Sign in to use this feature.

Years

Between: -

Subjects

remove_circle_outline
remove_circle_outline
remove_circle_outline
remove_circle_outline
remove_circle_outline
remove_circle_outline
remove_circle_outline
remove_circle_outline
remove_circle_outline

Journals

remove_circle_outline
remove_circle_outline
remove_circle_outline
remove_circle_outline
remove_circle_outline
remove_circle_outline
remove_circle_outline

Article Types

Countries / Regions

remove_circle_outline
remove_circle_outline
remove_circle_outline

Search Results (225)

Search Parameters:
Keywords = shock configuration

Order results
Result details
Results per page
Select all
Export citation of selected articles as:
10 pages, 1985 KB  
Article
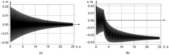
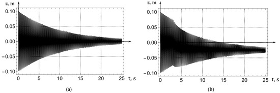
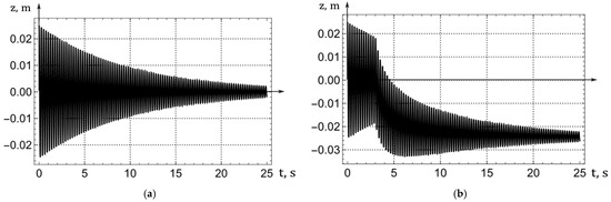
Method for Simulating Solar Panel Oscillations Considering Thermal Shock
by Andrey V. Sedelnikov and Alexandra S. Marshalkina
Computation 2026, 14(2), 28; https://doi.org/10.3390/computation14020028 - 24 Jan 2026
Viewed by 40
Abstract
The purpose of this work is to develop an approximate method for simulating the oscillations of a solar panel with consideration of thermal shock, based on a simulated spacecraft system model. The influence of thermal shock is reduced to an additional rotation of [...] Read more.
The purpose of this work is to develop an approximate method for simulating the oscillations of a solar panel with consideration of thermal shock, based on a simulated spacecraft system model. The influence of thermal shock is reduced to an additional rotation of the spacecraft. The mechanical system itself (the spacecraft model) consists of a main body (a rigid body) and a flexible solar panel. The solar panel performs natural oscillations. An analysis of the influence of thermal shock on the parameters of natural oscillations was conducted. Results of computer simulation for a spacecraft configuration with a single solar panel are presented. Full article
(This article belongs to the Section Computational Engineering)
Show Figures

Figure 1

23 pages, 710 KB  
Article
External Shocks, Fiscal Transmission Mechanisms, and Macroeconomic Volatility: Evidence from Ecuador
by Igor Ernesto Diaz-Kovalenko
Economies 2026, 14(2), 36; https://doi.org/10.3390/economies14020036 - 23 Jan 2026
Viewed by 59
Abstract
This paper investigates how external shocks propagate through fiscal transmission mechanisms in a commodity-dependent economy within a dynamic macroeconomic framework. The study contributes to the literature on macroeconomic fluctuations by examining the interaction between external revenue volatility, fiscal behavior, and institutional features in [...] Read more.
This paper investigates how external shocks propagate through fiscal transmission mechanisms in a commodity-dependent economy within a dynamic macroeconomic framework. The study contributes to the literature on macroeconomic fluctuations by examining the interaction between external revenue volatility, fiscal behavior, and institutional features in shaping short-run dynamics and medium-term outcomes. A Dynamic Stochastic General Equilibrium (DSGE) model is developed and calibrated to the Ecuadorian economy. The framework explicitly incorporates procyclical fiscal behavior, public capital accumulation, and endogenous spending efficiency, allowing for a structural analysis of fiscal transmission channels under external and productivity shocks. Counterfactual simulations are employed to assess the role of fiscal policy design and institutional constraints. The results show that while productivity shocks remain a key driver of output fluctuations, external revenue shocks significantly influence macroeconomic volatility through fiscal channels. Procyclical fiscal responses amplify fluctuations by reducing public investment and spending efficiency, slowing public capital accumulation and prolonging output contractions. Alternative fiscal configurations mitigate short-run volatility, although their effectiveness depends critically on institutional features governing spending efficiency. Overall, the analysis highlights that macroeconomic dynamics in resource-dependent economies are shaped not only by external shocks, but also by the interaction between fiscal policy design and institutional capacity. Integrating these elements into DSGE models provides a more comprehensive understanding of fiscal transmission mechanisms and macroeconomic volatility. Full article
(This article belongs to the Special Issue Dynamic Macroeconomics: Methods, Models and Analysis)
Show Figures

