Abstract
As avionics advance, heat dissipation becomes more challenging. Microencapsulated phase change material slurry (MPCMS), with its latent heat transfer properties, offers a potential solution. However, the low thermal conductivity of microencapsulated phase change material (MPCM) limits heat transfer rates, and most studies focus on improving conductivity, with little attention given to convective enhancement. This study prepared MPCMS with an MPCM mass fraction (Wm) of 10% and 20%, investigating melting heat transfer under mechanical stirring at 0–800 RPM and heat fluxes of 8.5–17.0 kW/m2. Stirring significantly alters MPCMS heat transfer behavior. As rotational speed increases, both wall-to-slurry and internal temperature differences decrease. Stirring extends the time at which the heating wall temperature (Tw) stays below a threshold. For example, at Wm = 10% MPCM and 8.50 kW/m2, increasing speed from 0 to 800 RPM raises the holding time below 70 °C by 169.6%. The effect of MPCM mass fraction on heat transfer under stirring is complex: at 0 RPM, 0% > 10% > 20%; at 400 RPM, 10% > 0% > 20%; and at 800 RPM, 10% > 20% > 0%. This is because as Wm increases, the latent heat and volume expansion coefficients of MPCMS rise, promoting heat transfer, while viscosity and thermal conductivity decrease, hindering it. At 0 RPM, the net effect is negative even at Wm = 10%. Stirring enhances internal convection and significantly improves heat transfer. At 400 RPM, heat transfer is positive at Wm = 10% but still negative at Wm = 20%. At 800 RPM, both Wm levels show positive effects, with slightly better performance at Wm = 10%. In addition, at the same heat flux, higher speeds maintain Tw below a threshold longer. Overall, stirring improves MPCMS cooling performance, offering an effective means of convective enhancement for avionics thermal management.
1. Introduction
With the continuous improvement of avionics, its power consumption has significantly increased, leading to a sharp rise in waste heat generation. In the confined space of airborne environments, effective heat dissipation is challenging, often resulting in heat accumulation and frequent overheating. This poses a serious threat to the performance stability and reliability of avionics [,,]. Overheating-induced failures in critical components can lead to severe flight safety hazards. Microencapsulated phase change material slurry (MPCMS) provides new solutions for addressing these pressing heat dissipation challenges [,,]. MPCMS is a solid/liquid multiphase fluid formed by mixing microencapsulated phase change material (MPCM) with base liquid. When avionics heat up, the phase change material (PCM) within MPCM undergoes a phase transition, absorbing heat and effectively mitigating the rapid temperature rise [,,,,,,,]. Additionally, the high heat transfer area provided by small MPCM particles, combined with the high thermal conductivity of the base liquid, further enhances overall heat dissipation performance. However, due to the relatively low thermal conductivity of PCM, the heat transfer rate of MPCMS remains limited, restricting its practical application prospects. Currently, researchers have primarily focused on improving the overall thermal conductivity of MPCMS through methods such as fins, nanoparticles, or foam metals [,,]. In reality, convection also plays a significant role in enhancing the heat transfer performance of both PCM and MPCMS [,,]. Compared to pure PCM, MPCMS, as a solid/liquid multiphase fluid, exhibits good fluidity and can be more conveniently integrated with convective enhancement measures to achieve further improvements in heat dissipation. However, research in this direction remains scarce. Therefore, there is an urgent need for in-depth investigation into the melting heat transfer characteristics of MPCMS under convection-enhanced conditions.
For avionics applications, this section primarily summarizes research on the effects of natural convection and stirring on the thermal performance of MPCMS.
Regarding natural convection, some studies investigated the effects of MPCM concentration and container structure on heat transfer performance. Sabbah et al. [] numerically studied the influence of MPCM on the natural convective heat transfer of liquid in a rectangular cavity. Assuming laminar steady-state two-dimensional flow, they employed control equations to describe the flow and heat transfer processes of MPCMS. The results showed that for MPCMS with a 25% mass fraction of MPCM in a rectangular cavity with a height-to-width ratio of 2, the heat transfer coefficient (HTC) increased by up to 80%. This enhancement can be attributed to two primary factors: the significantly higher volumetric thermal expansion coefficient of MPCM particles compared to water, which intensifies buoyancy-driven fluid motion, and the latent heat of MPCM particles, which boosts the heat transfer rate between walls. However, when the MPCM concentration exceeds 25%, the improvement in heat transfer diminishes or even decreases due to the nonlinear rise in slurry viscosity. At high concentrations, increased viscosity and reduced thermal conductivity outweigh the benefits of heat capacity and thermal expansion, reducing fluid motion intensity. Zhang et al. [] experimentally investigated the natural convective heat transfer characteristics of MPCMS with an MPCM mass fraction of 10–30% in a bottom-heated and top-cooled rectangular heat storage tank. A significant temperature jump occurred at the bottom when the heating plate temperature was within 32–35 °C, with this phenomenon gradually diminishing as tank height increased. As tank height increases, the vertical temperature gradient near the top and bottom becomes more pronounced, leading to stratification in the middle region; at lower heights, the middle temperature distribution remains nearly uniform. The HTC initially increases and then decreases with the temperature difference, reaching a local maximum at an 8–10 °C difference (corresponding to a heating plate temperature of 33–35 °C). Below 34 °C, the Nusselt number increases with the Rayleigh number; above 34 °C, it decreases but resumes its upward trend as the Rayleigh number continues to rise. Additionally, the mass fraction of MPCM significantly affects the natural convective heat transfer performance of MPCMS, with higher fractions corresponding to higher Nusselt numbers. Wang et al. [] prepared MPCMSs with MPCM mass fractions of 10%, 20%, and 30% using a water–propanol mixture as the base solution and experimentally investigated their natural convective heat transfer performance under tube heat transfer fluid (HTF) conditions. The MPCM used n-hexadecane as the core material, with particle diameters ranging from 10 to 40 μm. Results showed that higher MPCM concentrations stored more heat and exhibited smaller temperature rises; specifically, 30% MPCM absorbed 44% more heat than the base solution. However, due to increased viscosity, the HTC decreased with increasing concentration. The transient HTC changes can be divided into three stages: an initial decline during the pure conduction stage, quasi-steady-state stability, and gradual decay during the decay stage. The latent heat of phase change prolonged the quasi-steady-state period and delayed the attenuation for higher concentrations. Increasing the HTF inlet temperature and flow rate enhanced the dimensionless temperature, thereby improving the HTC for both heating and natural heat transfer performance.
Others examined the combined influence of natural convection direction, sample characteristics, and MPCM particle state on thermal behavior. Li et al. [] designed and constructed experimental devices to investigate the effects of natural convection (0°, 90°, 180°), MPCM mass fraction (20%, 40%), and sample thickness (10 mm, 30 mm) on the heat transfer characteristics of MPCMSs. Comparative analysis was conducted using original PCM and MPCM particles as references. In the absence of natural convection (180°), the MPCMS with 40% MPCM exhibited the highest thermal conductivity and the lowest surface temperature. Without a base fluid, MPCM particles demonstrated lower thermal conductivity and significant interfacial thermal resistance, leading to inferior overall performance. Under top heating conditions (180°), MPCMS showed a steeper temperature rise gradient near the heating wall. At bottom heating (0°), the temperature distribution within MPCMS became more uniform. MPCMS with a lower MPCM mass fraction reached the initial melting temperature faster but sacrificed thermal management duration and experienced higher phase transition heating rates. For sample thickness, no distinct latent heat effect was observed in 10 mm thick MPCMS during melting, while 30 mm samples showed a 7 °C drop in wall temperature at the end of melting. Liu et al. [] prepared MPCMS with MPCM mass fractions ranging from 5% to 20%. The density decreased with increasing temperature, dynamic viscosity increased with higher MPCM concentrations, and thermal conductivity gradually increased with temperature, exhibiting a sudden rise within the phase transition range. In natural convection experiments conducted in a square cavity (0°, 10–40 W), the wall temperature initially rose rapidly and then stabilized, with a distinct turning point near the phase transition peak temperature. The process consisted of two phases: a conduction phase with rapidly decreasing natural convective HTC, and a quasi-steady-state phase with slowly rising wall temperature and HTC fluctuating within a range. Due to the latent heat absorption during phase change and the resulting small temperature increases, MPCM significantly enhanced the natural convective heat transfer performance. Morimoto and Kumano [] experimentally investigated the natural convection characteristics of MPCMS in rectangular containers with vertically heated/cooling walls. The MPCM, containing n-octadecane as the core material, was prepared. The study varied the container height-to-width ratios (2, 3, 4), MPCM mass fractions (10%, 20%), and particle states (solid, liquid, phase transition). Results demonstrated that the state of MPCM particles significantly influenced the convective behavior of MPCMS: in the solid and liquid states, MPCMS exhibited behaviors similar to single-phase fluids; during the phase transition, multi-layer convection emerged due to density differences determined by both the temperature of MPCMS and the state of MPCM particles. Changes in the container height-to-width ratios did not affect the formation of multi-layer convection. During the phase transition, MPCM particles enhanced heat transfer performance, resulting in higher Nusselt numbers compared to the solid and liquid states, particularly at a 20% MPCM mass fraction.
Regarding stirring, some studies examined its effects on the heat storage capacity, charging and discharging rates, and latent heat utilization efficiency of MPCMS. Zhang and Niu [] investigated the performance of a coil-type MPCMS heat storage system and compared it with a stratified water storage tank. MPCMS with an MPCM mass fraction of 27.1% was prepared. The results demonstrated that the volumetric heat storage capacity of MPCMS between 8 and 18 °C was approximately twice that of water, and stirring significantly influenced this capacity. At high stirring rates, this capacity could be effectively enhanced, implying that the size of the heat storage tank could potentially be reduced by utilizing MPCMS. Regarding charge and discharge rates, MPCMS showed a higher discharge rate at the phase change temperature than water at high stirring rates, but lower at low stirring rates. In addition, high-speed stirring and phase change processes could markedly increase the convective HTC of MPCMS, but whether this enhancement effect could improve the heat charging rate requires further investigation. Bai et al. [] performed an experimental investigation on the performance of MPCMS during the cooling discharge process by establishing a coil-type heat storage experimental system. MPCMS with an MPCM mass fraction of 25% was utilized. The cooling discharge process was evaluated under various stirring rates (0, 100, 200, 300 RPM) and initial inlet temperatures of the HTF (10, 15, 20 °C). The results indicated that during the phase change process, the volumetric heat storage capacity of MPCMS increased substantially due to the release of latent heat. Increasing the stirring rate enhanced latent heat utilization in MPCMS, improving overall heat storage capacity; at 300 RPM, it was 1.28 times higher than without stirring. Within 16–18 °C, the HTC significantly increased due to the phase change, which accelerated the cooling discharge rate. Both a higher stirring rate and a higher initial inlet temperature of the HTF markedly promoted the cooling discharge process; specifically, the average discharge rate at 20 °C was approximately 1.24 times that at 10 °C.
Others investigated the contribution of stirring to improving the efficiency of the MPCMS heat transfer system, material utilization rate, and HTC. Shin et al. [] designed a novel heat transfer system based on a rotating helical fin heat exchanger for the transportation of MPCMS. MPCM was prepared using n-octadecane as the core material and polymethyl methacrylate as the shell material. MPCMS with varying MPCM mass fractions (0%, 15%, 25%, 35%) was also formulated. The results demonstrated that under a temperature difference of 25 °C, the system could effectively transport MPCMS, with the heat transfer capacity increasing by up to 180%. The energy efficiency of the system peaked when the MPCM mass fraction was 25% and the motor speed was 100 RPM. Yuan et al. [] investigated the heat transfer performance and material utilization of MPCMS under varying operating temperature ranges, stirring rates, flow rates, and MPCM mass fractions. The core material of the MPCM was n-docosane, while the shell material consisted of a polyuria/polyurethane polymer. Water acted as the base fluid, with an MPCM mass fraction ranging from 5% to 20%. The results demonstrated that for MPCMS containing 10% MPCM, the stirring rate and flow rate had minimal effects on material utilization and it exhibited heat transfer performance similar to that of water. However, mass fraction significantly influenced both heat transfer performance and material utilization. When the mass fraction reached 20%, the phase change temperature range closely aligned with the operating temperature range within a 6 °C interval. At lower mass fractions, however, the phase change temperature range shifted due to the supercooling effect. Garivalis et al. [] performed experiments to evaluate the performance of MPCMS under natural convection and mechanical stirring (0–300 RPM) in a 20 L cylindrical storage tank. The core material of the MPCM was paraffin, while the shell material consisted of melamine-formaldehyde resin. Water served as the base fluid, with an MPCM mass fraction of 36.7%. The results demonstrated that the HTC of MPCMS was lower than that of water under no stirring conditions, leading to significant temperature stratification. Mechanical stirring significantly enhanced heat transfer performance and improved heat storage efficiency. At a stirring rate of 300 RPM, the HTC of MPCMS became comparable to that of water, achieving maximum heat storage capacity and the shortest charging time. Under these conditions, the mechanical stirring power consumption was less than 4 W, which was considerably lower than the thermal power of the system.
The overview of convection effects on MPCMS is shown in Table 1.

