Preliminary Performance Analysis of Medium-Range Liquid Hydrogen-Powered Box-Wing Aircraft
Abstract
1. Introduction
2. H2 Storage Systems
- Weight: by defining the geometry and by means of a thermo-structural sizing approach for pressurized vessels, it is possible to estimate the weight of the tank system, including both structural and insulation contributions.
- Available volumes: the design, the shape, and the number of tanks integrated inside the aircraft enable the computation of the maximum available volume that can be used to store hydrogen.
- Hydrogen thermodynamics: the assessment of the tank’s internal hydrogen state dynamics, taking into account both consumption and venting, is helpful to provide indications on the flight endurance achievable using different tank configurations and layouts.
- Payload implications: it is to be expected that the integration of large tanks could result in reductions in the available volume for internal furnishings, and thus in reductions in the number of transported passengers.
3. Design Methodology for LH2 Aircraft
3.1. Conceptual Design Framework
3.2. Optimization-Based Aircraft Retrofitting
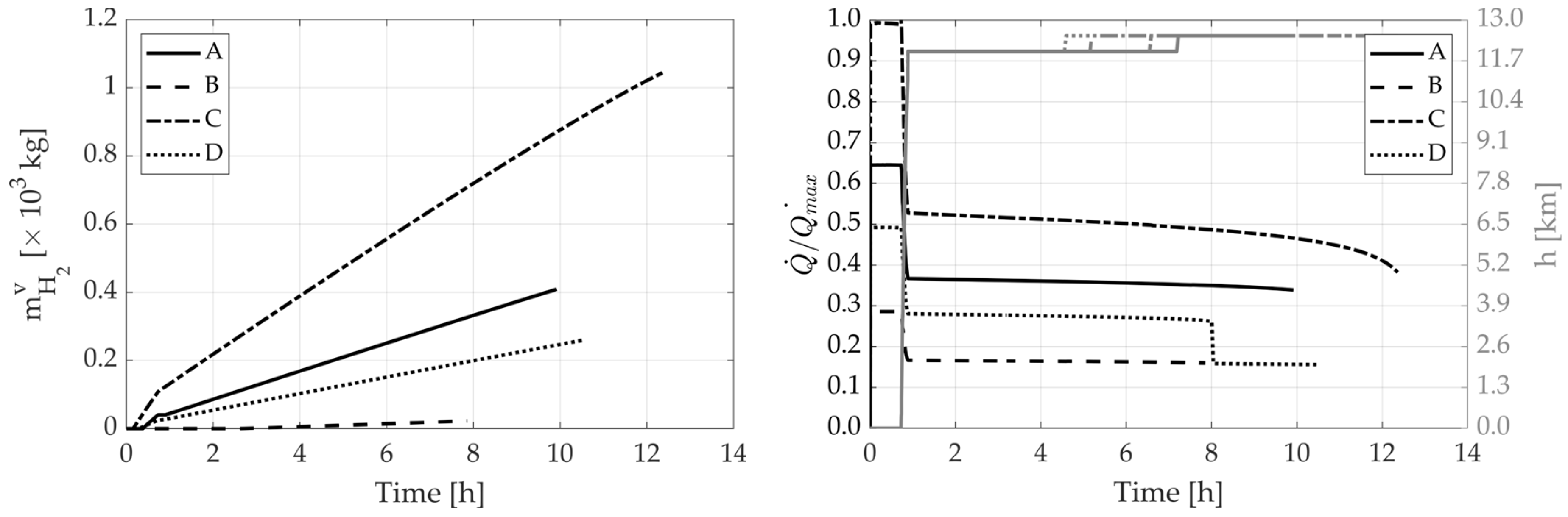
4. Results
4.1. Case 1: Full Section Layout
4.2. Case 2: Partial Section Layout
5. Comparison of Box-Wing and Tube-and-Wing Configuration
6. Limitations of the Approach
7. Conclusions
Author Contributions
Funding
Data Availability Statement
Conflicts of Interest
List of Symbols and Abbreviations
| Symbol | Description | Unit |
| Distance between the external supports of the tank | m | |
| E | Energy stored | MJ |
| Ratio between Lc and Rs | ||
| g | Standard gravity | |
| h | Height fuselage cross-section | m |
| Number of abreast seats | ||
| Upper bound vector of design variables | ||
| Length of the cylindrical part of the tank | m | |
| Length of the end cap of the tank | m | |
| Pitch seat | m | |
| Total length of the tank | m | |
| M | Mach number | |
| Liquid hydrogen mass stored onboard | kg | |
| Fuel mass of hydrogen aircraft | kg | |
| Fuel mass of reference aircraft | kg | |
| Vented hydrogen mass | kg | |
| Burned hydrogen mass | kg | |
| Operating mass | kg | |
| Payload mass | kg | |
| Tank mass | kg | |
| Insulant mass of the tank | kg | |
| Structural mass of the tank | kg | |
| Number of passengers | ||
| Number of passengers of reference aircraft | ||
| Number of groups of tanks | ||
| Number of tanks in the cross-section | ||
| Heat flow per unit of time | kW/s | |
| Max heat flow per unit of time | kW/s | |
| R | Radius of the tank | m |
| Radius of the tank to store hydrogen (cylindrical part) | m | |
| Radius of the tank to store hydrogen (end cap) | m | |
| Minimum radius of the tank to install | m | |
| Radius of the structural part of the tank | m | |
| Thickness of structural material (cylindrical part) | cm | |
| Thickness of structural material (end cap) | cm | |
| Insulant thickness | cm | |
| Lower bound vector of design variables | ||
| Cargo volume | m3 | |
| Cargo volume requested | m3 | |
| Tank internal volume | m3 | |
