Lagrange Optimization of Shock Waves for Two-Dimensional Hypersonic Inlet with Geometric Constraints
Abstract
1. Introduction
2. Methodology of Shock Wave Optimization
2.1. Optimization Objective and Geometric Constraints
2.2. Lagrange Optimization Algorithm
3. Results and Discussion
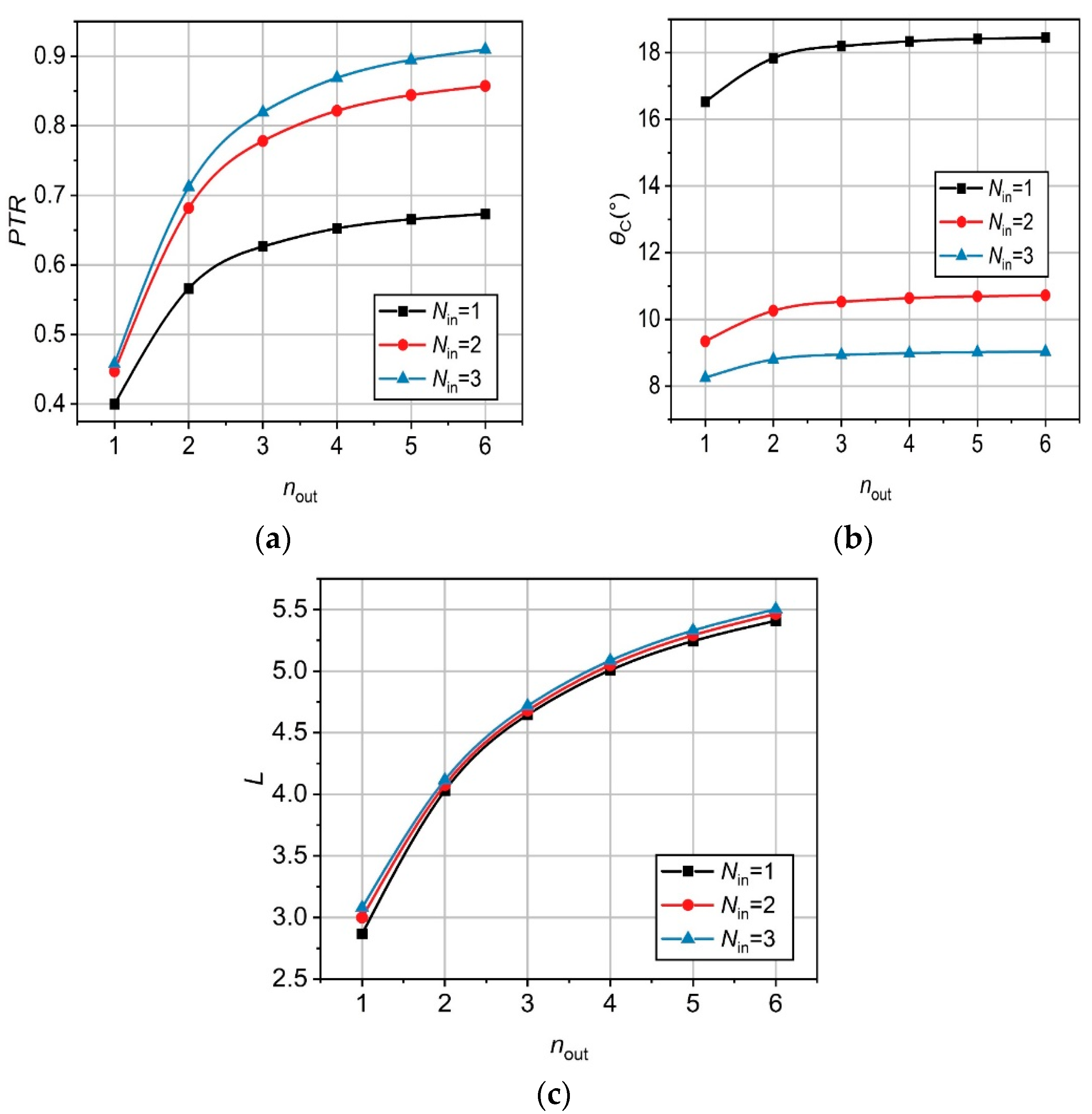
3.1. Characteristics of Inlet without Limiting Cowl Internal Angle and Length
3.2. The Influence of the Limit of Cowl Internal Angle
3.3. Influence of the Limit of Inlet Length
3.4. Numerical Study of Performances at Off-Design Conditions
3.4.1. Performances at Difference Mach Number
3.4.2. Performances at Different AOA
4. Conclusions
- A benchmark case of the inlet without geometric constraints based on the Lagrange optimization method indicates that the total pressure recovery varies non-monotonically with the cowl internal angle and reaches the peak value at the reference cowl internal angle. The influences of the cowl internal angle that deviated from the reference value are mainly reflected in the internal compression section by slightly decreasing the flow turning angle of external shocks. The shock configuration rule of equal intensity distribution is still satisfied by varying the cowl internal angle, which accounts for the negligible influences of the cowl internal angle on the inlet length.