Table 1.
Previous studies on natural convection and stirring of MPCMS.
In conclusion, convection significantly influences the heat transfer characteristics of MPCMS, with forced convection being particularly critical. However, several limitations remain when applying these stirring-related findings to avionics thermal management. First, most studies employed temperature boundary conditions (i.e., given temperature and flow rate of the HTF), while neglecting the more prevalent heat flux boundary conditions typical in avionics. Second, experimental investigations mainly focused on mechanical stirring speeds below 400 RPM, with limited exploration of higher-speed scenarios. Third, the holding time under a specific temperature was often overlooked. These research gaps hinder the applicability of current MPCMS thermal management studies to the actual heat dissipation needs of avionics. To fill these gaps, MPCMS samples with MPCM mass fractions of 10% and 20% were prepared in this study using a deionized water-n-propanol (NPA) solution as the base fluid. Subsequently, an MPCMS melting heat transfer experimental system was established, employing mechanical stirring as the means to enhance convection. Finally, the effect of stirring on the heat transfer characteristics of MPCMS was experimentally investigated under rotational speeds ranging from 0 to 800 RPM and heat fluxes ranging from 8.50 to 17.00 kW/m2.
2. Preparation of MPCMS
2.1. Materials
To satisfy the temperature control requirements of avionics [], this study selected MPCM (Hebei Ruosen Technology Co., Ltd., Shijiazhuang, Hebei, China), which uses n-docosane as the core material and acrylic as the shell material. A solution of deionized (DI) water (Hangzhou Wahaha Group Co., Ltd., Hangzhou, Zhejiang, China) and NPA (Xilong Science Co., Ltd., Guangzhou, Guangdong, China, analytical reagent (AR)) was employed as the base fluid for preparing MPCMS.
The surface morphology of the MPCM was characterized using a scanning electron microscope (SEM; Zeiss SUPRA 55 SAPPHIRE, Carl Zeiss AG, Oberkochen, Germany). As shown in Figure 1, the SEM image reveals the structural features of the MPCM sample. To allow for volume variations during core material phase transitions, the microcapsules were designed with a loose wall structure containing voids, enabling deformation under pressure and resulting in observable surface depressions.

Figure 1.
SEM image of MPCM.
The phase change temperature and latent heat of the MPCM were measured using a differential scanning calorimeter (DSC; NETZSCH DSC 214 Polyma, NETZSCH-Gerätebau GmbH, Selb, Germany). As depicted in Figure 2, the melting point was approximately 45.8 °C with a latent heat of 85.3 J/g, while the solidifying point was approximately 35.2 °C with a latent heat of 92.9 J/g.

Figure 2.
DSC curve of MPCM.
The thermogravimetric analysis (TGA) of the MPCM is conducted using a thermal analyzer (NETZSCH STA 449 F3 Jupiter, NETZSCH-Gerätebau GmbH, Selb, Germany). As presented in Figure 3, the MPCM samples exhibit great thermal stability. A significant weight loss of the MPCM is observed between 446.1 °C and 717.3 °C due to the gasification of the PCM.