| w | Width fuselage cross-section | m |
| Aircraft take-off weight | ||
| X | Flight distance of hydrogen aircraft | km |
| Flight distance of reference aircraft | km | |
| x | Design variables vector | |
| Δp | Difference between tank internal and external pressure | Pa |
| Tank gravimetric efficiency | ||
| Fraction of burned hydrogen | ||
| Angle that defines the position of the tank | deg |
Abbreviation
| BW | Box-wing |
| CeRAS | Central Reference Aircraft System |
| FS | Full section |
| ICAO | International Civil Aviation Organization |
| LH2 | Liquid Hydrogen |
| LTO | Landing Take-Off |
| MTOW | Maximum take-off weight |
| NASA | National Aeronautics and Space Administration |
| OEW | Operative empty weight |
| PREE | Payload–range energy efficiency |
| PS | Partial section |
| SAF | Sustainable aviation fuel |
| TW | Tube-and-wing |
Appendix A. Mission Simulation


References
- IATA. 20 Year Passenger Forecast. Available online: https://www.iata.org/en/publications/store/20-year-passenger-forecast/ (accessed on 21 November 2023).
- Gössling, S.; Humpe, A.; Fichert, F.; Creutzig, F. COVID-19 and pathways to low-carbon air transport until 2050. Environ. Res. Lett. 2021, 16, 034063. [Google Scholar] [CrossRef]
- Platzer, M.F. A perspective on the urgency for green aviation. Prog. Aerosp. Sci. 2023, 141, 100932. [Google Scholar] [CrossRef]
- Arnaldo, V.; Rosa, M.; Burmaoglu, S.; Tucci, V.; Braga da Costa, C.; Luiz, M.; Gomez, C.; Víctor, F. Flight Path 2050 and ACARE Goals for Maintaining and Extending Industrial Leadership in Aviation: A Map of the Aviation Technology Space. Sustainability 2019, 11, 2065. [Google Scholar] [CrossRef]
- Bravo-Mosquera, P.; Catalano, F.; Zingg, D.W. Unconventional aircraft for civil aviation: A review of concepts and design methodologies. Prog. Aerosp. Sci. 2022, 131, 100813. [Google Scholar] [CrossRef]
- Cavallaro, R.; Demasi, L. Challenges, Ideas, and Innovations of Joined-Wing Configurations: A Concept from the Past, an Opportunity for the Future. Prog. Aerosp. Sci. 2016, 87, 1–93. [Google Scholar] [CrossRef]
- Abu Salem, K.; Palaia, G.; Bravo-Mosquera, P.D.; Quarta, A.A. A Review of Novel and Non-Conventional Propulsion Integrations for Next-Generation Aircraft. Designs 2024, 8, 20. [Google Scholar] [CrossRef]
- Li, L.; Junqiang, B.; Feng, Q. Multipoint Aerodynamic Shape Optimization of a Truss-Braced-Wing Aircraft. J. Aircr. 2022, 59, 1179–1194. [Google Scholar] [CrossRef]
- Gur, O.; Bhatia, M.; Schetz, J.A.; Mason, W.H.; Kapania, R.K.; Mavris, D.N. Design Optimization of a Truss-Braced-Wing Transonic Transport Aircraft. J. Aircr. 2010, 47, 1907–1917. [Google Scholar] [CrossRef]
- Martinez-Val, R.; Cuerno, C.; Perez, E.; Ghigliazza, H.H. Potential Effects of Blended Wing Bodies on the Air Transportation System. J. Aircr. 2010, 47, 1599–1604. [Google Scholar] [CrossRef]
- Okonkwo, P.; Smith, H. Review of evolving trends in blended wing body aircraft design. Prog. Aerosp. Sci. 2016, 82, 1–23. [Google Scholar] [CrossRef]
