Next Article in Journal
Effect of Penetrative Combustion on Regression Rate of 3D Printed Hybrid Rocket Fuel
Previous Article in Journal
Effects of Asymmetric Vane Pitch on Reducing Low-Engine-Order Forced Response of a Turbine Stage
Previous Article in Special Issue
Influence of Gas-to-Wall Temperature Ratio on the Leakage Flow and Cooling Performance of a Turbine Squealer Tip
 
 
Font Type:
Arial Georgia Verdana
Font Size:
Aa Aa Aa
Line Spacing:
Column Width:
Background:
Article

Development of a Large-Scale High-Speed Linear Cascade Rig for Turbine Blade Tip Heat Transfer Study

1
Global Institute of Future Technology, Shanghai Jiao Tong University, Shanghai 200240, China
2
University of Michigan-Shanghai Jiao Tong University Joint Institute, Shanghai Jiao Tong University, Shanghai 200240, China
3
School of Aeronautics and Astronautics, Shanghai Jiao Tong University, Shanghai 200240, China
*
Author to whom correspondence should be addressed.
Aerospace 2022, 9(11), 695; https://doi.org/10.3390/aerospace9110695
Submission received: 9 September 2022 / Revised: 20 October 2022 / Accepted: 4 November 2022 / Published: 7 November 2022
(This article belongs to the Special Issue Cooling/Heat transfer (Volume II))

Abstract

The high-speed Over-Tip-Leakage (OTL) flow has a significant impact on the aerodynamic performance of the High-Pressure Turbine (HPT) passage and generates high thermal load for the blade tip. Different tip sealing and cooling design strategies are applied to reduce the OTL loss and help turbine survive in a high temperature environment. High-speed linear cascade experimental rigs play an important role in understanding the flow physics and evaluating their performance. Multiple blades and passages are often required to maintain a reasonable flow periodicity. To match the engine representative Reynolds number and Mach number, a high-speed multi-passage cascade design inevitably demands more compressed air supply. A very large amount of heating power is also required if the engine condition wall-to-gas temperature ratio needs to be matched. In this study, a simplified 2-Passage linear cascade rig for high-speed tip heat transfer research was developed. Both the design method and the rig performance are presented. Different from existing design method to match two-dimensional blade loading, this study shows there are other design flexibilities, such as assist blade tip gap, tailboard adjustment, and profiling adjustment, to match the periodic three-dimensional OTL flow structures. The design method was validated by experimental effort. High resolution tip heat transfer coefficient distribution at stationary and rotating conditions (Rotating Mach number = 0.35) are reported. The enlarged test model can offer much more improved resolution of optical measurement near the tip region.

1. Introduction

Modern High-Pressure Turbine blades operate at high Reynolds number, high Mach number, high temperature, and high rotating speed conditions. Complex Over-Tip-Leakage (OTL) flow develops around the blade tip region, which introduces significant loss penalty (Bunker et al. [1]) and thermal load (Azad et al. [2]). Tip aerothermal performance has received lots of attention in the turbomachinery research community. Achieving engine realistic flow conditions in the laboratory environment has been a very challenging task.
Full-scale rotating turbine rigs can reproduce the engine representative Reynolds, Mach number, and rotating speed. These rigs have been located in a few famous research laboratories, including the Ohio State University Gas Turbine Laboratory (Dunn and Mathison [3]), the Osney Thermofluids Laboratory from Oxford University (Ainsworth et al. [4]; Miller et al. [5]), MIT (Guenette et al. [6]), US Air Force Research Laboratory (Anthony and Clark [7]), VKI (Denos et al. [8]). Generally speaking, most of these facilities are very expensive to build and maintain. Obtaining high-resolution tip heat transfer data is also very challenging due to the rig’s short duration nature.
To reduce the experimental cost and obtain high resolution measurement data, the large-scale, low-speed linear turbine cascades experimental rigs have been widely used to investigate the OTL flow. Various optical measurement techniques can be employed to these types of rigs; for example, the oil film method by Lee et al. [9], the naphthalene sublimation technique by Jin and Goldstein [10], and the PIV and IR thermography by Palafox et al. [11].
Recently the transonic nature of the HP turbine blade tip and its important implication on heat transfer have been recognized [12,13,14,15]. Due to the existence of shock waves and compressibility effect, the flow structures at high- and low-speed conditions can be quite different. It is important to match the OTL flow Mach number in the experimental research of HP turbine tip aerothermal performance.
High-speed linear cascade facility has been employed by a good number of recent tip studies. To match both the high Reynolds number and the high Mach number of the OTL flow, a relatively high mass flow consumption has to be maintained. It has been a common practice to use seven to five blades in the tip studies (Anto et al. [16]; Zhang et al. [17]; Cação et al. [18]; Chemnitz et al. [19]) to ensure a periodic flow field around the central tip. There have been efforts to further reduce the blade number of the high-speed linear cascade to three or even less. The small blade count design methodology (Rogers with Three-Passage [20]; Laskowski et al. with Double-Passage [21]; Cho et al. with 160% pitch Single-Passage and Mohamed et al. with 100% pitch Single-Passage [22,23] includes tailboard adjustment, boundary layer bleeds, shifted blades, etc.
However, most of this work focused only on the blade surface and end wall heat transfer, and the rig design methods considered only the flow periodicity at the midspan region. As the OTL flow is highly three-dimensional, it also has a strong interaction with the casing secondary flow. Therefore, achieving the desired flow condition with good periodicity near the blade tip region is much more challenging than simply matching the midspan loading. It is questionable how effective the existing two-dimensional design method, mainly used for midspan loading, can be when directly applied to high-speed tip experimental study, especially on a small blade count test bed.
This paper presents the development of a large-scale, high-speed linear cascade experimental rig. The test section for tip heat transfer study only uses two blades, and consumes a reasonable amount of mass flow to meet the engine representative Mach and Reynolds number. It would also require less energy input to achieve a high inlet temperature. In this paper, the design concept with special adjustment features is illustrated first, followed by the introduction of detailed mechanical design. Heat transfer coefficient distributions measured by transient IR thermography technique on a transonic flat tip surface are presented in the end.