Figure 3.
TGA curve of MPCM.
2.2. Method
Magnetic stirring and ultrasonic oscillation are widely utilized techniques in the preparation of MPCMS [,,]. The process parameters, such as stirring duration, temperature, and rotational speed for magnetic stirring and oscillation time, temperature, and frequency for ultrasonic treatment, differ according to the specific requirements of each MPCMS formulation. To prevent the agglomeration and sedimentation of MPCMS particles, dispersants such as cetyl trimethyl ammonium bromide (CTAB), sodium dodecyl sulfate (SDS), and sodium dodecyl benzene sulfonate (SDBS) are commonly added [,,].
Figure 4 illustrates the preparation method of MPCMS in this study:

Figure 4.
Preparation method of MPCMS.
According to the predetermined mass fractions of MPCM and dispersant, the required masses of MPCM, dispersant, and base fluid were accurately weighed using a high-precision electronic balance (Shenzhen Meifu Electronics Co., Ltd., Shenzhen, China), MTS 2000, 0–2000 g, ±0.1 g).
The base fluid and dispersant were added to a test tube, which was then placed in a magnetic stirrer (Hunan Qianyan Technology Co., Ltd., (Hunan, China), Guanghe, 0–100 °C, ±0.1 °C, 0–2400 RPM). Magnetic stirring was performed at 1000 RPM and 40 °C for 10 min to ensure uniform dispersion of the dispersant in the base fluid.
MPCM was added to the above mixture, followed by magnetic stirring at 1000 RPM and 40 °C for 180 min to promote complete dispersion.
The resulting slurry was transferred to an ultrasonic cleaner (Shenzhen Chunlin Cleaning Equipment Co., Ltd., (Shenzhen, China), CR-020ST, 20–80 °C, ±0.1 °C, 40 kHz), where ultrasonic oscillation was conducted at 40 °C and 40 kHz for 30 min to achieve uniform distribution of MPCM within the MPCMS.
The prepared MPCMS was allowed to stand for 48 h under ambient conditions, after which its stability and condition were observed, photographed, and recorded.
2.3. Dispersant
To select the optimal dispersant, three common dispersants (CTAB, SDS, and SDBS) were evaluated at mass fractions of 1%, 2%, and 5% in the MPCMS containing 10% MPCM, with DI water serving as the base fluid. The dispersants used were CTAB (Tianjin Balance Biotechnology Co., Ltd., Tianjin, China, AR), SDS (Sinopharm Chemical Reagent Co., Ltd., Beijing, China, AR), and SDBS (Sinopharm Chemical Reagent Co., Ltd., Beijing, China, AR). The effects of these dispersants on the uniformity of the MPCM dispersion in the base fluid were systematically investigated. As illustrated in Figure 5, when CTAB served as the dispersant, MPCMS demonstrated complete phase separation and exhibited the lowest homogeneity. In the case of SDS, partial phase separation accompanied by sedimentation was observed. By contrast, the use of SDBS as the dispersant resulted in a significant improvement in MPCMS homogeneity, especially at a mass fraction of 1%. Therefore, SDBS was chosen as the dispersant for this study, with its concentration set at 1% mass fraction.

Figure 5.
MPCMS with different dispersants.
2.4. Base Fluid
Due to the significant density difference between DI water and MPCM, achieving a long-term uniform distribution state is challenging even with the assistance of a dispersant when using DI water alone as the base fluid. In this study, the density difference between the base solution and MPCM was minimized by adjusting the density of the base fluid with an appropriate amount of NPA in DI water. The uniformity of MPCMS was evaluated at different NPA contents, with mass fractions controlled at 10% intervals. As shown in Figure 6, from left to right are MPCMS samples with NPA mass fractions ranging from 0% to 90% after 48 h of standing. It can be observed that MPCM floats significantly above the base fluid when the NPA mass fraction is less than or equal to 20%. Conversely, when the NPA mass fraction is greater than or equal to 30%, MPCM predominantly sinks below the base solution. Based on these observations, it can be inferred that the optimal range of the NPA mass fraction lies between 20% and 30%.

Figure 6.
MPCMS samples with NPA mass fractions of 0–90%.
To further determine the optimal NPA mass fraction, control tests for MPCMS homogeneity were conducted at 1% intervals. As shown in Figure 7, from left to right are MPCMS samples with NPA mass fractions ranging from 21% to 25% after standing for 48 h. It can be observed that when the NPA mass fraction is between 23% and 25%, MPCMS predominantly sinks below the base fluid. When the mass fraction is 21%, MPCM exhibits both floating and sinking behavior. The highest uniformity of MPCM is achieved when the mass fraction is 22%. Therefore, the optimal composition of the base fluid is determined to be 22% NPA and 78% DI water.

Figure 7.
MPCMS samples with NPA mass fractions of 21–25%.
The potential impacts of NPA on the thermophysical properties of the base fluid and the overall MPCMS performance are as follows: In terms of density, a mixture of 22% NPA and 78% DI water has a density close to that of MPCM and lower than pure DI water, which reduces MPCM sedimentation and suspension imbalance, thereby enhancing MPCMS stability. Regarding viscosity, the mixed base fluid exhibits a slightly higher viscosity than pure DI water but remains significantly lower than that of MPCMS, resulting in minimal flow resistance. As for thermal conductivity, it is slightly lower than that of pure DI water, but this reduction can be effectively compensated for by stirring-induced convective enhancement. Overall, these changes improve MPCMS stability with minimal negative impact on heat transfer performance.
3. Experimental System
3.1. Apparatus
As shown in Figure 8, the experimental system comprises three main components: the stirring device, the heating unit, and the data acquisition and visualization system.

Figure 8.
Experimental system: (a) schematic; (b) photo.
The stirring device consists of a stirrer (Shanghai Lichen Instrument Technology Co., Ltd., Shanghai, China LC-OES-120SH, 0–120 W, 0–2000 RPM), blades, and a shaft. The shaft is connected to the stirrer via a fixture and the blades are welded to the shaft. The shaft has a diameter of 8 mm, a length of 300 mm, and its central axis is perfectly aligned with the test section. The stirring blades adopt a three-blade configuration with a rotation diameter (Drot) of 50 mm and a rotation height (Hrot) of 20 mm.
The heating unit includes a DC power supply (Fujian Lilliput Optoelectronics Technology Co., Ltd., Xiamen, Fujian, China, OWON SPE6103, 0–60 V, 0–10 A, 0–300 W) and a ceramic heating plate, designed to simulate the thermal characteristics of avionics. The ceramic heating plate measures 40 × 40 × 2 mm3 and exhibits a resistance of approximately 3.4 Ω at an ambient temperature of 25 °C. It is securely mounted inside the copper plate of the test section using screws. By adjusting the output voltage of the DC power supply, different heating powers can be achieved.
The data acquisition and visualization system incorporates 24 temperature sensors, a data acquisition device (Shenzhen Toprie Electronics Co., Ltd., Shenzhen, Guangdong, China, TP700, acquisition frequency 1 Hz), and a computer. Specifically, eight thermocouples (Dongtai Youpusi Measurement and Control Technology Co., Ltd., Yancheng, Jiangsu, China, K-type, −70–260 °C, ±0.5 °C) are installed at the bottom of the copper plate in the test section to monitor the temperature changes in the heating wall. Additionally, two sets of 16 thermal resistors (Dongtai Youpusi Measurement and Control Technology Co., Ltd., Yancheng, Jiangsu, China, PT100, diameter 3 mm, length 30 mm, −60–250 °C, ±0.15 °C) are evenly spaced 20 mm apart on transparent polycarbonate (PC) plates on both sides of the test section for measuring the temperatures of the MPCMS and air. The thermal resistor ends are in direct contact with the MPCMS and air within the inner space of the test section.
3.2. Test Section
As shown in Figure 9a, the test section comprises a copper plate, an upper base plate, a lower base plate, a top cover, and four side plates. Except for the copper plate, all other components are made of transparent PC material to facilitate visual observation. The upper and lower base plates measure 200 mm × 200 mm × 20 mm, while the top cover has external dimensions of 160 mm × 160 mm × 20 mm and features a central through-hole with a diameter of 20 mm for the stirring shaft to access the interior of the test section. The four side plates are 200 mm high and 30 mm thick, with two plates measuring 160 mm wide and the other two 100 mm wide. Each side plate has eight equally spaced stepped through-holes (20 mm apart): 3 mm in diameter and 20 mm deep at the front, transitioning to 5 mm in diameter and 10 mm deep at the rear. Thermal resistors (3 mm in diameter and 30 mm in length) are inserted into these holes, fixed, and sealed with glue. The specific positions of the thermal resistors, numbered 9–16, are illustrated in Figure 9b. The assembly is completed using bolts, O-rings, and glue, resulting in an internal space of 100 mm × 100 mm × 200 mm.

