Numerical Investigation of Non-Equilibrium Condensation in a Supersonic Nozzle Based on Spontaneous Nucleation
Abstract
1. Introduction
- An investigation into the influence of saturated initial conditions on non-equilibrium condensation in supersonic nozzle flows;
- An investigation of the condensation shock changes in supersonic nozzles by inlet conditions;
- The effect of increasing the temperature and pressure in the saturated state on the liquid phase and droplet radius.
2. Governing Equations
3. Numerical Method
3.1. Geometry and Boundary Condition
3.2. Mesh Study in Moore B Nozzle
3.3. Validation of Moore B Nozzle
4. Results and Discussion
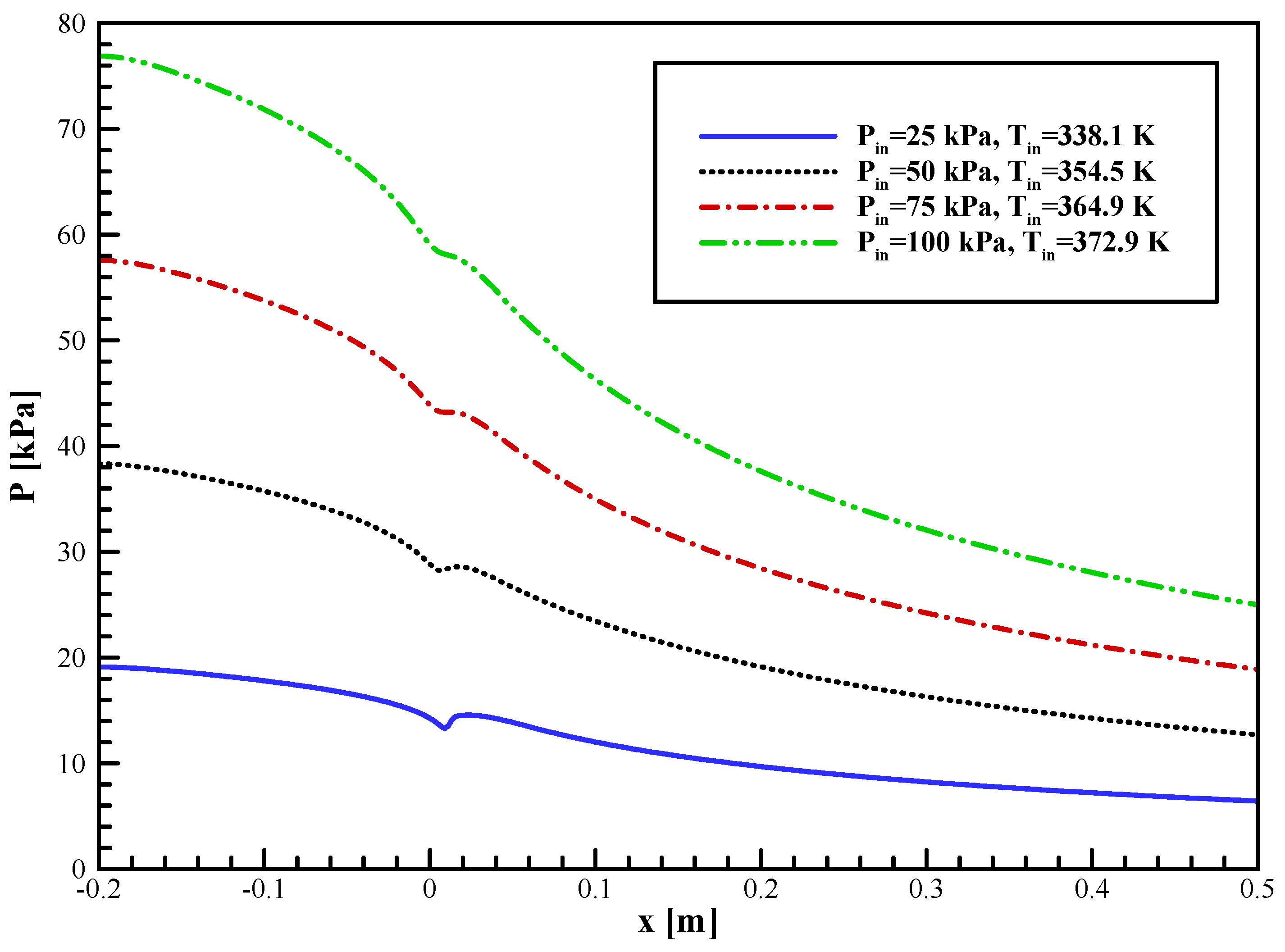
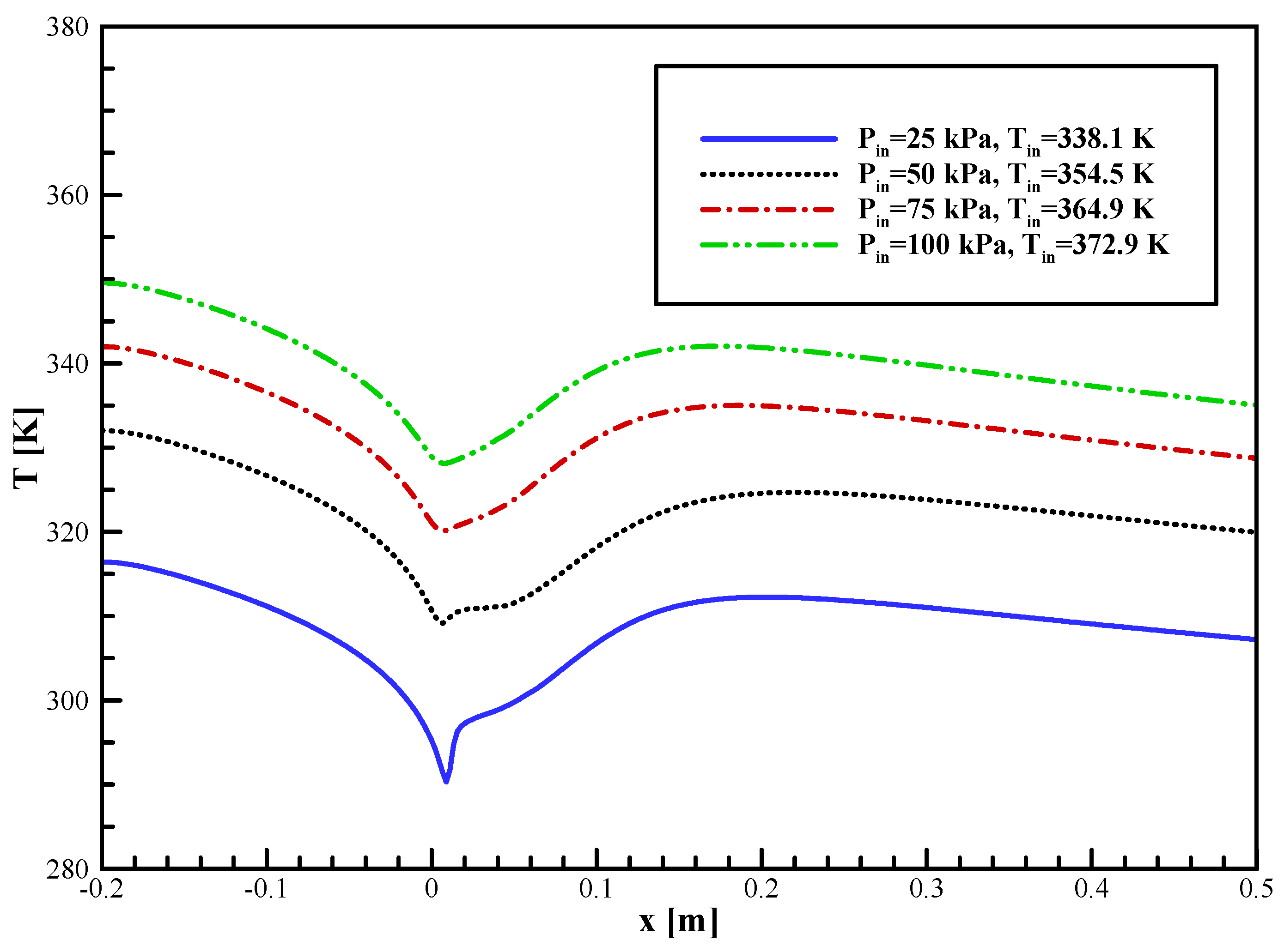
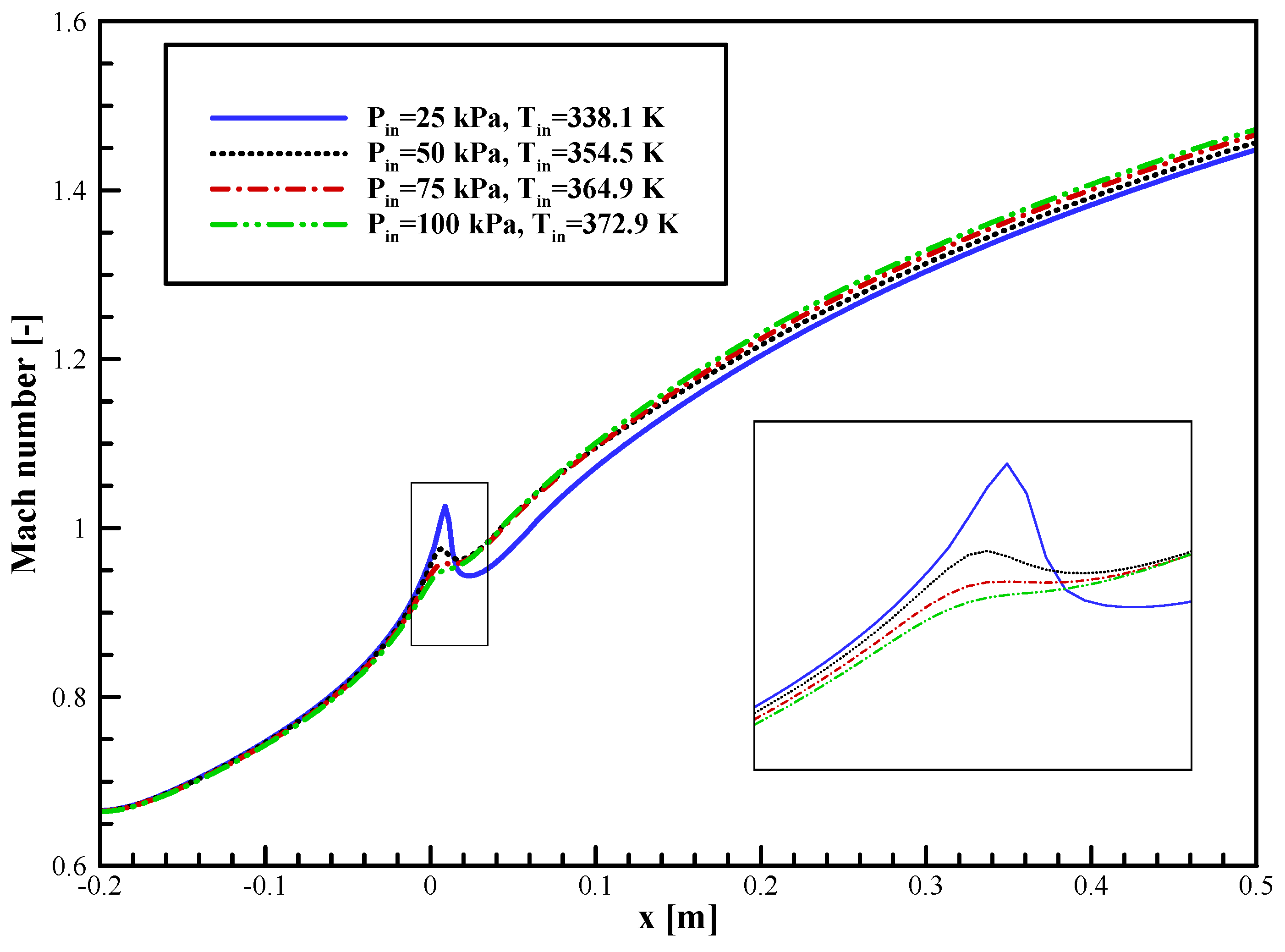
4.1. Effects of Operation Conditions on Pressure, Temperature and Mach Number
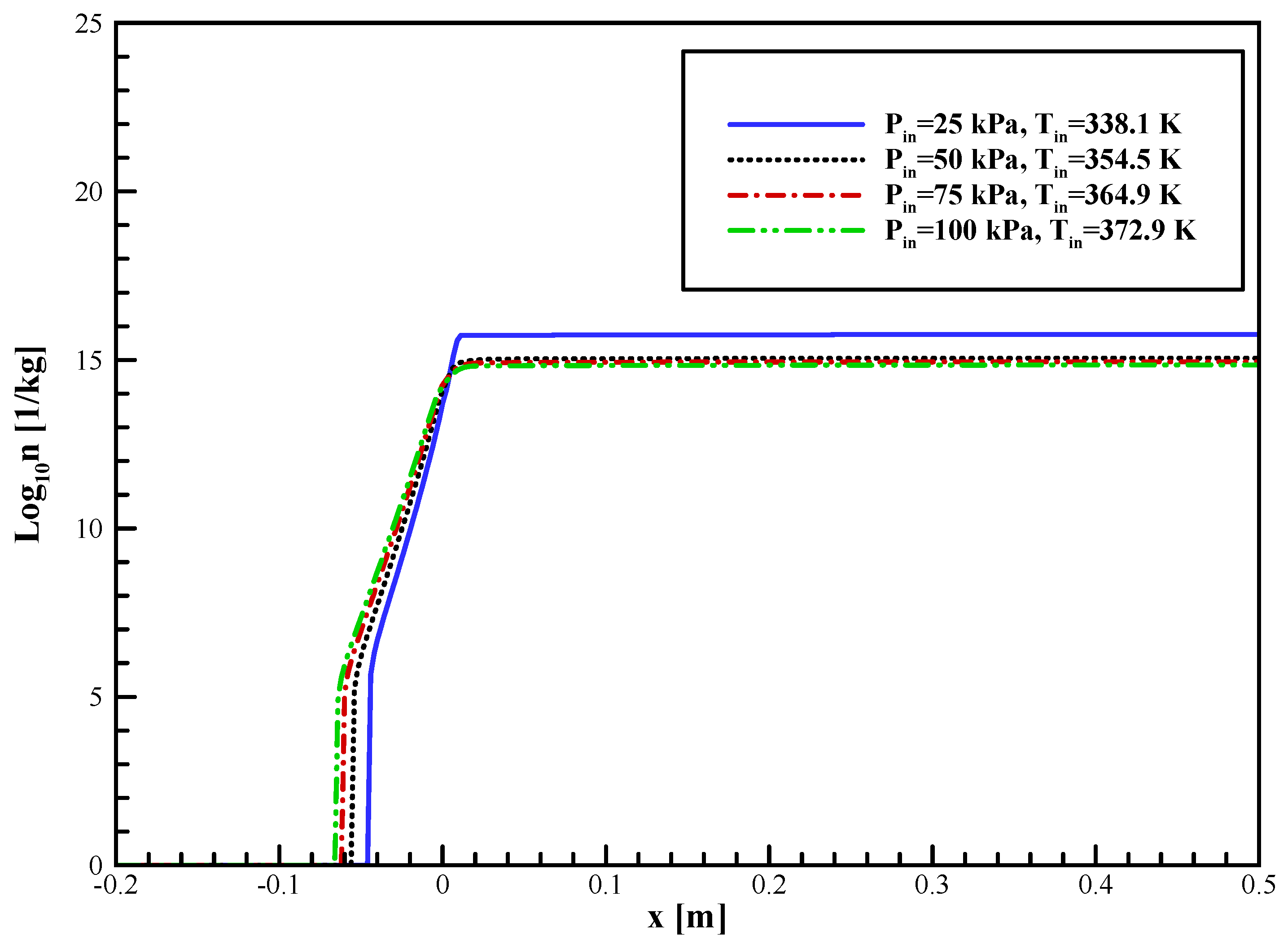
4.2. The Effect of Saturated Operation Conditions on Nucleation Rate, Liquid Mass Fraction, Droplet Number and Droplet Radius in Moore B Nozzle
4.3. The Effect of Saturated Operation Conditions on Mass Flow Rate in the Moore B Nozzle
5. Conclusions
- The changes observed in each of the samples displayed a consistent pattern. Both temperature and pressure decreased at the nozzle’s converging portion. A sudden shift in