- Frediani, A.; Cipolla, V.; Rizzo, E. The PrandtlPlane Configuration: Overview on Possible Applications to Civil Aviation. In Variational Analysis and Aerospace Engineering: Mathematical Challenges for Aerospace Design; Springer Optimization and Its Applications; Buttazzo, G., Frediani, A., Eds.; Springer: Boston, MA, USA, 2012; Volume 66. [Google Scholar] [CrossRef]
- Andrews, S.A.; Perez, R.E. Comparison of box-wing and conventional aircraft mission performance using multidisciplinary analysis and optimization. Aerosp. Sci. Technol. 2018, 79, 336–351. [Google Scholar] [CrossRef]
- Afonso, F.; Sohst, M.; Diogo, C.M.A.; Rodrigues, S.S.; Ferreira, A.; Ribeiro, I.; Marques, R.; Rego, F.F.C.; Sohouli, A.; Portugal-Pereira, J.; et al. Strategies towards a more sustainable aviation: A systematic review. Prog. Aerosp. Sci. 2023, 137, 100878. [Google Scholar] [CrossRef]
- Undavalli, V.; Olatunde, O.B.G.; Boylu, R.; Wei, C.; Haeker, J.; Hamilton, J.; Khandelwal, B. Recent advancements in sustainable aviation fuels. Prog. Aerosp. Sci. 2023, 136, 100876. [Google Scholar] [CrossRef]
- Abu Salem, K.; Palaia, G.; Quarta, A.A. Review of hybrid-electric aircraft technologies and designs: Critical analysis and novel solutions. Prog. Aerosp. Sci. 2023, 141, 100924. [Google Scholar] [CrossRef]
- Brelje, B.; Martins, J. Electric, hybrid, and turboelectric fixed-wing aircraft: A review of concepts, models, and design approaches. Prog. Aerosp. Sci. 2018, 104, 1–19. [Google Scholar] [CrossRef]
- Sahoo, S.; Zhao, X.; Kyprianidis, K. A Review of Concepts, Benefits, and Challenges for Future Electrical Propulsion-Based Aircraft. Aerospace 2020, 7, 44. [Google Scholar] [CrossRef]
- Palaia, G.; Abu Salem, K.; Quarta, A.A. Parametric Analysis for Hybrid–Electric Regional Aircraft Conceptual Design and Development. Appl. Sci. 2023, 13, 11113. [Google Scholar] [CrossRef]
- Hoelzen, J.; Liu, Y.; Bensmann, B.; Winnefeld, C.; Elham, A.; Friedrichs, J.; Hanke-Rauschenbach, R. Conceptual Design of Operation Strategies for Hybrid Electric Aircraft. Energies 2018, 11, 217. [Google Scholar] [CrossRef]
- Zaporozhets, O.; Isaienko, V.; Synylo, K. Trends on current and forecasted aircraft hybrid electric architectures and their impact on environment. Energy 2020, 211, 118814. [Google Scholar] [CrossRef]
- Abu Salem, K.; Palaia, G.; Quarta, A.A.; Chiarelli, M.R. Medium-Range Aircraft Conceptual Design from a Local Air Quality and Climate Change Viewpoint. Energies 2023, 16, 4013. [Google Scholar] [CrossRef]
- Gnadt, A.R.; Speth, R.L.; Sabnis, J.S.; Barrett, S.R. Technical and environmental assessment of all-electric 180-passenger commercial aircraft. Prog. Aerosp. Sci. 2018, 105, 1–30. [Google Scholar] [CrossRef]
- Abu Salem, K.; Palaia, G.; Quarta, A.A. Impact of Figures of Merit Selection on Hybrid–Electric Regional Aircraft Design and Performance Analysis. Energies 2023, 16, 7881. [Google Scholar] [CrossRef]
- Overton, J. An Introduction to Sustainable Aviation Fuels, Environmental and Energy Study Institute. Available online: https://www.eesi.org/articles/view/an-introduction-to-sustainable-aviation-fuels (accessed on 14 March 2024).