Figure 9.
Geometric dimensions: (a) assembled test section; (b) temperature measurement points; (c) heating device.
As shown in Figure 9c, the heating device consists of a copper plate and a ceramic heating plate. The copper plate is a cube with an edge length (d) of 80 mm and a thickness of 10 mm, featuring a square groove (42 mm × 42 mm × 3 mm) on its lower surface. Eight K-type thermocouples (numbered 1–8) are embedded in the copper plate, with their tips positioned 6 mm below the upper surface to monitor the temperature. The copper plate is fastened to the upper base plate using screws and sealed with O-rings. The ceramic heating plate measures 40 mm × 40 mm × 2 mm. After applying high-thermal-conductivity grease uniformly on its surface, it is securely attached to the square groove of the copper plate using screws.
In this study, heat flux is set at 8.5–17 kW/m2, MPCM mass fraction is selected as 10% and 20%, and stirring speed ranges from 0 to 800 RPM. These values are chosen based on two considerations. First, typical avionics heat flux is around 10 kW/m2, which falls within the tested range, ensuring practical relevance. Second, prior studies show MPCM mass fractions usually range from 5% to 35%, and mechanical stirring speeds from 0 to 400 RPM. The selected mass fractions fit this range, while the higher stirring speed extends beyond typical limits, allowing for comparison with existing data and exploration of heat transfer at elevated stirring. Overall, the parameters meet both technical feasibility and the actual cooling demands of avionics.
3.3. Data Reduction
The heating power (Q) is calculated as the product of the output voltage (U) from the DC power supply and the current (I). The heat flux (q) is then determined by dividing Q by the heating area (A = 64 cm2).
The heating wall temperature (Tw) is determined by averaging the measurements from eight K-type thermocouples (T1–T8) mounted on a copper plate.
where δ represents the distance between the tip of the thermocouple and the upper surface of the copper plate, and its value is 6 mm; λ is the thermal conductivity of the copper plate.
The HTC is calculated as the ratio of q to the heat transfer temperature difference, defined as Tw minus T16.
The Nusselt number (Nu) is defined as follows:
where L represents the characteristic length, which is taken as the distance from the T16 measurement point to the heating wall; λMPCMS is the thermal conductivity of the MPCMS, which is calculated based on the mass fraction of the MPCM and the base fluid and their respective thermal conductivities.
The mass fraction of MPCM (Wm) in MPCMS can be calculated using the mass of MPCM (mMPCM) and the base fluid mass (mfluid), where mfluid equals the sum of DI water mass (mwater) and NPA mass (mNPA). Additionally, the mass fraction of NPA (Wn) in the base fluid can be calculated from mNPA and mwater.
3.4. Uncertainty
The uncertainty of directly measured parameters, such as U, I, d, and Ti, primarily depends on the accuracy and minimum measurable value of the instrument. In contrast, the uncertainty of indirectly measured parameters, such as Q, q, HTC, Nu and Tw, is propagated from the uncertainties of the direct measurement parameters through calculation methods []. Table 2 summarizes the uncertainties of all parameters.

Table 2.
Experimental uncertainties.
4. Experimental Results and Discussion
4.1. Effects of Rotational Speed on Heat Transfer Characteristics
Figure 10 shows the dynamic variation in Tw, h, and Nu with heating time (t) at n = 0–800 RPM, Wm = 10%, and q = 8.50 kW/m2. Without stirring (n = 0 RPM), the Tw curve exhibits melting characteristics similar to those of pure PCM, divided into three stages: solid-phase sensible heat transfer, latent heat transfer, and liquid-phase sensible heat transfer. With stirring initiated (n > 0 RPM), as n increases, the transitions between these stages gradually diminish, indicating that stirring alters the melting behavior of MPCMS. For HTC and Nu, they are initially high during the early heating stage, then decrease rapidly before gradually stabilizing. At n = 800 RPM, the stable values are 1.94 kW/m2 K and 53.685, respectively, representing a 252.7% increase relative to the corresponding values of 0.55 kW/m2 K and 15.22 at n = 0 RPM. Overall, higher n leads to lower Tw and higher HTC and Nu, demonstrating that stirring enhances the convective heat transfer.

Figure 10.
Melting characteristics at different rotational speeds. (a) Tw; (b) h; (c) Nu.
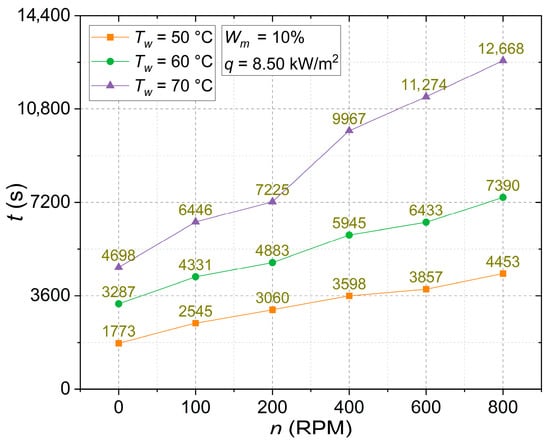
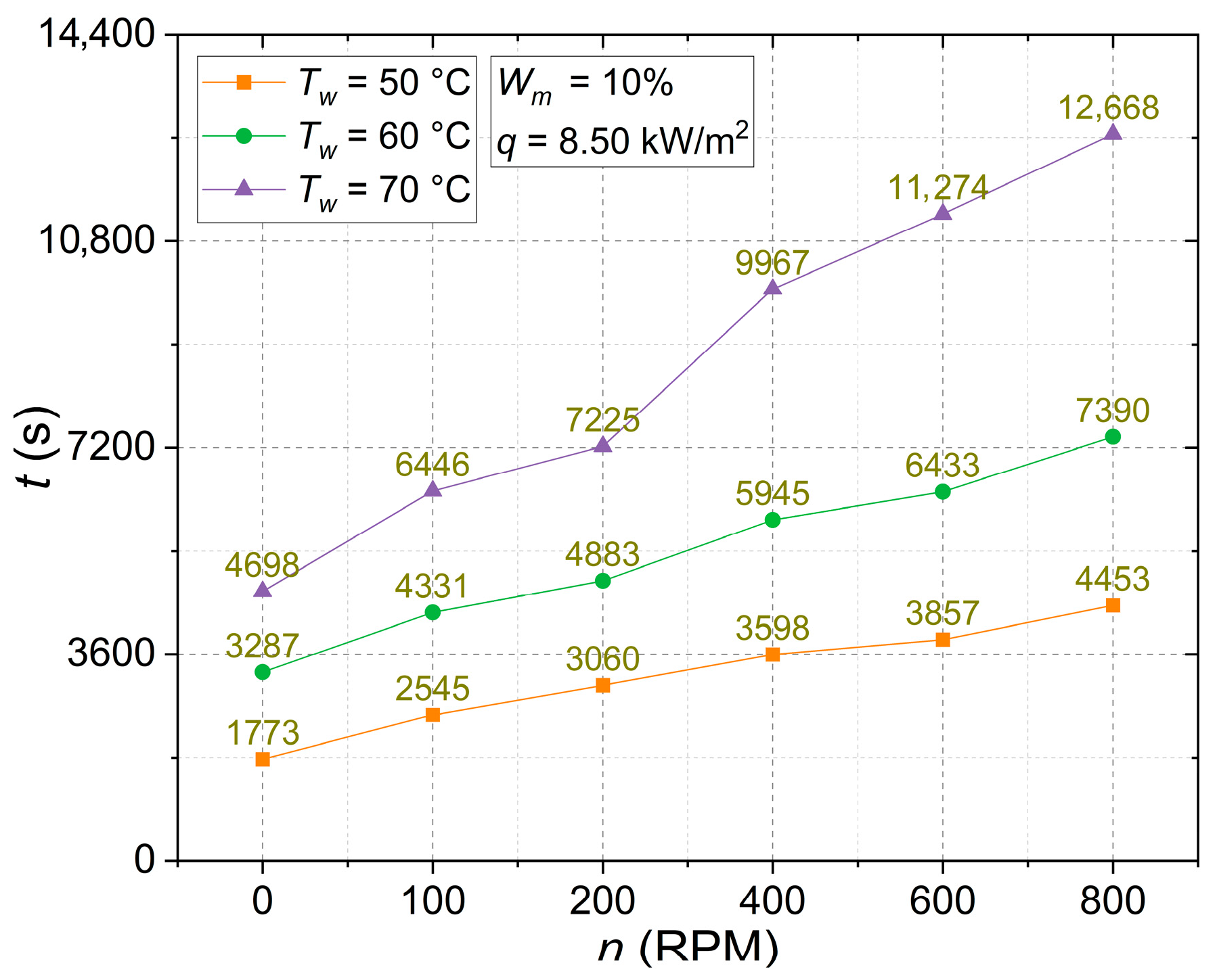
Figure 11 presents the holding times required for Tw to reach specific temperatures (50 °C, 60 °C, and 70 °C) at n = 0–800 RPM, Wm = 10%, and q = 8.50 kW/m2. As n increases from 0 RPM to 800 RPM, the time to reach 50 °C increases by 151% (from 1773 s to 4453 s), the time to reach 60 °C increases by 125% (from 3287 s to 7390 s), and the time to reach 70 °C rises by 170% (from 4698 s to 12,668 s). This demonstrates that stirring enhances the convective heat transfer within MPCMS, thereby significantly prolonging the holding times.