2. 2-Passage Linear Cascade Design Methods

Firstly, two-dimensional (2D) numerical simulation is carried out to match the blade loading at midspan. The 2D design method for a 2-Passage high-speed linear cascade can follow the conventional design procedure that many researchers adopted in the open literature [23]. This 2D design was then extended to three-dimensional (3D) simulation to assess the periodicity of OTL flow. Three design options to adjust the OTL flow field of the target test blade tip are introduced, including assist blade tip gap, side wall tailboard, and curved side wall. The 3D numerical simulation results are also used in the mechanical design of the large-scale linear cascade rig.
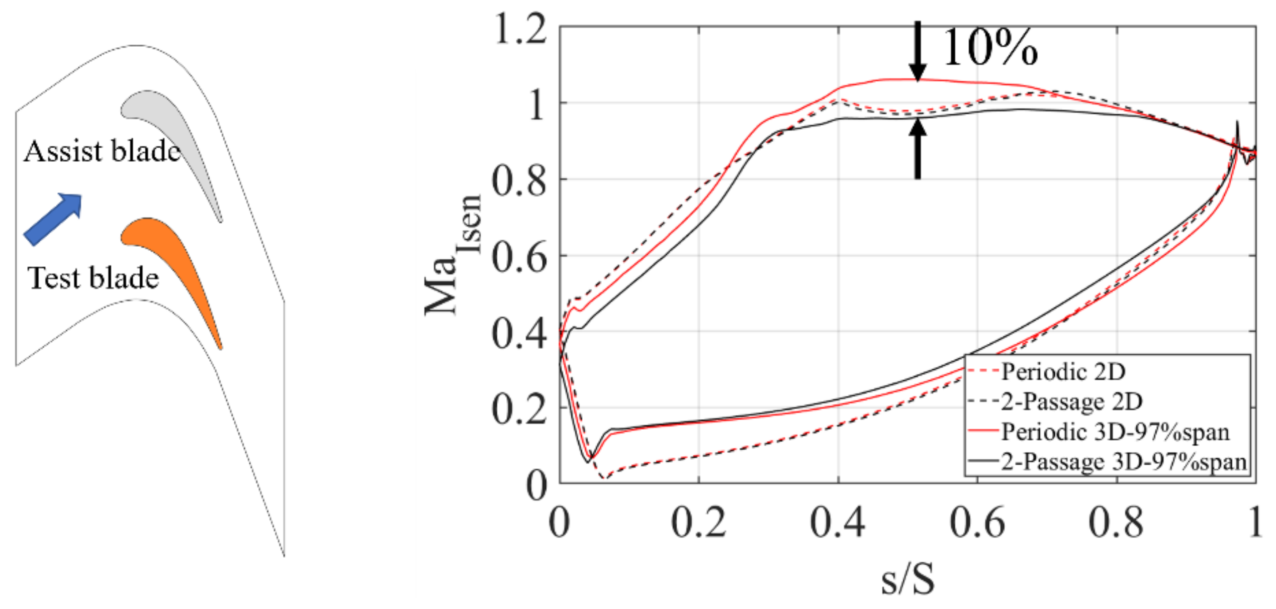
A typical High-Pressure Turbine (HPT) Blade with a flat tip is employed in the present study. The schematic of 2-Passage test model is shown in Figure 1. The 2-Passage test model contains 2 blades: one test blade and one assist blade. The test section contains 2 whole passages (one passage in the middle and half a passage on each side). The flow condition and basic information are provided in Table 1. The large blade has a chord length of 92 mm. Both the Reynolds number and the Mach number are near real engine condition.
Commercial CFD code (ANSYS CFX, Shanghai, China) was employed in the present study for numerical simulations. The k-ω Shear Stress Transport (SST) model was implemented, which is also used in 3D simulation. The performance of k-omega SST model in OTL flow and heat transfer prediction has been previously validated by Maffulli and He [24], Ma et al. [25] and Xie et al. [26].
Figure 2 presents the 3D computational domain with detailed mesh information for the Periodic case. The mesh was generated by the software (Pointwise v18.3, Shanghai, China). Structured mesh was used in order to keep the thickness of the first layer grid. The wall y+ is less than 1 for all wall boundaries. 2-Passage case has same mesh and boundary conditions as Periodic case with just modifying two side walls from periodic to wall condition.
Periodic case offers the target loading for 2-Passage case. The two side wall profiles of 2-Passage case are the same, which is a streamline released from same location at inlet of Periodic case. The corresponding loading (in terms of isentropic Mach) along test blade surface curve length is shown in Figure 1. Streamline side wall design is enough from the good agreement of loading for the 2D design between Periodic case and 2-Passage case.
However, this is not the case when 2D design is extruded to 3D condition due to the involvement of 3D OTL flow. There is a 10% discrepancy of loading at suction side surface. Detailed 3D flow structure and loss coefficient distribution of cut plane at 0.1 axial chord downstream of trailing edge can be seen in Figure 3. Loss coefficient is defined as pressure difference of inlet total pressure and local total pressure over mass flux averaged kinetic energy at passage exit, which is also used in the following sections. When the OTL flow exits the tip gap, it will interact with the main passage flow, which is related to the flow resistance of the whole channel. Meanwhile, the pressure side leg of Horseshoe Vortex from the assist blade leading edge will meet the test blade OTL and form a passage vortex at the test blade suction side surface. The OTL flow of the test blade is affected by both the main passage flow and the pressure side leg of the Horseshoe Vortex from the assist blade which is coupled with the assist blade OTL flow. Compared with the Periodic case, the 2-Passage case has obvious weaker Leakage Vortex and Passage Vortex due to the wrong leakage flow of the assist blade. To guarantee the correct OTL flow, tailboard design is used to adjust the main passage flow while assist blade tip gap and side wall profile design is used to adjust the pressure side leg of the Horseshoe Vortex of the assist blade.
One of the design options is adjusting the near tip region blade loading by varying the assist blade tip gap height. To illustrate the sensitivity of this design option, three tip gap heights of 25%, 100%, and 150% of test blade tip clearance is investigated. As can be shown in Figure 4, test blade loading near the suction side trailing edge is decreased about 8% with increasing assist blade tip gap from 25% to 150%. This is due to increased flow added to the assist blade pressure side horseshoe vortex, marked as blue streamlines in Figure 5, which should become leakage flow originally at small gap, marked as red streamlines in Figure 5. The strengthened assist blade pressure side leg of Horseshoe Vortex will lead to a strengthened test blade Passage Vortex and, as a result, weakening test blade Leakage Vortex, which is consistent with suction side near tip loading.