Figure 1

20 pages, 6615 KB  
Article
Numerical Analysis of Shock Control Bumps for Delaying Transonic Buffet Boundary on a Swept Wing
by Shenghua Zhang, Feng Deng and Zao Ni
Aerospace 2026, 13(1), 98; https://doi.org/10.3390/aerospace13010098 - 19 Jan 2026
Viewed by 108
Abstract
Transonic shock buffet is a complex flow phenomenon characterized by self-sustained shock oscillations, which severely limits the flight envelope of modern civil aircraft. While Shock Control Bumps (SCBs) have been widely studied for drag reduction, their potential for delaying the buffet boundary on [...] Read more.
Transonic shock buffet is a complex flow phenomenon characterized by self-sustained shock oscillations, which severely limits the flight envelope of modern civil aircraft. While Shock Control Bumps (SCBs) have been widely studied for drag reduction, their potential for delaying the buffet boundary on swept wings has yet to be fully explored. This study employs numerical analysis to investigate the efficacy of three-dimensional (3D) contour SCBs in delaying the buffet boundary of the NASA Common Research Model (CRM) wing. The buffet boundary is identified using both the lift-curve slope change and trailing-edge pressure divergence criteria. The results reveal that 3D SCBs generate streamwise vortices that energize the boundary layer, thereby not only weakening local shock strength but, more critically, suppressing the spanwise expansion of shock-induced separation. Collectively, the reduction in shock strength and the containment of spanwise separation delay the buffet boundary, thereby improving the aerodynamic efficiency of the wing. Two configurations, designed at different lift conditions (SCB-L at CL=0.460 and SCB-H at CL=0.507), demonstrate a trade-off between buffet delay and off-design drag reduction. The SCB-H configuration achieves a buffet boundary lift coefficient improvement of 6.3% but exhibits limited drag reduction at lower angles of attack, whereas the SCB-L offers a balanced improvement of 4.0%, with a broader effective drag-reduction range. These results demonstrate that effective suppression of spanwise flow is key to delaying swept-wing buffet and establish a solid reference framework for the buffet-oriented design of SCBs. Full article
(This article belongs to the Special Issue Advancing Fluid Dynamics in Aerospace Applications)
Show Figures

Figure 1

22 pages, 4205 KB  
Article
A Two-Phase Switching Adaptive Sliding Mode Control Achieving Smooth Start-Up and Precise Tracking for TBM Hydraulic Cylinders
by Shaochen Yang, Dong Han, Lijie Jiang, Lianhui Jia, Zhe Zheng, Xianzhong Tan, Huayong Yang and Dongming Hu
Actuators 2026, 15(1), 57; https://doi.org/10.3390/act15010057 - 16 Jan 2026
Viewed by 163
Abstract
Tunnel boring machine (TBM) hydraulic cylinders operate under pronounced start–stop shocks and load uncertainties, making it difficult to simultaneously achieve smooth start-up and high-precision tracking. This paper proposes a two-phase switching adaptive sliding mode control (ASMC) strategy for TBM hydraulic actuation. Phase I [...] Read more.
Tunnel boring machine (TBM) hydraulic cylinders operate under pronounced start–stop shocks and load uncertainties, making it difficult to simultaneously achieve smooth start-up and high-precision tracking. This paper proposes a two-phase switching adaptive sliding mode control (ASMC) strategy for TBM hydraulic actuation. Phase I targets a soft start by introducing smooth gating and a ramped start-up mechanism into the sliding surface and equivalent control, thereby suppressing pressure spikes and displacement overshoot induced by oil compressibility and load transients. Phase II targets precise tracking, combining adaptive laws with a forgetting factor design to maintain robustness while reducing chattering and steady-state error. We construct a state-space model that incorporates oil compressibility, internal/external leakage, and pump/valve dynamics, and provide a Lyapunov-based stability analysis proving bounded stability and error convergence under external disturbances. Comparative simulations under representative TBM conditions show that, relative to conventional PID Controller and single ASMC Controller, the proposed method markedly reduces start-up pressure/velocity peaks, overshoot, and settling time, while preserving tracking accuracy and robustness over wide load variations. The results indicate that the strategy can achieve the unity of smooth start and high-precision trajectory of TBM hydraulic cylinder without additional sensing configuration, offering a practical path for high-performance control of TBM hydraulic actuators in complex operating environments. Full article
(This article belongs to the Section Control Systems)
Show Figures