Figure 11.
Holding times at different rotational speeds.
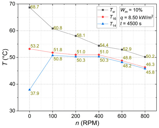
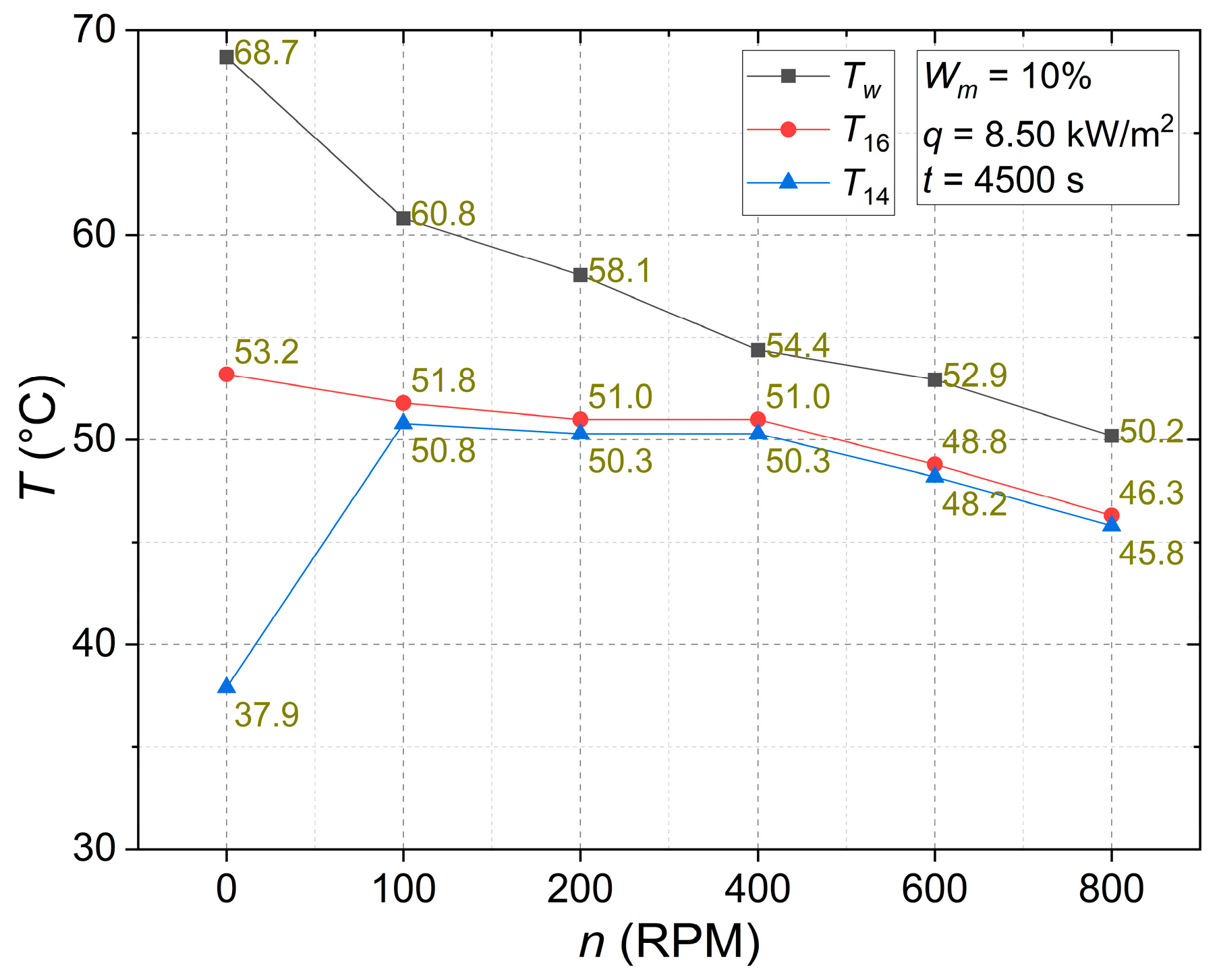
Figure 12 illustrates the temperatures of MPCMS and the heating wall at n = 0–800 RPM, Wm = 10%, q = 8.50 kW/m2, and t = 4500 s. For MPCMS, measurement points include T16 20 mm from the heating wall and T14 60 mm from the heating wall. At n = 0 RPM, the temperature difference between Tw and T16 is 15.5 °C, while the difference between Tw and T14 is 30.8 °C, indicating a significant temperature gradient within MPCMS that limits the melting of the upper portion. As n increases, the temperature gradient decreases markedly. At n = 800 RPM, the temperature difference between Tw and T16 drops to 3.9 °C (a 74.8% reduction compared to that at n = 0 RPM), and the difference between Tw and T14 reduces to 4.4 °C (an 85.7% reduction compared to that at n = 0 RPM). This confirms that stirring effectively reduces the temperature difference between the heating wall and MPCMS, as well as the internal temperature gradient.

Figure 12.
Temperature distribution at different rotational speeds.
The findings on the effect of rotational speed align with those of Garivalis et al. [], who reported that mechanical stirring enhanced the heat transfer performance of MPCMS and reduced temperature stratification. However, while Garivalis et al. [] only tested rotational speeds up to 300 RPM and focused on the HTC of MPCMS, this study expands the tested range to 800 RPM and quantifies the effect of rotational speed on the heating wall temperature and holding time—two key indicators for avionics cooling.
4.2. Effects of Different Mass Fractions on Melting Characteristics
Figure 13 illustrates the dynamic variation in Tw with t at n = 0, 400, and 800 RPM; Wm = 0%, 10%, and 20%; and q = 8.50 kW/m2. When Wm is 0%, the Tw curve remains smooth across different n levels. This is because MPCMS contains only the base fluid at this point, and its heat transfer performance is primarily determined by the properties of the base fluid. For Tw curves with Wm at 10% and 20%, a transition region appears due to the latent heat transfer characteristics of MPCMS. When Wm is 10%, the transition becomes less noticeable as n increases; when Wm is 20%, the transition becomes more pronounced as n increases. This phenomenon arises from the interaction of two factors: the phase change heat transfer ability of MPCM and the relatively high thermal conductivity of the base fluid. Under varying Wm conditions, stirring emphasizes one of these factors: when Wm is 10%, the function of the base fluid dominates as n increases; when Wm is 20%, the function of MPCM becomes more prominent.

