Abstract
In modern warfare, the advancement of low detectable technology has made the reduction of an aircraft radar cross section (RCS) crucial for survivability, while engine inlets significantly impact the overall detectability index as major forward scattering sources. Inspired by radar absorbing structures (RASs) based on metasurface theory, as well as the spoof surface plasmon polariton (SSPP) theory, this paper proposes a comprehensive design of radar absorbing grilles (RAGs) which are installed at the inlet aperture of the aircraft intake, where RAGs allow airflow to cross through and absorb the detecting radar wave. To enhance the ability of electromagnetic wave attenuation, an indium tin oxide (ITO) film is added in the middle of the RAGs to change the impedance characteristics. This study clarifies the mechanism influencing radar wave absorption characteristics through design parameters (unit length and sheet resistance) and radar characteristic parameters (frequency, incident angle, and polarization mode). The absorption peak gradually shifts towards lower frequencies with the increase in unit length from 8 to 16 mm of the grille. The integrated average absorption first increases and then decreases with the increase in sheet resistance from 100 to applied as ITO film in the middle of the grille. When the unit length of RAG is 12 mm and , the sheet resistance is applied, and a 90% absorption bandwidth is achieved to 100% within the 8–18 GHz band. The 90% absorption bandwidth reaches 72.3% in the 2–18 GHz band while maintaining absorption above 40% in the 2–8 GHz band. The integrated average absorption reaches 0.887, and the 90% absorption bandwidth increases to 255.6% of the original model’s bandwidth. The results indicate that the proposed RAGs based on metasurface exhibit broadband absorption performance and high angular stability, providing technical support for further application of these grilles in aircraft engine inlets.
1. Introduction
The survivability of an aircraft is one of the most critical factors in determining the success of an aerial operation [1], and the detectability index has become an important indicator of the survivability of military aircraft. The engine inlet, as the primary forward scattering source, causes strong reflection and scattering of electromagnetic waves incident on cavity structures [2]. Therefore, it is necessary to suppress these intense scattering characteristics. At present, the common suppression methods include absorbing the incident electromagnetic waves and blocking the direct incident electromagnetic waves. To absorb the incident electromagnetic waves, the main methods involve applying absorbing materials on the inlet cavity wall [3,4,5] and utilizing plasma generators to absorb the incident electromagnetic waves [6,7,8], thereby reducing the intensity of electromagnetic waves reflected back to radar receivers. The suppression measures for blocking the direct incident electromagnetic waves can be categorized into two categories. The first one mainly uses a large-offset full-shielding serpentine inlet layout as a shielding method [9,10,11,12]. The second one is to use metal grilles [13] or other shielding measures at the inlet of the aero-engine intake [14] to obstruct the waves directly.
Metal grilles often block electromagnetic waves from entering the cavity through fine-spaced grilles, preventing specular and mirror-like reflections from reaching the compressor blades or even electromagnetic resonances within the cavity. Both the F-117A and RQ-170 low-detectable aircrafts employ metal grilles to shield the inlet cavities, with beveled inlet ports in two vertical forward directions. The angle offset of the inlet grilles ensures that electromagnetic waves do not reflect back at the grilles instead of waves being broken up or scattering in other non-critical directions, which also suppresses signal strengths through the waveguide and interference principles.
In recent years, research on low-detectable engine inlet grilles has been relatively limited. Zhang [15,16] conducted simulation and experimental studies on the electromagnetic scattering characteristics of slanted inlet grilles and obtained the impacts of geometric parameters such as grille spacing, grille angle, and grille thickness on the electromagnetic scattering characteristics of the inlet duct. Wang [17] utilized the method of moments to analyze the electromagnetic scattering characteristics of metal grilles with different geometric shapes, and the effects of different leading-edge shapes and grille thicknesses on the RCS of inlet duct under different polarization modes are obtained. Yu [18] analyzed the relationship between the size of beveled rectangular grilles and RCS, proposing designs for transverse and longitudinal non-uniform grilles and a dual-layer grille scheme based on the principle of interference cancellation.
However, metal grilles present issues concerning the further enhancement of low-detectable capabilities. Firstly, most of the existing metal grilles are inclined grilles, which only provide low detectable capabilities by shielding waves from entering the inlet cavity or relying on the principle of waveguide interference cancellation, but they lack the ability to absorb waves, resulting in no reduction of the total echo energy of waves. This may lead to an increase in electromagnetic intensity in certain directions. Secondly, metal grilles are made of nearly perfect electrical conductors (PECs), so the increase in weight from metal grilles becomes an important consideration. Thirdly, the thickness of the grilles is mostly at millimeter magnitude, which is comparable to the thickness magnitude of radar-absorbing materials. Therefore, low detectable capabilities cannot be enhanced further by applying an equivalent thickness of RAM due to aerodynamic consideration, though the low detectable capabilities provided by metal grilles are relatively limited.
One of the potential solutions is to exploit electromagnetic metamaterials. This new class of emerging artificial materials may help address the issues above. They have several unique effects and phenomena that are nearly absent in natural materials, such as negative refractive index [19,20,21,22], polarization transformation [23,24], perfect absorption [25,26], and electromagnetic invisibility [27,28]. In 2003, Pendry in Imperial College London first created a metamaterial with a periodic array of square holes filled with a dielectric on a metal surface, which achieved artificial surface wave modes, whose properties are similar to those of surface plasmon waves in the optical spectrum [29]. SSPPs are a special type of surface wave mode in functional, structural materials designed to mimic natural surface plasmon modes in the microwave spectrum [30]. The structure of SSPPs can enhance electromagnetic interactions through strong plasma resonance, thereby increasing electromagnetic fields or increasing transmission losses. RASs based on SSPPs have been extensively studied recently. These types of RASs are designed and fabricated on metal surfaces or dielectrics with specific shapes and structures to regulate the generation, propagation, and modulation of plasmons [31]. Therefore, the SSPP theory is capable of improving the grilles on the engine inlet.
In the field of SSPP-based RAS study, Sheokand [32] introduced an optically transparent metamaterial made of ITO resistive films, which demonstrated an absorption capability exceeding 10 dB over a bandwidth of 8.66 GHz. The novelty of the structure lies in its broad absorption bandwidth and relative minimal thickness. Wang [23] proposed a sandwich structure that achieves RCS reduction by designing polarization conversion metasurfaces and metamaterial absorbers. The combined three-layer structure can reduce RCS by more than 10 dB in the range of 2–35 GHz. Yu [33] proposed a broadband absorber with high angular stability based on the SSPP theory. The structure consists of inward-curved metal strips loaded with lumped resistors. The normal incident wave achieves broadband absorption of more than 80%. Shen [34,35,36] proposed horizontal, vertical, and three-dimensional fold-line designs that enhance the dispersion regulating ability of SSPP by bending metallic wires providing enhanced lossy absorption in limited size and higher absorptive performance in lower frequency bands. Zhou [37] introduced an absorber based on the combination of SSPP structure and planar resistive metasurfaces, which provides broad and robust absorption characteristics within a wide range of incident angles, achieving 90% absorption in the 6.7 GHz bandwidth.
The SSPP-based RASs exhibit excellent wave absorption capabilities while benefiting from lightweight dielectric substrates. However, the current study on SSPP absorption structures focuses primarily on structures that include either a metallic reflector or a dielectric absorbing panel. These structures sealed at one or both ends will prevent the aircraft engine from breathing in air. Given these issues, there is a lack of studies applying the SSPP principle to radar-absorbing grilles. Therefore, based on the design principles of RASs, this paper proposes a design scheme for RAGs and has conducted research on their absorption characteristics under various conditions.