Another design option is to adjust the tailboard next to the assist blade. The tailboard rotating center is located 0.83 axial chord downstream of the blade leading edge which is just at upstream of the assist passage throat. Three tailboard angles ( φ = 1°, 0°, and +1°) are used to investigate the sensitivity of the test blade loading on tailboard angle. A tailboard line of 0° is the tangent line of 2D side wall profile at 0.83 axial chord position. The near tip loading of Periodic case and three tailboard angle cases is shown in Figure 6a. There is about a 15% increase in suction side loading when the tailboard is adjusted from inner −1° to outer +1°, where Periodic loading is covered in the range. Flow acceleration and deceleration in the assist blade passage is changed due to the different cross area variation along streamline direction, which can be seen in Figure 6. Flow speed in assist blade passage is increased from high subsonic condition to transonic condition. As a result, the whole channel flow is accelerated and higher OTL flow in observed for tailboard cases. It is in accordance with a loading increase in the test blade suction side surface.
Current design is also evaluated at engine representative rotating speed of Ma = 0.6. Near tip isentropic Mach number of test blade for Periodic case and 0° tailboard case can be seen in Figure 7. The difference is small, and our design is applicable for rotating condition.
Thirdly, the side wall next to the assist blade can have three-dimensional features along the span direction. The concept is to allow more developing space for the OTL flow out of the assist blade. Wall profiles at different spans of the curve side wall are obtained from streamlines at the same span of the Periodic 3D case, which are released at the same pitch-wise location of the inlet. In the current design, six streamlines from 50% span, 60% span, 70% span, 80% span, 90% span, and 98% span are used. The streamlines of passage flow extracted at 50% and 98% blade height are shown in Figure 8. The curve side wall is constructed by smooth transition of these 2D streamlines, which is also shown in Figure 8. Wall profiles keep away from the assist blade near the blade tip region. To achieve better periodicity, the same curve wall is applied to both side walls of the channel. There is a good match near the tip loading of the test blade for the Periodic case and the curve side wall case. As can be seen in Figure 8, the contoured side wall also accelerates the mainstream. The Mach number distribution at midspan is more similar to the Periodic case.
Figure 9 shows a 3D vorticial structure of both the test blade and the assist blade for the 2-Passage case and the curve side wall case. Compared with the 2-Passage case, a more near periodic OTL flow of assist blade is observed for the curve side wall case, which results in a better pressure side leg of the Horseshoe Vortex of the assist blade, and the Leakage Vortex and the Passage Vortex of the test blade.
A detailed mechanical design of 2-Passage transonic linear cascade is shown in Figure 10. This design aims to offer more adjustability for the target test blade OTL flow. It consists of periodicity adjustment system and other ordinary linear cascade designs. The periodicity adjustment system includes the tailboard, the changeable side wall, and the tip gap adjustment system. The tailboard is designed referring to the numerical results. The tailboard rotating axis is located 0.83 axial chord downstream of blade leading edge which is the same as tailboard adjustment simulation. OTL flow periodicity can be mostly guaranteed when the tailboard angle is in the range of −1° to 1° in CFD. Therefore, the tailboard is designed with a wider-angle range of −4° to +6°. A 1° position in tailboard adjustment simulation is referred to as 0° position of experimental setup. The side wall is replaceable from the straight side wall to the curve wall according to the different test blade profiles. The side wall profile design follows the same procedure as the numerical simulation. The tip clearance adjustment system changes the tip gap of both the test blade and assist blade synchronous by lifting the platform with an accuracy of 0.01 mm. It also allows the test blade tip gap and the assist blade tip gap to be adjusted separately by adding extra spacer to the assist blade.
Other ordinary linear cascade designs include the turbulence grid and the IR window. Inlet turbulence grid is located 4 axial chords upstream of test blade. It can be replaced according to different turbulence intensity requirements. The IR window with IR glass will let the IR camera see the blade tip temperature in a transient thermal measurement. The test blade will be altered between ordinary photopolymer for aerodynamic tests and high temperature photopolymer for thermal tests.

