Effect of Pressure on the Structural and Mechanical Properties of Cubic Silicon Carbide Reinforced with Aluminum and Magnesium
Abstract
1. Introduction
2. Materials and Methods
2.1. Crystal Structures for Input
2.2. Calculation of Mechanical Properties
3. Results and Discussion
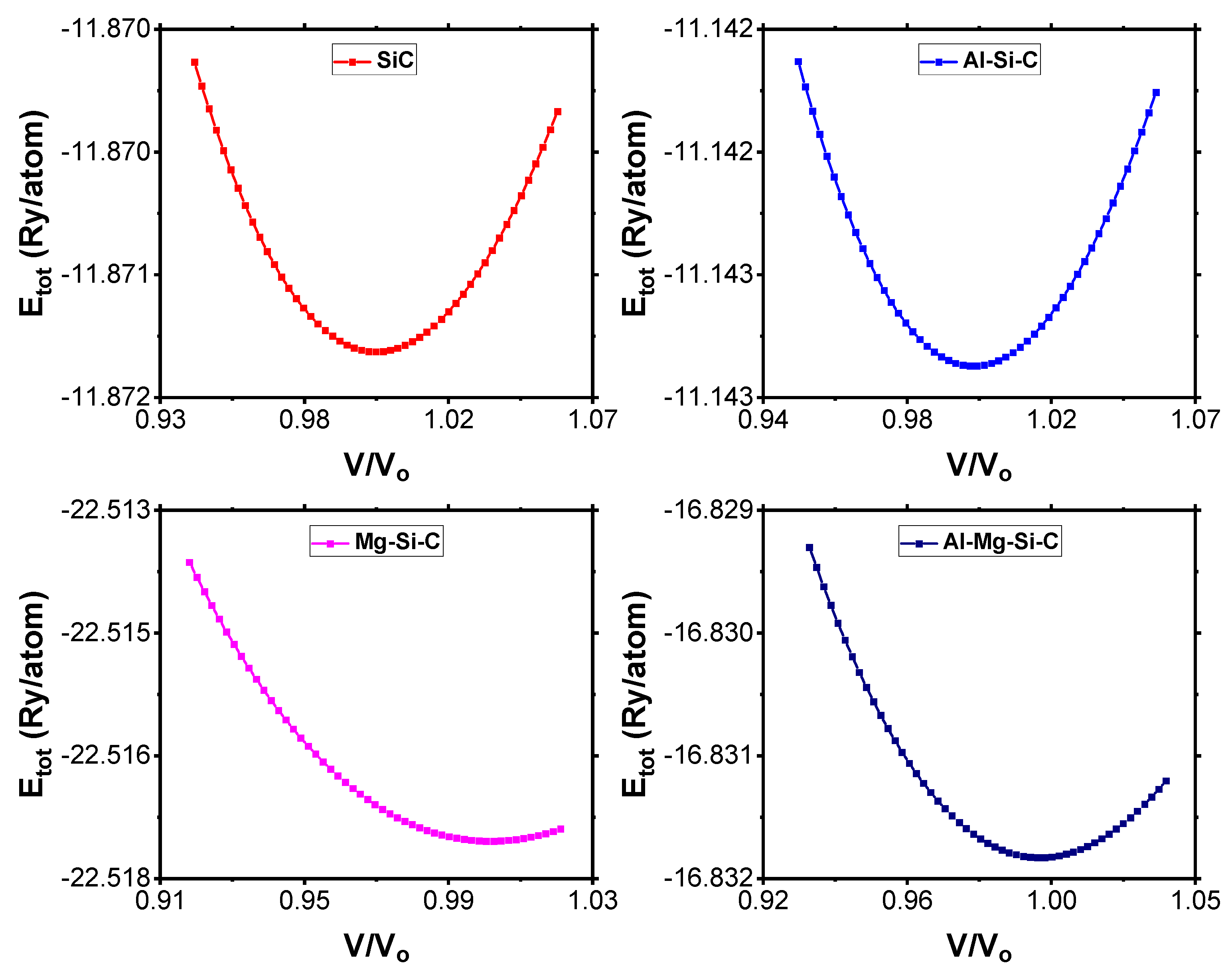
3.1. Structural Properties
3.2. Mechanical Properties
4. Conclusions
Author Contributions
Funding
Data Availability Statement
Conflicts of Interest
References
- Raj, R.J.; Selvam, P.P.; Pughalendi, M. A review of aluminum alloys in aircraft and aerospace industry. J. H. Univ. Sci.-Med. 2021, 50, 1–10. [Google Scholar]
- Kaushik, Y.; Jawalkar, C.S.; Kant, S. A review on use of aluminium alloys in aircraft components. J. Mater. Sci. 2015, 3, 33–38. [Google Scholar]
- Danylenko, M. Aluminium alloys in aerospace. Alum. Int. Today 2018, 31, 35. Available online: https://api.semanticscholar.org/CorpusID:116796496 (accessed on 12 November 2024).
