74.34% of the variance in the original 14 acoustic features. Component 1 is multifaceted, including the duration features of three short monophthongs (/ɤ/, /ɯ/, and /o/), as well as the quality features of /o/, /ɯ/, and /ɯː/. Component 2 encompasses three distinct features of two back monophthongs, specifically, the F1 of /ɔː/ and both the F1 and F2 of /ɔ/. Regarding Component 3, it comprises five quality features associated with back and central monophthongs. These include the F2 of /oː/, /ɔː/, and /ɤː/, as well the F1 of /oː/ and /ɤ/.
Step 3: Regression analysis of monophthong acoustic features with accentedness
We then performed a stepwise regression analysis to evaluate the potential of the three identified components to predict accentedness. The three components were used as independent variables (predictor variables), while the accentedness score was considered the dependent variable (predicted variables). Table 6 demonstrates that the stepwise regression analysis yielded a regression model containing the three previously found components. This suggests that all three components are significant predictors of accentedness. The adjusted R2 statistic indicates that Component 1, Component 2, and Component 3 collectively account for 56.0% of the variance in accentedness. Furthermore, the predictability of the three components varies, as indicated by the standardized coefficients. Component 3 has the highest level of reliability in predicting accentedness. A one-unit rise in Component 3 corresponds to a 0.538 unit increase in the accentedness score. Component 2 is the second most reliable predictor for accentedness, where an increase of one unit in Component 2 predicts an increase of 0.424 units in accentedness. Component 1 has the lowest predictive power for accentedness, where a one-unit increase in Component 1 equates to a 0.369 unit increase in accentedness.
To elaborate, the monophthong features found in Component 3 are considered the most crucial for perceiving accentedness, followed by those features contained in Component 2 and Component 1. Five quality features of back and central monophthongs in Component 3 greatly affect the perception of accentedness. These include the F2 of /oː/, /ɔː/, and /ɤː/, as well as the F1 of /oː/ and /ɤ/. Furthermore, three notable features of back monophthongs have a subordinate impact on the perception of accentedness, namely the F1 of /ɔː/ and /ɔ/, along with the F2 of /ɔ/. While having a minor effect on accentedness perception, Component 1, which has multiple aspects, still accounts for the variance in accentedness to a certain degree. This includes the duration features of /ɤ/, /ɯ/, and /o/, as well as the quality features of /o/, /ɯ/, and /ɯː/.
First and foremost, our results reveal the relative weights of different monophthongs in terms of their detrimental effects on accentedness perception. More specifically, our findings indicate that certain monophthongs had a crucial impact on the perception of accentedness, while others did not. Therefore, monophthongs that significantly contribute to the perception of accentedness should be prioritized in pronunciation instruction, while those that do not accurately predict the degree of accentedness should be saved to solve at a more advanced level. The acoustic features of monophthongs and their predictability in accentedness are summarized in Table 7 below. According to Table 7, there are a total of eight monophthongs that have a significant predictability for accentedness. This means that either their duration, F1, or F2 can successfully predict their accentedness perception. These monophthongs include /ɯ/, /ɯː/, /ɤ/, /ɤː/, /o/, /oː/, /ɔ/, and /ɔː/. On the other hand, the monophthongs /i/, /iː/, /e/, /eː/, /ɛ/, /ɛː/, /a/, /aː/, /u/, and /uː/ have low predictability for accentedness. This is because these monophthongs do not demonstrate their robustness in predicting the level of accentedness.