To improve the low detectable capability of aircraft engine inlet grilles, this study proposes an SSPP-based RAG design. ITO resistive films are employed to enhance their impedance characteristics. Firstly, this paper designs conventional square RASs with fold-line metal arrays based on the existing schemes, and the simulation study on the dispersion characteristics and propagation properties of RASs is conducted. Secondly, the basic design scheme for RAGs is derived from RASs, with a comparative analysis of their dispersion characteristics and absorption performance. Thirdly, after ITO resistive films are added to RAGs to alter impedance properties, the impact of ITO film sheet resistance on the propagation characteristics of RAGs is explored. Finally, the polarization properties and angle sensitivity of RAGs with ITO resistive films are studied.
2. Design Theory and Methods
2.1. Design Theory of RAS Based on SSPP
Currently, the design of RAS mainly focuses on the following three requirements: (1) broadband wave absorption capability, (2) polarization and angular stability, and (3) lightweight or miniaturization. The grille designs based on SSPP theory should also adhere to these requirements. This paper first presents radar absorbing structures (RASs) based on SSPP and propagation. The dispersion characteristics are studied. Then, the development of wave-absorbing grilles (RAGs) inspired by RASs is proposed, and the electromagnetic characteristics of RAGs are studied as well. Finally, the application of indium tin oxide (ITO) resistive films in RAGs is explored to improve their broadband absorption stability.
When the electromagnetic wave frequency reaches the optical spectrum, the permittivity of natural metals becomes negative, enabling the excitation of surface plasmons near metal–dielectric interfaces [38]. However, in the microwave band, natural metals exhibit electromagnetic properties resembling those of perfect electric conductors (PECs). SSPPs refer to a special surface wave mode in the microwave range that simulates natural surface plasmon polariton modes [29]. This mode is constrained and evanescently decays in both the positive and negative directions along the perpendicular interface [39]. The distribution of its field mode perpendicular to both sides of the interface is a decay mode rather than other modes. The absence of a perpendicular electric field component prevents transverse electric mode waves from inducing polarized charges at the interface. Consequently, the SSPP transmission line can only operate in the transverse magnetic mode, as illustrated in Figure 1.
Figure 1.
Spoof surface plasmon polariton oscillations phenomenon near the equivalent metal surface.
2.2. Formulation Definition
The propagation of electromagnetic waves in a medium can be described by the Maxwell equations:
where and represent electric field intensity and magnetic field intensity, respectively, while represents the electric displacement field, represents the magnetic flux density, represents current density and is time.
This study employs the Eigenmode and Finite Element Method (FEM) for simulation research. Given that the absorptive structure discussed in this paper is periodic, both numerical approaches require the application of the Floquet theorem to solve Maxwell equations. According to the Floquet theorem, the propagation behavior of electromagnetic waves in two-dimensional periodic structures can be represented as the product of periodic functions and exponential functions. The electric and magnetic fields can be expressed as follows:
where represents the position vector, denotes the wave vector, and is the angular frequency. The expressions for the electric field and the magnetic field are a period function and are characterized as follows:
where , , and are period the number, and are periodic unit lengths, and and are position vectors.
The absorption performance of electromagnetic absorptive structures is macroscopically determined by both the reflected and transmitted energies. According to the law of energy conservation, the normalized electromagnetic wave absorption rate, denoted as , should satisfy the following equation:
It is known that satisfies the relationship and satisfies . The relationships are then substituted into Equation (4), and the S parameter’s variation due to frequency is considered. The following is obtained:
The dimensionless phase velocity of RAS is defined as follows:
where presents the phase velocity of the electromagnetic wave in RAS and is the speed of the EM wave in a vacuum.
This paper defines the bandwidth absorption capacity evaluation index as an integrated average absorption rate, which can be expressed as follows:
where presents absorption rate of RAS at frequency , and and refer to the start frequency and the end frequency in this study, which are taken as 2 GHz and 18 GHz, respectively, in this paper.
According to the waveguide transmission line theory, the attenuation constant of the SSPP mode can be expressed as follows:
where is the wave number of electromagnetic waves in the propagation direction (along the x-axis), and is the wave number in free space. Due to the SSPP causing the electromagnetic energy to continuously be confined near the interface, the transverse electromagnetic energy exponentially decays. While remains constant in free space, increases as increases. In other words, the larger the value of , the stronger binding ability of the electromagnetic field.
2.3. Description of Computational SSPP Models
The RASs described in this paper are designed based on the geometric structures of conventional inlet grilles. The design principles of SSPP are referred to in order to carry out the fold-line SSPP RAS with zero-thickness comb-shaped metal strips [40]. Figure 2 shows a schematic of the three-dimensional RASs. This RAS primarily consists of the dielectric substrate, continuously varying arrays of fold-line metal strips, and a metal reflective surface.
Figure 2.
Schematic diagram of three-dimensional and sliced RAS model.
Specifically, the dielectric substrate forms the main framework of the absorber, with the fold-line metallic wires etched onto the substrate in a specified size. The dielectric substrate adopted in this study is made of polyester resin (PR), with a dielectric constant designated as , , and the material for the metal strips is copper, which, along with the metal reflective surface, is considered a perfect electric conductor (PEC). The principal design parameters and symbols for the absorptive structure are specified in Table 1.
Table 1.
Design parameters of RAS.
To achieve a well-proportioned cubic structure with balanced electromagnetic characteristics, the unit height H is maintained equal to the unit length L throughout this study, which means H = L. This geometrical configuration ensures the symmetry of the unit cell in three dimensions, which is beneficial for maintaining consistent electromagnetic responses under different polarization states.
The metal strip length is proportionally scaled with the unit length L, following the relation , to obtain a larger metal strip area while varying the unit dimensions. The remaining geometric parameters, including the width, interval spacing, and thickness of the metal strip, are kept constant at the values specified in Table 1, as these dimensions are standardized in conventional printed circuit board (PCB) fabrication processes. This design consideration not only ensures manufacturing feasibility but also helps maintain cost-effectiveness in practical applications.
For the RAS based on SSPP proposed in this paper, periodic boundary conditions are used in the x and y directions, which are shown in Figure 3. The non-periodic z-direction is set to open space. Excitation Port 1 and Port 2 are set on the two end faces in the z-direction. The z-axis distance from the absorbing structure to the excitation port is five times the unit length. The calculation frequency range is designated from 2 to 18 GHz.
Figure 3.
Boundary conditions of the computational models.
2.4. Validation of the Numerical Method and Boundary Conditions
To validate the accuracy of the method utilized in this paper, typical metasurface absorber structures with complete experimental data from the literature [26] were selected for verification. The total size of the radar absorber is , consisting of square cavity cell arrays, which is able to validate the RAS proposed in this paper. The detailed design parameters can be found from the reference.
The numerical method utilized here is described in Section 2.2, and the boundary condition is described in Section 2.3. The predicted results were compared with the experimental data from the reference to assess the effectiveness of the method.
As is shown in Figure 4, the absorption curve predicted by the simulation method (red line) in this paper exhibits good agreement with the experimental data from the literature (scatter black points).
Figure 4.
Numerical method validation between experiment and calculation.
3. Results and Discussion
3.1. Dispersion Characteristics of RAS
This study explores the dispersion characteristics of absorptive structures with unit lengths varying from 8 mm to 16 mm. The primary focus is on the frequency range from 2 GHz to 18 GHz, covering the conventional early-warning radar bands from S to Ku. Simulations were conducted using the Eigenmode solver, with the mesh divided into approximately 126,000 elements. The phase interval between was calculated with a scanning interval of .
Figure 5a illustrates the dispersion characteristics distribution of RASs with varying unit lengths L. The horizontal axis , represents the normalized phase delay, where is the propagation constant, and is the periodic length of the RAS unit. The normalized ratio reflects the phase change of electromagnetic waves after passing through one period, serving as an important parameter to measure wave propagation characteristics within the material. The value of ranges from 0 to 1, corresponding to a complete phase cycle from 0 to .
Figure 5.