temperature and pressure was caused by condensation shock, which happens when the flow reaches the throat and proceeds toward the divergent portion of the nozzle. Both temperature and pressure continued to drop as the flow passed through the nozzle after the condensation shock;
- The main findings of this study revealed that the saturated state at the inlet in the converging part of the nozzle had a minimal effect on the Mach number. Nonetheless, significant alterations were seen in the diverging region of the nozzle and the location of the condensation shock. In particular, an increase in the inlet saturation pressure resulted in a rise in the Mach number within the divergent part of the nozzle;
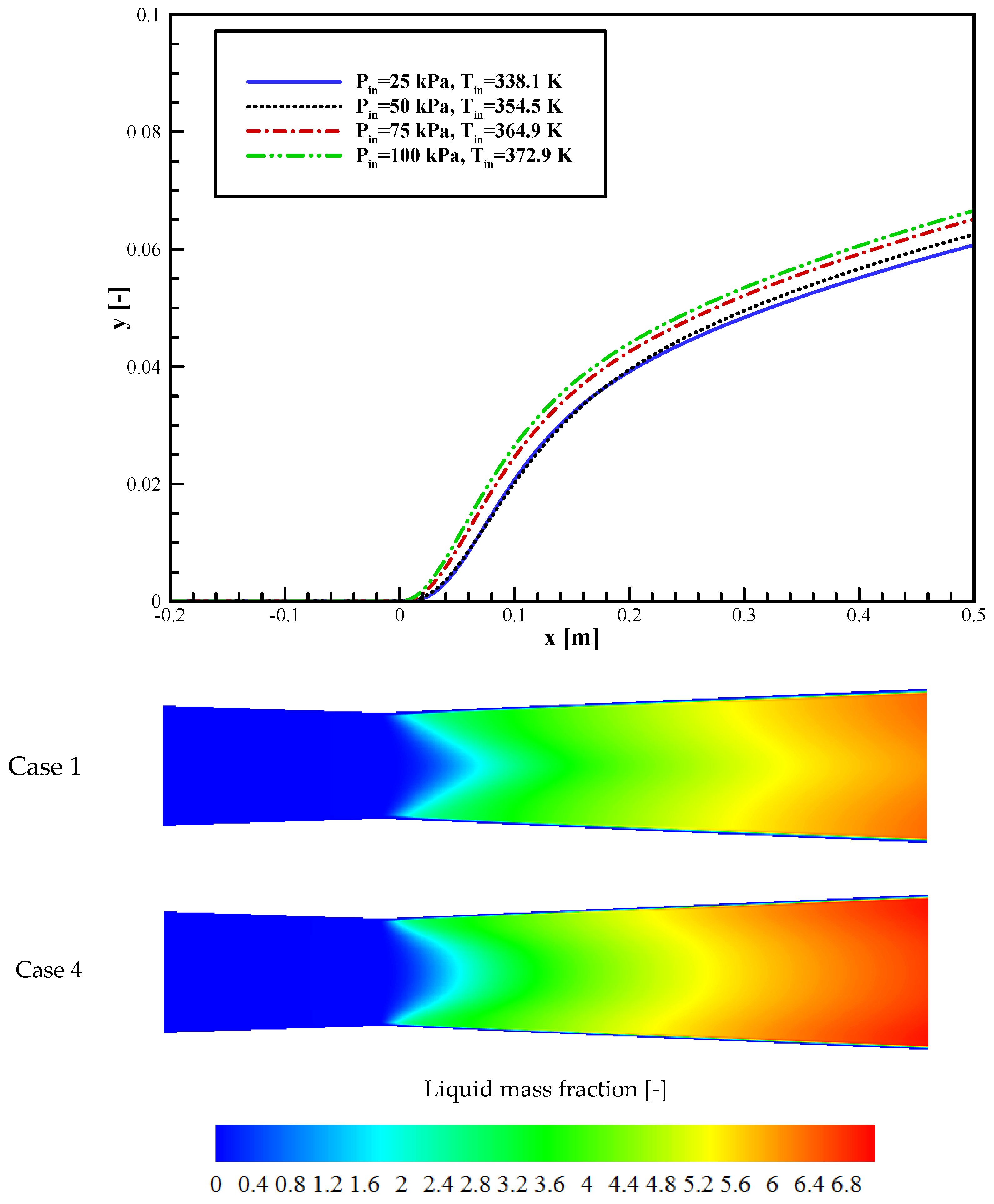
- An increase in the saturation pressure at the nozzle inlet correlated with a rise in the droplet radius. The droplet radius at the nozzle outlet was recorded as 138.6 nm, 240.4 nm, 264.6 nm, and 287.0 nm for the saturation pressures of 25 kPa, 50 kPa, 75 kPa, and 100 kPa, respectively;
- At 25 kPa, 50 kPa, 75 kPa, and 100 kPa saturation pressures, the nozzle outlet’s fluid mass fraction was around 0.0606, 0.062, 0.065, and 0.066, respectively. A 9.65% increase in the liquid mass fraction resulted from raising the intake saturation pressure from 25 kPa to 100 kPa.