4. Conclusions and Discussion

This paper has successfully identified Chinese-accented Thai monophthongs that bear either a high or low predictability for the accentedness perception of native Thai listeners. This was accomplished through a combination of production and perception experiments. The monophthong pronunciation production of Chinese students in Thai was first compared to that of native speakers in terms of duration and quality. Subsequently, native listeners judged the degree of accentedness of these Chinese-accented Thai monophthongs. The monophthongs /ɯ/, /ɯː/, /ɤ/, /ɤː/, /o/, /oː/, /ɔ/, and /ɔː/ demonstrated their substantial predictability for the level of accentedness, potentially affecting the effectiveness of communication between Chinese speakers of Thai and native Thai speakers. Conversely, the monophthongs /i/, /iː/, /e/, /eː/, /ɛ/, /ɛː/, /a/, /aː/, /u/, and /uː/ did not significantly contribute to the perception of accentedness by native Thai listeners.
The most interesting part of our findings is that Chinese students of Thai exhibit varying levels of proficiency when confronted with distinct monophthongs, which could be explained by different theoretical frameworks. A significant source of the different proficiency levels in Thai monophthong production is the differences or similarities between the Chinese and Thai monophthong systems. Figure 6 illustrates that the monophthong systems of Thai and Chinese display both similarities and differences, indicative of their distinct phonological frameworks. Both languages exhibit similar monophthongs in the front and back positions, including /i/ and /u/, along with the central monophthongs /a/ and /ɤ/. Nevertheless, substantial differences are seen. The Thai language possesses a more complex monophthong inventory, encompassing duration distinctions and a broader spectrum of front monophthongs (/e/ vs. /e:/, /ɛ/ vs. /ɛ:/), central monophthongs (/ɯ/ vs. /ɯ:/), and back monophthongs (/o/ vs. /o:/, /ɔ/ vs. /ɔ:/), which are not present in Chinese. In contrast, Chinese features the front rounded vowel /y/, absent in Thai, and does not exhibit obvious duration distinctions. These distinctions highlight the complex diversity in vowel quality, rounding, and centralization between the two systems, influencing the production of Thai monophthongs by Chinese students.
Chinese students demonstrated ability approaching that of native speakers in the production of the monophthongs /i/, /a/, /u/, and their long counterparts. This high proficiency in duration and quality can be ascribed to positive transfer from their native language, as these monophthong phonemes are also present in Chinese phonology. Moreover, a comparison of the production of two pairs of central monophthongs, /ɯ/–/ɯː/ and /ɤ/–/ɤː/, reveals that Chinese students’ pronunciation of the /ɯ/–/ɯː/ contrast closely resembles that of native speakers, in stark contrast to their production of /ɤ/–/ɤː/. Chinese students see the monophthong phonemes /ɯ/–/ɯː/ as being new due to their absence in the Chinese monophthong inventory. However, they are already acquainted with the monophthong phonemes /ɤ/–/ɤː/ present in their native language. The superior performance in novel phonemes compared to existing phonemes aligns with the argument made by Flege and Port (1981) in their Speech Learning Model (SLM). Based on the SLM, adults who are learning an L2 can develop phonetic categories for new sounds in the L2. As a result, they can eventually produce these sounds accurately. However, sounds that are similar to their L1 will continue to have a foreign accent even after a long period of exposure to the L2. This is because the formation of categories for these sounds is hindered by equivalence classification from their L1 (Bohn & Flege, 1992).
The observed differences in Chinese students’ production of the monophthong contrasts /ɯ/–/ɯː/ and /ɤ/–/ɤː/ can be effectively explained using the Perceptual Assimilation Model (Best, 1995; Best & Tyler, 2007). The /ɯ/–/ɯː/ pair, absent from the learners’ native phoneme inventory, likely constitutes a Two-Category assimilation pattern, allowing students to perceive the monophthong as distinct and form new phonetic categories. This facilitates more native-like production. In contrast, the /ɤ/–/ɤː/ pair corresponds to existing L1 phonemes, leading to Single-Category assimilation, where both monophthongs are assimilated into a single native phonetic category. This perceptual equivalence classification hinders the development of fine phonetic distinctions, resulting in less accurate production compared to native speakers. These findings underscore the impact of the L1 phonetic inventory on L2 sound acquisition (Best, 1995; Flege, 1995), highlighting the need for targeted instruction to address perceptual challenges associated with L1 interference. Additional studies are necessary to demonstrate more robust correlations between phonetic perception and production in L2 learning. Specifically, future research should explore the potential overlap between the abovementioned monophthong pairs among Mandarin speakers. This overlap, potentially rooted in articulatory and acoustic similarities, may contribute to the variability observed in F1 and F2 measurements. Investigating how L2 learners perceptually discriminate such similar L2 sounds and how this overlap affects their L2 production is essential. Potential experimental approaches, such as perceptual discrimination tasks or ultrasound imaging, could provide valuable insights into these phenomena.