Figure 13.
Heating wall temperature at different MPCM mass fractions. (a) n = 0 RPM; (b) n = 400 RPM; (c) n = 800 RPM.
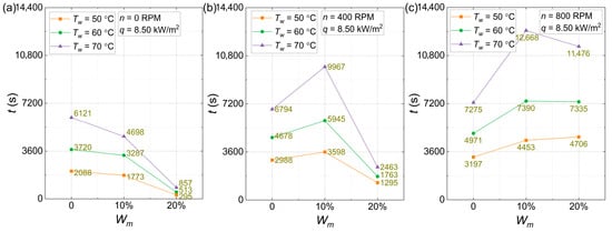
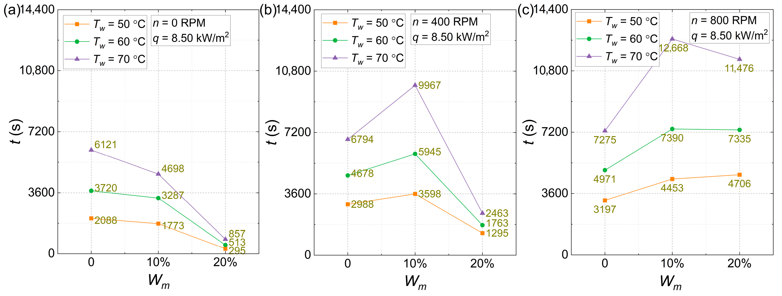
Figure 14 presents the holding times required for Tw to reach specific temperatures (50 °C, 60 °C, and 70 °C) at n = 0, 400, and 800 RPM; Wm = 0%, 10%, and 20%; and q = 8.50 kW/m2. When n = 0 RPM, the time required for Tw to reach a specific temperature gradually decreases with increasing Wm. For instance, when Tw reaches 70 °C, the corresponding times for Wm at 0%, 10%, and 20% are 6121 s, 4698 s, and 857 s, respectively, meaning that Wm = 10% reduces holding time by 23.2% and Wm = 20% reduces it by 86.0% compared to Wm = 0%. When n = 400 RPM, the time lengths corresponding to different Wm values follow the order 10% > 0% > 20%. Taking Tw reaching 70 °C as an example, the times corresponding to Wm at 0%, 10%, and 20% are 6754 s, 9967 s, and 2463 s, respectively, indicating that Wm = 10% extends holding time by 47.5% while Wm = 20% shortens it by 63.5% compared to Wm = 0%. When n = 800 RPM, the order of time corresponding to different Wm values becomes 10% > 20% > 0%, with a smaller difference between the first two. For example, when Tw reaches 70 °C, the corresponding times for Wm at 0%, 10%, and 20% are 7275 s, 12,668 s, and 11,476 s, respectively, suggesting that Wm = 10% extends holding time by 74.1% and Wm = 20% extends it by 57.8% compared to Wm = 0%. The reasons for this phenomenon are as follows: As Wm increases, the latent heat and volume expansion coefficients of MPCMS increase, which is beneficial for heat transfer, but its viscosity and thermal conductivity decrease, which is not conducive to heat transfer. Without stirring (n = 0 RPM), the heat transfer is affected by the above factors comprehensively. Even when Wm = 10%, the overall net effect is negative. When stirring is turned on, the internal convection is enhanced, significantly improving the heat transfer performance. When n is increased to 400 RPM, the heat transfer effect of Wm = 10% is positive, while that of Wm = 20% is still negative; when n is further increased to 800 RPM, the heat transfer effects under both Wm conditions turn positive, with the effect of Wm = 10% being slightly better than that of Wm = 20%. Similar observations were made by Sabbah et al. [] and Wang et al. [] in their studies on the heat transfer characteristics of MPCMS without stirring. Furthermore, considering holding time gain and operational practicality, Wm = 10% represents the optimal mass fraction. The quantitative analyses are as follows: At Wm = 0%, the relative holding time gains at 400 RPM and 800 RPM are 10.3% and 18.9%, respectively. Due to no latent heat storage, stirring provides only marginal enhancement in convective heat transfer. At Wm = 20%, the relative gain reaches as high as 1250.8% at 800 RPM, but the baseline holding time without stirring is merely 857 s (of limited practical utility), and even with stirring at 400 RPM, although the gain reaches 187.4%, the resulting holding time remains at only 2463 s, insufficient to meet the thermal demands of typical mission durations. In contrast, at Wm = 10%, the relative gain reaches 112.1% at 400 RPM, extending the holding time to 9967 s, sufficient to satisfy standard cooling requirements without requiring high rotational speeds. At 800 RPM, the gain further increases to 169.6%, achieving a maximum holding time of 12,668 s.

Figure 14.
Holding time at different MPCM mass fractions. (a) n = 0 RPM; (b) n = 400 RPM; (c) n = 800 RPM.
Figure 15 depicts the temperatures of the MPCMS (T16 and T14) and the heating wall (Tw) at n = 0, 400, and 800 RPM; Wm = 0%, 10%, and 20%; q = 8.50 kW/m2; and t = 1600 s. When n = 0 RPM, with increasing Wm, the temperature differences between Tw and T16 and between Tw and T14 gradually increase from 13.0 °C and 13.6 °C at Wm = 0% to 19.7 °C and 21.7 °C at Wm = 10% (increases of 51.5% and 59.6%), and then to 57.2 °C and 58.5 °C at Wm = 20% (increases of 340.0% and 330.1%). Adding MPCM to the base fluid indicates a significant reduction in heat dissipation capacity. When n = 400 RPM, the temperature differences corresponding to Wm = 0% are 4.8 °C and 5.5 °C, those corresponding to Wm = 10% are 4.7 °C and 5.9 °C (changes of −2.1% and 7.3%), and those corresponding to Wm = 20% are 29.2 °C and 34.1 °C (increases of 508.3% and 520.0%), indicating that adding 10% MPCM to the base fluid has a smaller effect on heat dissipation capacity. However, adding 20% MPCM still leads to a substantial decrease in heat dissipation capacity. When n = 800 RPM, the temperature differences corresponding to Wm = 0%, 10%, and 20% are 3.3 °C and 3.8 °C, 3.4 °C and 4.5 °C, and 3.6 °C and 3.8 °C, respectively, indicating that even adding 20% MPCM to the base fluid does not significantly affect heat dissipation. However, as t increases, due to the completion of the solid–liquid phase change, the temperature differences corresponding to different Wm mostly show an increasing trend to varying degrees. Additionally, as n increases, the temperature differences corresponding to different Wm all exhibit a downward trend, indicating that stirring effectively enhances the uniformity of the temperature field.

Figure 15.
Temperature distribution at different MPCM mass fractions. (a) n = 0 RPM; (b) n = 400 RPM; (c) n = 800 RPM.
The finding that the effect of MPCM mass fraction is dependent on rotational speed overcomes the limitations of prior research. Sabbah et al. [] and Wang et al. [] investigated the impact of MPCM mass fraction only under natural convection (0 RPM), concluding that high concentrations (above 25% for Sabbah et al. [] and 30% for Wang et al. []) reduced heat transfer performance due to increased viscosity. This study extends their findings by demonstrating that high-speed stirring (800 RPM) can mitigate the negative effects of high MPCM concentrations.
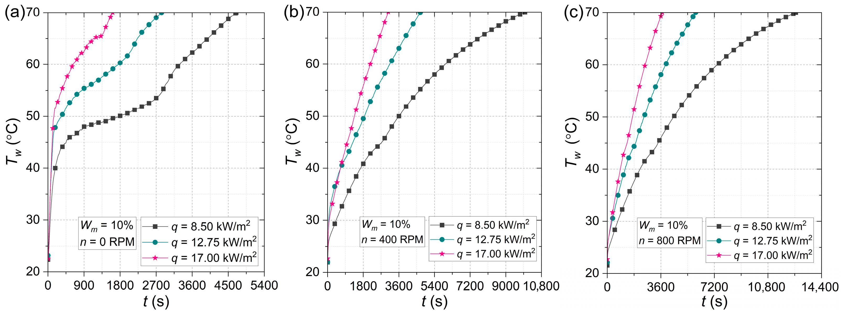
4.3. Effects of Heat Flux on Heat Transfer Characteristics
Figure 16 illustrates the dynamic variation in Tw with t at n = 0, 400, and 800 RPM; Wm = 10%; and q = 8.50, 12.75, and 17.00 kW/m2. At the same n, the Tw curves corresponding to different q exhibit a similar trend of change; however, as q increases, the Tw curve becomes steeper, and the holding time at a specific temperature becomes shorter.

Figure 16.
Heating wall temperature at different heat fluxes. (a) n = 0 RPM; (b) n = 400 RPM; (c) n = 800 RPM.
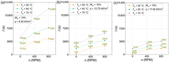
Figure 17 presents the holding time required for Tw to reach specific temperatures (50 °C, 60 °C, and 70 °C) at n = 0, 400, and 800 RPM; Wm = 10%; and q = 8.50, 12.75, and 17.00 kW/m2. For any given q, an increase in n results in a longer holding time. For example, when Tw reaches 70 °C, at q = 8.50 kW/m2, the times corresponding to n = 0, 400, and 800 RPM are 4698 s, 9967 s, and 12,668 s, respectively; at q = 12.75 kW/m2, they are 2834 s, 4689 s, and 5941 s, respectively; and at q = 17.00 kW/m2, they are 1615 s, 3064 s, and 3694 s, respectively. Under these three heat fluxes, the holding time at 800 RPM increases by 169.6%, 109.6%, and 128.7%, respectively, compared to that at 0 RPM. This indicates that stirring significantly prolongs the operating time of the heat source below a specific temperature.