3. Experimental Validation and Heat Transfer Measurement

Figure 11 presents the continuous wind tunnel system and high-speed disk rotor employed in the present study, as well as previous work (Lu et al. [27], Xie et al. [26]). A 400 kW compressor was used to provide the continuous compressed air maintained at a maximum pressure of 0.2 MPa and mass flow rate of 180 m3/min. An air tank was installed upstream of the test section to stabilize the inlet flow. A 100 kW heater mesh was used to generate an abrupt step rise in mainstream for transient thermal measurement. The 2-Passage Large-scale linear cascade test section was installed on the high-speed disk rotor rig to verify the feasibility under both the stationary and relative casing movement condition. Detailed information of the test section with the disk rotor is presented in Figure 12. The bell-shaped disk rotor with a diameter of 2 m was used to provide high-speed rotation with a maximum rotating speed of 2500 rpm, which corresponds to a relative casing speed of 220 m/s. A special seal system was designed between the test section and the disk rotor to prevent the leakage. The optic windows on the disk rotor allows IR thermal measurement for the 2-Passage linear cascade blade tip heat transfer study.
Both an aerodynamic test and a thermal test are carried out in the large-scale linear cascade rig. The schematic diagram of the test section is shown in Figure 13. The aerodynamic test is carried out at a stationary condition. To measure the flow conditions of the main flow, a total pressure probe is fixed at a 50% height of the inlet passage, 0.8 chord upstream of the test blade leading edge. A total of 7 static pressure taps are located at passage walls. The detailed information can be seen in Table 2. Static pressure at 50% span and 97% of the test blade is also measured. In the present test, the tailboard is used to adjust periodicity of test blade. Tailboard angle is tested from −4° to 6° with an interval of 1°. To acquire test blade loading, 38 0.6 mm pressure holes are evenly distributed along the curve length on the pressure and suction side surfaces at 50% span and 97% span of blade to measure the local static pressure. The pressure holes were connected with a pressure scanner (NetScanner 9216, TE Connectivity) and a host computer. The test blade tip was also instrumented for thermal measurement. Its upper part was made from resin with low thermal conductivity by stereo lithography technology, and the lower part was made from steel for fixing purpose. For all the experiments, an inlet total pressure of 172 kPa was offered by the high-speed continuous wind tunnel. The turbulence grid (grid bar with 1.5 mm in width and 14.5 mm in distance) in the channel inlet can control inlet turbulence intensity around 6%. The tip clearance was 1%. Detailed flow conditions were the same as CFD analysis as listed in Table 1. The tested and simulated inlet total pressure and static pressure at passage walls are presented in Table 2. The deviation from the simulated Periodic case and the 2-Passage tail board 1° case to experimental data is in ±2.0 kPa. The rotating speed of the rotor disk used in the thermal experiments was 1400 rpm, which corresponds to a relative casing speed of 120 m/s and a relative Rotating Mach number of 0.35.
Transient Infrared thermal measurement technique was used in the thermal experiment. A near step rise of 70 K in mainstream was achieved by the heater mesh and the inlet total temperature was kept at 340 K which is the same as CFD simulation. A high-speed IR camera (TELOPS FAST 80 hd, frequency 200 Hz @ 880 × 400, 450 μs exposure time) was applied to capture the blade tip surface temperature distribution. A total of twelve large IR windows were uniformly placed over the disk rotor for optical access to the blade tip surface. A complete set of trigger and control systems were fully instrumented with laser displacement sensors, acceleration transducers, and vibration speed sensors. In the thermal experiment, a change of reflected light intensity between the lower surface of the rotor disk and its infrared glass window was used to trigger the camera. When the infrared glass window turns to the top of the fiber sensor, the reflected light intensity has a step change, which triggers the camera to capture the temperature distribution of the blade tip surface at a certain time. In this way, the camera captures 12 frames of blade tip temperature distribution from 12 infrared glass windows for each round of the rotor disk.
Due to the low thermal conductivity of the test blade material and the short heating duration, 1-D semi-infinite conduction assumption is valid during the transient thermal measurement. Based on the surface transient temperature history captured by the IR camera, the local surface heat flux can be calculated by the Impulse method, first introduced by Oldfield [28]. This post-processing method has been validated and well documented by previous tip thermal experiments [17,25].
If the aerodynamics remain unchanged during the temperature step increase, the relationship between the heat flux q w and surface wall temperature history T w should be linear, according to Newton’s law of cooling qw
q w = h T ad T w .
Figure 14 presents the correlation between normalized heat flux q / T 0 , in and surface temperature history T w / T 0 , in for a specific measurement location over the tip. The slope of the linear curve shown in Figure 14 is the local heat transfer coefficient, the x-axis interception is the normalized adiabatic wall temperature T ad / T 0 , in . The deviation of the data point from the linear curve indicates either variation of the aerodynamics or the failure of 1-D semi-infinite conduction assumption.
The averaged relative uncertainty in linear regression with 95% confidence is 5%. The average uncertainty values of HTC and cooling effectiveness are ±10% and ±12%, which is similar to most results reported in the previous tip heat transfer studies using high-speed linear cascade facilities (O’Dowd et al. [29], Ma et al. [25]).
Figure 15 presents isentropic Mach number distribution of midspan and 97%-span for test blade with the tailboard angle of 0° at stationary condition, which is compared with periodic CFD results. The relative difference between EXP results and CFD simulations is less than 5%, which is acceptable. It should be noted that there is a relatively large difference near pressure side leading edge and the aft blade suction side s/S = 0.6–0.9. This could be caused by the accuracy of the 3D printing and experimental uncertainty due to existence of shock waves. The experimental results are consistent with numerical results in Figure 6, which suggests that tailboard adjustment can effectively adjust periodicity of the test blade.
Figure 16 presents the heat transfer coefficient distribution of the test blade tip at a stationary condition and a rotating condition (Rotating Mach number = 0.35). The rotating case pushes hot spot near leading edge toward trailing edge and changes the structure and location of shockwave. Compared with previous experimental results, the large-scale blade data has higher resolution and accuracy.