Based on the performance of Chinese students on front, central, and back monophthongs, it may be inferred that certain back monophthongs present the greatest challenge for Chinese students. The phonological system of their native language potentially plays an important part in their Thai back monophthong acquisition. Chinese students from the Central Plains in this study struggled to accurately pronounce the Thai back monophthongs /o, oː/ and /ɔ, ɔː/ because Mandarin Chinese, particularly in this dialect region, lacks a true monophthong [o]. In Central Plains Mandarin, what appears as /-o/ in Pinyin is actually a diphthong [uo]. However, after labial consonants (b-, p-, m-, and f-), the medial [u] is omitted in Pinyin, leading to the simplified notation /bo/, /po/, /mo/, and /fo/. Despite this notation, the actual pronunciation still involves a diphthong (Duanmu, 2007; Wang, 1980). Consequently, Central Plains Mandarin speakers are unfamiliar with producing a pure [o] as a monophthong, which likely contributes to their difficulty in mastering the distinct Thai monophthongs /o, oː/ and /ɔ, ɔː/. This phonological gap underscores a significant challenge in acquiring accurate Thai pronunciation.
The ultimate goal of identifying the monophthongs that significantly influence accentedness is to offer guidance in the pedagogy of Thai language for Chinese students. When teachers are confronted with multiple errors, they should prioritize errors that tend to influence accentedness more. This is because such errors are more likely to impact listeners’ comprehension and speech processing. The findings of this study provide teachers with valuable and specific guidance on how to enhance the spoken language skills of Thai language learners. Rather than focusing on adding more features to work on, the study suggests that teachers should concentrate on targeting only those features that are likely to have a significant impact on listeners. It is crucial for teachers to consider that not all individual speech sounds are equally important in L2 speech. Therefore, teaching specific speech sounds should be given priority over others in pedagogy. Furthermore, the identification of segmentals with high and low predictabilities for accentedness might provide insights for the development of teaching materials. By prioritizing segmentals with high predictability for accentedness, this will increase the likelihood that the lexical items will be immediately useful to students.
Beyond the challenges with monophthongs analyzed in this study, L2 learners also face significant difficulties with other phonological features, such as diphthongs, initial consonants, consonant clusters, final consonants, and tones. These challenges are often shaped by the learners’ native language, which may transfer phonological patterns that differ from those of Thai. For example, Chinese’s more limited range of consonant clusters and tonal distinctions could hinder the accurate production of Thai sounds. Addressing these difficulties requires pedagogical strategies that focus on raising L2 learners’ phonological awareness. Teachers could incorporate targeted exercises emphasizing the contrasts between Chinese and Thai phonological systems, such as minimal-pair drills for tones or controlled pronunciation practice for diphthongs and consonant clusters. Additionally, the use of auditory–visual aids, such as spectrograms and tone contour graphs, could help learners perceive and replicate unfamiliar features. Future research could further support pedagogy by examining Chinese learners’ production of these features and the influence of Chinese transfer. By framing the current study within this broader context, we will gain a more comprehensive understanding of the interconnected nature of phonological challenges in L2 acquisition, offering valuable insights for designing more effective and targeted teaching practices.
Finally, it is also crucial to offer directions for future researchers to extend the findings of the present study. Further studies should consider the listener effect in L2 perception. The social and language backgrounds of listeners, including their L1 profiles, L2 competence, age, experience, familiarity with accents, and metacognition, are important features that can influence the perception of L2 speech (Kang, 2012; Saito et al., 2019; Saito & Shintani, 2016). Hence, future research can incorporate diverse groups of listeners with varying social and linguistic backgrounds to ascertain whether they exhibit any disparities in L2 perception. Additionally, future studies should also integrate the impact of the task effect into their research design, as the perception of accentedness can be influenced by the nature of speaking activities. Research in L2 acquisition has demonstrated that different task types can significantly affect how learners produce L2 speech (Crowther et al., 2018). The cognitive demands imposed by various speaking tasks play a crucial role in shaping L2 language production. This study employed a picture description task, which minimized cognitive load to control the influence of extraneous variables, such as lexicogrammatical complexity. Future research could explore methods with higher cognitive demands, such as interviews, to elicit L2 speech. This approach would provide deeper insights into how L2 speech production varies across different speaking tasks. Furthermore, it is noteworthy that the pronunciation of monophthongs accounted for 56.0% of the variance in accentedness, leaving 44.0% unexplained. In order to comprehensively comprehend the factors that contribute to the accentedness of L2 speech, it is essential to examine a broader variety of L2 features. This includes consonants, prosody, lexicon, grammar, and even pragmatic features. By investigating the interaction of these features in the perception of L2, we can gain a deeper understanding and enhance the communication dynamics between non-native speakers and native speakers.