Propagation characteristics of RASs with different unit lengths. (a) Dispersion diagram (with light). (b) Phase velocity diagram.
In Figure 5a, the pink and black lines are reference lines characterizing the propagation characteristics of electromagnetic waves in free space and in the substrate material, respectively. Under every corresponding unit length, as the frequency increases, the phase delay exhibits a linear increasing trend. This is because, in a uniform, non-dispersive medium such as air, the phase velocity of electromagnetic waves does not change, thus establishing a linear relationship between frequency and the propagation constant.
The dispersion curves of the RASs under all unit lengths are consistently at the right side of the dispersion curves for electromagnetic waves in the air and in the dielectric substrate. It indicates that within this range, the propagation constant in the metamaterials is greater than that in air and the dielectric, implying that the metamaterials possess a lower phase velocity. Additionally, the phase velocity decreases sharply after reaching the cutoff frequency, leading to a dramatic increase in the propagation constant. According to (1), this indicates an enhanced confinement ability.
As illustrated in Figure 5b, with the increase in unit length from 8 mm to 16 mm, the dispersion curves of the RASs show a trend of rapidly rising followed by a gradual flattening as increases, approaching the corresponding cutoff frequency. The consistency in the shape of these curves indicates that the basic physical behavior and wave properties of the absorbing structures remain unchanged, with only changes in the electromagnetic characteristics. As the unit length increases, the dispersion curves shift downward; the slope of the rapid rise decreases, and the cutoff frequency of the flat segment gradually lowers. It is obvious that an increase in the unit length, which corresponds to a longer maximum length of the metal strips, facilitates the excitation of intense localized surface waves at lower frequencies, thereby lowering the cutoff frequency of the RASs. This is beneficial for enhancing the electric field and generating stronger dielectric losses. It further improves the electromagnetic wave absorption capability. The phase velocity of the absorbing structures with different unit lengths decreases from nearly 0.9 to around 0.3 as the frequency increases and gradually approaches the corresponding cutoff frequency, corroborating the previous discussion. It can be inferred that the phase velocity sharply decreases, and the propagation constant significantly increases around the cutoff frequency, making it difficult for electromagnetic waves to transmit through the RAGs. This process is also called the slow-wave phenomenon of electromagnetic waves in metamaterials. Local resonance or surface waves can effectively enhance the interaction between electromagnetic waves and materials, providing the possibility for enhanced absorption of electromagnetic waves.
3.2. Propagation Characteristics Influenced by RAS Unit Length
The S-parameter contour of RASs with varying unit lengths and frequencies is displayed in Figure 6. Due to the presence of a PEC reflector, Port 2 on the other side is shielded; hence, all corresponding unit lengths and frequencies of the absorbing structures satisfy . The RASs of different unit lengths all demonstrate near at low frequencies, with a trend of oscillatory decline as the electromagnetic wave frequency increases. They maintain broad and intense oscillations at range beyond a certain frequency with no significant trend. However, it is observable that the frequencies at which it begins to decline from 0 dB vary with different unit lengths and move towards lower frequencies as the unit length increases. Figure 6 shows the slice curves at typical unit length L. It illustrates the trend of where initially decreases with increasing frequency, followed by intense oscillations. The impact of different unit lengths on in the high-frequency band is not significantly evident.
Figure 6.
distribution contour of RASs with different unit lengths.
Figure 7 displays a contour of the electromagnetic wave absorption rate of RASs under varying unit lengths L and frequencies. Compared to Figure 6, the absorption rate also shows a trend of rapid increase with rising frequency. Additionally, it can be observed that as the unit length increases, the absorption capability for the low-frequency band gradually enhances. The black solid line in the graph represents the contour line where the absorption rate is , indicating an 80% electromagnetic wave absorption rate.
Figure 7.
Absorption rate distribution contour of RASs.
For the respective unit lengths beyond the cutoff frequency, the RASs generally exhibit higher absorption rates for high-frequency electromagnetic waves. However, there are some absorption rate valleys in the high-frequency range, resulting in a few frequency points where the absorption rate of the RASs drops below 0.8, indicating significant fluctuations in the absorption rate in the high-frequency area.
As shown in Figure 8, the absorption rate slice curves in typical unit lengths L reveal that in the low-frequency range, the first absorption rate peak of the RASs of each unit length occurs near their respective cutoff frequencies. Being close to the cutoff frequency of the absorptive structures is more conducive to the excitation of strong localized surface waves, which are confined to propagate near the interface. Thus, forming an SSPP propagation mode leads the transverse electromagnetic field energy to decay exponentially. Therefore, when approaching cutoff frequency, the RASs exhibit a higher absorption capability. As the unit length increases, the 80% absorption rate bandwidth gradually increases from 5.0 GHz to 13.4 GHz.
Figure 8.
Slice curves of absorption rate of RASs with different lengths.
As the frequency of the electromagnetic waves continues to increase, namely surpassing the cutoff frequency of the absorptive structures, the wave mode within the RASs shifts to a transmission mode. Hence, there is a brief but noticeable decline in the absorption rate after exceeding the cutoff frequency. However, due to the continuous geometric size variation in the metallic wires within the RASs, a complex propagation mode involving transmission modes and localized surface plasmon resonances is formed. Due to the presence of these coupled propagation modes, an oscillatory region between is eventually formed in the high-frequency range.
In Figure 9, the dashed line indicates the mid-section position of the grille unit. In the low-frequency band, strong electric fields are not observed in the nearby metal wire array. When the frequency exceeds the cutoff frequency, intense electric fields are excited in parts of the metal wire array, resulting in significant surface wave binding and surface plasmon resonance of localized surface plasmons region (LSPR). This process also increases the transmission loss of electromagnetic waves, thereby leading to the enhancement of the absorption of RASs in high-frequency bands, as discussed earlier.
Figure 9.
Electric field distribution contour map in the middle cross-section of RASs.
3.3. Propagation Characteristics of RAG W/O Metal Reflector
The results above indicate that RASs are capable of absorbing radar waves and have excellent performance. After the metallic reflector plate on the bottom is removed, the RAS scheme becomes an RAG that can take in air, as shown in Figure 2. Under this circumstance, the propagation characteristics of the RAGs are different from before. They no longer exhibit electromagnetic reflection and absorption capabilities but also demonstrate electromagnetic wave transmission phenomena, where there is . Therefore, it is essential to investigate the electromagnetic properties after the removal of the metallic reflector plate.
As depicted in Figure 10a, during the increase in unit length from 8 mm to 16 mm, the dispersion curves of the absorbing grille exhibit an initially quasi-linear rise followed by a plateau stage as they approach the corresponding cutoff frequency. The dispersion curves remain to the right of both the speed of light in air and in the medium throughout this process. It is a phenomenon similar to that observed with RASs equipped with a metallic reflector. The gray shaded area in this figure represents the variation in the dispersion curves for the RASs as the unit length increases from 8 mm to 16 mm; the upper boundary of the shaded area represents the dispersion curve of the RAS at a unit length of 8 mm, while the lower boundary represents the curve at 16 mm. A comparison of the dispersion curves reveals that at the same unit length, L, the dispersion curves of the RAG are similar to those of the RAS, and the removal of the metallic reflector has almost no impact on the cutoff frequency as the normalized phase delay increases. Away from the cutoff frequency, there are slight differences between the dispersion curves of the RAG and the RAS.
Figure 10.
Propagation characteristics of electromagnetic waves in RAGs with different unit lengths. (a) Dispersion diagram (shadow: RASs upper and lower bound). (b) Phase velocity diagram (shadow: RASs upper and lower bound).