4. Conclusions

To match the engine representative Reynolds number and Mach number with an affordable amount of air consumption and heating power in the laboratory environment, a simplified 2-passage linear cascade rig for high-speed tip heat transfer research was developed in this study.
Numerical simulation by RANS CFD illustrates the design flexibilities to match the periodic three-dimensional OTL flow structures. Adjusting the assist blade tip gap height and curve side wall design mainly aims to adjust the pressure side leg of Horseshoe Vortex to guarantee near periodic Leakage Vortex and Passage Vortex of the test blade. The tailboard can be adjusted for the flow resistance of the assist blade passage and the main flow of whole channel.
The proposed design method was validated by experimental effort in a transonic wind tunnel with a high-speed disk rotor mimicking the relative casing effect. High resolution tip heat transfer coefficient distribution at stationary and rotating conditions (Rotating Mach number = 0.35) are reported. The rotating effect pushes tip leading edge hot spot moving toward trailing edge and changes over tip shockwave structure. The enlarged test model can offer a much more improved resolution of optical measurement near the tip region.

Author Contributions

Conceptualization, H.J.; methodology, H.J. and S.L.; validation, X.P., W.X., and Y.G.; writing—original draft preparation, H.J. and X.P.; writing—review and editing, S.L.; supervision, H.J. and S.L.; project administration, Y.G. All authors have read and agreed to the published version of the manuscript.

Funding

This research was funded by Chinese National Science Foundation (51376127, 51506120), the Aeronautical Scientific Funding (2018ZB57004, 2019ZB057005).

Data Availability Statement

The data presented in this study are available on request from the corresponding author.

Acknowledgments

The authors acknowledge Li He from Oxford University for guidance and suggestions on this research effort. The authors also gratefully acknowledge the support of Me Technology Academy Co., Ltd. for helping to establish the test facility. We would like to acknowledge Zhongran Chi’s group in Shanghai Jiao Tong University for the support of providing licensed ANSYS CFX solver.

Conflicts of Interest

The authors declare no conflict of interest.

Nomenclature

Symbols
C x Axial Chord Length
MaMach Number
MaisenIsentropic Mach Number at Blade Surface
φ Tailboard Angle
sLocal Curve Length of Blade Surface
SCurve Length of Blade Suction Side Surface
qwWall Heat Flux
TwWall Temperature
TadAdiabatic Wall Temperature
T0,inInlet Total Temperature
Pt.inTotal Pressure at Inlet
PsStatic Pressure
LELeading Edge
TETrailing Edge

