Strain Measurement on Cracks Using Fiber Bragg Gratings for Use in Aircraft Composite Skin Repairs
Abstract
1. Introduction
2. Materials and Experimental Setup
2.1. FBG Background
2.2. Inscription of High-Reflectivity FBG
2.3. Measurements of Stress in Aluminum Coupon and Composite Repair Patch
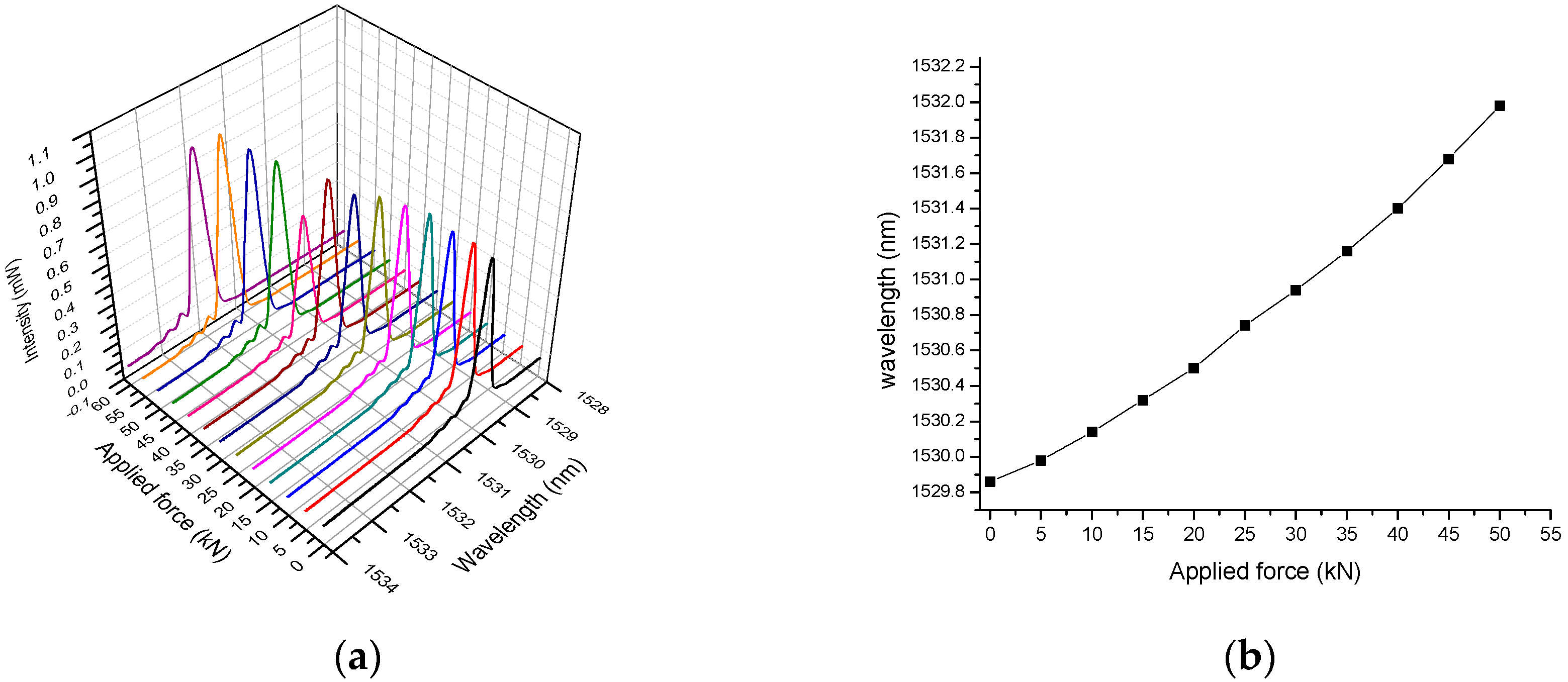
2.3.1. Aluminum Coupon without Composite Repair Patch
2.3.2. Aluminum Coupon with Composite Repair Patch
3. Results and Discussion
3.1. Aluminum Coupon Stress Measurements near the Tip of the Crack
3.1.1. Stress Measurements with Short FBG
3.1.2. Stress Measurements with Long FBG
3.2. Aluminum Coupon with Composite Patch over the Crack
4. Conclusions
Funding
Acknowledgments
Conflicts of Interest
References
- Sekine, H.; Fujimoto, S.; Okabe, T.; Takeda, N.; Yokobori, T., Jr. Structural Health Monitoring of Cracked Aircraft Panels Repaired with Bonded Patches Using Fiber Bragg Grating Sensors. Appl. Compos. Mater. 2006, 13, 87–98. [Google Scholar] [CrossRef]
- Li, H.C.H.; Beck, F.; Dupouy, O.; Herszberg, I.; Stoddart, P.R.; Davis, C.E.; Mouritz, A.P. Strain-based health assessment of bonded composite repairs. Compos. Struct. 2006, 76, 234–242. [Google Scholar] [CrossRef]
- Di Sante, R. Fiber Optic Sensors for Structural Health Monitoring of Aircraft Composite Structures: Recent Advances and Applications. Sensors 2015, 15, 18666–18713. [Google Scholar] [CrossRef] [PubMed]
- García, I.; Zubia, J.; Durana, G.; Aldabaldetreku, G.; Illarramendi, M.A.; Villatoro, J. Optical Fiber Sensors for Aircraft Structural Health Monitoring. Sensors 2015, 15, 15494–15519. [Google Scholar] [CrossRef] [PubMed]
- Kersey, A.D.; Berkoff, T.A.; Morey, W.W. Multiplexed fiber Bragg grating strain-sensor system with a fiber Fabry-Perot wavelength filter. Opt. Lett. 1993, 18, 1370. [Google Scholar] [CrossRef] [PubMed]
- Chehura, E.; Skordos, A.A.; Ye, C.-C.; James, S.W.; Partridge, I.K.; Tatam, R.P. Strain development in curing epoxy resin and glass fiber/epoxy composites monitored by fiber Bragg grating sensors in birefringent optical fiber. Smart Mater. Struct. 2005, 14, 354–362. [Google Scholar] [CrossRef]
- Pacheco, M.; Santoyo, F.M.; Méndez, A.; Zenteno, L.A. Piezoelectric-modulated optical fiber Bragg grating high-voltage sensor. Meas. Sci. Technol. 1999, 10, 9. [Google Scholar] [CrossRef]