Figure 1

45 pages, 17180 KB  
Article
Regime-Dependent Graph Neural Networks for Enhanced Volatility Prediction in Financial Markets
by Pulikandala Nithish Kumar, Nneka Umeorah and Alex Alochukwu
Mathematics 2026, 14(2), 289; https://doi.org/10.3390/math14020289 - 13 Jan 2026
Viewed by 363
Abstract
Accurate volatility forecasting is essential for risk management in increasingly interconnected financial markets. Traditional econometric models capture volatility clustering but struggle to model nonlinear cross-market spillovers. This study proposes a Temporal Graph Attention Network (TemporalGAT) for multi-horizon volatility forecasting, integrating LSTM-based temporal encoding [...] Read more.
Accurate volatility forecasting is essential for risk management in increasingly interconnected financial markets. Traditional econometric models capture volatility clustering but struggle to model nonlinear cross-market spillovers. This study proposes a Temporal Graph Attention Network (TemporalGAT) for multi-horizon volatility forecasting, integrating LSTM-based temporal encoding with graph convolutional and attention layers to jointly model volatility persistence and inter-market dependencies. Market linkages are constructed using the Diebold–Yilmaz volatility spillover index, providing an economically interpretable representation of directional shock transmission. Using daily data from major global equity indices, the model is evaluated against econometric, machine learning, and graph-based benchmarks across multiple forecast horizons. Performance is assessed using MSE, R2, MAFE, and MAPE, with statistical significance validated via Diebold–Mariano tests and bootstrap confidence intervals. The study further conducts a strict expanding-window robustness test, comparing fixed and dynamically re-estimated spillover graphs in a fully out-of-sample setting. Sensitivity and scenario analyses confirm robustness across hyperparameter configurations and market regimes, while results show no systematic gains from dynamic graph updating over a fixed spillover network. Full article
(This article belongs to the Special Issue Financial Econometrics and Machine Learning)
Show Figures

Figure 1

25 pages, 14567 KB  
Article
Effect of Nose Bluntness on Boundary-Layer Transition of a Fin–Cone Configuration at Mach 6
by Ziyan Fang, Lang Xu, Duolong Xu, Xueliang Li, Fu Zhang and Jie Wu
Aerospace 2026, 13(1), 64; https://doi.org/10.3390/aerospace13010064 - 8 Jan 2026
Viewed by 218
Abstract
Experiments on hypersonic boundary-layer instability of a fin–cone configuration were conducted in a Φ 0.5 m Mach 6 Ludwieg tube tunnel. Infrared thermography and high-frequency pressure sensors were used to measure the transition front and instability waves under four different nose bluntness conditions. [...] Read more.
Experiments on hypersonic boundary-layer instability of a fin–cone configuration were conducted in a Φ 0.5 m Mach 6 Ludwieg tube tunnel. Infrared thermography and high-frequency pressure sensors were used to measure the transition front and instability waves under four different nose bluntness conditions. On the leeward surface, transition is delayed near the centerline due to expansion waves generated by the double-cone structure. The region close to the corner is strongly influenced by the horseshoe vortex, whereas instability waves around 110 kHz manifest as the flow moves away from it. In contrast, transition on the windward surface occurs earlier and broadband high-frequency instability waves of 160–300 kHz are present near the corner. Increasing nose bluntness strongly suppresses transition away from the fin root, especially near the centerline and on the fin-off cone side, but has a relatively limited impact on the shock-interaction regions near the fin–cone corner. Transition on the fin surface remains insensitive to nose bluntness variations. This work elucidates the distinct transition behaviors across different regions of a complex fin–cone configuration and their differential responses to nose bluntness, providing valuable insights for the aerodynamic design and transition prediction of hypersonic vehicles. Full article
Show Figures

