Aircraft Pilots Workload Analysis: Heart Rate Variability Objective Measures and NASA-Task Load Index Subjective Evaluation
Abstract
:1. Introduction
2. Experiment and Methods
2.1. Flight Mission
2.2. Pilots Data
2.3. Experiment Hardware
2.4. Objective Measurements
2.5. Subjective Measurements
3. Flight Maneuvers Results
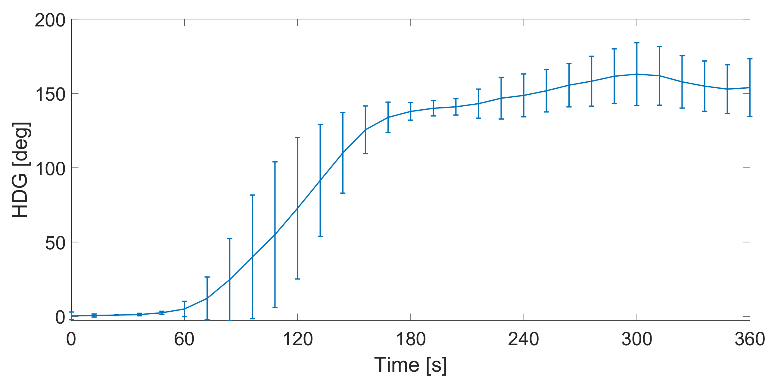
3.1. Heading
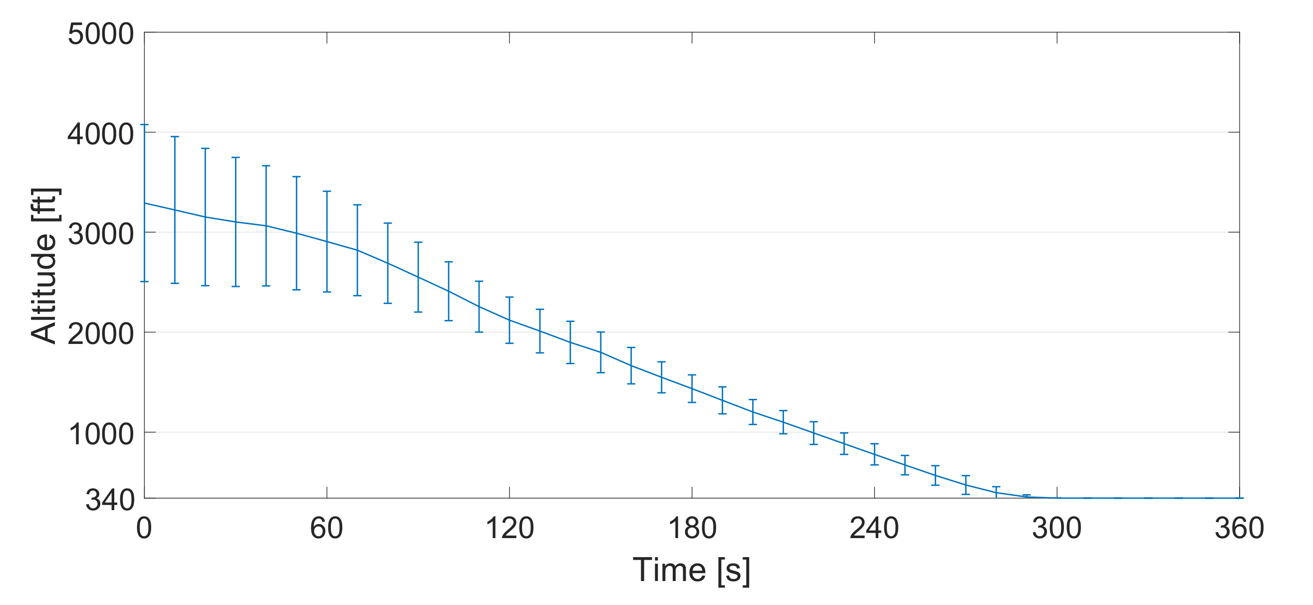
3.2. Altitude
3.3. Maneuver Error Index
4. Workload Analysis
4.1. Objective Time-Averaged Data
4.2. Objective Pilot-Averaged Data
4.3. Subjective Time-Averaged Data
4.4. Subjective and Objective Results Comparison
5. Correlation Analysis
6. Conclusions
Author Contributions
Funding
Conflicts of Interest
Abbreviations
| ALT | True Altitude |
| ANS | Autonomic Nervous System |
| FFS | Full Flight Simulator |
| FR | Frustration |
| HDG | Heading |
| HR | Heart Rate |
| HRV | Heart Rate Variability |
| IBI | Inter-Beat-Interval |
| ILS | Instrument Landing System |
| LA | Approach and landing segment |
| LF/HF | Low Frequency/High Frequency |
| MIC | Maximal Information Coefficient |
| NASA-TLX | NASA Task Load indeX |
| OW | Overall Workload |
| PNS | Parasympathetic Nervous System |
| QNH | Q code Nautical Height |
| RDC | Randomized Dependence Coefficient |
| RMSSD | Root Mean Square of the Successive Differences |
| SD1 | Standard Deviation of the Poincaré plot perpendicular to the line of identity |
| SDNN | Standard Deviation of Normal RR intervals |
| SID | Standard Instrument Departure |
| SNS | Sympathetic Nervous System |
| TO | Take-off and climb segment |
References
- Kharoufah, H.; Murray, J.; Baxter, G.; Wild, G. A review of human factors causations in commercial air transport accidents and incidents: From to 2000–2016. Prog. Aerosp. Sci. 2018, 99, 1–13. [Google Scholar]
- Dumitru, I.M.; Boşcoianu, M. Human factors contribution to aviation safety. In Proceedings of the International Conference of Scientific Papper AFASES, Brasov, Romania, 28–30 May 2015; pp. 49–53. [Google Scholar]
- Petrilli, R.M.; Roach, G.D.; Dawson, D.; Lamond, N. The sleep, subjective fatigue, and sustained attention of commercial airline pilots during an international pattern. Chronobiol. Int. 2006, 23, 1357–1362. [Google Scholar] [PubMed]
- Gander, P.H.; Signal, T.L.; van den Berg, M.J.; Mulrine, H.M.; Jay, S.M.; Jim Mangie, C. In-flight sleep, pilot fatigue and P sychomotor V igilance T ask performance on ultra-long range versus long range flights. J. Sleep Res. 2013, 22, 697–706. [Google Scholar] [PubMed]
- Bennett, S.A. Pilot workload and fatigue on short-haul routes: An evaluation supported by instantaneous self-assessment and ethnography. J. Risk Res. 2018, 21, 645–677. [Google Scholar]