Author Contributions
Funding
Data Availability Statement
Conflicts of Interest
References
- Xia, R.; Li, D.; Faghih Aliabadi, M.A. A comprehensive investigation and optimization of superheat degree on performance of supersonic nozzle by considering non-equilibrium condensation and entropy generation analysis. Phys. Fluids 2024, 36, 096116. [Google Scholar] [CrossRef]
- Mottahedi, H.R.; Aliabadi, M.A.; Gharehbaei, H.; Iraj, L.; Bouzari, S.; Akrami, M. Effects of motive flow temperature on holding steam ejector performance under condenser temperature change by considering entropy generation and non-equilibrium condensation. Appl. Therm. Eng. 2024, 257, 124268. [Google Scholar] [CrossRef]
- Dolatabadi, A.M.; Mottahedi, H.R.; Aliabadi, M.A.; Pour, M.S.; Wen, C.; Akrami, M. Evaluating and optimizing of steam ejector performance considering heterogeneous condensation using machine learning framework. Energy 2024, 305, 132240. [Google Scholar] [CrossRef]
- Wen, C.; Ding, H.; Yang, Y. Optimisation study of a supersonic separator considering nonequilibrium condensation behaviour. Energy Convers. Manag. 2020, 222, 113210. [Google Scholar] [CrossRef]
- Chen, J.; Li, A.; Huang, Z.; Jiang, W.; Xi, G. Non-equilibrium condensation in flue gas and migration trajectory of CO2 droplets in a supersonic separator. Energy 2023, 276, 127589. [Google Scholar] [CrossRef]
- Chen, J.; Huang, Z.; Jiang, W. Non-equilibrium condensation of carbon dioxide in flue gas with the coexistence of swirl flows and supersonic flows. Int. Commun. Heat Mass Transf. 2022, 138, 106369. [Google Scholar] [CrossRef]
- Zhang, G.; Li, Y.; Jin, Z.; Dykas, S.; Cai, X. A novel carbon dioxide capture technology (CCT) based on non-equilibrium condensation characteristics: Numerical modelling, nozzle design and structure optimization. Energy 2024, 286, 129603. [Google Scholar] [CrossRef]
- Sun, W.; Pen, J.; Niu, L.; Jiang, Z.; Hu, W.; Pan, L.M. Sensitivity analysis of nucleation and droplet growth models in the prediction of natural gas non-equilibrium condensation in Laval nozzle. Appl. Therm. Eng. 2024, 236, 121562. [Google Scholar] [CrossRef]
- Shooshtari, S.R.; Shahsavand, A. Maximization of energy recovery inside supersonic separator in the presence of condensation and normal shock wave. Energy 2017, 120, 153–163. [Google Scholar] [CrossRef]
- Faghih Aliabadi, M.A.; Mahpeykar, M.R. Comparison between polydispersed and monodispersed models on condensing water-vapor flow in a supersonic convergent-divergent nozzle. Modares Mech. Eng. 2017, 17, 19–30. Available online: https://mme.modares.ac.ir/files/mme/user_files_749497/mahpeykar-A-15-12075-1-ec8667f.pdf (accessed on 10 December 2024).