- Holladay, J.D.; Hu, J.; King, D.L.; Wang, Y. An overview of hydrogen production technologies. Catal. Today 2009, 139, 244–260. [Google Scholar] [CrossRef]
- Rasul, M.G.; Hazrat, M.A.; Sattar, M.A.; Jahirul, M.I.; Shearer, M.J. The future of hydrogen: Challenges on production, storage and applications. Energy Convers. Manag. 2022, 272, 116326. [Google Scholar] [CrossRef]
- Armaroli, N.; Balzani, V. The hydrogen issue. ChemSusChem 2011, 4, 21–36. [Google Scholar] [CrossRef] [PubMed]
- Bicer, Y.; Dincer, I. Life cycle evaluation of hydrogen and other potential fuels for aircrafts. Int. J. Hydrogen Energy 2017, 42, 10722–10738. [Google Scholar] [CrossRef]
- Nojoumi, H.; Dincer, I.; Naterer, G.F. Greenhouse gas emissions assessment of hydrogen and kerosene-fueled aircraft propulsion. Int. J. Hydrogen Energy 2009, 34, 1363–1369. [Google Scholar] [CrossRef]
- Adler, E.J.; Martins, J.R.R.A. Hydrogen-powered aircraft: Fundamental concepts, key technologies, and environmental impacts. Prog. Aerosp. Sci. 2023, 141, 100922. [Google Scholar] [CrossRef]
- Khandelwal, B.; Karakurt, A.; Sekaran, P.R.; Sethi, V.; Singh, R. Hydrogen powered aircraft: The future of air transport. Prog. Aerosp. Sci. 2023, 60, 45–59. [Google Scholar] [CrossRef]
- Hoelzen, J.; Silberhorn, D.; Zill, T.; Bensmann, B.; Hanke-Rauschenbach, R. Hydrogen-powered aviation and its reliance on green hydrogen infrastructure–Review and research gaps. Prog. Aerosp. Sci. 2022, 47, 3108–3130. [Google Scholar] [CrossRef]
- Berry, W. A Fuel Conservation Study for Transport Aircraft Utilizing Advanced Technology and Hydrogen Fuel; NASA-CR-112204; NASA: Hampton, VA, USA, 1972. Available online: https://ntrs.nasa.gov/citations/19730002292 (accessed on 14 March 2024).
- Brewer, G.D. Study of the Application of Hydrogen Fuel to Long Range Subsonic Transport Aircraft; NASA-CR-132559; NASA: Burbank, CA, USA, 1975; Volume 2. Available online: https://ntrs.nasa.gov/citations/19750022090 (accessed on 14 March 2024).
- Brewer, G.D. LH2 Airport Requirements Study; NASA CR-2700; NASA: Burbank, CA, USA, 1976. Available online: https://ntrs.nasa.gov/citations/19770003090 (accessed on 14 March 2024).