Figure 1

19 pages, 2053 KB  
Article
Aerodynamics of Short Intake at High Incidence
by Fernando Tejero, David MacManus, Josep Hueso-Rebassa, Yuri Frey Marioni and Ian Bousfield
Int. J. Turbomach. Propuls. Power 2026, 11(1), 6; https://doi.org/10.3390/ijtpp11010006 - 5 Jan 2026
Viewed by 206
Abstract
This work assesses the aerodynamics of a short aero-engine intake for a new rig that is planned to be tested at the Large Low-Speed Facility of the German Dutch Wind Tunnels (LLF-DNW) in 2025. A range of computations were performed to assess whether [...] Read more.
This work assesses the aerodynamics of a short aero-engine intake for a new rig that is planned to be tested at the Large Low-Speed Facility of the German Dutch Wind Tunnels (LLF-DNW) in 2025. A range of computations were performed to assess whether the expected aerodynamics in this arrangement encompass the envisaged range of flow field characteristics of the equivalent isolated configuration. The effect of massflow capture ratio and angle of attack are investigated. In addition, an intake flow separation taxonomy is proposed to characterise the associated flows. The wind tunnel analysis is based on two different modelling approaches: an aspirated isolated intake and a coupled fan–intake configuration. The coupled configuration uses a full-annulus model with a harmonic mixing plane method. Across the range of operating conditions with changes in the massflow capture ratio and angle of attack, there are attached and separated flows. The main separation mechanisms are diffusion-driven and shock-induced, which shows the different aerodynamics that may be encountered in a short intake. Overall, this work provides an initial evaluation of the aerodynamics of the new fan/intake test rig configuration, provides guidance for wind tunnel testing, and lays a foundation for subsequent unsteady coupled fan–intake studies. Full article
Show Figures

Figure 1

27 pages, 3060 KB  
Article
Near-Field Shock Wave Propagation Modeling and Energy Efficiency Assessment in Underwater Electrical Explosions
by Shihao Xin, Xiaobing Zhang, Lei Ni and Xipeng Zhou
Energies 2026, 19(1), 261; https://doi.org/10.3390/en19010261 - 4 Jan 2026
Viewed by 273
Abstract
This study systematically investigates the influence of capacitor energy storage parameters on the energy utilization efficiency of the underwater electrochemical explosion process. By integrating spherical and cylindrical shock wave propagation models, the pulse shock wave energy under different capacitor energy storage levels was [...] Read more.
This study systematically investigates the influence of capacitor energy storage parameters on the energy utilization efficiency of the underwater electrochemical explosion process. By integrating spherical and cylindrical shock wave propagation models, the pulse shock wave energy under different capacitor energy storage levels was theoretically calculated and experimentally validated. The results indicate that the applicability of the shock wave propagation model depends on the distance and aquatic environment: the spherical model is more suitable for short-distance, deep-water conditions, whereas the cylindrical model performs better for long-distance or shallow-water conditions. Within the energy storage range of up to 100 J, increasing the capacitance significantly enhances both the pulse energy output and energy utilization efficiency. Specifically, as the stored energy increased from 13 J to 100 J, the shock wave energy rose from 0.051 J to 2.45 J, and the energy utilization rate improved from 0.39% to 2.45%. Nevertheless, the overall energy utilization efficiency remains below 10%. This study confirms that rationally configuring capacitor parameters can effectively regulate the discharge process, providing important experimental and theoretical support for optimizing energy utilization efficiency. Full article
Show Figures

Figure 1

20 pages, 4010 KB  
Article
Data-Driven Adaptive Control of Transonic Buffet via Localized Morphing Skin
by Yuchen Zhang, Lianyi Wei, Yiqiu Jin, Han Tang, Guannan Zheng and Guowei Yang
Aerospace 2026, 13(1), 40; https://doi.org/10.3390/aerospace13010040 - 30 Dec 2025
Viewed by 172
Abstract
Transonic shock buffet, characterized by large-amplitude self-sustained shock oscillations arising from shock wave/boundary layer interactions, poses significant challenges to aircraft handling quality and structural integrity. Conventional control strategies for buffet suppression typically require prior knowledge of unstable steady-state solutions or time-averaged flow fields [...] Read more.
Transonic shock buffet, characterized by large-amplitude self-sustained shock oscillations arising from shock wave/boundary layer interactions, poses significant challenges to aircraft handling quality and structural integrity. Conventional control strategies for buffet suppression typically require prior knowledge of unstable steady-state solutions or time-averaged flow fields and are only applicable to fixed-flow conditions, rendering them inadequate for realistic flight scenarios involving time-varying parameters. This study proposes a data-driven adaptive control framework for transonic buffet suppression utilizing localized morphing skin as the actuation mechanism. The control system employs a Multi-Layer Perceptron neural network that dynamically adjusts the local skin height based on lift coefficient feedback, with the target lift coefficient determined through a moving average method. Numerical simulations on the NACA0012 airfoil demonstrate that the optimal actuator configuration—a skin length of 0.2c with maximum deformation positioned at 0.65c—achieves effective buffet suppression with minimal settling time. Beyond this baseline case, the proposed method exhibits robust performance across different flow conditions. Furthermore, the controller successfully suppresses buffet under time-varying flow conditions, including simultaneous variations in Mach number and angle of attack. These results demonstrate the potential of the proposed framework for practical aerospace applications. Full article
Show Figures