- Boff, K.R.; Kaufman, L.; Thomas, J.P. Handbook of Perception and Human Performance; Wiley: Hoboken, NJ, USA, 1986. [Google Scholar]
- Mansikka, H.; Simola, P.; Virtanen, K.; Harris, D.; Oksama, L. Fighter pilots’ heart rate, heart rate variation and performance during instrument approaches. Ergonomics 2016, 59, 1344–1352. [Google Scholar]
- Liu, J.; Gardi, A.; Ramasamy, S.; Lim, Y.; Sabatini, R. Cognitive pilot-aircraft interface for single-pilot operations. Knowl. Based Syst. 2016, 112, 37–53. [Google Scholar]
- Miller, S. Workload Measures—Literature Review; National Advanced Driving Simulator: Coralville, IA, USA, 2001. [Google Scholar]
- Paas, L.; Vanmerrienboer, J. The Efficiency of Instructional Conditions - an Approach to Combine Mental Effort and Performance-Measures. Hum. Factors 1993, 35, 737–743. [Google Scholar]
- Borghini, G.; Astolfi, L.; Vecchiato, G.; Mattia, D.; Babiloni, F. Measuring neurophysiological signals in aircraft pilots and car drivers for the assessment of mental workload, fatigue and drowsiness. Neurosci. Biobehav. Rev. 2014, 44, 58–75. [Google Scholar] [PubMed]
- Wanyan, X.; Zhuang, D.; Zhang, H. Improving pilot mental workload evaluation with combined measures. Bio-Med Mater. Eng. 2014, 24, 2283–2290. [Google Scholar]
- Baevsky, R.M.; Chernikova, A.G. Heart rate variability analysis: Physiological foundations and main methods. Cardiometry 2017, 10, 66–76. [Google Scholar]
- Alaimo, A.; Esposito, A.; Orlando, C.; Tesoriere, G. A Pilot mental workload case study in a Full Flight Simulator. Aerotec. Missili Spaz. 2018, 97, 27–33. [Google Scholar]
- Cao, X.; MacNaughton, P.; Cadet, L.R.; Cedeno-Laurent, J.G.; Flanigan, S.; Vallarino, J.; Donnelly-McLay, D.; Christiani, D.C.; Spengler, J.D.; Allen, J.G. Heart rate variability and performance of commercial airline pilots during flight simulations. Int. J. Environ. Res. Public Health 2019, 16, 237. [Google Scholar]
- Mansikka, H.; Virtanen, K.; Harris, D. Comparison of NASA-TLX scale, modified Cooper–Harper scale and mean inter-beat interval as measures of pilot mental workload during simulated flight tasks. Ergonomics 2018, 69, 246–254. [Google Scholar]
- Hart, S.G.; Staveland, L.E. Development of NASA-TLX (Task Load Index): Results of empirical and theoretical research. In Advances in Psychology; Elsevier: Amsterdam, The Netherlands, 1988; Volume 52, pp. 139–183. [Google Scholar]
- Hancock, P.A.; Meshkati, N. Human Mental Workload; Elsevier: Amsterdam, The Netherlands, 1988. [Google Scholar]
- Rubio, S.; Díaz, E.; Martín, J.; Puente, J.M. Evaluation of subjective mental workload: A comparison of SWAT, NASA-TLX, and workload profile methods. Appl. Psychol. 2004, 53, 61–86. [Google Scholar]