- Klug, H.G.; Faass, R. CRYOPLANE: Hydrogen fuelled aircraft—Status and challenges. Air Space Eur. 2001, 3, 252–254. [Google Scholar] [CrossRef]
- Verstraete, D. Long range transport aircraft using hydrogen fuel. Int. J. Hydrogen Energy 2013, 38, 14824–14831. [Google Scholar] [CrossRef]
- Jagtap, S.S.; Childs, P.R.N.; Stettler, M.E.J. Performance sensitivity of subsonic liquid hydrogen long-range tube-wing aircraft to technology developments. Int. J. Hydrogen Energy 2024, 50, 820–833. [Google Scholar] [CrossRef]
- Barton, D.I.; Hall, C.A.; Oldfield, M.K. Design of a Hydrogen Aircraft for Zero Persistent Contrails. Aerospace 2023, 10, 688. [Google Scholar] [CrossRef]
- Hecken, T.; Balack, P.; Petsch, M.; Zerbst, D. Conceptual loads assessment of aircraft with fuselage integrated liquid hydrogen tank. In Proceedings of the Deutscher Luft-und Raumfahrtkongress 2022, Dresden, Germany, 27–29 September 2022. [Google Scholar]
- Onorato, G.; Proesmans, P.; Hoogreef, M.F.M. Assessment of hydrogen transport aircraft. CEAS Aeronaut. J. 2022, 13, 813–845. [Google Scholar] [CrossRef] [PubMed]
- Prewitz, M.; Schwärzer, J.; Bardenhagen, A. Potential analysis of hydrogen storage systems in aircraft design. Int. J. Hydrogen Energy 2023, 48, 25538–25548. [Google Scholar] [CrossRef]
- Karpuk, S.; Ma, Y.; Elham, A. Design Investigation of Potential Long-Range Hydrogen Combustion Blended Wing Body Aircraft with Future Technologies. Aerospace 2023, 10, 566. [Google Scholar] [CrossRef]
- Cipolla, V.; Zanetti, D.; Abu Salem, K.; Binante, V.; Palaia, G. A Parametric Approach for Conceptual Integration and Performance Studies of Liquid Hydrogen Short–Medium Range Aircraft. Appl. Sci. 2022, 12, 6857. [Google Scholar] [CrossRef]
- Frediani, A. The Prandtl Wing, VKI, Lecture Series: Innovative Configurations and Advanced Concepts for Future Civil Transport Aircraft. 2005. Available online: https://perma.cc/XU6F-8YLG (accessed on 14 March 2024).
- Prandtl, L. Induced Drag of Multiplanes; NACA TN 182; NASA: Hampton, VA, USA, 1924. [Google Scholar]
- Frediani, A.; Montanari, G. Best wing system: An exact solution of the Prandtl’s problem. In Variational Analysis and Aerospace Engineering; Springer Optimization and Its Applications; Springer: New York, NY, USA, 2009; Volume 33. [Google Scholar] [CrossRef]
- Abu Salem, K.; Cipolla, V.; Palaia, G.; Binante, V.; Zanetti, D. A Physics-Based Multidisciplinary Approach for the Preliminary Design and Performance Analysis of a Medium Range Aircraft with Box-Wing Architecture. Aerospace 2021, 8, 292. [Google Scholar] [CrossRef]
- Palaia, G.; Abu Salem, K.; Quarta, A.A. Comparative Analysis of Hybrid-Electric Regional Aircraft with Tube-and-Wing and Box-Wing Airframes: A Performance Study. Appl. Sci. 2023, 13, 7894. [Google Scholar] [CrossRef]
- Abu Salem, K.; Palaia, G.; Quarta, A.A. Introducing the Box-Wing Airframe for Hybrid-Electric Regional Aircraft: A Preliminary Impact Assessment. Appl. Sci. 2023, 13, 10506. [Google Scholar] [CrossRef]
- Abu Salem, K.; Binante, V.; Cipolla, V.; Maganzi, M. PARSIFAL Project: A Breakthrough Innovation in Air Transport. Aerotec. Missili Spaz. 2018, 97, 40–46. [Google Scholar] [CrossRef]
- Dresden, I.; Kuhn, M. Hydrogen Density Chart. Available online: https://www.ilkdresden.de/leistungen/forschung-und-entwicklung/projekt/wasserstoff-und-methan-versuchsfeld-am-ilk (accessed on 14 March 2024).