References

  1. Bunker, R.S.; Bailey, J.C.; Ameri, A.A. Heat transfer and flow on the first-stage blade tip of a power generation gas turbine: Part 1—Experimental results. ASME J. Turbomach. 2000, 122, 263–271. [Google Scholar] [CrossRef]
  2. Azad, G.S.; Han, J.C.; Teng, S.; Boyle, R.J. Heat transfer and pressure distributions on a gas turbine blade tip. ASME J. Turbomach. 2000, 122, 717–724. [Google Scholar] [CrossRef]
  3. Dunn, M.; Mathison, R. History of Short-Duration Measurement Programs Related to Gas Turbine Heat Transfer, Aerodynamics, and Aeroperformance at Calspan and The Ohio State University. ASME J. Turbomach. 2014, 136, 041004. [Google Scholar] [CrossRef]
  4. Ainsworth, R.W.; Schultz, D.L.; Davies, M.R.D.; Forth, C.J.P.; Hilditch, M.A.; Oldfield, M.L.G.; Sheard, A.G. A Transient Flow Facility for the Study of the Thermofluid-Dynamics of a Full Stage Turbine Under Engine Representative Conditions. In Proceedings of the ASME 1988 International Gas Turbine and Aeroengine Congress and Exposition, Volume 4: Heat Transfer, Electric Power, Industrial and Cogeneration, Amsterdam, The Netherlands, 6–9 June 1988. ASME Paper No. 88-GT-144. [Google Scholar]
  5. Miller, R.J.; Moss, R.W.; Ainsworth, R.W.; Harvey, N.W. Wake, shock, and potential field interactions in a 1.5 stage turbine—Part I: Vane-rotor and rotor-vane interaction. ASME J. Turbomach. 2003, 125, 33–39. [Google Scholar] [CrossRef]
  6. Guenette, G.R.; Epstein, A.H.; Giles, M.B.; Haimes, R.; Norton, R.J.G. Fully Scaled Transonic Turbine Rotor Heat Transfer Measurements. ASME J. Turbomach. 1989, 111, 1–7. [Google Scholar] [CrossRef]
  7. Anthony, R.J.; Clark, J.P. A Review of the AFRL Turbine Research Facility. In Proceedings of the ASME Turbo Expo 2013: Turbine Technical Conference and Exposition, Volume 3C: Heat Transfer, San Antonio, TX, USA, 3–7 June 2013. ASME Paper No: GT2013-94741. [Google Scholar]
  8. De Nos, R.; Arts, T.; Paniagua, G.; Michelassi, V.; Martelli, F. Investigation of the Unsteady Rotor Aerodynamics in a Transonic Turbine Stage. ASME J. Turbomach. 2001, 123, 81–89. [Google Scholar] [CrossRef]
  9. Lee, S.W.; Kim, S.U. Tip gap height effects on the aerodynamic performance of a cavity squealer tip in a turbine cascade in comparison with plane tip results: Part 1—Tip gap flow structure. Exp. Fluids 2010, 49, 1039–1051. [Google Scholar] [CrossRef]
  10. Jin, P.; Goldstein, R.J. Local mass and heat transfer on a turbine blade tip. Int. J. Rotating Mach. 2003, 9, 81–95. [Google Scholar] [CrossRef]
  11. Palafox, P.; Oldfield, M.L.G.; LaGraff, J.E.; Jones, T.V. PIV Maps of Tip Leakage and Secondary Flow Fields on a Low-Speed Turbine Blade Cascade with Moving End Wall. ASME J. Turbomach. 2008, 130, 011001. [Google Scholar] [CrossRef]
  12. Zhang, Q.D.; O’Dowd, L.; He, A.; Wheeler, P.M.; Ligrani, B.C. Overtip shock wave structure and its impact on turbine blade tip heat transfer. ASME J. Turbomach. 2011, 133, 041001. [Google Scholar] [CrossRef]
  13. Zhang, Q.; He, L. Over tip choking and its implications on turbine blade-tip aerodynamic performance. AIAA J. Propul. Power 2011, 27, 1008–1014. [Google Scholar] [CrossRef]
  14. Wheeler, A.; Atkins, N.R.; He, L. Turbine Blade Tip Heat Transfer in Low Speed and High Speed Flows. In Proceedings of the ASME Turbo Expo 2009: Power for Land, Sea, and Air, Volume 3: Heat Transfer, Parts A and B, Orlando, FL, USA, 8–12 June 2009. ASME Paper No.GT2009-59404. [Google Scholar]
  15. Wheeler, A.; Sandberg, R.D. Numerical investigation of the flow over a model transonic turbine blade tip. J. Fluid Mech. 2016, 803, 119–143. [Google Scholar] [CrossRef]
  16. Anto, K.; Xue, S.; Ng, W.F.; Zhang, L.J.; Moon, H.K. Effects of Tip Clearance Gap and Exit Mach Number on Turbine Blade Tip and Near-Tip Heat Transfer. In Proceedings of the ASME Turbo Expo 2013: Turbine Technical Conference and Exposition, Volume 3C: Heat Transfer, San Antonio, TX, USA, 3–7 June 2013. ASME Paper No. GT2013-94345. [Google Scholar]
  17. Zhang, Q.; O’Dowd, D.O.; He, L.; Oldfield, M.L.G.; Ligrani, P.M. Transonic Turbine Blade Tip Aerothermal Performance with Different Tip Gaps—Part I: Tip Heat Transfer. ASME J. Turbomach. 2011, 133, 041027. [Google Scholar] [CrossRef]
  18. Cação Ferreira, T.S.; Vasilakopoulos, N.; Arts, T. Investigation of Thermal Effect on Bypass Transition on a High-Pressure Turbine Guide Vane. ASME J. Turbomach. 2019, 141, 051006. [Google Scholar] [CrossRef]
  19. Chemnitz, S.; Niehuis, R. A Comparison of Turbulence Levels from Particle Image Velocimetry and Constant Temperature Anemometry Downstream of a Low-Pressure Turbine Cascade at High-Speed Flow Conditions. ASME J. Turbomach. 2020, 142, 071008. [Google Scholar] [CrossRef]
  20. Rogers, D.R. Design of a Three-Passage Low Reynolds Number Turbine Cascade with Periodic Flow Conditions. Master’s Thesis, Brigham Young University, Provo, UT, USA, 24 November 2008. [Google Scholar]
  21. Laskowski, G.M.; Vicharelli, A.; Medic, G.; Elkins, C.J.; Eaton, J.K.; Durbin, P.A. Inverse Design of and Experimental Measurements in a Double-Passage Transonic Turbine Cascade Model. ASME J. Turbomach. 2005, 127, 619–626. [Google Scholar] [CrossRef]
  22. Cho, C.H.; Cho, S.Y.; Kim, Y.C.; Ahn, K.Y. Design of a 160% pitch passage for cascade experiments using optimization methods. Eng. Optim. 2010, 42, 253–269. [Google Scholar] [CrossRef]
  23. Qenawy, M.; Yuan, L.; Liu, Y.; Peng, D.; Wen, X.; Zhou, W. A Novel Single-Passage Transonic Wind Tunnel for Turbine-Vane Film Cooling. ASME J. Eng. Gas Turbines Power 2020, 142, 071009. [Google Scholar] [CrossRef]
  24. Maffulli, R.; He, L. Dependence of External Heat Transfer Coefficient and Aerodynamics on Wall Temperature for 3-D Turbine Blade Passage. In Proceedings of the ASME Turbo Expo 2014: Turbine Technical Conference and Exposition, Volume 2C: Turbomachinery, Düsseldorf, Germany, 16–20 June 2014. ASME Paper No. GT2014-26763. [Google Scholar]
  25. Ma, H.; Zhang, Q.; He, L.; Wang, Z.; Wang, L. Cooling injection effect on a transonic squealer tip—Part 1: Experimental heat transfer results and CFD validation. ASME J. Eng. Gas Turbines Power 2017, 139, 052506. [Google Scholar] [CrossRef]