Author Contributions

Conceptualization, P.H. and S.K.; methodology, P.H.; validation, P.H. and S.K.; formal analysis, P.H.; investigation, P.H. and S.K.; writing—original draft preparation, P.H.; writing—review and editing, P.H. and S.K.; supervision, S.K. All authors have read and agreed to the published version of the manuscript.

Funding

This research received no external funding.

Institutional Review Board Statement

The study was conducted in accordance with the Declaration of Helsinki, and approved by the Institutional Review Board of Institute for Population and Social Research, Mahidol University (IPSR-IRB) (COA. No. 2023/05-110).

Informed Consent Statement

Informed consent was obtained from all subjects involved in the study.

Data Availability Statement

The data presented in this study are available on request from the corresponding author due to ethical reasons.

Conflicts of Interest

The authors declare no conflict of interest.

References

  1. Adank, P., Van Hout, R., & Smits, R. (2004). An acoustic description of the vowels of Northern and Southern Standard Dutch. The Journal of the Acoustical Society of America, 116(3), 1729–1738. [Google Scholar] [CrossRef] [PubMed]
  2. Best, C. T. (1995). A Direct Realist View of Cross-Language Speech Perception. In W. Strange (Ed.), Speech perception and linguistic experience: Issues in cross-language research (pp. 171–204). York Press. [Google Scholar]
  3. Best, C. T., & Tyler, M. D. (2007). Nonnative and Second-Language Speech Perception: Commonalities and Complementarities. In O.-S. Bohn, & M. J. Munro (Eds.), Second-language speech learning: The role of language experience in speech perception and production (pp. 13–34). John Benjamins. [Google Scholar]
  4. Boersma, P., & Weenink, D. (2023). Praat: Doing phonetics by computer (Version 6.3.09). Available online: http://www.praat.org/ (accessed on 12 March 2023).
  5. Bohn, O.-S., & Flege, J. E. (1992). The production of new and similar vowels by adult German learners of English. Studies in Second Language Acquisition, 14(2), 131–158. [Google Scholar] [CrossRef]
  6. Bongaerts, T., van Summeren, C., Planken, B., & Schils, E. (1997). Age and ultimate attainment in the pronunciation of a foreign language. Studies in Second Language Acquisition, 19(4), 447–465. [Google Scholar] [CrossRef]
  7. Brown, A. (1988). Functional load and the teaching of pronunciation. TESOL Quarterly, 22, 593–606. [Google Scholar] [CrossRef]
  8. Chung, H., & Kim, Y. (2021). Acoustic characteristics of Korean-English bilingual speakers’/l/ and the relationship to their foreign accent ratings. Journal of Communication Disorders, 94, 106–157. [Google Scholar] [CrossRef]
  9. Crowther, D., Trofimovich, P., Saito, K., & Isaacs, T. (2018). Linguistic dimensions of L2 accentedness and comprehensibility vary across speaking tasks. Studies in Second Language Acquisition, 40(2), 443–457. [Google Scholar] [CrossRef]
  10. Darcy, I., Rocca, B., & Hancock, Z. (2021). A window into the classroom: How teachers integrate pronunciation instruction. RELC Journal, 52(1), 110–127. [Google Scholar] [CrossRef]
  11. Derwing, T. M. (2003). What Do ESL Students Say About Their Accents? Canadian Modern Language Review, 59(4), 547–567. [Google Scholar] [CrossRef]
  12. Duanmu, S. (2007). The phonology of standard Chinese. Oxford University Press. [Google Scholar]
  13. Flege, J. E. (1995). Second Language Speech Learning: Theory, Findings, and Problems. In W. Strange (Ed.), Speech perception and linguistic experience: Issues in cross-language research (pp. 233–277). York Press. [Google Scholar]