Figure 1

14 pages, 4381 KB  
Article
Research on Shockwave/Boundary Layer Interactions Induced by Double Compression Corners Under Hypersonic Quiet and Noise Inflow Conditions
by Dongsheng Zhang, Jinping Li, Hesen Yang and Hua Liang
Aerospace 2026, 13(1), 22; https://doi.org/10.3390/aerospace13010022 - 26 Dec 2025
Viewed by 295
Abstract
The problem of shock wave/boundary layer interaction induced by compression corners widely exists in the external and internal flows of various supersonic/hypersonic aircraft. In practical engineering applications, multistage continuous compression is often used in the fin/rudder structure, while in internal flow, multistage compression [...] Read more.
The problem of shock wave/boundary layer interaction induced by compression corners widely exists in the external and internal flows of various supersonic/hypersonic aircraft. In practical engineering applications, multistage continuous compression is often used in the fin/rudder structure, while in internal flow, multistage compression schemes are usually employed at the inlet to enhance total pressure recovery; therefore, it is necessary to investigate the characteristics of multistage compression corner shockwave/boundary layer interactions. In basic research, it is usually simplified as the double compression corner shockwave/boundary layer interaction issue. In this paper, an experimental study of hypersonic shock/boundary layer interaction characteristics is conducted under quiet and noise inflow conditions, respectively, for the double compression corner model. Using high-speed Schlieren, the typical structure of shockwave/shockwave interaction and shockwave/boundary layer interaction above the corner is explored under both quiet and noisy incoming flow conditions. Then, based on gray average, root-mean-square analysis, Fast Fourier transform, proper orthogonal decomposition, and dynamic mode decomposition methods, the time-average and unsteady characteristics of the double compression corner configuration-induced separation were studied, and a comparative analysis was conducted. The difference law between wind tunnel noise level and interaction characteristics was summarized. Finally, the characteristic length and spectral characteristics of unstable waves that dominated the stability of the plate boundary layer were studied. The formation mechanism of separation is discussed, which provides technical support for the internal and external aerodynamic design and targeted optimization of hypersonic vehicles. Full article
(This article belongs to the Special Issue Fluid Flow Mechanics (4th Edition))
Show Figures

Figure 1

29 pages, 16683 KB  
Article
Numerical Study of Amplitude-Driven Flow Dynamics in Shocked Heavy-Fluid Layers
by Ahmed Hussein Msmali, Satyvir Singh and Abdullah Ali H. Ahmadini
Mathematics 2026, 14(1), 82; https://doi.org/10.3390/math14010082 - 25 Dec 2025
Viewed by 195
Abstract
In this study, a comprehensive numerical investigation of amplitude-driven flow dynamics in shocked heavy-fluid layers is presented to focus on the evolution of the Richtmyer–Meshkov instability (RMI). A high-order mixed local discontinuous Galerkin scheme is employed to resolve the complex interactions between shock [...] Read more.
In this study, a comprehensive numerical investigation of amplitude-driven flow dynamics in shocked heavy-fluid layers is presented to focus on the evolution of the Richtmyer–Meshkov instability (RMI). A high-order mixed local discontinuous Galerkin scheme is employed to resolve the complex interactions between shock waves and perturbed interfaces within a compressible viscous flow framework. Impacts of the initial interface amplitudes are systematically examined through a series of single-mode configurations with amplitude–wavelength ratios ranging from a0/λ=0.025 to 0.4. The simulations capture the complete transition from early linear growth to nonlinear roll-up and subsequent mixing. This investigation illustrates that increasing the initial perturbation amplitude enhances baroclinic vorticity generation, intensifies interfacial deformation, and accelerates the onset of secondary instabilities. Low-amplitude interfaces maintain nearly symmetric deformation with delayed nonlinear transition, whereas high-amplitude cases exhibit pronounced spike–bubble asymmetry, stronger curvature, and rapid Kelvin–Helmholtz roll-ups. Quantitative diagnostics of the circulation, enstrophy, and kinetic energy demonstrate that both baroclinic torque and mixing intensity scale directly with the initial perturbation amplitude. This study offers new physical insight into amplitude-dependent shock–interface interactions and elucidates the mechanisms governing vorticity amplification and energy redistribution in RMI flows. Full article
(This article belongs to the Special Issue Advanced Computational Fluid Dynamics and Applications)
Show Figures