  26. Xie, W.; Peng, X.; Jiang, H.; Lu, S.; Gu, Y.; Chen, C.-P.; Zhang, Q. Experimental Study of Turbine Blade Tip Heat Transfer with High-Speed Relative Casing Motion. In Proceedings of the Global Power and Propulsion Society, Xi’an, China, 18–20 October 2021. GPPS Paper No. GPPS-TC-2021-0267. [Google Scholar]
  27. Lu, S.; Zhang, Q.; He, L. A High-Speed Disk Rotor Rig Design for Tip Aerothermal Research. ASME J. Turbomach. 2021, 144, 051002. [Google Scholar]
  28. Oldfield, M.L.G. Impulse response processing of transient heat transfer gauge signals. ASME J. Turbomach. 2008, 130, 739–750. [Google Scholar] [CrossRef]
  29. O’Dowd, D.; Zhang, Q.; He, L.; Oldfield, M.; Ligrani, P.; Cheong, B.; Tibbott, I. Aerothermal Performance of a Winglet at Engine Representative Mach and Reynolds Numbers. ASME J. Turbomach. 2011, 133, 041026. [Google Scholar] [CrossRef]
Figure 1. Test blade loading for two-dimensional design and three-dimensional near tip region (97% span).
Figure 1. Test blade loading for two-dimensional design and three-dimensional near tip region (97% span).
Aerospace 09 00695 g001
Figure 2. Computational domain and mesh information with tip y+ distribution.
Figure 2. Computational domain and mesh information with tip y+ distribution.
Aerospace 09 00695 g002
Figure 3. Three-dimensional flow structure at near tip region for (a) Periodic case and (b) 2-Passage case.
Figure 3. Three-dimensional flow structure at near tip region for (a) Periodic case and (b) 2-Passage case.
Aerospace 09 00695 g003
Figure 4. Isentropic Mach number distributions of Test blade 97%span surface for three assist blade tip gap (25% GapTest,100% GapTest,150% GapTest) cases.
Figure 4. Isentropic Mach number distributions of Test blade 97%span surface for three assist blade tip gap (25% GapTest,100% GapTest,150% GapTest) cases.
Aerospace 09 00695 g004
Figure 5. 3D flow field for two assist blade tip gap cases: (a) GapAssist = 25% GapTest and (b) GapAssist = 150% GapTest.
Figure 5. 3D flow field for two assist blade tip gap cases: (a) GapAssist = 25% GapTest and (b) GapAssist = 150% GapTest.
Aerospace 09 00695 g005
Figure 6. Tailboard adjustment, (a) near tip isentropic Mach number distribution of test blade surface for Periodic and three tailboard angles (−1°, 0°, +1°) cases, (b) Mach number distribution for Periodic, 2-Passage and 2-Passage 0° tailboard cases.
Figure 6. Tailboard adjustment, (a) near tip isentropic Mach number distribution of test blade surface for Periodic and three tailboard angles (−1°, 0°, +1°) cases, (b) Mach number distribution for Periodic, 2-Passage and 2-Passage 0° tailboard cases.
Aerospace 09 00695 g006
Figure 7. Near tip loading at 97% span of test blade surface with tailboard angle of 0° at rotating condition (Rotating Mach number = 0.6).
Figure 7. Near tip loading at 97% span of test blade surface with tailboard angle of 0° at rotating condition (Rotating Mach number = 0.6).
Aerospace 09 00695 g007
Figure 8. Isentropic Mach number distribution of test blade near tip (97% span) for Periodic case and 2-Passage curve side wall case.
Figure 8. Isentropic Mach number distribution of test blade near tip (97% span) for Periodic case and 2-Passage curve side wall case.
Aerospace 09 00695 g008
Figure 9. 3D vorticial structure for (a) Periodic case and (b) 2-Passage curve side wall case.
Figure 9. 3D vorticial structure for (a) Periodic case and (b) 2-Passage curve side wall case.
Aerospace 09 00695 g009
Figure 10. Detailed 2-Passage mechanical design of 2-Passage linear cascade.
Figure 10. Detailed 2-Passage mechanical design of 2-Passage linear cascade.
Aerospace 09 00695 g010
Figure 11. High-speed wind tunnel system employed in present study.
Figure 11. High-speed wind tunnel system employed in present study.
Aerospace 09 00695 g011
Figure 12. 2-Passage linear cascade mounted at high-speed disk rotor experimental rig.
Figure 12. 2-Passage linear cascade mounted at high-speed disk rotor experimental rig.
Aerospace 09 00695 g012aAerospace 09 00695 g012b
Figure 13. Schematic diagram of test section.
Figure 13. Schematic diagram of test section.
Aerospace 09 00695 g013
Figure 14. Linear relationship between heat flux and wall temperature for a selected point during one transient measurement.
Figure 14. Linear relationship between heat flux and wall temperature for a selected point during one transient measurement.
Aerospace 09 00695 g014
Figure 15. Test blade isentropic Mach number distribution of midspan and 97% span for the test blade at stationary condition (CFD and EXP).
Figure 15. Test blade isentropic Mach number distribution of midspan and 97% span for the test blade at stationary condition (CFD and EXP).
Aerospace 09 00695 g015
Figure 16. Heat transfer coefficient distribution of test blade tip for stationary and rotating conditions: (a) stationary; (b) rotating (Ma = 0.35).
Figure 16. Heat transfer coefficient distribution of test blade tip for stationary and rotating conditions: (a) stationary; (b) rotating (Ma = 0.35).
Aerospace 09 00695 g016
Table 1. Boundary Conditions and Geometry Information.
Table 1. Boundary Conditions and Geometry Information.
ParametersValue
Inlet Total Pressure172 kPa
Outlet Static Pressure101 kPa
Inlet Total Temperature340 K
Chord-based Outlet Reynolds Number1.8 2 × 106
Inlet Turbulent Intensity6%
Exit Mach Number0.9
Chord Length92 mm
Aspect Ratio1.14
Tip Clearance1.3 mm (1%)
Table 2. Flow Conditions of experimental measurements and CFD results.
Table 2. Flow Conditions of experimental measurements and CFD results.
Aerospace 09 00695 i001ParametersLocationValue (kPa)
EXPCFD
Periodic
CFD
2-Passage-
φ = 1 °
Inlet Total Pressure0.8 chord upstream of test blade LE172.29172.00172.00
Side wall static pressure
(3 points)
0.8 chord upstream of test blade LE159.80No161.64
159.85No161.64
159.83No161.69
Hub wall static pressure1
(2 points)
0.3 chord upstream of test blade LE161.06160.60161.23
161.61161.80162.17
Hub wall static pressure2
(2 points)
0.15 chord downstream of test blade TE97.6897.3499.24
104.16102.93104.66
Publisher’s Note: MDPI stays neutral with regard to jurisdictional claims in published maps and institutional affiliations.