- The influences of the inlet length that deviate from the reference value can be observed in both internal and external sections and lead to a decrease of the total pressure recovery. For the internal compression section, the influences of the inlet length are larger than that of the cowl internal angle. The shock configuration rule of equal intensity distribution is not satisfied by varying the inlet length.
- For the optimized inlet by limiting the cowl internal angle, it appears to be nearly the same evolutions of the total pressure recovery with the cowl internal angle at design or off-design Mach number. The total pressure recovery decreases as the cowl internal angle deviates from the reference value that can be observed for both the designed or off-designed AOA, in which the critical value of the cowl internal angle increases with AOA. The mass capture ratio is slightly influenced owing to the fact that external shocks are not sensitive to the change of the cowl internal angle.
- For the optimized inlet by limiting the inlet length, the total pressure recovery decreases with the deviation of inlet length from the reference value. At the non-designed AOA, it shows an opposite variation of the total pressure recovery with inlet length. Specifically, at the positive AOA, a longer inlet can improve the performance; whereas at the negative AOA, a shorter inlet is expected to increase the total pressure recovery. In addition, the increase of inlet length would cause a prominent decrease of the mass capture ratio at the Mach number lower than the design value only for a shorter inlet. The mass capture ratio changes noticeably for a long inlet because the windward area can be changed easily.
Author Contributions
Funding
Conflicts of Interest
References
- Seddon, J.; Goldsmith, E.L. Intake Aerodynamics; Collins; American Institute of Aeronautics and Astronautics: Reston, VA, USA, 1999. [Google Scholar]
- Blaize, M.; Knight, D.; Rasheed, K. Automated Optimal Design of Two-Dimensional Supersonic Missile Inlets. J. Propuls Power 1998, 14, 890–898. [Google Scholar] [CrossRef]
- Brown, M.; Mudford, N.; Neely, A.; Ray, T. Robust Design Optimization of Two-Dimensional Scramjet Inlets. In Proceedings of the 14th AIAA/AHI Space Planes and Hypersonic Systems and Technologies Conference, Canberra, Australia, 6–9 November 2006. [Google Scholar]
- Ran, H.; Denney, R.; Mavris, D.N. Determination of the Terminal Shock in Two-Dimensional Supersonic Inlets. J. Aircr. 2012, 49, 1532–1535. [Google Scholar] [CrossRef]
- Murthy, S.; Curran, E.T. Scramjet Propulsion; Progress in Astronautics & Aeronautics; American Institute of Aeronautics and Astronautics: Reston, VA, USA, 1971. [Google Scholar]
- Soltani, M.R.; Daliri, A.; Younsi, J.S. Effects of Shock Wave/Boundary-Layer Interaction on Performance and Stability of a Mixed-Compression Inlet. Sci. Iran. 2016, 23, 1811–1825. [Google Scholar] [CrossRef]
- Lezberg, E.A.; Metzler, A.J.; Pack, W.D. In-Stream Measurements of Combustion during Mach 5 to 7 Tests of the Hypersonic Research Engine (HRE); American Institute of Aeronautics and Astronautics: Reston, VA, USA, 1993. [Google Scholar]
- Maru, Y.; Tanatsugu, N.; Sato, T.; Kobayashi, H.; Okai, K. Multi-Row Disk Arrangement Concept for Spike of Axisymmetric Air Inlet. In Proceedings of the 40th AIAA/ASME/SAE/ASEE Joint Propulsion Conference and Exhibit, Fort Lauderdale, FL, USA, 11–14 July 2004. [Google Scholar]