As the frequency increases, the dispersion curves of RAGs maintain a rising trend and eventually approach a cutoff frequency nearly identical to that of the RASs. The quasi-linear rise part declared above is more clearly observed in Figure 10b. Away from the cutoff frequency, as the frequency increases, the dimensionless phase velocities of the RAGs of varying unit lengths remain nearly unchanged, hovering around 0.95. This indicates that the RAGs have a higher phase velocity compared to the RASs and limited capability to slow down electromagnetic waves. As the frequency further increases, the dimensionless phase velocities of the RAGs decrease in a manner distinct from the RASs. Eventually, as RAGs approach their respective cutoff frequencies, the dimensionless velocities reduce to around 0.35, aligning with the behaviors observed in the RASs.
As indicated by Table 2, with the relative error of cutoff frequency from the RAS to the RAG no more than 0.73%, it can be inferred that the fundamental propagation mechanisms remain unchanged when the metallic reflector of the RAS is removed to form an RAG. The cutoff frequency exhibits no significant change, although there are still local variations in propagation characteristics and capabilities. At frequencies far from the cutoff frequency, particularly in the lower frequency range, the propagation behavior of electromagnetic waves closely resembles the behavior in non-dispersive dielectric materials. The behavior of RAG is different from that of RAS, especially in low-frequency bands. Therefore, further research is needed to explore the absorptive properties of the absorbing grille in detail.
Table 2.
Comparison of cutoff frequency between RASs and RAGs with varying lengths.
After removing the metallic reflector, the RAG allows electromagnetic waves to transmit; therefore, the acquisition of and parameters are required to further calculate the absorptive performance of RAGs. Figure 11a–d show the variations in and with frequency for RAGs of different unit lengths, including contours and slice curves for typical unit lengths. It is observed that at frequencies far from the cutoff frequency, the reflection coefficient of the RAG no longer approaches 0 dB due to the removal of the metallic backing but instead shows a certain degree of reduction. However, this does not imply a significant enhancement in absorption performance, as the high values of depicted in Figure 11d, indicating that the grille does not absorb a substantial number of electromagnetic waves in this frequency range but transmits the waves forward.
Figure 11.
and distribution contours and curves of RAGs with different unit lengths. (a) distribution contour. (b) distribution contour. (c) slice curves with typical unit lengths. (d) slice curves with typical unit lengths.
The absorption rate of the RAGs at different unit lengths varying with frequency is calculated, as shown in Figure 12 and Figure 13. As frequency gradually grows, the absorption rate of different unit lengths illustrates a trend of slow increase away from the cutoff frequency, rapid increase near the cutoff frequency, and broad oscillations beyond the cutoff frequency. Observation from the Figures indicates that with increasing unit length, the absorption rate improves a little in the low-frequency band from 2 to 8 GHz but decreases in the high-frequency band from 8 to 18 GHz. The maximum band of 80% absorption rate, which is 9.1 GHz, is located at a unit length of L = 12 mm. It is calculated that none of the unit lengths of RAGs form a continuous 90% absorption rate band, with the largest absorption rate band ranging from 8.94 GHz to 12.30 GHz at L = 12 mm, with a bandwidth of only 3.36 GHz.
Figure 12.
Absorption rate contour of RAGs with different frequencies and unit lengths.
Figure 13.
Absorption rate slice curves of RAGs with different unit lengths.
According to the analysis of the absorption rate and absorption differences of RASs and RAGs, we obtain absorption difference contours to further investigate the patterns of absorption rate changes in absorptive grilles after removing the metallic reflector. As shown in Figure 14, due to the removal of the metallic reflector, the absorption rate of the RAGs at each unit length slightly increases in the low-frequency band far from the cutoff frequency because the contour shows negative values in this region. It can be attributed to changes in the propagation mode brought about by the absence of the metallic reflector. Beyond the cutoff frequency, the absorption rates of the RAGs slightly decrease, which can also be interpreted as a change in the local propagation characteristics of the RAGs due to the removal of the metallic reflector. Thus, the integrated average absorption rate has significant drop values of different lengths ranging from 4% to 7%, which is depicted in Figure 15. The wave absorption performance has a certain degree of decline, which is detrimental to reducing the wave echo intensity.
Figure 14.
Absorption rate difference contour between RAGs and RAG-Rs with different unit lengths.
Figure 15.
Integrated averaged absorption rate between RASs and RAGs with different unit lengths.
As depicted in Table 3, the removal of the metallic reflector results in a 4.0% increase in absorption rate only at , while the 80% absorption rate bandwidths for other unit lengths generally decrease from 9.8% to 40.3%, respectively. Due to the existence of the metallic reflector, the RASs reflect the electromagnetic waves that reach the backend, causing them to propagate backward from the metallic surface. The electromagnetic waves undergo two times of transmissions within the RAS during this process. It also results in a slightly higher absorption rate for RASs compared to RAGs.
Table 3.
Comparison of bandwidth between RASs and RAGs with varying lengths.
3.4. Effect of Employing ITO Resistance Films on Radar Absorption Performance
The absence of a metallic reflector has an observable drop in absorption rate. Thus, in order to enhance the absorption capacity of the RAG and improve the stability of the absorption at a high-frequency band, ITO resistive films are incorporated into the RAG to alter its impedance-matching characteristics. The new radar absorptive grilles with ITO resistive films are named RAG-R. This approach potentially increases the electromagnetic wave losses within the grille, thereby enhancing its absorption rate.
Figure 16 illustrates a schematic of the RAG-R unit, where an ITO-film-coated Polyethylene terephthalate (PET) substrate is employed in the middle of the RAG-R base. The blue section represents the polyester resin (PR) framework, the green section is the PET substrate, and the brown section indicates the ITO resistive films. The specific dimensions of the absorptive grille with the added ITO film are shown in the figure, with representing the thickness of the PET substrate. The thickness of PET is set to . The thickness of the ITO film is usually from 50 to 300 nm, which is on the nanometer scale. Thus, the thickness of the ITO film is negligible in this study, considering the practical processing thickness.
Figure 16.
Schematic diagram of employing ITO resistive film into the RAG.
This study investigates the absorptive performance of RAGs incorporating ITO thin films, with the sheet resistance of the ITO films varying from to , with a computational interval of . Figure 17 illustrates the Smith charts for RAG without and with ITO films (). Without ITO films, at 2 GHz, the impedance point of the RAG starts in the capacitive region and moves clockwise into the inductive region. It moves towards the center of the Smith chart and alternates between capacitive and inductive regions, showing instability in impedance with frequency variation. With the addition of ITO films in RAG-R, as increases, the frequency starting point at 2 GHz is near the boundary between capacitive and inductive zones and moves slightly towards the capacitive area. At a sheet resistance , with the increasing frequency, the impedance moves towards the center in the inductive region, entering the matching circle beyond 12.18 GHz. When further increases to and , the frequency starts even closer to the matching circle and moves towards the center, entering the matching circle beyond 7.15 GHz and 7.17 GHz, respectively, and getting closer to the Smith chart’s center point, indicating improved impedance matching characteristics. Therefore, the RAG-Rs with added ITO films exhibit better impedance-matching properties, facilitating electromagnetic wave transmission into the grilles and reducing reflected energy.
Figure 17.
Smith chart of RAG and RAG-R at . (a) RAG without ITO. (b) RAG-R with ITO.
It is observed from Figure 18a that without the addition of ITO resistive films, the RAG exhibits lower electric field intensity at lower frequencies. Due to strong localized plasmon resonances generated by parts of the metallic wire array at higher frequencies, the grille excites strong electric fields. However, after introducing ITO resistive films with different sheet resistances, the electric field intensity at all frequencies decreases. Additionally, it is evident that the electric field distribution across grilles with different sheet resistances is relatively similar, but as the sheet resistance increases, there is a slight elevation in electric field intensity.
Figure 18.
Electric field and surface current between RAG and RAG-Rs. (a) Electric field with different frequencies. (b) Surface current with different frequencies.