- Pongsakornsathien, N.; Lim, Y.; Gardi, A.; Hilton, S.; Planke, L.; Sabatini, R.; Kistan, T.; Ezer, N. Sensor networks for aerospace human-machine systems. Sensors 2019, 19, 3465. [Google Scholar]
- Mélan, C.; Cascino, N. A multidisciplinary approach of workload assessment in real-job situations: Investigation in the field of aerospace activities. Front. Psychol. 2014, 5, 964. [Google Scholar]
- Dias, D.; Paulo Silva Cunha, J. Wearable health devices—Vital sign monitoring, systems and technologies. Sensors 2018, 18, 2414. [Google Scholar]
- Alaimo, A.; Esposito, A.; Orlando, C. Cockpit Pilot Warning System: A Preliminary Study. In Proceedings of the 2018 IEEE 4th International Forum on Research and Technology for Society and Industry (RTSI), Palermo, Italy, 10–13 September 2018; IEEE: Piscataway, NJ, USA, 2018; pp. 1–4. [Google Scholar]
- EASA. Certification Specifications for Aeroplane Flight Simulation Training Devices; EASA: Cologne, Germany, 2012; p. 22. [Google Scholar]
- Movisens GmbH. EcgMove 3 User Manual; Movisens GmbH: Karlsruhe, Germany, 2018. [Google Scholar]
- Henelius, A.; Hirvonen, K.; Holm, A.; Korpela, J.; Muller, K. Mental workload classification using heart rate metrics. In Proceedings of the 2009 Annual International Conference of the IEEE Engineering in Medicine and Biology Society, Minneapolis, MN, USA, 3–6 September 2009; IEEE: Piscataway, NJ, USA, 2009; pp. 1836–1839. [Google Scholar]
- Acharya, R.; Kannathal, N.; Sing, O.W.; Ping, L.Y.; Chua, T. Heart rate analysis in normal subjects of various age groups. Biomed. Eng. Online 2004, 3, 24. [Google Scholar]
- Shaffer, F.; Ginsberg, J. An overview of heart rate variability metrics and norms. Front. Public Health 2017, 5, 258. [Google Scholar]
- Watson, D.W. Physiological correlates of heart rate variability (HRV) and the subjective assessment of workload and fatigue in-flight crew: A practical study. In Proceedings of the 2001 People in Control. In Proceedings of the Second International Conference on Human Interfaces in Control Rooms, Cockpits and Command Centres, Manchester, UK, 19–21 June 2001; IET: London, UK, 2001; pp. 159–163. [Google Scholar]
- Myrtek, M.; Fichtler, A.; Strittmatter, M.; Brügner, G. Stress and strain of blue and white collar workers during work and leisure time: Results of psychophysiological and behavioral monitoring. Appl. Ergon. 1999, 30, 341–351. [Google Scholar]
- Tattersall, A.J.; Hockey, G.R.J. Level of operator control and changes in heart rate variability during simulated flight maintenance. Hum. Factors 1995, 37, 682–698. [Google Scholar] [PubMed]
- DiDomenico, A.; Nussbaum, M.A. Effects of different physical workload parameters on mental workload and performance. Int. J. Ind. Ergon. 2011, 41, 255–260. [Google Scholar]