- Silberhorn, D.; Atanasov, G.; Walther, J.N.; Zill, T. Assessment of Hydrogen Fuel Tank Integration at Aircraft Level. In Proceedings of the Deutscher Luft-und Raumfahrtkongress 2019, Darmstadt, Germany, 30 September–2 October 2019. [Google Scholar]
- Verstraete, D. On the energy efficiency of hydrogen-fuelled transport aircraft. Int. J. Hydrogen Energy 2015, 40, 7388–7394. [Google Scholar] [CrossRef]
- Airbus. How to Store Liquid Hydrogen for Zero-Emission Flight. Available online: https://www.airbus.com/en/newsroom/news/2021-12-how-to-store-liquid-hydrogen-for-zero-emission-flight (accessed on 14 March 2024).
- Verstraete, D.; Hendrick, P.; Pilidis, P.; Ramsden, K. Hydrogen fuel tanks for subsonic transport aircraft. Int. J. Hydrogen Energy 2010, 35, 11085–11098. [Google Scholar] [CrossRef]
- Mital, S.K.; Gyekenyesi, J.Z.; Arnold, S.M.; Sullivan, R.M.; Manderscheid, J.M.; Murthy, P.L.N. Review of Current State of the Art and Key Design Issues with Potential Solutions for Liquid Hydrogen Cryogenic Storage Tank Structures for Aircraft Applications; NASA Technical Reports Server ID:20060056194; NASA: Hanover, MD, USA, 2006. Available online: https://ntrs.nasa.gov/citations/20060056194 (accessed on 14 March 2024).
- Tiwari, S.; Pekris, M.J.; Doherty, J.J. A review of liquid hydrogen aircraft and propulsion technologies. Int. J. Hydrogen Energy 2024, 57, 1174–1196. [Google Scholar] [CrossRef]
- Verstraete, D. The Potential of Liquid Hydrogen for Long Range Aircraft Propulsion. Ph.D. Thesis, Cranfield University, Cranfield, UK, 2009. Available online: https://dspace.lib.cranfield.ac.uk/handle/1826/4089 (accessed on 14 March 2024).
- Winnefeld, C.; Kadyk, T.; Bensmann, B.; Krewer, U.; Hanke-Rauschenbach, R. Modelling and Designing Cryogenic Hydrogen Tanks for Future Aircraft Applications. Energies 2018, 11, 105. [Google Scholar] [CrossRef]
- Millis, M.G.; Tornabene, R.T.; Jurns, J.M.; Guynn, M.D.; Tomsik, T.M.; VanOverbeke, T.J. Hydrogen Fuel System Design Trades for High-Altitude Long-Endurance Remotely-Operated Aircraft. 2009. Available online: https://ntrs.nasa.gov/api/citations/20090013674/downloads/20090013674 (accessed on 14 March 2024).
- Romeo, G.; Borello, F.; Correa, G.; Cestino, E. ENFICA-FC: Design of transport aircraft powered by fuel cell & flight test of zero emission 2-seater aircraft powered by fuel cells fueled by hydrogen. Int. J. Hydrogen Energy 2013, 38, 469–479. [Google Scholar] [CrossRef]
- Undertaking, H.J. Fuel Cells and Hydrogen 2 Joint Undertaking, Hydrogen-Powered Aviation–A Fact-Based Study of Hydrogen Technology, Economics, and Climate Impact by 2050; Publications Office: Luxembourg, 2020; Available online: https://data.europa.eu/doi/10.2843/471510 (accessed on 14 March 2024).
- Risse, K.; Schäfer, K.; Schültke, F.; Stumpf, E. Central reference aircraft data system (CeRAS) for research community. CEAS Aeronaut. J. 2016, 7, 121–133. [Google Scholar] [CrossRef]
- ASME Boiler and Pressure Vessel Code. Rules for Construction of Pressure Vessels; Section VIII, Division 1; American Society of Mechanical Engineers: New York, NY, USA, 2017. [Google Scholar]
- ASME Boiler and Pressure Vessel Code. Rules for Construction of Pressure Vessels (Alternative Rules); Section VIII, Division 2; American Society of Mechanical Engineers: New York, NY, USA, 2017. [Google Scholar]
- Beltramo, M.; Trapp, D.; Kimoto, B.; Marsh, D. Parametric Study of Transport Aircraft Systems Cost and Weight; Report NASA CR151970; NASA: Hampton, VA, USA, 1977. Available online: https://ntrs.nasa.gov/citations/19770019162 (accessed on 14 March 2024).