From Figure 18b, it is also shown that the RAG without ITO resistive films generates smaller induced currents at lower frequencies. As the frequency increases, intense induced currents are generated near certain dimensions of the metallic wire arrays. Upon the addition of ITO resistive films, noticeable induced currents are produced on the films of RAG-Rs. At lower frequencies, the metallic wire arrays and ITO resistive films also excite more uniform induced currents.
As the frequency increases, the induced currents in the metallic wire arrays grow, and they are distributed more evenly compared to the situation without ITO films. The presence of ITO films within RAG-Rs generates strong induced currents while also leading to certain losses, which suggests that ITO resistive films might further enhance the absorptive capacity of the RAG-Rs.
Figure 19 compares the absorption rate curves of the original model RAG and the models with added ITO resistive films RAG-Rs at the unit length of . After implementing an ITO film with a sheet resistance of , the RAG-R exhibits a significant increase in absorption at lower frequencies, and the absorption at higher frequencies becomes more stable with less broad-frequency oscillation. When the sheet resistance further increases to , the absorptive grille with the resistive film demonstrates higher absorptive performance across the entire frequency range compared to the original model. In Figure 20, the integrated averaged absorption and 90% absorption bandwidth increase first until the reaches and then drops slowly. The performance of RAG-R is higher than RAG in all conditions significantly.
Figure 19.
Comparison of absorption rate curves between RAG and RAG-Rs.
Figure 20.
Integrated average absorption rate and 90% absorption bandwidth between RAGs and RAG-Rs.
Figure 21 illustrates the impact of different models with and without ITO resistive films in unit length of , on 90% absorption bandwidth (BW) and integrated average absorption rate . The original model without ITO resistive films only presents an average absorption rate of 0.61, with an absorption bandwidth of merely 5.2 GHz. When ITO resistive films are employed, both the average absorption and the bandwidth initially increase with increasing resistance. The maximum values are reached within a sheet resistance of –, corresponding to and . Subsequently, both BW and slowly decrease as sheet resistance continues to increase but remains significantly higher than those of the original model RAG without ITO resistive films.

Figure 21.
Effect of unit length and sheet resistance on , and absorption rate contours of RAG-Rs. (a) . (b) . (c) .
To investigate the effects of different unit lengths and sheet resistances on the propagation characteristics and absorptive performance of the RAG-R, this paper conducts further numerical calculations and analyses. In Figure 21a–c, each set consists of three graphs: represents the reflection coefficient of electromagnetic waves, used to assess the reflection intensity after incidence on the RAG-Rs; represents the transmission coefficient of electromagnetic waves, used to evaluate the transmission intensity after passing through the RAG-Rs; represents the absorption rate. Figure 21 selects typical unit lengths, , ranging from 8 mm to 16 mm, and display the variations in , , and absorption rate varying with frequency and sheet resistance . In the contour plots of and , black contour lines correspond to the situation and , respectively. For ease of observation and analysis, the range of S parameters in all images is set from to , with values below recorded as .
From Figure 21a, it is observed that for the RAG-R with unit length , the reflection coefficient slightly increases in the low-frequency band away from the cutoff frequency as the resistance increases, but a significant gradient decrease in the reflection coefficient near the cutoff frequency is clear to find out. In the high-frequency band, the reflection coefficient generally remains at a low level and further decreases with the increase in sheet resistance. With a fixed resistance, as the frequency increases, the transmission coefficient of the RAG-R drops sharply after surpassing the cutoff frequency, indicating a suppression of electromagnetic wave transmission. A broad band where the reflection coefficient is less than emerges, as is depicted in the figure. As the resistance increases, there is a tendency for the cutoff frequency to shift towards the high frequency, but its left boundary line hardly moves beyond .
The third plot of Figure 21a displays the variation trend of the absorption rate with resistance and frequency. The contour lines marked for , , and represent the RAG-Rs capability to absorb 50%, 80%, and 90% of electromagnetic waves, respectively. At fixed sheet resistance, the absorption rate remains around 0.3–0.4 in the lower frequency band. As the frequency gradually increases, the absorption rate swiftly escalates from around 0.4 to 0.9, followed by narrow oscillations within the range above 0.9. It is observable that the high-frequency band of the absorption contour line of exhibits an L-shaped distribution, where during the reduction of sheet resistance from to , the lowest frequency of the absorption band initially remains nearly constant around 9 GHz, then rapidly increases to around 14 GHz when the resistance is below . However, as the sheet resistance gradually decreases, although the high-frequency absorption band shows a trend of remaining constant and then decreasing, the lowest frequency of the absorption band in the lower frequency range shifts towards the lower frequency band, indicating that the absorption band expands as the sheet resistance decreases.
When observing the contours of from Figure 21a–c, it is apparent that as the unit length increases, the low-reflection bands in the RAG-R turn from discrete short intervals to continuous large intervals. These low-reflection bands progressively shift towards low-frequency bands, and the extent of these low-reflection intervals gradually increases. However, this trend does not necessarily imply a direct improvement in the electromagnetic wave absorption performance of the RAG-R as increases. The low transmission regions, denoted by , also move to the low-frequency band and narrow in width as increases. The high transmission regions result in low-loss propagation of electromagnetic waves within those frequency bands, contradicting the fundamental design principle of RAG-Rs. Observations from the and plots indicate that while the low-reflection intervals increase with , the low transmission intervals significantly decrease, suggesting a contradiction that necessitates the evaluation of overall absorption through (5).
A comparison of the absorption rate contours for different unit lengths in Figure 21a–c reveals that the absorptive capability in the low-frequency band is enhanced with increasing unit length. Specifically, when reaches 16 mm, there exists only a minimal region of across various resistances at low frequencies. This enhancement can be attributed to the simultaneous shift of both and towards the low-frequency band, which collectively improves the low-frequency absorption of the RAG-R. However, due to the significant increase in transmission rate with larger unit lengths, there is a notable decrease in absorption rates in a high-frequency band, with regions of emerging in the low-frequency band for and high-frequency band for . Only unit lengths of 10 mm and 12 mm exhibit a complete 90% absorption bandwidth across the 8–18 GHz frequency band, indicating that the selection of unit lengths must consider the constraints imposed by design specifications. Within the scope of this study, choosing relatively smaller unit lengths and lower resistances benefits the low-frequency, low-detectable capability of the RAG-R, while selecting larger unit lengths and higher resistances enhances the high-frequency, low-detectable capabilities.
Figure 22 displays the integrated average absorption rates and the 90% absorption bandwidth for various unit lengths and sheet resistances. The results reveal that the sheet resistance of leads to lower absorption bandwidth and average absorption rates across different lengths. Additionally, the integrated average absorption rates are notably low for a unit length of 8 mm. High absorption rates are predominantly observed within the medium unit lengths ranging from 11 mm to 14 mm and medium sheet resistances from 200 to 600 . Meanwhile, large bandwidths are primarily concentrated in medium unit lengths from 10 mm to 12 mm and higher resistances ranging from 400 to .
Figure 22.
Effect of unit length and resistance on absorption characteristics of RAG-Rs. (a) Integrated average absorption rates. (b) 90% absorption bandwidths.
The maximum integrated average absorption rate is located at and , while the maximum 90% absorption bandwidth is found at and condition. The 90% absorption bandwidth increased by 255.6%. It is evident that at a unit length of 12 mm, the RAG-R exhibits superior comprehensive absorption capability when loaded with different sheet resistances compared to other unit lengths.
3.5. Polarization Characteristics and Angular Sensitivity of Employing ITO Resistance Films
The aircraft engine inlet can receive electromagnetic waves not only from the direct incidence direction but also from various detection angles in the forward direction and possibly with multiple polarization modes. Therefore, for the RAG-R in the engine inlet, it is essential not only to explore the absorption rate at normal incidence, which is similar to conventional studies of absorptive structures but also to investigate the influence of design parameters on the absorption rate under certain angles of incidence and typical polarization modes.