- Dolatabadi, A.M.; Masoumi, S.; Lakzian, E. Optimization variables of the injection of hot-steam into the non-equilibrium condensing flow using TOPSIS method. Int. Commun. Heat Mass Transf. 2021, 129, 105674. [Google Scholar] [CrossRef]
- Starzmann, J.; Hughes, F.R.; White, A.J.; Grübel, M.; Vogt, D.M. Numerical investigation of boundary layers in wet steam nozzles. Turbo Expo Power Land Sea Air 2016, 49866, V008T26A037. [Google Scholar] [CrossRef]
- Dykas, S.; Majkut, M.; Smołka, K.; Strozik, M. An attempt to make a reliable assessment of the wet steam flow field in the de Laval nozzle. Heat Mass Transf. 2018, 54, 2675–2681. [Google Scholar] [CrossRef]
- Dykas, S.; Majkut, M.; Smołka, K.; Strozik, M. Experimental research on wet steam flow with shock wave. Exp. Heat Transf. 2015, 28, 417–429. [Google Scholar] [CrossRef]
- Han, X.; Guan, J.; Zhu, Q.; Han, Z. Application of quadratic regression orthogonal design to optimization surface heating for control wet steam condensation flow in nozzle. Case Stud. Therm. Eng. 2022, 34, 101987. [Google Scholar] [CrossRef]
- Halama, J.; Hric, V. Numerical solution of steam flow in a nozzle using different non-equilibrium condensation models. Appl. Math. Comput. 2016, 272, 657–669. [Google Scholar] [CrossRef]
- Sun, W.; Chen, S.; Hou, Y.; Bu, S.; Ma, Z.; Zhang, L. Numerical studies of nitrogen spontaneous condensation flow in laval nozzles using varying droplet growth models. Int. J. Multiph. Flow 2019, 121, 103118. [Google Scholar] [CrossRef]
- Lin, L.; Cheng, W.; Luo, X.; Qin, F. On nitrogen condensation in hypersonic nozzle flows: Numerical method and parametric study. Shock. Waves 2014, 24, 179–189. [Google Scholar] [CrossRef]
- Aliabadi, M.A.; Bahiraei, M. Effect of water nano-droplet injection on steam ejector performance based on non-equilibrium spontaneous condensation: A droplet number study. Appl. Therm. Eng. 2021, 184, 116236. [Google Scholar] [CrossRef]
- Aliabadi, M.A.; Jahangiri, A.; Khazaee, I.; Lakzian, E. Investigating the effect of water nano-droplets injection into the convergent-divergent nozzle inlet on the wet steam flow using entropy generation analysis. Int. J. Therm. Sci. 2020, 149, 106181. [Google Scholar] [CrossRef]
- Aliabadi, M.A.; Zhang, G.; Dykas, S.; Li, H. Control of two-phase heat transfer and condensation loss in turbine blade cascade by injection water droplets. Appl. Therm. Eng. 2021, 186, 116541. [Google Scholar] [CrossRef]
- Zhang, G.; Wang, X.; Chen, J.; Tang, S.; Smołka, K.; Majkut, M.; Jin, Z.; Dykas, S. Supersonic nozzle performance prediction considering the homogeneous-heterogeneous coupling spontaneous non-equilibrium condensation. Energy 2023, 284, 129274. [Google Scholar] [CrossRef]
- Zhang, G.; Wang, X.; Dykas, S.; Aliabadi, M.A. Reduction entropy generation and condensation by NaCl particle injection in wet steam supersonic nozzle. Int. J. Therm. Sci. 2022, 171, 107207. [Google Scholar] [CrossRef]
- Zhang, G.; Wang, X.; Wiśniewski, P.; Chen, J.; Qin, X.; Dykas, S. Effect of NaCl presence caused by salting out on the heterogeneous-homogeneous coupling non-equilibrium condensation flow in a steam turbine cascade. Energy 2023, 263, 126074. [Google Scholar] [CrossRef]
- Hosseini, R.; Lakzian, E. Optimization volumetric heating in condensing steam flow by a novel method. J. Therm. Anal. Calorim. 2020, 140, 2421–2433. [Google Scholar] [CrossRef]
- Hoseinzade, D.; Lakzian, E.; Hashemian, A. A blackbox optimization of volumetric heating rate for reducing the wetness of the steam flow through turbine blades. Energy 2021, 220, 119751. [Google Scholar] [CrossRef]
- Vatanmakan, M.; Lakzian, E.; Mahpeykar, M.R. Investigating the entropy generation in condensing steam flow in turbine blades with volumetric heating. Energy 2018, 147, 701–714. [Google Scholar] [CrossRef]
- Salimi, J.; Teymourtash, A.R.; Aghdasi, M.R.; Lakzian, E. Optimization of the surface heating for a stationary cascade turbine blade in wet steam flow. Therm. Sci. Eng. Prog. 2023, 39, 101751. [Google Scholar] [CrossRef]
- Han, X.; Yuan, Y.; Zhao, Z.; Wang, Y.; Zeng, W.; Han, Z. Numerical investigation of the wet steam condensation flow characteristics in stator cascade with blade surface heating. Eng. Appl. Comput. Fluid Mech. 2020, 14, 1251–1262. [Google Scholar] [CrossRef]
- Hosseinizadeh, S.E.; Ghamati, E.; Jahangiri, A.; Majidi, S.; Khazaee, I.; Aliabadi, M.A. Reduction of water droplets effects in steam turbine blade using Multi-objective optimization of hot steam injection. Int. J. Therm. Sci. 2023, 187, 108155. [Google Scholar] [CrossRef]