  14. Flege, J. E., & Port, R. (1981). Cross-language phonetic interference: Arabic to English. Language and Speech, 24(2), 125–146. [Google Scholar] [CrossRef]
  15. Hagiwara, R. (2005). Monophthongs and formant movement in North American English. The Journal of the Acoustical Society of America, 118(Suppl. S3), 2037. [Google Scholar] [CrossRef]
  16. Hou, P., & Kraisame, S. (2023). Interlanguage phonology and accentedness: An experimental study of Thai final nasal consonants in Chinese students learning Thai. REFLections, 30(2), 318–336. [Google Scholar] [CrossRef]
  17. Idemaru, K., Wei, P., & Gubbins, L. (2018). Acoustic sources of accent in second language Japanese speech. Language and Speech, 62(2), 333–357. [Google Scholar] [CrossRef] [PubMed]
  18. Jenkins, J. (2000). The phonology of English as an international language. Oxford University Press. [Google Scholar]
  19. Kang, O. (2012). Impact of rater characteristics and prosodic features of speaker accentedness on ratings of international teaching assistants’ oral performance. Language Assessment Quarterly, 9(3), 249–269. [Google Scholar] [CrossRef]
  20. Lee, W.-S., & Zee, E. (2003). Standard Chinese (Beijing). Journal of the International Phonetic Association, 33(1), 109–112. [Google Scholar] [CrossRef]
  21. Levy, H., & Hanulíková, A. (2019). Variation in children’s vowel production: Effects of language exposure and lexical frequency. Laboratory Phonology, 10(1), 1–26. [Google Scholar] [CrossRef]
  22. Moyer, A. (2014). What’s age got to do with it? Accounting for individual Factors in second language accent. Studies in Second Language Learning and Teaching, 4(3), 443–464. [Google Scholar] [CrossRef]
  23. Munro, M. J. (1993). Productions of English vowels by native speakers of Arabic: Acoustic measurements and accentedness ratings. Language and Speech, 36(1), 39–66. [Google Scholar] [CrossRef]
  24. Munro, M. J., & Derwing, T. M. (1999). Foreign accent, comprehensibility, and intelligibility in the speech of second language learners. Language Learning, 49, 285–310. [Google Scholar] [CrossRef]
  25. Roengpitya, R. (2002). Different durations of diphthongs in Thai: A new finding. In Annual meeting of the berkeley linguistics society (pp. 43–54). Linguistic Society of America. [Google Scholar]
  26. Saito, K., & Shintani, N. (2016). Do native speakers of North American and Singapore English differentially perceive comprehensibility in second language speech? TESOL Quarterly, 50(2), 421–446. [Google Scholar] [CrossRef]
  27. Saito, K., Tran, M., Suzukida, Y., Sun, H., Magne, V., & Ilkan, M. (2019). How do second language listeners perceive the comprehensibility of foreign-accented speech? Roles of first language profiles, second language proficiency, age, experience, familiarity, and metacognition. Studies in Second Language Acquisition, 41(5), 1133–1149. [Google Scholar] [CrossRef]
  28. Sereno, J., Lammers, L., & Jongman, A. (2016). The relative contribution of segments and intonation to the perception of foreign-accented speech. Applied Psycholinguistics, 37(2), 303–322. [Google Scholar] [CrossRef]
  29. Slayden, G. (2009). Central Thai phonology. Available online: http://www.thai-language.com/resources/slayden-thai-phonology.pdf (accessed on 12 December 2023).
  30. Suzukida, Y., & Saito, K. (2019). Which segmental features matter for successful L2 comprehensibility? Revisiting and generalizing the pedagogical value of the functional load principle. Language Teaching Research, 25(3), 431–450. [Google Scholar] [CrossRef]