This paper refers to the inlet plane of the absorptive grille as the reference plane, with the coordinate system defined as illustrated in Figure 23. The variations in the absorption capabilities of the RAG-R under different yaw angles and pitch angles are explored, with specific numerical calculation conditions and settings as detailed in Table 4. Two co-polarization and two cross-polarization modes are considered in this paper: Horizontal-Horizontal (HH), Vertical-Vertical (VV), Horizontal-Vertical (HV), and Vertical-Horizontal (VH), with the specific definitions of these modes illustrated in Figure 23. In the reference coordinate system, the wave vector represents the direction of electromagnetic wave propagation, with the yaw angle and pitch angle corresponding to the azimuth and elevation angles in the spherical coordinate system, respectively. The green vector , orthogonal to and parallel to the XOY plane is defined as the electric field direction under horizontal polarization, while the blue vector , orthogonal to and lying within the plane is defined as the electric field direction under vertical polarization. In this study, the angular distribution of absorption characteristics as a function of the unit length is simulated when the electromagnetic wave frequency is set to 10 GHz, and the sheet resistance is fixed at .
Figure 23.
Schematic diagram of definition of incidence and polarization of electromagnetic wave.
Table 4.
Calculation parameters of incidence angle and polarization with varying lengths.
The polarization characteristics of the proposed structure are investigated by analyzing both co-polarization and cross-polarization scattering parameters under different incident angles. Figure 24 reveals the scattering parameters variation of horizontal and vertical polarization at unit length L = 12 mm. The trends of scattering parameters at other design parameters are similar. For horizontal polarization, the co-polarized maintains relatively stable reflective performance with a magnitude below in the incident angle range from 0° to 60°, showing good angular stability. However, as the incident angle increases beyond 60°, the absorption performance gradually deteriorates, which can be attributed to the specular reflection at large oblique incidence. The and of cross-polarization are under a low level, which is less than in both horizontal and vertical polarization incidence. When the incident angle exceeds 75°, both co-polarized and cross-polarized reflections show dramatic changes. The co-polarized reflection rapidly increases to nearly 0 dB at grazing incidence, while the cross-polarized component experiences a sharp decrease to below . For HV and VH polarization, the structure of RAG-R demonstrates a strong cross-polarization suppression phenomenon in both and .
Figure 24.
Comparison between S parameters of co-polarization and cross-polarization. (a) Horizontal polarization incidence. (b) Vertical polarization incidence.
Further analysis in Figure 25 illustrates that mainly due to the of horizontal and vertical co-polarization difference, the cross-polarization level (CPL) is lower than in all incident angle ranges. Though RAG-R has significant wave absorption capability, which leads to a low reflection coefficient, the CFL curves are still under the level. This represents exceptional polarization purity and electromagnetic mode isolation characteristics of RAG-R.
Figure 25.
Cross-polarization level (CPL) variation for H-polarization and V-polarization.
As the unit length is varied from 8 mm to 12 mm in Figure 26, the black contour line at for HH polarization expands towards larger angles, with increased absorption rates at the four corners of the rectangle. Meanwhile, the absorption rate under VV polarization remains mainly unchanged. When the unit length increases from 12 mm to 16 mm, significant changes in the absorption characteristics of the RAG-R are observed. Under HH polarization, the iso-contour assumes a skewed cross shape, with absorption valleys formed near the 0°, 90°, 180°, and 270° edges of the grille, as demonstrated in the yellow areas in Figure 26c. Additionally, the angular distribution characteristics of the absorption rate under VV polarization also have some change: at large pitch angles, the iso-contour forms a diamond shape with strong absorption capabilities near the previously mentioned edge directions.

Figure 26.
Comparison between angular absorption contours of different unit lengths. (a) Models with design parameters of L = 8 mm, . (b) Models with design parameters of L = 12 mm, . (c) Models with design parameters of L = 16 mm, .
The violin plots in Figure 26 reveal that the distributions under HH and VV polarizations are nearly the same at 0°, but the disparity increases with angle increment. Larger unit lengths can reduce the differences in absorption due to polarization at large angles but may cause increased fluctuations in absorption rates under HH polarization. As is shown in this figure, a moderate unit length enhances absorption capabilities at various angles. When selecting the unit length for the RAG-R, it is important to consider the potential angular instability introduced by larger lengths, as well as the decreased absorption rate at large angles. However, an appropriate increase in the unit length can enhance absorption capabilities at smaller angles. Too small a unit length results in lower absorption capabilities, while too large a unit length causes angular stability distortions. Therefore, the choice of unit length should be balanced according to the specific requirements.
From Figure 27, it is observable that at small angles, the integrated average absorption rates for HH and VV polarizations are relatively similar. However, as the incidence angle increases, the disparity between the two curves progressively widens. The average absorption rate at a unit length is notably low. At larger angles, the average absorption rates under HH polarization for different unit lengths deteriorate to varying extents, all falling below 0.8 at 60°. As the unit length increases, the angular absorption rate of the RAG-R initially rises, followed by a slight decline. Consequently, smaller unit lengths are harmful to enhancing absorption performance, while choosing a moderate or larger unit length generally results in better absorption capabilities, which leads to the same conclusion as above.
Figure 27.
Integrated average absorption rate varying with unit lengths and angles.
When the unit length is fixed to , the absorption rates for RAG-Rs with sheet resistances of 100, 400, and under HH and VV polarizations were explored using the variation of incident angle. Figure 28a displays a polar plot of the absorption rates for an RAG-R with under HH polarization, varying with yaw angle and pitch angle . The azimuthal coordinate represents the yaw angle , and the radial coordinate represents the pitch angle , essentially mapping the spherical coordinates to a polar projection to facilitate an intuitive understanding of the absorption rates corresponding to different incident angles. The area near the center of the circle, where the pitch angle is smaller and represents conditions closer to normal incidence, where the grille exhibits higher absorption rates, as indicated by the red area. As the pitch angle increases towards 90°, the absorption rate decreases and approaches zero. The figure is annotated with contour lines for absorption rates and . It is evident that as rotating around the RAG-R, the absorption rate is not constant but fluctuates with the yaw angle . The contour line exhibits a rectangular characteristic, with higher absorption rates near the incident angles at 45°, 135°, 225°, and 315°, which correspond to the corners of the rectangle. As the pitch angle further increases, the contour line becomes relatively smoother and more circular in shape.

Figure 28.
Comparison between angular absorption contours of different sheet resistive. (a) Models with design parameters of L = 10 mm, . (b) Models with design parameters of L = 10 mm, . (c) Models with design parameters of L = 10 mm, .
Comparing the first and the second contours of Figure 28a, the latter represents the polar plot of absorption rates for the absorptive grille under VV polarization. Compared to HH polarization, vertical polarization exhibits significant differences in absorption rates. Under vertical polarization, the absorption rates exceed 0.8 across a broader range of pitch angles . At larger angles, the changes in absorption rates under VV polarization are sharper, and likewise, the absorption rates decrease approaching 0 near 90°. The absorption rates for VV are more stable compared to those for HH, with the contour lines for and being more circular in shape.
Comparing the first and the second contours of Figure 28a, the latter represents the polar plot of absorption rates for the absorptive grille under VV polarization. Compared to HH polarization, vertical polarization exhibits significant differences in absorption rates. Under vertical polarization, the absorption rates exceed 0.8 across a broader range of pitch angles . At larger angles, the changes in absorption rates under VV polarization are sharper, and likewise, the absorption rates decrease approaching 0 near 90°. The absorption rates for VV are more stable compared to those of HH, with the contour lines for and being more circular in shape.