- Sandgren, S.; Sahlgren, B.; Asseh, A.; Margulis, W.; Laurell, F.; Stubbe, R.; Lidgard, A. Characterization of Bragg gratings in fibers with heat scan technique. Electron. Lett. 1995, 31, 665. [Google Scholar] [CrossRef]
- Roussel, N.; Magne, S.; Martinez, C.; Ferdinand, P. Measurement of Index Modulation along Fiber Bragg Gratings by Side Scattering and Local Heating Techniques. Opt. Fiber Technol. 1999, 5, 119. [Google Scholar] [CrossRef]
- Torres, P.; Valente, L.C.G. Spectral response of locally pressed fiber Bragg grating. Opt. Commun. 2002, 208, 285–291. [Google Scholar] [CrossRef]
- De Matos, C.J.S.; Torres, P.; Valente, L.C.G.; Margulis, W.; Stubbe, R. Fiber Bragg Grating (FBG) Characterization and Shaping by Local Pressure. J. Lightwave Technol. 2001, 19, 1202–1211. [Google Scholar] [CrossRef]
- Udd, E.; Schulz, W.L.; Seim, J.M.; Trego, A.; Haugse, E.D.; Johnson, P.E. Use of transversely loaded fiber optic Grating strain sensors for aerospace applications. Proc. SPIE 2000, 3994. [Google Scholar] [CrossRef]
- Okabe, Y.; Yashiro, S.; Kosaka, T.; Takeda, N. Detection of transverse cracks in CFRP composites using embedded fiber Bragg grating sensors. Smart Mater. Struct. 2000, 9, 832–838. [Google Scholar] [CrossRef]
- Okabe, Y.; Tsuji, R.; Takeda, N. Application of chirped fiber Bragg grating sensors for identification of crack locations in composites. Compos. Part A 2004, 35, 59–65. [Google Scholar] [CrossRef]
- Udd, E. An Overview of Fiber-Optic Sensors. Rev. Sci. Instrum. 1995, 66, 4015–5030. [Google Scholar] [CrossRef]
- Erdogan, T. Fiber Grating Spectra. J. Lightwave Technol. 1997, 15, 1277–1294. [Google Scholar] [CrossRef]
- Crossley, S.; Margioli-Rega, Z.; Tsamasphyros, G.; Kanderakis, G.; Fournarakis, N.; Ikiades, A.; Kostandaki, M. Small Patches: Self-monitoring composite patches for the repair of aircraft. Proc. SPIE Int. Soc. Opt. Eng. 2004, 5272. [Google Scholar] [CrossRef]
- McKenzie, I.; Jones, R.; Marshall, I.H.; Galea, S. Optical fiber sensors for health monitoring of bonded repair systems. Compos. Struct. 2000, 50, 405–416. [Google Scholar] [CrossRef]
- Konstantaki, M.; Tamiolakis, G.; Argyris, A.; Othonos, A.; Ikiades, A. Effects of Ge concentration, B co-doping and hydrogenation on fiber Bragg grating characteristics. Microw. Opt. Technol. Lett. 2005, 44, 148–152. [Google Scholar] [CrossRef]