- Soltani, M.R.; Farahani, M.; Kaji, M.H.A. An Experimental Study of Buzz Instability in an Axisymmetric Supersonic Inlet. Sci. Iran. 2011, 18, 241–249. [Google Scholar] [CrossRef][Green Version]
- Soltani, M.R.; Sepahi-Younsi, J. Buzz Cycle Description in an Axisymmetric Mixed-Compression Air Intake. AIAA J. 2016, 54, 1–14. [Google Scholar] [CrossRef]
- Yuan, H.; Liu, F.; Wang, X.; Zhou, Z. Design and Analysis of a Supersonic Axisymmetric Inlet Based on Controllable Bleed Slots. Aerosp. Sci. Technol. 2021, 118, 107008. [Google Scholar] [CrossRef]
- Trexler, C.A. Performance of an Inlet for an Integrated Scramjet Concept. J. Aircr. 2015, 11, 589–591. [Google Scholar] [CrossRef]
- Busemann, A. Die Achsensymmetrische Kegelige Überschallströmung. Luftfahrtforschung 1942, 19, 137–144. [Google Scholar]
- Billig, F.S.; Kothari, A.P. Streamline Tracing: Technique for Designing Hypersonic Vehicles. J. Propuls. Power 2012, 16, 465–471. [Google Scholar] [CrossRef]
- Van Wie, D.; Molder, S. Applications of Busemann Inlet Designs for Flight at Hypersonic Speeds. In Aerospace Design Conference; Meeting Paper Archive; American Institute of Aeronautics and Astronautics: Reston, VA, USA, 1992. [Google Scholar]
- Smart, M.K. Optimization of Two-Dimensional Scramjet Inlets. J. Aircr. 1999, 36, 430–433. [Google Scholar] [CrossRef]
- Medina, J.A.; Patel, H.R.; Chudoba, B. 2D Mixed-Compression Inlet Sizing of Supersonic Vehicles. In Proceedings of the AIAA Aviation 2021 Forum, Virtual Event, 2–6 August 2021. [Google Scholar]
- De Vanna, F.; Bof, D.; Benini, E. Multi-Objective RANS Aerodynamic Optimization of a Hypersonic Intake Ramp at Mach 5. Energies 2022, 15, 2811. [Google Scholar] [CrossRef]
- Kucuk, U.C. Application of Response Surface Methodology to Optimize Aerodynamic Performance of NACA Inlet. In Proceedings of the 53rd AIAA/SAE/ASEE Joint Propulsion Conference, Atlanta, GA, USA, 10–12 July 2017. [Google Scholar] [CrossRef]
- Chernyavsky, B.; Stepanov, V.; Rasheed, K.; Blaize, M.; Knight, D. 3-D Hypersonic Inlet Optimization Using a Genetic Algorithm. In Proceedings of the 34th AIAA/ASME/SAE/ASEE Joint Propulsion Conference and Exhibit, Cleveland, OH, USA, 13–15 July 1998; American Institute of Aeronautics and Astronautics Inc.: Reston, VA, USA, 1998. [Google Scholar]
- Chorkawy, G.; Etele, J. Exchange Inlet Optimization by Genetic Algorithm for Improved RBCC Performance. Acta Astronaut 2017, 138, 201–213. [Google Scholar] [CrossRef]
- Oswatitsch, K. Pressure Recovery for Missiles with Reaction Propulsion at High Supersonic Speeds (The Efficiency of Shock Diffusers). In Contributions to the Development of Gasdynamics: Selected Papers, Translated on the Occasion of K. Oswatitsch’s 70th Birthday; Oswatitsch, K., Schneider, W., Platzer, M., Eds.; Vieweg+Teubner Verlag: Wiesbaden, Germany, 1980; pp. 290–323. [Google Scholar]
- Henderson, L.F. Maximum Total Pressure Recovery across a System of n Shock Waves. AIAA J. 2012, 2, 1138–1140. [Google Scholar] [CrossRef]
- Lei, S.; Dong, J. Design Optimization of Two-Dimensional Hypersonic Inlet. Aeroengine 2004, 30, 18–20. [Google Scholar] [CrossRef]
- Li, J.; Gu, L.; Guo, X.-Z. Optmium Scheme for Oblique Shocks Series of Two-Dmiensional Hypersonic Compression Surface. J. Propuls. Technol. 2007, 28, 157–161. [Google Scholar] [CrossRef]
- Yue, L.; Jia, Y.; Xu, X.; Zhang, X.; Zhang, P. Effect of Cowl Shock on Restart Characteristics of Simple Ramp Type Hypersonic Inlets with Thin Boundary Layers. Aerosp. Sci. Technol. 2018, 74, 72–80. [Google Scholar] [CrossRef]