- Orsila, R.; Virtanen, M.; Luukkaala, T.; Tarvainen, M.; Karjalainen, P.; Viik, J.; Savinainen, M.; Nygård, C.H. Perceived mental stress and reactions in heart rate variability—A pilot study among employees of an electronics company. Int. J. Occup. Saf. Ergon. 2008, 14, 275–283. [Google Scholar] [PubMed]
- Brennan, M.; Palaniswami, M.; Kamen, P. Do existing measures of Poincare plot geometry reflect nonlinear features of heart rate variability? IEEE Trans. Biomed. Eng. 2001, 48, 1342–1347. [Google Scholar] [PubMed]
- Camm, A.; Malik, M.; Bigger, J.; Breithardt, G.; Cerutti, S.; Cohen, R.; Coumel, P.; Fallen, E.; Kennedy, H.; Kleiger, R.; et al. Heart rate variability: Standards of measurement, physiological interpretation and clinical use. Task Force of the European Society of Cardiology and the North American Society of Pacing and Electrophysiology. Circulation 1996, 93, 1043–1065. [Google Scholar]
- Bilan, A.; Witczak, A.; Palusiński, R.; Myśliński, W.; Hanzlik, J. Circadian rhythm of spectral indices of heart rate variability in healthy subjects. J. Electrocardiol. 2005, 38, 239–243. [Google Scholar]
- Hsu, B.W.; Wang, M.J.J.; Chen, C.Y.; Chen, F. Effective indices for monitoring mental workload while performing multiple tasks. Percept. Mot. Ski. 2015, 121, 94–117. [Google Scholar]
- Hart, S.G. NASA-task load index (NASA-TLX); 20 years later. In Proceedings of the Human Factors and Ergonomics Society Annual Meeting; San Fransisco, CA, USA, 16–20 October 2006, Sage Publications Sage CA: Los Angeles, CA, USA, 2006; Volume 50, pp. 904–908. [Google Scholar]
- Casner, S.M.; Gore, B.F. Measuring and evaluating workload: A primer. NASA Tech. Memo. 2010, 216395, 2010. [Google Scholar]
- Shakouri, M.; Ikuma, L.H.; Aghazadeh, F.; Nahmens, I. Analysis of the sensitivity of heart rate variability and subjective workload measures in a driving simulator: The case of highway work zones. Int. J. Ind. Ergon. 2018, 66, 136–145. [Google Scholar]
- Spearman, C. The proof and measurement of association between two things. Am. J. Psychol. 1987, 100, 441–471. [Google Scholar]
- Lopez-Paz, D.; Hennig, P.; Schölkopf, B. The randomized dependence coefficient. In Proceedings of the 26th International Conference on Neural Information Processing Systems; Curran Associates Inc.: Red Hook, NY, USA, 2013; Volume 1, pp. 1–9. [Google Scholar]
- Hauke, J.; Kossowski, T. Comparison of values of Pearson’s and Spearman’s correlation coefficients on the same sets of data. Quaest. Geogr. 2011, 30, 87–93. [Google Scholar]
- Cohen, J. Statistical Power Analysis for the Behavioral Sciences; Lawrence Erlbaum Associates: Mahwah, NJ, USA, 1988. [Google Scholar]
- Abdi, H. Z-scores. Encycl. Meas. Stat. 2007, 3, 1055–1058. [Google Scholar]
- Hoshi, R.A.; Pastre, C.M.; Vanderlei, L.C.M.; Godoy, M.F. Poincaré plot indexes of heart rate variability: Relationships with other nonlinear variables. Auton. Neurosci. 2013, 177, 271–274. [Google Scholar]