- Aliabadi, M.A.; Lakzian, E.; Khazaei, I.; Jahangiri, A. A comprehensive investigation of finding the best location for hot steam injection into the wet steam turbine blade cascade. Energy 2020, 190, 116397. [Google Scholar] [CrossRef]
- Mirhoseini, M.S.; Boroomand, M. Control of wetness fraction and liquid droplet size in wet steam two phase flows with hot steam injection. Meccanica 2018, 53, 193–207. [Google Scholar] [CrossRef]
- Dolatabadi, A.M.; Lakzian, E.; Heydari, M.; Khan, A. A modified model of the suction technique of wetness reducing in wet steam flow considering power-saving. Energy 2022, 238, 121685. [Google Scholar] [CrossRef]
- Taheri, M.R.; Soleymani, A.; Toloei, A.; Vali, A.R. Performance Evaluation of the High-altitude Launch Technique to Orbit Using Atmospheric Properties. Int. J. Eng. 2013, 26, 333–340. [Google Scholar] [CrossRef]
- Hosseini, S.A.; Nakisa, M.; Lakzian, E. Reducing the condensing flow effects on the steam turbine blades through modified design geometry. Phys. Fluids 2023, 35, 0166144. [Google Scholar] [CrossRef]
- Talebi Somesaraee, M.; Amiri Rad, E.; Mahpeykar, M.R. Analytical investigation of simultaneous effects of convergent section heating of Laval nozzle, steam inlet condition, and nozzle geometry on condensation shock. J. Therm. Anal. Calorim. 2018, 133, 1023–1039. [Google Scholar] [CrossRef]
- Ma, Q.F.; Hu, D.P.; Jiang, J.Z.; Qiu, Z.H. A turbulent Eulerian multi-fluid model for homogeneous nucleation of water vapour in transonic flow. Int. J. Comput. Fluid Dyn. 2009, 23, 221–231. [Google Scholar] [CrossRef]
- Zhang, G.; Dykas, S.; Majkut, M.; Smołka, K.; Cai, X. Experimental and numerical research on the effect of the inlet steam superheat degree on the spontaneous condensation in the IWSEP nozzle. Int. J. Heat Mass Transf. 2021, 165, 120654. [Google Scholar] [CrossRef]
- Mahpeykar, M.R.; Teymourtash, A.R.; Amiri Rad, E. Reducing entropy generation by volumetric heat transfer in a supersonic two-phase steam flow in a Laval nozzle. Int. J. Exergy 2011, 9, 21–39. [Google Scholar] [CrossRef]
- Mahpeykar, M.R.; Teymourtash, A.R.; Amiri Rad, E. Theoretical investigation of effects of local cooling of a nozzle divergent section for controlling condensation shock in a supersonic two-phase flow of steam. Meccanica 2013, 48, 815–827. [Google Scholar] [CrossRef]
- Hosseini, S.A.; Lakzian, E.; Nakisa, M. Multi-objective optimization of supercooled vapor suction for decreasing the nano-water droplets in the steam turbine blade. Int. Commun. Heat Mass Transf. 2023, 142, 106613. [Google Scholar] [CrossRef]
- Sharifi, N. Numerical study of non-equilibrium condensing supersonic steam flow in a jet-pump based on supersaturation theory. Int. J. Mech. Sci. 2020, 165, 105221. [Google Scholar] [CrossRef]
- Mehrpooya, M.; Ghafoorian, F.; Farajyar, S. 3D-modeling of a coaxial borehole heat exchanger in Sahand Field, Northwest Iran considering the porous medium and presence of nanofluids. Iran. J. Chem. Chem. Eng. 2023, 42, 3898–3916. Available online: https://www.ijcce.ac.ir/article_704598_a72776459aec7106f3c9abed5f1a58b2.pdf (accessed on 10 December 2024).
- Farajyar, S.; Ghafoorian, F.; Mehrpooya, M.; Asadbeigi, M. CFD investigation and optimization on the aerodynamic performance of a Savonius vertical axis wind turbine and its installation in a hybrid power supply system: A case study in Iran. Sustainability 2023, 15, 5318. [Google Scholar] [CrossRef]
- Fu, M.; Ding, Y. Investigating the effects of outlet pressure from steam turbine blade on wetness and entropy generation with consideration of non-equilibrium condensation. Comput. Therm. Sci. Int. J. 2023, 15, 61–73. [Google Scholar] [CrossRef]
- Dolatabadi, A.M.; Pour, M.S.; Ajarostaghi, S.S.; Poncet, S.; Hulme-Smith, C. Last stage stator blade profile improvement for a steam turbine under a non-equilibrium condensation condition: A CFD and cost-saving approach. Alex. Eng. J. 2023, 73, 27–46. [Google Scholar] [CrossRef]
- Lai, S.; Wang, W. A comprehensive investigation of two-phase flow in off-design operating condition of ejector performance by using entropy generation analysis. Proc. Indian Natl. Sci. Acad. 2024, 1–3. [Google Scholar] [CrossRef]
- Hui, X.; Ma, Y.; Deng, X. Numerical simulation on effects of augmentation in temperature of inlet steam on wet steam flow in supersonic nozzle: Energy and exergy analysis. Multiscale Multidiscip. Model. Exp. Des. 2023, 6, 723–732. [Google Scholar] [CrossRef]
- Xu, Y.; Zhang, X.; Bai, Y.; Li, X. Numerical investigation of liquid mass fraction and condensation shock of wet-steam flow through convergence-divergence nozzle using strategic water droplets injection. Chem. Prod. Process. Model. 2023, 19, 315–327. [Google Scholar] [CrossRef]