Figure 1

24 pages, 867 KB  
Essay
Enhancing Innovation Performance in Chinese Agribusinesses: A Dynamic Panel–QCA of Configurational Effects
by Yanshuang Chu and Bingqun Cui
Sustainability 2025, 17(24), 11250; https://doi.org/10.3390/su172411250 - 16 Dec 2025
Viewed by 380
Abstract
The strengthened role of agribusinesses as innovators depends on improvements in their innovation performance, yet how to achieve this remains unresolved. Grounded in the technology–organization–environment (TOE) framework and drawing on 2020–2022 panel data from 73 Chinese agribusinesses, we apply panel–QCA to examine how [...] Read more.
The strengthened role of agribusinesses as innovators depends on improvements in their innovation performance, yet how to achieve this remains unresolved. Grounded in the technology–organization–environment (TOE) framework and drawing on 2020–2022 panel data from 73 Chinese agribusinesses, we apply panel–QCA to examine how R&D personnel, managerial innovativeness, and digital technology adoption interact to generate superior innovation outcomes. The results reveal that no single technological, organizational, or environmental factor constitutes a necessary condition; instead, high innovation performance results from specific configurations. Three dominant pathways are identified: organization-driven, technology–organization synergistic, and organization–technology synergistic. In particular, organizational factors serve as core conditions across all configurations, offering stage-appropriate routes for firms at different development phases. Over time, all three configurations decline under external shocks. Furthermore, heterogeneity across firms underscores the need for tailored, dynamic strategies. Therefore, agribusinesses should “configure by context,” continuously monitor shifting configurational elements, and select adaptive pathways to sustain sustainable innovation performance amid environmental volatility. Full article
Show Figures

Figure 1

26 pages, 5400 KB  
Article
Adjoint Optimization for Hyperloop Aerodynamics
by Mohammed Mahdi Abdulla, Seraj Alzhrani, Khalid Juhany and Ibraheem AlQadi
Vehicles 2025, 7(4), 160; https://doi.org/10.3390/vehicles7040160 - 12 Dec 2025
Viewed by 739
Abstract
This work investigates how the vehicle-to-tube suspension gap governs compressible flow physics and operating margins in Hyperloop-class transport at 10 kPa. To our knowledge, this is the first study to apply adjoint aerodynamic optimization to mitigate gap-induced choking and shock formation in a [...] Read more.
This work investigates how the vehicle-to-tube suspension gap governs compressible flow physics and operating margins in Hyperloop-class transport at 10 kPa. To our knowledge, this is the first study to apply adjoint aerodynamic optimization to mitigate gap-induced choking and shock formation in a full pod–tube configuration. Using a steady, pressure-based Reynolds-averaged Navier-Stokes (RANS) framework with the GEnerlaized K-Omega (GEKO) turbulence model, a simulation for the cruise conditions was performed at M = 0.5–0.7 with a mesh-verified analysis (medium grid within 0.59% of fine) to quantify gap effects on forces and wave propagation. For small gaps, the baseline pod triggers oblique shocks and a near-Kantrowitz condition with elevated drag and lift. An adjoint shape update—primarily refining the aft geometry under a thrust-equilibrium constraint—achieves 27.5% drag reduction, delays the onset of choking by ~70%, and reduces the critical gap from d/D ≈ 0.025 to ≈0.008 at M = 0.7. The optimized configuration restores a largely subcritical passage, suppressing normal-shock formation and improving gap tolerance. Because propulsive power at fixed cruise scales with drag, these aerodynamic gains directly translate into operating-power reductions while enabling smaller gaps that can relax tube-diameter and suspension mass requirements. The results provide a gap-aware optimization pathway for Hyperloop pods and a compact design rule-of-thumb to avoid choking while minimizing power. Full article
Show Figures