- Tan, H.; Li, L.; Wen, Y.; Zhang, Q. Experimental Investigation of the Unstart Process of a Generic Hypersonic Inlet. AIAA J. 2011, 49, 279–288. [Google Scholar] [CrossRef]
- Trapier, S.; Deck, S.; Duveau, P. Delayed Detached-Eddy Simulation and Analysis of Supersonic Inlet Buzz. AIAA J. 2008, 46, 118–131. [Google Scholar] [CrossRef]
- De Vanna, F.; Picano, F.; Benini, E. Large-Eddy-Simulations of the Unsteady Behaviour of a Mach 5 Hypersonic Intake. In Proceedings of the AIAA Scitech 2021 Forum, Virtual Event, 19–21 January 2021; American Institute of Aeronautics and Astronautics: Reston, VA, USA, 2021. [Google Scholar]
- Hong, W.; Kim, C. Numerical Study on Supersonic Inlet Buzz Under Various Throttling Conditions and Fluid-Structure Interaction. In Proceedings of the 29th AIAA Applied Aerodynamics Conference, Honolulu, HI, USA, 27–30 June 2011; Fluid Dynamics and Co-located Conferences. American Institute of Aeronautics and Astronautics: Reston, VA, USA, 2011. [Google Scholar]
- Lee, H.J.; Jeung, I.S. Experimental and Numerical Investigation on the Supersonic Inlet Buzz with Angle of Attack. In Shock Waves; Springer: Berlin/Heidelberg, Germany, 2009; pp. 1111–1116. [Google Scholar]
- Loth, E.; Candon, S.; Rybalko, M. Mass Flow Ratio Influence on Shock and Pressure Spectra for a Low-Boom Supersonic Inlet. In Proceedings of the 54th AIAA Aerospace Sciences Meeting, San Diego, CA, USA, 4–8 January 2016. [Google Scholar]









| Parameter | Value | Parameter | Value |
|---|---|---|---|
| 4.68 | /° | 5.63 | |
| 4.11 | /° | 6.45 | |
| 0.57 | /° | 7.41 | |
| /% | 77.8 | /° | 8.96 |
| 2.75 | /° | 10.52 |
| L | PTR | PTR0 | PTR1 | PTR2 | PTRex | PTR3 | PTR4 | PTRin | Lin | Lex | |
|---|---|---|---|---|---|---|---|---|---|---|---|
| 3.5 | Opt. | 0.6574 | 0.7373 | 0.9943 | 0.9944 | 0.7289 | 0.9285 | 0.9713 | 0.9018 | 0.6148 | 2.8852 |
| Equal | 0.6520 | 0.7257 | 0.9951 | 0.9951 | 0.7186 | 0.9530 | 0.9530 | 0.9082 | 0.6572 | 2.8428 | |
| 5.1 | Opt. | 0.7699 | 0.9799 | 0.9354 | 0.9348 | 0.8569 | 0.9526 | 0.9432 | 0.8985 | 0.5826 | 4.5174 |
| Equal | 0.7698 | 0.9802 | 0.9351 | 0.9344 | 0.8565 | 0.9481 | 0.9480 | 0.8988 | 0.5757 | 4.5243 |
Publisher’s Note: MDPI stays neutral with regard to jurisdictional claims in published maps and institutional affiliations. |
© 2022 by the authors. Licensee MDPI, Basel, Switzerland. This article is an open access article distributed under the terms and conditions of the Creative Commons Attribution (CC BY) license (https://creativecommons.org/licenses/by/4.0/).
Share and Cite
Li, Y.; Yue, L.; He, C.; Wu, W.; Chen, H. Lagrange Optimization of Shock Waves for Two-Dimensional Hypersonic Inlet with Geometric Constraints. Aerospace 2022, 9, 625. https://doi.org/10.3390/aerospace9100625
Li Y, Yue L, He C, Wu W, Chen H. Lagrange Optimization of Shock Waves for Two-Dimensional Hypersonic Inlet with Geometric Constraints. Aerospace. 2022; 9(10):625. https://doi.org/10.3390/aerospace9100625
Chicago/Turabian StyleLi, Yuling, Lianjie Yue, Chengming He, Wannan Wu, and Hao Chen. 2022. "Lagrange Optimization of Shock Waves for Two-Dimensional Hypersonic Inlet with Geometric Constraints" Aerospace 9, no. 10: 625. https://doi.org/10.3390/aerospace9100625
APA StyleLi, Y., Yue, L., He, C., Wu, W., & Chen, H. (2022). Lagrange Optimization of Shock Waves for Two-Dimensional Hypersonic Inlet with Geometric Constraints. Aerospace, 9(10), 625. https://doi.org/10.3390/aerospace9100625