Share and Cite

MDPI and ACS Style

Jiang, H.; Peng, X.; Xie, W.; Lu, S.; Gu, Y. Development of a Large-Scale High-Speed Linear Cascade Rig for Turbine Blade Tip Heat Transfer Study. Aerospace 2022, 9, 695. https://doi.org/10.3390/aerospace9110695

AMA Style

Jiang H, Peng X, Xie W, Lu S, Gu Y. Development of a Large-Scale High-Speed Linear Cascade Rig for Turbine Blade Tip Heat Transfer Study. Aerospace. 2022; 9(11):695. https://doi.org/10.3390/aerospace9110695

Chicago/Turabian Style

Jiang, Hongmei, Xu Peng, Wenbo Xie, Shaopeng Lu, and Yongmin Gu. 2022. "Development of a Large-Scale High-Speed Linear Cascade Rig for Turbine Blade Tip Heat Transfer Study" Aerospace 9, no. 11: 695. https://doi.org/10.3390/aerospace9110695

APA Style

Jiang, H., Peng, X., Xie, W., Lu, S., & Gu, Y. (2022). Development of a Large-Scale High-Speed Linear Cascade Rig for Turbine Blade Tip Heat Transfer Study. Aerospace, 9(11), 695. https://doi.org/10.3390/aerospace9110695

Note that from the first issue of 2016, this journal uses article numbers instead of page numbers. See further details here.

Article Metrics

Back to TopTop