- Corchero, G.; Montanes, L. An approach to the use of hydrogen for commercial aircraft engines. J. Aerosp. Eng. 2005, 219, 35–44. [Google Scholar] [CrossRef]
- ICAO. Local Air Quality Technology Standards. 2017. Available online: https://www.icao.int/environmental-protection/Pages/LAQ_TechnologyStandards.aspx (accessed on 14 March 2024).
- Airbus. Getting to Grips with Aircraft Performance; Airbus SAS: Leiden, The Netherlands, 2002; Available online: https://perma.cc/FQ9P-FET4 (accessed on 14 March 2024).
- Krijnen, J.A.; Astaburuaga, M. Environmental, economical and technical aspects of a cryoplane in the preliminary design phase. In Proceedings of the 23rd ICAS International Congress of Aeronautical Sciences, Toronto, ON, Canada, 8–13 September 2002; Available online: http://www.icas.org/ICAS_ARCHIVE/ICAS2002/PAPERS/7113.PDF (accessed on 14 March 2024).
- Jagtap, S.; Childs, P.; Stettler, M. Energy performance evaluation of alternative energy vectors for subsonic long-range tube-wing aircraft. Transp. Res. Part D Transp. Environ. 2023, 115, 103588. [Google Scholar] [CrossRef]
- Association of European Airlines. Short Medium Range Aircraft: AEA Requirements; Association of European Airlines: Brussels, Belgium, 1989. [Google Scholar]
- Spencer, R. Certification considerations for the configuration of a hydrogen-fuelled aeroplane. Aeronaut. J. 2023, 127, 213–231. [Google Scholar] [CrossRef]
- Abu Salem, K.; Palaia, G.; Quarta, A.A.; Chiarelli, M.R. Preliminary Analysis of the Stability and Controllability of a Box-Wing Aircraft Configuration. Aerospace 2023, 10, 874. [Google Scholar] [CrossRef]
- Degirmenci, H.; Uludag, A.; Ekici, S.; Karakoc, T.H. Challenges, prospects and potential future orientation of hydrogen aviation and the airport hydrogen supply network: A state-of-art review. Prog. Aerosp. Sci. 2023, 141, 100923. [Google Scholar] [CrossRef]
- Gu, Y.; Wiedemann, M.; Ryley, T.; Johnson, M.E.; Evans, M.J. Hydrogen-Powered Aircraft at Airports: A Review of the Infrastructure Requirements and Planning Challenges. Sustainability 2023, 15, 15539. [Google Scholar] [CrossRef]
- Hoelzen, J.; Flohr, M.; Silberhorn, D.; Mangold, J.; Bensmann, A.; Hanke-Rauschenbach, R. H2-powered aviation at airports–Design and economics of LH2 refueling systems. Energy Convers. Manag. X 2022, 14, 100206. [Google Scholar] [CrossRef]
- Palaia, G.; Abu Salem, K. Mission Performance Analysis of Hybrid-Electric Regional Aircraft. Aerospace 2023, 10, 246. [Google Scholar] [CrossRef]


























| Parameter | Box-Wing | Tube-and-Wing |
|---|---|---|
| MTOW | 125,130 kgf | 76,820 kgf |
| Wingspan | 36 m | 36 m |
| Number of pax | 308 | 186 |
| Harmonic range | 5720 km | 4790 km |
| Block fuel | 21,844 kg | 13,670 kg |
| Fuselage length | 44.3 m | 37.6 m |
| Fuselage internal height (max.) | 4.05 m | 4.05 m |
| Fuselage internal width (max.) | 5.40 m | 4.05 m |
| Aspect ratio (height/width) | 0.75 | 1 |
| Cabin layout | Double aisle, 2-4-2 abreast | Single aisle, 3-3 abreast |
| Cabin cross-section (TW is approximated as circular; BW is approximated as elliptical) | ![]() | ![]() |