The third plot of Figure 28a presents violin plots of absorption rate slices at pitch angles of 0°, 15°, 30°, 45°, and 60°. The red split violins represent the distribution characteristics of circumferential absorption rates under HH polarization for specified , while the blue split violins correspond to VV polarization. The histograms represent the circumferential standard deviation for both polarization modes at different . At a pitch angle of 0° and , the distributions under both HH and VV polarizations are quite similar, exhibiting a bimodal distribution with a relatively concentrated range of variation and nearly identical standard deviations. From 0° to 60°, the high-rate distribution region for HH gradually decreases, with the mean absorption rate dropping from 86.41% to 60.50%, whereas for VV, the high-rate distribution region slightly elevates, with the mean absorption rate increasing from 86.42% to 91.48%, and its distribution remains more concentrated compared to HH. With increasing incident angles, the standard deviation for HH gradually increases, indicating greater variability in absorption capability with angle, whereas the standard deviation for VV remains more stable.
Comparing Figure 28a–c, at unit length and with increasing sheet resistance , the absorption capacity of the RAG-R under HH polarization at large pitch angles is enhanced. The dark red area representing high absorption rates near the center increases. Notably, higher absorption rates are observed at 135° and 315°, which are perpendicular directions. From the corresponding violin plots, it is evident that the range of absorption rate fluctuations increases with , especially at larger angles. Under VV polarization, the changes in the angular distribution of absorption rates with increasing are less pronounced compared to HH polarization. When increases to , the absorption rates under VV polarization slightly decrease, and the range of fluctuations increases. This suggests that varying the resistance has a smaller impact on the angular distribution of absorption rates under VV polarization, whereas it significantly affects HH polarization, enhancing the absorption capability at large pitch angles as increases.
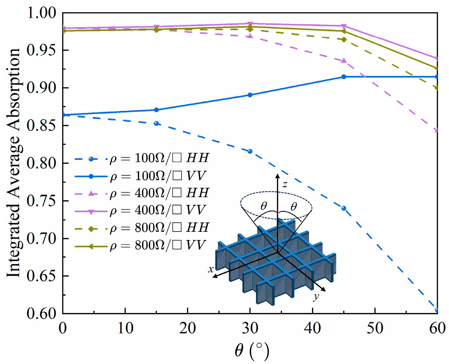
Furthermore, as depicted in Figure 29, at small incident angles, the integrated average absorption rates of both HH and VV are relatively similar. However, as the incident angle increases, the difference between them tends to widen. On the condition of , the average absorption rate is lower, particularly at larger angles, where the average absorption rate under HH deteriorates sharply to around 0.6.
Figure 29.
Integrated average absorption rate curves varying with sheet resistances and angles.
With increasing , the angular absorption rates of the RAG-R become more stable, and the absorption rate under HH significantly improves while the difference between HH and VV diminishes. At a high sheet resistance of , the absorption rates for both polarizations exceed 0.9, although there is a slight reduction in VV. In summary, selecting a relatively higher is advantageous for enhancing the absorption capacity of the RAG-R at large angles, thereby stabilizing and improving the performance across different polarization modes.
4. Conclusions
This paper first designs a radar absorptive structure based on spoof surface plasmon polariton theory to study its dispersion and propagation characteristics. Subsequently, the metallic reflector is removed, which transforms the structure into a radar-absorptive grille. Differences in propagation characteristics between the structure and grille at various unit lengths are then analyzed. Finally, to enhance the broadband absorption capability of the electromagnetic wave absorptive grille, an ITO resistive film is employed in the middle of the grille framework to enhance its impedance characteristics. This study comprehensively analyzes the absorption and angle/polarization characteristics of the improved radar absorptive grille utilizing an ITO resistive film, leading to the following conclusions:
- (1)
- The cutoff frequency of the radar-absorbing structures decreases with an increase in unit length. Below the cutoff frequency, the structure functions as a slow-wave system;
- (2)
- Removing the metallic reflector significantly worsens the absorption performance of the absorptive grille: as the frequency increases, the integrated average absorption rate of the grille only increases from 0.59 to 0.80, and the 80% absorption bandwidth first expands from 5.2 GHz to 9.1 GHz, and then decreases to 8 GHz, with the maximum 90% absorption bandwidth at L = 12 mm being 3.4 GHz;
- (3)
- After applying the ITO resistive film, the impedance characteristics of the absorptive grille are improved. Compared to the model of the original length, the low-frequency absorption capability has increased, with the integrated average absorption rate of the absorptive grille increasing from 0.80 to 0.89, resulting in a 255.6% increase in the 90% absorption bandwidth;
- (4)
- At the same unit length, increasing the sheet resistance enhances the angular stability of absorption performance under large angles for horizontal polarization. A moderate unit length provides suitable absorption rates and angular stability. Increasing the unit size is detrimental to the stability of absorption performance under large angles for horizontal polarization, while smaller unit-length grilles have a smaller standard deviation in absorption rates.
This paper introduces the design principles of metasurface absorptive structures into radar absorptive grilles, exploring the propagation characteristics and absorption capability of the grilles. The employment of resistive films enhances both the absorption rate and 90% absorption bandwidth, and the effects of design parameters and electromagnetic wave parameters on the absorption capability of the absorptive grilles are considered. The results demonstrate that the absorptive grilles based on the SSPP theory proposed in this paper exhibit excellent broadband absorption capability. This can provide insights for the design of non-metallic, lightweight grilles and low-detectable inlet systems for future advanced aircraft.
Author Contributions
Conceptualization, J.B. and X.W.; methodology, X.W.; software, Q.Y. and Y.S.; validation, J.B. and X.W.; formal analysis, H.X.; investigation, Y.S.; resources, Y.S.; data curation, X.W.; writing—original draft preparation, X.W.; writing—review and editing, Q.Y.; visualization, H.X.; supervision, Q.Y.; project administration, Q.Y.; funding acquisition, Y.S. All authors have read and agreed to the published version of the manuscript.
Funding
This research was funded by [Shaanxi Science and Technology Innovation Team] grant number [2023-CX-TD-22], [Outstanding Young Scientist Fund of Shaanxi Province] grant number [2022JC-29] and [Basic Research Program of Natural Science Foundation of Shaanxi Province] grant number [2022JQ-052].
Data Availability Statement
The data presented in this study are available on request from the corresponding author.
Conflicts of Interest
The authors declare no conflict of interest.