Figure 1

15 pages, 1093 KB  
Review
A Proposed Algorithm for the Management of Patients with Cardiogenic Shock Based on Contemporary Knowledge and Gaps in Evidence
by Aidonis Rammos, Christos D. Floros, Ioannis Tzourtzos, Ilektra E. Stamou, Petros Kalogeras, Ioanna Samara, Konstantinos C. Siaravas, Vasileios Bouratzis, Aris Bechlioulis, Xenofon M. Sakellariou, Katerina K. Naka and Lampros K. Michalis
J. Cardiovasc. Dev. Dis. 2025, 12(12), 489; https://doi.org/10.3390/jcdd12120489 - 11 Dec 2025
Viewed by 1677
Abstract
Cardiogenic shock (CS) is a heterogeneous pathophysiological state with high mortality, despite the development of cardiac intensive care units (CICUs) and the advanced treatments applied. The cornerstones of therapy that have been proposed in many algorithms are intravenous (i.v.) pressors and devices for [...] Read more.
Cardiogenic shock (CS) is a heterogeneous pathophysiological state with high mortality, despite the development of cardiac intensive care units (CICUs) and the advanced treatments applied. The cornerstones of therapy that have been proposed in many algorithms are intravenous (i.v.) pressors and devices for mechanical circulatory support (MCS), depending on the CS profile (left, right, or biventricular involvement), etiology (acute myocardial infarction, heart failure, or other) and SCAI stage (A to E, with MCS generally recommended for Stages C–E). There are many gaps in the evidence regarding i.v. medications and devices, with the existing data being controversial. Moreover, there are differences in the devices’ availability and, as a result, a lack of experience in many centers. In this review article, an algorithm for the management of CS is proposed, and the gaps in every step are presented. Early clinical suspicion that leads to prompt diagnosis, health system organization, large-scale trials, and the configuration of national or regional shock centers could bridge the current therapeutic gaps and balance disparities in the management of CS in order to improve outcomes. Full article
(This article belongs to the Special Issue Emerging Trends and Advances in Interventional Cardiology)
Show Figures

Figure 1

25 pages, 3692 KB  
Article
Design and Simulation of Suspension Leveling System for Small Agricultural Machinery in Hilly and Mountainous Areas
by Peng Huang, Qiang Luo, Quan Liu, Yao Peng, Shijie Zheng and Jiukun Liu
Sensors 2025, 25(24), 7447; https://doi.org/10.3390/s25247447 - 7 Dec 2025
Viewed by 490
Abstract
To address issues such as chassis attitude deviation, reduced operational efficiency, and diminished precision when agricultural machinery operates in complex terrains—including steep slopes and fragmented plots in hilly and mountainous regions—a servo electric cylinder-based active suspension levelling system has been designed. Real-time dynamic [...] Read more.
To address issues such as chassis attitude deviation, reduced operational efficiency, and diminished precision when agricultural machinery operates in complex terrains—including steep slopes and fragmented plots in hilly and mountainous regions—a servo electric cylinder-based active suspension levelling system has been designed. Real-time dynamic control is achieved through a fuzzy PID algorithm. Firstly, the suspension’s mechanical structure and key parameters were determined, employing a ‘servo electric cylinder-spring-shock absorber series’ configuration to achieve load support and passive vibration damping. Secondly, a kinematic and dynamic model of the quarter-link suspension was established. Finally, Simulink simulations were conducted to model the agricultural machinery traversing mountainous, uneven terrain at segmented stable operating speeds, thereby validating the suspension’s control performance. Simulation results demonstrate that the system maintains chassis height error within ±0.05 m, chassis height change rate within ±0.2 m/s, and response time ≤ 0.8 s. It rapidly and effectively counteracts terrain disturbances, achieving precise chassis height control. This provides theoretical support for designing whole-vehicle levelling systems for small agricultural machinery in hilly and mountainous terrains. Full article
(This article belongs to the Section Smart Agriculture)
Show Figures

Figure 1

Back to TopTop