  31. Tarone, E. (1987). The phonology of interlanguage. In G. Ioup, & S. Weinberger (Eds.), Interlanguage phonology: The acquisition of a second language sound system (pp. 70–85). Newbury House. [Google Scholar]
  32. Tingsabadh, M. R. K., & Abramson, A. S. (1993). Thai. Journal of the International Phonetic Association, 23(1), 24–28. [Google Scholar] [CrossRef]
  33. Trofimovich, P., & Baker, W. (2007). Learning prosody and fluency characteristics of second language speech: The effect of experience on child learners’ acquisition of five suprasegmentals. Applied Psycholinguistics, 28(2), 251–276. [Google Scholar] [CrossRef]
  34. Trofimovich, P., & Isaacs, T. (2012). Disentangling accent from comprehensibility. Bilingualism: Language and Cognition, 15(4), 905–916. [Google Scholar] [CrossRef]
  35. Wang, L. (1980). Hanyu yinyun [Chinese phonology]. Zhonghua Shuju. [Google Scholar]
  36. Wayland, R. (1997). Non-Native production of Thai: Acoustic measurements and accentedness ratings. Applied Linguistics, 18(3), 345–373. [Google Scholar] [CrossRef]
  37. Yi, L. (2017). A comparison of the acoustic characteristics of Thai vowels produced by Chinese and Thai participants. Manutsayasat Wichakan, 24(1), 302–326. [Google Scholar]
Figure 1. Thai monophthong chart (Slayden, 2009; Tingsabadh & Abramson, 1993).
Figure 1. Thai monophthong chart (Slayden, 2009; Tingsabadh & Abramson, 1993).
Languages 10 00011 g001
Figure 2. The duration and quality calculation of monophthongs.
Figure 2. The duration and quality calculation of monophthongs.
Languages 10 00011 g002
Figure 3. Durations of monophthongs (* = significant level < 0.05, ** = significant level < 0.01, ns = non-significant, and hereafter).
Figure 3. Durations of monophthongs (* = significant level < 0.05, ** = significant level < 0.01, ns = non-significant, and hereafter).
Languages 10 00011 g003
Figure 4. Formant frequencies of monophthongs (* = significant level < 0.05, ** = significant level < 0.01, ns = non-significant, and hereafter).
Figure 4. Formant frequencies of monophthongs (* = significant level < 0.05, ** = significant level < 0.01, ns = non-significant, and hereafter).
Languages 10 00011 g004
Figure 5. Place of articulation of monophthongs produced by Chinese students of Thai.
Figure 5. Place of articulation of monophthongs produced by Chinese students of Thai.
Languages 10 00011 g005
Figure 6. Monophthong contrasts between Thai (Slayden, 2009, p. 4) and Chinese (Lee & Zee, 2003, p. 110).
Figure 6. Monophthong contrasts between Thai (Slayden, 2009, p. 4) and Chinese (Lee & Zee, 2003, p. 110).
Languages 10 00011 g006
Table 1. Keywords used in the picture description task.
Table 1. Keywords used in the picture description task.
MonophthongsKeywords
Short MonophthongsLong Monophthongs
/i, iː/มะลิ /máʔ.líʔ/ ‘jasmine’ลิ้นจี่ /lín.tɕìː/ ‘lychee’
/e, eː/แม่เหล็ก /mɛ̂ː.lèk/ ‘magnet’ทะเล /tháʔ.leː/ ‘ocean’
/ɛ, ɛː/นมแพะ /nom.phɛ́ʔ/ ‘goat milk’ตุ๊กแก /túk.kɛː/ ‘gecko’
/ɯ, ɯː/ปลาหมึก /plaː.mɯ̀k/ ‘squid’หนังสือ /nǎŋ.sɯ̌ː/ ‘book’
/ɤ, ɤː/เยอะ ๆ /jɤ́ʔ.jɤ́ʔ/ ‘ab undant’พบเจอ /phóp.tɕɤː/ ‘encounter’
/a, aː/ลิ้นชัก /lín.tɕʰák/ ‘drawer’ทุ่งนา /tʰûŋ.naː/ ‘rice paddy’
/u, uː/มังคุด /maŋ.kʰút/ ‘mangosteen’ตะปู /tàʔ.puː/ ‘nail’
/o, oː/กระจก /kràʔ.tɕòk/ ‘glass’แตงโม /tɛːŋ.moː/ ‘watermelon’
/ɔ, ɔː/ชาวเกาะ /tɕhaːw.kɔ̀ʔ/ ‘islander’ดินสอ /din.sɔ̌ː/ ‘pencil’
Table 2. Acoustic feature differences between Chinese speakers and native Thai speakers in pronouncing monophthongs. (Note: * = significant level < 0.05, ** = significant level < 0.01, ns = non-significant, and hereafter).
Table 2. Acoustic feature differences between Chinese speakers and native Thai speakers in pronouncing monophthongs. (Note: * = significant level < 0.05, ** = significant level < 0.01, ns = non-significant, and hereafter).