- Dong, P.; Zhang, P.; Li, R. Study on stress distribution near crack tip in beryllium compact tension specimen. In Proceedings of the 12th A-PCNDT 2006—Asia-Pacific Conference on NDT, Auckland, New Zealand, 5–10 November 2006. [Google Scholar]
- Studera, M.; Petersb, K.; Botsis, J. Method for determination of crack bridging parameters using long optical fiber Bragg grating sensors. Compos. Part B Eng. 2003, 34, 347–359. [Google Scholar] [CrossRef]
- Zheng, L.L.; Gao, Y.F.; Lee, S.Y.; Barabash, R.I.; Lee, J.H.; Liaw, P.K. Intergranular strain evolution near fatigue crack tips in polycrystalline metals. J. Mech. Phys. Solids 2011, 59, 2307–2322. [Google Scholar] [CrossRef]
- Guemes, J.A.; Menendez, J.M. Response of FBG-optic sensors when embraced in composites laminates. Compos. Sci. Technol. 2002, 62, 959–966. [Google Scholar] [CrossRef]
- Bertholds, A.; Dandliker, R. Determination of strain optic coefficient in Single Mode optical Fibers. J. Lightwave Technol. 1988, 6, 17–20. [Google Scholar] [CrossRef]
- Botsis, J.; Humbert, L.; Colpo, F.; Giaccari, P. Embedded fiber Bragg grating sensor for internal strain measurements in polymeric materials. Opt. Lasers Eng. 2005, 43, 491–510. [Google Scholar] [CrossRef]










© 2020 by the author. Licensee MDPI, Basel, Switzerland. This article is an open access article distributed under the terms and conditions of the Creative Commons Attribution (CC BY) license (http://creativecommons.org/licenses/by/4.0/).
Share and Cite
Ikiades, A.A. Strain Measurement on Cracks Using Fiber Bragg Gratings for Use in Aircraft Composite Skin Repairs. Aerospace 2020, 7, 138. https://doi.org/10.3390/aerospace7090138
Ikiades AA. Strain Measurement on Cracks Using Fiber Bragg Gratings for Use in Aircraft Composite Skin Repairs. Aerospace. 2020; 7(9):138. https://doi.org/10.3390/aerospace7090138
Chicago/Turabian StyleIkiades, Aris A. 2020. "Strain Measurement on Cracks Using Fiber Bragg Gratings for Use in Aircraft Composite Skin Repairs" Aerospace 7, no. 9: 138. https://doi.org/10.3390/aerospace7090138
APA StyleIkiades, A. A. (2020). Strain Measurement on Cracks Using Fiber Bragg Gratings for Use in Aircraft Composite Skin Repairs. Aerospace, 7(9), 138. https://doi.org/10.3390/aerospace7090138