References
- Grant, R. The Radar Game: Understanding Stealth and Aircraft Survivability, 2nd ed.; Mitchell Institute Press: Arlington, TX, USA, 2010; pp. 1–15. [Google Scholar]
- Sang, J.H. Low-Observable Technologies of Aircraft, 1st ed.; Aviation Industry Press: Beijing, China, 2013; pp. 33–47. [Google Scholar]
- Gao, X.; Shi, Y.Q. Electromagnetic Scattering Characteristics of Double S-Shape Exhaust Nozzle with Different Coating Medium Parts. Acta Phys. Sin. 2015, 64, 106–115. [Google Scholar]
- Guo, X.; Yang, Q.Z. Influence of RAM Abscission on Electromagnetic Scattering Characteristic of Cavity. Acta Aeronaut. Astronaut. Sin. 2021, 42, 422–429. [Google Scholar]
- Song, Y.; Yang, Q.Z. Electromagnetic Scattering Characteristics of Binary Plug Nozzle with Coating Medium at Different Part. J. Propul. Technol. 2022, 43, 161–168. [Google Scholar]
- Song, Z.J.; Xu, H.J. Research on Electromagnetic Scattering and Plasma Stealth Design of S-shaped Inlet. In Proceedings of the Progress in Electromagnetics Research Symposium, St. Petersburg, Russia, 22–25 May 2017. [Google Scholar]
- Chen, X.Y.; Shen, F.F. Study of Plasma-Based Stable and Ultra-Wideband Electromagnetic Wave Absorption for Stealth Application. Plasma Sci. Technol. 2018, 20, 065503. [Google Scholar] [CrossRef]
- Zhang, T.Q.; Lv, W.M. UAV Inlet Plasma Stealth Performance Numerical Simulation. In Proceedings of the 11th Asia Conference on Mechanical and Aerospace Engineering, Chengdu, China, 25–27 December 2020. [Google Scholar]
- Wan, S.S.; Luo, Y.J. Research on RCS of Airplane Duct Based on SBR Method. J. Aerosp. Power 2006, 1, 1033–1036. [Google Scholar]
- Shi, L.; Guo, R.W. Electromagnetic Scattering Characteristics of Serpentine Inlet. Acta Aeronaut. Astronaut. Sin. 2007, 28, 1296–1301. [Google Scholar]
- Huang, H.X.; Sun, S. Recent Progress in Subsonic S-shaped Inlets. J. Propul. Technol. 2020, 41, 2641–2658. [Google Scholar]
- He, Y.B.; Yang, Q.Z. Comprehensive Optimization Design of Aerodynamic and Electromagnetic Scattering Characteristics of Serpentine Nozzle. Chin. J. Aeronaut. 2021, 34, 118–128. [Google Scholar] [CrossRef]
- Liang, D.W.; Guo, R.W. Effect of Honeycomb on Aerodynamic Performance and Radar Cross Section of Inlet. Acta Aeronaut. Astronaut. Sin. 1998, 19, 56–58. [Google Scholar]
- Yin, C.; Luo, Y. Integrated Design Method of Aerodynamic and Stealth Performance for Inlet Guide Vane and Wave Absorbing Deflector Ring. J. Propul. Technol. 2023, 44, 16–25. [Google Scholar]
- Zhang, L.; Zhou, Z. Electromagnetic Scattering Characteristics and Experimental Verification of Inlet Grille. J. Nanjing Univ. Aeronaut. Astronaut. 2017, 49, 361–369. [Google Scholar]
- Zhang, L.; Zhou, Z. Aerodynamic and Stealthy Integrated Performance of Conformal Inlet Coupling Entrance Grille of Flying Wing Unmanned Aerial Vehicle. J. Aerosp. Power 2018, 33, 1612–1621. [Google Scholar]
- Wang, X.F.; Yang, Q.Z. Numerical investigation on aerodynamic and electromagnetic influence of shape of the grilles in a rectangular duct. In Proceedings of the 12th Asia Conference on Mechanical and Aerospace Engineering, Nanjing, China, 29–31 December 2021. [Google Scholar]
- Yu, L.Z.; Chen, X. Electromagnetic shielding principles and technologies of cavity grille. Acta Aeronaut. Astronaut. Sin. 2022, 43, 455–465. [Google Scholar]
- Foteinopoulou, S.; Economou, E.N. Refraction in media with a negative refractive index. Phys. Rev. Lett. 2003, 90, 107402. [Google Scholar] [CrossRef]
- Falcone, F.; Lopetegi, T. Babinet principle applied to the design of metasurfaces and metamaterials. Phys. Rev. Lett. 2004, 93, 197401. [Google Scholar] [CrossRef]
- Pendry, J.B. Negative refraction makes a perfect lens. Phys. Rev. Lett. 2000, 85, 3966. [Google Scholar] [CrossRef]
- Smith, D.R.; Pendry, J.B. Metamaterials and negative refractive index. Science 2004, 305, 788–792. [Google Scholar] [CrossRef]
- Wang, Z.X.; Fu, X.M. Multi-octave radar cross section reduction via integrated dispersion engineering of polarization-conversion metasurface and metamaterial absorber. J. Phys. D Appl. Phys. 2019, 53, 03LT01. [Google Scholar] [CrossRef]
- Cheng, Y.Z.; Li, W.Y. Triple-band polarization angle independent 90° polarization rotator based on Fermat’s spiral structure planar chiral metamaterial. Prog. Electromagn. Res. 2019, 165, 35–45. [Google Scholar] [CrossRef]
- Huang, X.T.; Lu, C.H. Multiband ultrathin polarization-insensitive terahertz perfect absorbers with complementary metamaterial and resonator based on high-order electric and magnetic resonances. IEEE Photonics J. 2018, 10, 4600811. [Google Scholar] [CrossRef]
- Bai, J.; Yang, Q. Broadband frequency selective rasorber based on spoof surface plasmon polaritons. Micromachines 2022, 13, 1969. [Google Scholar] [CrossRef]
- Pang, Y.Q.; Wang, J.F. Spatial k-dispersion engineering of spoof surface plasmon polaritons for customized absorption. Sci. Rep. 2016, 6, 29429. [Google Scholar] [CrossRef]
- Priyanka; Mohanty, S. Design and Manufacturing of a Hexapattern Frequency Selective Surface Absorber for Aerospace Stealth Application. ACS Appl. Mater. Interfaces 2023, 15, 37107–37115. [Google Scholar] [CrossRef]
- Pendry, J.B.; Martin-Moreno, L. Mimicking surface plasmons with structured surfaces. Science 2004, 305, 847–848. [Google Scholar] [CrossRef]
- Zhang, H.C.; Zhang, L.P. A plasmonic route for the integrated wireless communication of subdiffraction-limited signals. Light Sci. Appl. 2020, 9, 113. [Google Scholar] [CrossRef]
- Chen, T.H.; Zheng, B. Progress of novel electromagnetics cloaking research. Acta Phys. Sin. 2020, 69, 46–62. [Google Scholar] [CrossRef]
- Sheokand, H.; Ghosh, S. Transparent broadband metamaterial absorber based on resistive films. J. Appl. Phys. 2017, 122, 105105. [Google Scholar] [CrossRef]
- Yu, J.; Jiang, W. Wideband angular stable absorber based on spoof surface plasmon polariton for RCS reduction. IEEE Antennas Wirel. Propag. Lett. 2020, 19, 1058–1062. [Google Scholar] [CrossRef]
- Shen, Y.; Zhang, J.Q. Plasmonic absorbing structure using horizontal bent-wire array for low-frequency absorption enhancement. Opt. Commun. 2019, 443, 90–95. [Google Scholar] [CrossRef]
- Shen, Y.; Zhang, J.Q. Merging absorption bands of plasmonic structures via dispersion engineering. Appl. Phys. Lett. 2018, 112, 254103. [Google Scholar] [CrossRef]
- Shen, Y.; Zhang, J.Q. Multistage dispersion engineering in a three-dimensional plasmonic structure for outstanding broadband absorption. Opt. Mater. Express 2019, 9, 1539–1550. [Google Scholar] [CrossRef]
- Zhou, F.K.; Fu, Y.F. Broadband and wide-angle metamaterial absorber based on the hybrid of spoof surface plasmonic polariton structure and resistive metasurface. Opt. Express 2021, 29, 34735–34747. [Google Scholar] [CrossRef] [PubMed]
- Cai, W.S.; Shalaev, V. Optical Metamaterials, 1st ed.; Springer: New York, NY, USA, 2010; pp. 11–36. [Google Scholar]
- Tang, W.X.; Zhang, H.C. Concept, theory, design, and applications of spoof surface plasmon polaritons at microwave frequencies. Adv. Opt. Mater. 2019, 7, 1800421. [Google Scholar] [CrossRef]
- Liu, X.Y.; Feng, Y.J. Planar surface plasmonic waveguide devices based on symmetric corrugated thin film structures. Opt. Express 2014, 22, 20107–20116. [Google Scholar] [CrossRef]
Disclaimer/Publisher’s Note: The statements, opinions and data contained in all publications are solely those of the individual author(s) and contributor(s) and not of MDPI and/or the editor(s). MDPI and/or the editor(s) disclaim responsibility for any injury to people or property resulting from any ideas, methods, instructions or products referred to in the content. |
© 2024 by the authors. Licensee MDPI, Basel, Switzerland. This article is an open access article distributed under the terms and conditions of the Creative Commons Attribution (CC BY) license (https://creativecommons.org/licenses/by/4.0/).