- Tabachnick, B.G.; Fidell, L.S. Using Multivariate Statistics, 6th ed.; Pearson: Boston, MA, USA, 2006. [Google Scholar]












| Features | Flight Hours | Years | Height [m] | Weight [kg] |
|---|---|---|---|---|
| Mean | 633.1 | 31.8 | 1.74 | 75.4 |
| Median | 285.0 | 29.0 | 1.75 | 75.0 |
| Standard deviation | 1146.2 | 8.1 | 0.06 | 11.7 |
| TO | 0 | 180 | 220 | 360 |
| LA | 100 | 310 | 100 | 310 |
| OW | LF/HF | SD1 | SDNN | MEI | ||
|---|---|---|---|---|---|---|
| OW | Spearman’s rho | - | −0.26 | 0.04 | 0.14 | 0.27 |
| RDC | - | 0.66 | 0.72 | 0.76 | 0.59 | |
| LF/HF | Spearman’s rho | - | −0.44 * | −0.47 * | −0.06 | |
| RDC | - | 0.82 | 0.91 | 0.61 | ||
| SD1 | Spearman’s rho | - | 0.93 *** | 0.10 | ||
| RDC | - | 0.93 | 0.59 | |||
| SDNN | Spearman’s rho | - | 0.07 | |||
| RDC | - | 0.59 |
| OW | LF/HF | SD1 | SDNN | MEI | ||
|---|---|---|---|---|---|---|
| OW | Spearman’s rho | - | −0.14 | −0.05 | −0.05 | 0.20 |
| RDC | - | 0.60 | 0.57 | 0.56 | 0.88 | |
| LF/HF | Spearman’s rho | - | −0.58 ** | −0.66 ** | 0.04 | |
| RDC | - | 0.91 | 0.86 | 0.64 | ||
| SD1 | Spearman’s rho | - | 0.96 *** | −0.02 | ||
| RDC | - | 0.94 | 0.72 | |||
| SDNN | Spearman’s rho | - | 0.00 | |||
| RDC | - | 0.60 |
| TO | LA | ||||
|---|---|---|---|---|---|
| a | b | p | p | ||
| 25 | −8.5 | 0.4364 | 0.0374 | 0.4331 | 0.0390 |
| 4.59 | −14.7 | 0.4853 | 0.0189 | 0.6714 | 0.0005 |
© 2020 by the authors. Licensee MDPI, Basel, Switzerland. This article is an open access article distributed under the terms and conditions of the Creative Commons Attribution (CC BY) license (http://creativecommons.org/licenses/by/4.0/).
Share and Cite
Alaimo, A.; Esposito, A.; Orlando, C.; Simoncini, A. Aircraft Pilots Workload Analysis: Heart Rate Variability Objective Measures and NASA-Task Load Index Subjective Evaluation. Aerospace 2020, 7, 137. https://doi.org/10.3390/aerospace7090137
Alaimo A, Esposito A, Orlando C, Simoncini A. Aircraft Pilots Workload Analysis: Heart Rate Variability Objective Measures and NASA-Task Load Index Subjective Evaluation. Aerospace. 2020; 7(9):137. https://doi.org/10.3390/aerospace7090137
Chicago/Turabian StyleAlaimo, Andrea, Antonio Esposito, Calogero Orlando, and Andre Simoncini. 2020. "Aircraft Pilots Workload Analysis: Heart Rate Variability Objective Measures and NASA-Task Load Index Subjective Evaluation" Aerospace 7, no. 9: 137. https://doi.org/10.3390/aerospace7090137
APA StyleAlaimo, A., Esposito, A., Orlando, C., & Simoncini, A. (2020). Aircraft Pilots Workload Analysis: Heart Rate Variability Objective Measures and NASA-Task Load Index Subjective Evaluation. Aerospace, 7(9), 137. https://doi.org/10.3390/aerospace7090137