Figure 17.
Holding time at different heat fluxes. (a) q = 8.50 kW/m2; (b) q = 12.75 kW/m2; (c) q = 17.00 kW/m2.
The investigation of heat flux effects fills a key gap in current research on MPCMS. Most previous studies, such as those by Zhang and Niu [] and Bai et al. [], evaluated MPCMS heat transfer performance under temperature boundary conditions. However, these conditions do not reflect real-world avionics cooling environments, where heat dissipation is mainly driven by heat flux from high-power components.
4.4. Heat Storage and Power Consumption
The effective heat storage capacity of the MPCMS device is determined by the phase change latent heat of the PCM and the sensible heat of the base fluid, and can be quantitatively calculated from heating power and holding time. For instance, at q = 8.5 kW/m2, Wm = 10%, and n = 800 RPM, the device maintained temperature control for 12,668 s at 70 °C, yielding an effective heat storage capacity of 689.1 kJ. Regarding the power consumption, it peaked at approximately 3.5 W, while the minimum heating power was 54.4 W. Thus, the maximum ratio of stirring to heating power was only 6.4%, demonstrating that auxiliary power requirements are minimal.
5. Conclusions
In this study, MPCMSs with MPCM mass fractions of 10% and 20% were prepared, and the melting heat transfer characteristics were experimentally investigated under rotational speeds of 0–800 RPM and heat fluxes of 8.5–17.0 kW/m2. The main conclusions are as follows:
- (1)
- For MPCM with n-docosane as the core material and acrylic as the shell material, the best dispersion effect can be achieved when preparing MPCMS using SDBS with a mass fraction of 1%. Additionally, the optimal composition of the base fluid is 22% NPA and 78% DI water.
- (2)
- Stirring significantly alters the melting heat transfer characteristics of MPCMS. When the mass fraction of MPCM is 10%, increasing rotational speed gradually smooths or eliminates transitions between heat transfer stages in the heating wall temperature curve. Simultaneously, the temperature difference between the heating wall and the MPCMS, as well as the temperature gradient within the MPCMS, decreases, improving temperature uniformity. Moreover, stirring can significantly extend the holding time of the heat source below a specific temperature. For example, with a mass fraction of 10% and a heat flux of 8.50 kW/m2, increasing the speed from 0 RPM to 800 RPM extends the heat source operating time below 70 °C by 169.6%.
- (3)
- The effect of the MPCM mass fraction on the heat transfer characteristics of MPCMS is complex, especially under stirring. When the MPCM mass fraction is 20%, the transition on the heating wall temperature curve becomes more pronounced, which is contrary to the trend observed at a mass fraction of 10%. The holding time of the heat source below a specific temperature varies with mass fraction and rotational speed: at 0 RPM, the order of holding time is 0% > 10% > 20%; at 400 RPM, the order is 10% > 0% > 20%; and at 800 RPM, the order is 10% > 20% > 0%. This results from three factors: higher mass fractions increase latent heat and volume expansion, enhancing heat transfer; they also reduce viscosity and thermal conductivity, hindering it, and increased rotational speed strengthens convection, further improving performance.
- (4)
- For the same heat flux, higher rotational speeds result in longer holding times; for the same rotational speed, higher heat flux values lead to shorter holding times. For example, at 800 RPM, with heat fluxes of 8.50 kW/m2, 12.75 kW/m2, and 17.00 kW/m2, the holding times corresponding to 70 °C are 12,668 s, 5941 s, and 3694 s, respectively.
- (5)
- This study confirms that stirring enhances the melting performance of MPCMS but has limitations. The heat source does not reflect the varied shapes, sizes, and heat fluxes of real avionics. Only stirring was studied without incorporating nanoparticles or fins, failing to evaluate the synergy between convection and conduction. Stability was only tested through a 48 h static experiment, missing long-term issues like particle agglomeration, shell degradation, and energy consumption. Future research should test diverse heat sources, combine stirring with conductive enhancements, conduct long-term tests to optimize dispersants and shells, and evaluate energy use and compatibility to promote the engineering application in aircraft thermal management. The large-scale application of the findings depends on addressing size, thermal load, and other key variations in avionics. Using these results, thermal management devices can be optimized to steadily improve technological maturity.
Author Contributions
Conceptualization, Y.X.; Data curation, M.W.; Formal analysis, Z.X. and M.W.; Investigation, Z.X.; Methodology, Z.X.; Software, M.W.; Supervision, Y.X.; Writing—original draft, Z.X.; Writing—review and editing, Y.X. All authors have read and agreed to the published version of the manuscript.
Funding
This research was funded by the National Natural Science Foundation of China (52372331); the China Postdoctoral Science Foundation (2020M671487); and the Priority Academic Program Development of Jiangsu Higher Education Institutions.
Data Availability Statement
The original contributions presented in this study are included in the article. Further inquiries can be directed to the corresponding author.
Conflicts of Interest
The authors declare no conflicts of interest.
Abbreviations
CTAB | Cetyl Trimethyl Ammonium Bromide |
DI | Deionized |
DSC | Differential Scanning Calorimeter |
HTC | Heat Transfer Coefficient |
HTF | Heat Transfer Fluid |
MPCM | Microencapsulated Phase Change Material |
MPCMS | Microencapsulated Phase Change Material Slurry |
NPA | n-propanol |
PC | Polycarbonate |
PCM | Phase Change Material |
SDBS | Sodium Dodecyl Benzene Sulfonate |
SDS | Sodium Dodecyl Sulfate |
SEM | Scanning Electron Microscope |
TGA | Thermogravimetric Analysis |
Nomenclature
A | heating area/m2 |
d | side length/m |
Drot | rotation diameter/m |
Hrot | rotation height/m |
I | current/A |
n | rotation speed/RPM |
Nu | Nusselt number |
q | heat flux/W/m2 |
Q | heating power/W |
T | temperature/°C |
Ti | temperature of the ith thermocouple |
Tw | heating wall temperature/°C |
t | time/s |
U | voltage/V |
Wm | mass fraction of MPCM |
Wn | mass fraction of n-propanol |
δ | distance on temperature measuring/m |
λ | thermal conductivity/W/m K |
References
- Wang, J.; Li, Y.; Liu, X.; Shen, C.; Zhang, H.; Xiong, K. Recent active thermal management technologies for the development of energy-optimized aerospace vehicles in China. Chin. J. Aeronaut. 2021, 34, 1–27. [Google Scholar] [CrossRef]
- Xu, Y.; Yan, Z.; Li, L. Flow boiling heat transfer, pressure drop and flow patterns of the environmentally friendly refrigerant R1234yf for cooling avionics. Appl. Therm. Eng. 2022, 209, 118301. [Google Scholar] [CrossRef]
- Fang, X.; Li, G.; Li, D.; Xu, Y. An experimental study of R134a flow boiling heat transfer in a 4.07mm tube under Earth’s gravity and hypergravity. Int. J. Heat Mass Transfer. 2015, 87, 399–408. [Google Scholar] [CrossRef]
- Giro-Paloma, J.; Martínez, M.; Cabeza, L.F.; Fernández, A.I. Types, methods, techniques, and applications for microencapsulated phase change materials (MPCM): A review. Renew. Sustain. Energy Rev. 2016, 53, 1059–1075. [Google Scholar] [CrossRef]
- Garivalis, A.I.; Rossi, D.; Seggiani, M.; Testi, D. Beyond water: Physical and heat transfer properties of phase change slurries for thermal energy storage. Cell Rep. Phy. Sci. 2024, 5, 101905. [Google Scholar] [CrossRef]
- Ghasemi, K.; Tasnim, S.; Mahmud, S. PCM, nano/microencapsulation and slurries: A review of fundamentals, categories, fabrication, numerical models and applications. Sustain. Energy Technol. Assess. 2022, 52, 102084. [Google Scholar] [CrossRef]