| Reference Quantity | Value |
|---|---|
| Tank internal pressure | 144.8 kPa [35] |
| Tank external pressure | 22.6 kPa |
| Vertical load factor | 3 |
| Horizontal load factor | 6 |
| Mission Phase | Time Duration | Assumption |
|---|---|---|
| Ground holding | 28 min | [61] |
| Taxi-out | 15 min | ICAO LTO cycle [70] |
| Take-off | 0.7 min | Full thrust |
| Climb | Calculated | Pre-set flight program [71] |
| Cruise | Calculated | M = 0.79 @ 11,000 m |
| Descent | Not simulated | Fixed fraction |
| Design Variable | lb | ub |
|---|---|---|
| Lc [m] | 3 | 15 |
| ft | 0.5 | 1 |
| −90° | 90° | |
| ds [m] | 1.2 | 5 |
| tin [cm] | 3 | 25 |
| Rm [m] | 0.3 | 1.5 |
| Parameter | A | B | C | D | |
|---|---|---|---|---|---|
| Layout | FS1 | FS1 | FS2 | FS2 | |
| WTO | 92,143 kgf | 89,836 kgf | 91,816 kgf | 89,438 kgf | |
| X | 7730 km | 5990 km | 9770 km | 7810 km | |
| np | 116 | 116 | 84 | 84 | |
| Lc | 12.85 m | 14.98 m | 7 m | 7.5 m | |
| tin | 9.8 cm | 20.9 cm | 3.3 cm | 10 cm | |
| ft | 0.99 | 0.50 | 0.64 | 0.75 | |
| −74° | −51° | 83° | 0° | ||
| ntc | 1 | 1 | 1 | 2 | |
| R | 1.98 m | 1.84 m | 2.02 m | 1.52 m | 1.18 m |
| Lt | 16.6 m | 16.6 m | 9.5 m | 9.6 m | 9.1 m |
| Vt | 172 m3 | 134 m3 | 107 m3 | 56 m3 | 31 m3 |
| Energy stored (E) | 1.37 × 106 MJ | 1.07 × 106 MJ | 1.71 × 106 MJ | 1.39 × 106 MJ | |
| Parameter | Box-Wing | Tube-and-Wing | ||
|---|---|---|---|---|
| No catwalk | Catwalk | No catwalk | Catwalk | |
| Catwalk width | 0 m | 0.8 m | 0 m | 0.8 m |
| ft | 0.62 | 0.62 | 0.62 | 0.62 |
| 90° | 80° | 90° | 0° | |
| ds/Lc | 0.80 | 0.80 | 0.80 | 0.80 |
| Lc/2R | 1–3 | 1–3 | 1–3 | 1–3 |
| tin | 1–25 cm | 1–25 cm | 1–25 cm | 1–25 cm |
Disclaimer/Publisher’s Note: The statements, opinions and data contained in all publications are solely those of the individual author(s) and contributor(s) and not of MDPI and/or the editor(s). MDPI and/or the editor(s) disclaim responsibility for any injury to people or property resulting from any ideas, methods, instructions or products referred to in the content. |
© 2024 by the authors. Licensee MDPI, Basel, Switzerland. This article is an open access article distributed under the terms and conditions of the Creative Commons Attribution (CC BY) license (https://creativecommons.org/licenses/by/4.0/).
Share and Cite
Palaia, G.; Abu Salem, K.; Carrera, E. Preliminary Performance Analysis of Medium-Range Liquid Hydrogen-Powered Box-Wing Aircraft. Aerospace 2024, 11, 379. https://doi.org/10.3390/aerospace11050379
Palaia G, Abu Salem K, Carrera E. Preliminary Performance Analysis of Medium-Range Liquid Hydrogen-Powered Box-Wing Aircraft. Aerospace. 2024; 11(5):379. https://doi.org/10.3390/aerospace11050379
Chicago/Turabian StylePalaia, Giuseppe, Karim Abu Salem, and Erasmo Carrera. 2024. "Preliminary Performance Analysis of Medium-Range Liquid Hydrogen-Powered Box-Wing Aircraft" Aerospace 11, no. 5: 379. https://doi.org/10.3390/aerospace11050379
APA StylePalaia, G., Abu Salem, K., & Carrera, E. (2024). Preliminary Performance Analysis of Medium-Range Liquid Hydrogen-Powered Box-Wing Aircraft. Aerospace, 11(5), 379. https://doi.org/10.3390/aerospace11050379