- Wu, Z.; Gang, J. Numerical investigation of exit pressure on flow structure in steam ejector by considering condensation and evaporation process. Proc. Indian Natl. Sci. Acad. 2024, 90, 113–123. [Google Scholar] [CrossRef]
- Zhao, S.; Li, X.; Jia, Z. Relation between the divergent section’s angle and two-phase heat in the condensation flow of wet steam in a supersonic nozzle. Multiscale Multidiscip. Model. Exp. Des. 2023, 7, 777–785. [Google Scholar] [CrossRef]
- Dolatabadi, A.M.; Aliabadi, M.A. Evaluating sustainability power plant efficiency: Unveiling the impact of power plant load ratio on holding steam ejector performance. Energy 2024, 305, 132315. [Google Scholar] [CrossRef]
- Aliabadi, M.A.; Lakzian, E.; Jahangiri, A.; Khazaei, I. Numerical investigation of effects polydispersed droplets on the erosion rate and condensation loss in the wet steam flow in the turbine blade cascade. Appl. Therm. Eng. 2020, 164, 114478. [Google Scholar] [CrossRef]
- Jahangiri, A.; Aliabadi, M.A.; Pourranjbar, D.; Mottahedi, H.R.; Gharebaei, H.; Ghamati, E. A comprehensive investigation of non-condensable gas and condenser temperature effects on power plant ejector performance by considering condensation flow regime. Therm. Sci. Eng. Prog. 2023, 45, 102128. [Google Scholar] [CrossRef]
- Cong, H.; Zhang, J. Numerical investigation of the effects of dry gas model and wet steam model in solar-driven refrigeration ejector system. Chem. Prod. Process Model. 2024, 19, 69–80. [Google Scholar] [CrossRef]
- Wang, H.Z. Energy and exergy analysis of primary steam superheating effects on the steam ejector applied in the solar renewable refrigeration cycle in the presence of spontaneous nucleation. Chem. Prod. Process. Model. 2024, 19, 51–68. [Google Scholar] [CrossRef]
- Kermani, M.J.; Gerber, A.G. A general formula for the evaluation of thermodynamic and aerodynamic losses in nucleating steam flow. Int. J. Heat Mass Transf. 2003, 46, 3265–3278. [Google Scholar] [CrossRef]
- Ma, C.; Wang, S.; Yu, J. Numerical Study on the Influence of Separation Time Sequence on the Initial Thermal Separation. Energies 2024, 17, 1598. [Google Scholar] [CrossRef]
- Volov, V.; Elisov, N.; Lyaskin, A. Numerical Investigation of the Secondary Swirling in Supersonic Flows of Various Nature Gases. Energies 2021, 14, 8122. [Google Scholar] [CrossRef]
- Murugesan, P.; Srikrishnan, A.R.; Mohammad, A.; Velamati, R.K. Numerical Study of Wall Heat Transfer Effects on Flow Separation in a Supersonic Overexpanded Nozzle. Energies 2023, 16, 1762. [Google Scholar] [CrossRef]
- Ghafoorian, F.; Mirmotahari, S.R.; Eydizadeh, M.; Mehrpooya, M. A systematic investigation on the hybrid Darrieus-Savonius vertical axis wind turbine aerodynamic performance and self-starting capability improvement by installing a curtain. Next Energy 2024, 6, 100203. [Google Scholar] [CrossRef]











| X [mm] | Y [mm] |
|---|---|
| −200 | 56.35 |
| 0 | 50 |
| 500 | 72 |
| Case 1 | Case 2 | Case 3 | Case 4 | |
|---|---|---|---|---|
| P [kPa] | 25 | 50 | 75 | 100 |
| T [K] | 338.1 | 354.5 | 364.9 | 372.9 |
Disclaimer/Publisher’s Note: The statements, opinions and data contained in all publications are solely those of the individual author(s) and contributor(s) and not of MDPI and/or the editor(s). MDPI and/or the editor(s) disclaim responsibility for any injury to people or property resulting from any ideas, methods, instructions or products referred to in the content. |
© 2024 by the authors. Licensee MDPI, Basel, Switzerland. This article is an open access article distributed under the terms and conditions of the Creative Commons Attribution (CC BY) license (https://creativecommons.org/licenses/by/4.0/).
Share and Cite
Kouchaksaraei, S.J.; Akrami, M. Numerical Investigation of Non-Equilibrium Condensation in a Supersonic Nozzle Based on Spontaneous Nucleation. Aerospace 2024, 11, 1032. https://doi.org/10.3390/aerospace11121032
Kouchaksaraei SJ, Akrami M. Numerical Investigation of Non-Equilibrium Condensation in a Supersonic Nozzle Based on Spontaneous Nucleation. Aerospace. 2024; 11(12):1032. https://doi.org/10.3390/aerospace11121032
Chicago/Turabian StyleKouchaksaraei, Saman Javadi, and Mohammad Akrami. 2024. "Numerical Investigation of Non-Equilibrium Condensation in a Supersonic Nozzle Based on Spontaneous Nucleation" Aerospace 11, no. 12: 1032. https://doi.org/10.3390/aerospace11121032
APA StyleKouchaksaraei, S. J., & Akrami, M. (2024). Numerical Investigation of Non-Equilibrium Condensation in a Supersonic Nozzle Based on Spontaneous Nucleation. Aerospace, 11(12), 1032. https://doi.org/10.3390/aerospace11121032