- Rostamian, F.; Etesami, N.; Haghgoo, M. Management of electronic board temperature using heat sink containing pure and microencapsulated phase change materials. Int. Commun. Heat Mass Transfer. 2021, 126, 105407. [Google Scholar] [CrossRef]
- Praveen, B.; Suresh, S.; Pethurajan, V. Heat transfer performance of graphene nano-platelets laden micro-encapsulated PCM with polymer shell for thermal energy storage based heat sink. Appl. Therm. Eng. 2019, 156, 237–249. [Google Scholar] [CrossRef]
- Wong, T.L.; Vallés, C.; Nasser, A.; Abeykoon, C. Effects of boron-nitride-based nanomaterials on the thermal properties of composite organic phase change materials: A state-of-the-art review. Renew. Sustain. Energy Rev. 2023, 187, 113730. [Google Scholar] [CrossRef]
- Regin, A.F.; Solanki, S.C.; Saini, J.S. Heat transfer characteristics of thermal energy storage system using PCM capsules: A review. Renew. Sustain. Energy Rev. 2008, 12, 2438–2458. [Google Scholar] [CrossRef]
- da Silva, B.P.; Saccol, F.; Caetano, N.R.; Pedrazzi, C.; Caetano, N.R. Technical and Economic Viability for the Briquettes Manufacture. Defect Diffus. Forum. 2017, 380, 218–226. [Google Scholar] [CrossRef]
- Saini, P.; Dhar, A.; Powar, S. Parametric optimization of a cesaro fins employed latent heat storage system for melting performance enhancement. J. Energy Storage 2022, 51, 104534. [Google Scholar] [CrossRef]
- Saini, P.; Dhar, A.; Powar, S.; Doddamani, M. Cesaro fins parametric optimization for enhancement in the solidification performance of a latent heat storage system with combined fins, foam, and nanoparticle. Energy Rep. 2023, 9, 5670–5687. [Google Scholar] [CrossRef]
- Saini, P.; Osorio, J.D. Review on phase change materials and thermoelectric generators for ocean thermal gradient applications. Renew. Sustain. Energy Rev. 2025, 219, 115851. [Google Scholar] [CrossRef]
- Mo, S.; Ye, J.; Jia, L.; Chen, Y. Properties and performance of hybrid suspensions of MPCM/nanoparticles for LED thermal management. Energy 2022, 239, 122650. [Google Scholar] [CrossRef]
- Zhang, G.; Wang, M.; Yan, X.; Cui, G.; Dou, B.; Lu, W.; Yang, Q. Flow and heat transfer characteristics of microencapsulated phase change material slurry in bonded triangular tubes for thermal energy storage systems. Energy 2024, 286, 129617. [Google Scholar] [CrossRef]
- Xu, B.; Zhou, J.; Ni, Z.; Zhang, C.; Lu, C. Synthesis of novel microencapsulated phase change materials with copper and copper oxide for solar energy storage and photo-thermal conversion. Sol. Energy Mater. Sol. Cells 2018, 179, 87–94. [Google Scholar] [CrossRef]
- Xu, Y.; Qi, S.; Wang, J.; Ling, C. Experimental study on the melting heat transfer characteristics of a phase change material under mechanical agitation. Appl. Therm. Eng. 2024, 241, 122423. [Google Scholar] [CrossRef]
- Qi, S.; Xu, Z.; Xu, Y. Experimental investigation of the melting heat transfer of phase change material-based heat sinks under mechanical agitation with a no-delay-start strategy. J. Energy Storage 2024, 99, 113438. [Google Scholar] [CrossRef]
- Li, W.; Wan, H.; Zhang, P.; Liu, P.; He, G.; Qin, F. A method to evaluate natural convection heat transfer in microencapsulated phase change material (MPCM) slurry: An experimental study. Int. Commun. Heat Mass Transfer. 2018, 96, 1–6. [Google Scholar] [CrossRef]
- Sabbah, R.; Seyed-Yagoobi, J.; Al-Hallaj, S. Natural Convection With Micro-Encapsulated Phase Change Material. J. Heat Transf. 2012, 134, 082503. [Google Scholar] [CrossRef]
- Zhang, Y.; Rao, Z.; Wang, S.; Zhang, Z.; Li, X. Experimental evaluation on natural convection heat transfer of microencapsulated phase change materials slurry in a rectangular heat storage tank. Energy Convers. Manag. 2012, 59, 33–39. [Google Scholar] [CrossRef]
- Wang, L.; Zhang, J.; Wang, Y.; Lin, X.; Xie, N.; Chen, H. Experimental study on natural convective heat transfer of tube immersed in microencapsulated phase change material suspensions. Appl. Therm. Eng. 2016, 99, 583–590. [Google Scholar] [CrossRef]
- Liu, C.; Bao, Y.; Huang, K.; Lyu, P.; Liu, X.; Rao, Z. Experimental study on natural convection heat transfer performance of microencapsulated phase change material slurry in a square cavity. Appl. Therm. Eng. 2025, 259, 124883. [Google Scholar] [CrossRef]
- Morimoto, T.; Kumano, H. Natural convection characteristics of phase-change material emulsions in a rectangular vessel with vertical heating/cooling walls. Int. J. Heat Mass Transfer. 2022, 183, 122234. [Google Scholar] [CrossRef]
- Zhang, S.; Niu, J. Two performance indices of TES apparatus: Comparison of MPCM slurry vs. stratified water storage tank. Energy Build. 2016, 127, 512–520. [Google Scholar] [CrossRef]
- Bai, Z.; Miao, Y.; Xu, H.; Gao, Q. Experimental study on thermal storage and heat transfer performance of microencapsulated phase-change material slurry. Therm. Sci. Eng. Prog. 2020, 17, 100362. [Google Scholar] [CrossRef]
- Shin, D.H.; Kim, S.; Karng, S.W.; Shin, Y. Development of a new type of PCM thermal capsule transport system. Int. J. Heat Mass Transfer. 2022, 183, 122034. [Google Scholar] [CrossRef]
- Yuan, Z.; Liang, K.; Xue, Y.; Yamada, Y.; Isobe, K.; Horibe, A. Experimental study of evaluation of dynamical utilization of a microencapsulated phase change material slurry based on temperature range matching analysis. Int. Commun. Heat Mass Transfer. 2022, 130, 105788. [Google Scholar] [CrossRef]
- Garivalis, A.I.; Rossi, D.; Seggiani, M.; Testi, D. Experimental characterisation of heat transfer and energy storage performance in agitated microencapsulated phase change slurries. Int. Commun. Heat Mass Transfer. 2024, 162, 108696. [Google Scholar] [CrossRef]
- Hashimoto, S.; Kurazono, K.; Yamauchi, T. Thermal–hydraulic characteristics of ethylene glycol aqueous solutions containing microencapsulated paraffin. Exp. Therm. Fluid Sci. 2018, 99, 297–303. [Google Scholar] [CrossRef]
- Qiu, Z.; Li, L. Experimental and numerical investigation of laminar heat transfer of microencapsulated phase change material slurry (MPCMS) in a circular tube with constant heat flux. Sustain. Cities Soc. 2020, 52, 101786. [Google Scholar] [CrossRef]
- Chen, R.; Ge, X.; Zhong, Y.; Jiang, L.; Zhang, G.; Zhang, J.; Ke, X. Experimental study of phase change microcapsule-based liquid cooling for battery thermal management. Int. Commun. Heat Mass Transfer. 2023, 146, 106912. [Google Scholar] [CrossRef]
- Li, M.; Yi, H.; Jia, F.; Xu, J.; Song, S. Paraffin@Hectorite/water phase change fluid with sustainable suspension stability and efficient heat dissipation. Appl. Clay Sci. 2024, 250, 107278. [Google Scholar] [CrossRef]
- Ye, J.; Mo, S.; Jia, L.; Chen, Y. Experimental performance of a LED thermal management system with suspended microencapsulated phase change material. Appl. Therm. Eng. 2022, 207, 118155. [Google Scholar] [CrossRef]
- Hu, T.; Zhang, J.; Chan, W.; Xiao, R.; Xu, H.; Zhao, X.; Wang, G.; Yu, W. Synthesis and optimization of GO/TiO2@n-octadecane microcapsules for thermal management of smartphone charging. Appl. Therm. Eng. 2024, 257, 124409. [Google Scholar] [CrossRef]
- Moffat, R.J. Using Uncertainty Analysis in the Planning of an Experiment. J. Fluids Eng. 1985, 107, 173–178. [Google Scholar] [CrossRef]
Disclaimer/Publisher’s Note: The statements, opinions and data contained in all publications are solely those of the individual author(s) and contributor(s) and not of MDPI and/or the editor(s). MDPI and/or the editor(s) disclaim responsibility for any injury to people or property resulting from any ideas, methods, instructions or products referred to in the content. |
© 2025 by the authors. Licensee MDPI, Basel, Switzerland. This article is an open access article distributed under the terms and conditions of the Creative Commons Attribution (CC BY) license (https://creativecommons.org/licenses/by/4.0/).