MonophthongsDurationF1F2
/i/**nsns
/iː/nsns*
/e/*****
/eː/nsns**
/ɛ/***ns
/ɛː/nsnsns
/ɯ/**ns**
/ɯː/nsns**
/ɤ/****ns
/ɤː/******
/a/nsnsns
/aː/nsnsns
/u/**ns*
/uː/nsnsns
/o/*****
/oː/*****
/ɔ/******
/ɔː/*****
Table 3. Accentedness perception results.
Table 3. Accentedness perception results.
Chinese Speakers of ThaiAccentednessNative Thai SpeakersAccentedness
No.16.71No.17.83
No.23.48No.28.87
No.32.62No.37.59
No.44.77No.46.54
No.55.12No.58.57
No.65.01No.67.35
No.73.47No.77.36
No.86.67No.86.88
No.95.34No.96.51
No.104.77No.107.17
No.116.05No.116.45
No.125.66No.127.83
No.137.98No.138.25
No.144.58No.147.16
No.157.01No.157.52
Mean ± SD5.28 ± 1.46Mean ± SD7.46 ± 0.73
Table 4. The correlation between acoustic features of monophthongs and accentedness. (Note: ** = significant level < 0.01).
Table 4. The correlation between acoustic features of monophthongs and accentedness. (Note: ** = significant level < 0.01).
Vowel Featuresrp
/ɯ/ duration−0.6400.000 **
/ɤ/ duration−0.5250.003 **
/o/ duration−0.6780.000 **
/ɯ/ F20.6100.000 **
/ɯː/ F20.6510.000 **
/ɤ/ F10.7000.000 **
/ɤː/ F20.5910.001 **
/o/ F20.5280.003 **
/oː/ F1−0.4910.006 **
/oː/ F2−0.6120.000 **
/ɔ/ F10.5210.003 **
/ɔ/ F20.5220.003 **
/ɔː/ F10.5580.001 **
/ɔː/ F20.5530.002 **
Table 5. Principal component analysis of acoustic features of monophthongs.
Table 5. Principal component analysis of acoustic features of monophthongs.
Vowel FeaturesComponents
123
/ɤ/ duration−0.866
/o/ F20.808
/ɯ/ F20.745
/ɯ/ duration0.675
/o/ duration−0.669
/ɯː/ F20.651
/ɔː/ F1 0.856
/ɔ/ F1 0.794
/ɔ/ F2 0.659
/oː/ F2 −0.890
/oː/ F1 −0.665
/ɔː/ F2 0.626
/ɤ/ F1 0.546
/ɤː/ F2 −0.519
Table 6. The results of the regression analysis of monophthong acoustic features with accentedness.
Table 6. The results of the regression analysis of monophthong acoustic features with accentedness.
Dependent VariableIndependent VariablesR2Adjusted R2pStandardized CoefficientsSig.
AccentednessComponent 30.6050.5600.0000.5380.000
Component 2 0.4240.002
Component 1 0.3690.006
Table 7. Acoustic features and their predictability for accentedness (marked by √).
Table 7. Acoustic features and their predictability for accentedness (marked by √).
MonophthongsDurationF1F2
/i/
/iː/
/e/
/eː/
/ɛ/
/ɛː/
/ɯ/
/ɯː/
/ɤ/
/ɤː/
/a/
/aː/
/u/
/uː/
/o/
/oː/
/ɔ/
/ɔː/
Disclaimer/Publisher’s Note: The statements, opinions and data contained in all publications are solely those of the individual author(s) and contributor(s) and not of MDPI and/or the editor(s). MDPI and/or the editor(s) disclaim responsibility for any injury to people or property resulting from any ideas, methods, instructions or products referred to in the content.

Share and Cite

MDPI and ACS Style

Hou, P.; Kraisame, S. Accentedness Perception in L2: An Investigation of Thai Monophthong Pronunciation of Chinese Students. Languages 2025, 10, 11. https://doi.org/10.3390/languages10010011

AMA Style

Hou P, Kraisame S. Accentedness Perception in L2: An Investigation of Thai Monophthong Pronunciation of Chinese Students. Languages. 2025; 10(1):11. https://doi.org/10.3390/languages10010011

Chicago/Turabian Style

Hou, Peng, and Sarawut Kraisame. 2025. "Accentedness Perception in L2: An Investigation of Thai Monophthong Pronunciation of Chinese Students" Languages 10, no. 1: 11. https://doi.org/10.3390/languages10010011

APA Style

Hou, P., & Kraisame, S. (2025). Accentedness Perception in L2: An Investigation of Thai Monophthong Pronunciation of Chinese Students. Languages, 10(1), 11. https://doi.org/10.3390/languages10010011

Article Metrics

Back to TopTop