- Davis, J.R. Aluminum and Aluminum Alloys. In Alloying: Understanding the Basics; ASM International: Ohio Materials Park, OH, USA, 2001; pp. 351–416. [Google Scholar] [CrossRef]
- Khan, W.S.; Soltani, S.A.; Asmatulu, E.; Asmatulu, R. Aircraft recycling: A review of current issues and perspectives. In Proceedings of the SAMPE Technical Conference Proceedings, Wichita, KS, USA, 21–24 October 2013. [Google Scholar]
- Kaya, E.; Sheikhi, M.R.; Gurgen, S.; Kushan, M.C. Aluminium-lithium alloys in aircraft structures. In Materials, Structures and Manufacturing for Aircraft. Sustainable Aviation; Kushan, M.C., Gurgen, S., Sofuoglu, M.A., Eds.; Springer: Berlin/Heidelberg, Germany, 2022. [Google Scholar] [CrossRef]
- Wanhill, R.J.H. Aerospace applications of aluminium-lithium alloys. In Aluminium-Lithium Alloys: Processing, Properties and Applications; Prasad, N.E., Gokhale, A.A., Wanhill, R.J.H., Eds.; Butterworth-Heinemann: Oxford, UK, 2014; pp. 503–535. [Google Scholar] [CrossRef]
- Siddiqui, M.Z.; Tariq, F.; Naz, N.; Ahmed, M.F. Determination of Young’s modulus of metallic and composite materials by digital image correlation. J. Space Technol. 2012, 1, 32–37. [Google Scholar]
- Messaoud, J.B.; Michaud, J.-F.; Certon, D.; Camarda, M.; Piluso, N.; Colin, L.; Barcella, F.; Alquier, D. Investigation of the Young’s modulus and the residual stress of 4H-SiC circular membranes on 4H-SiC substrates. Micromachines 2019, 10, 801. [Google Scholar] [CrossRef]
- Hähnlein, B.; Kovac, J.; Pezoldt, J. Size effect of the silicon carbide Young’s modulus. Phys. Status Solidi A 2017, 214, 1600390. [Google Scholar] [CrossRef]
- Munro, R.G. Material properties of a sintered α-SiC. J. Phys. Chem. Ref. Data 2009, 26, 1195–1203. [Google Scholar] [CrossRef]
- Kim, D.; Smith, R.F.; Ocampo, I.K.; Coppari, F.; Marshall, M.C.; Ginnane, M.K.; Wicks, J.K.; Tracy, S.J.; Millot, M.; Lazicki, A.; et al. Structure and density of silicon carbide to 1.5 TPa and implications for extrasolar planets. Nat. Commun. 2022, 13, 2260. [Google Scholar] [CrossRef]
- Gopal, V.; Raja, D.; Mayakrishnan, J.; Hariram, V. Mechanical behaviour of Al7075 hybrid composites developed through squeeze casting. Int. J. Veh. Struct. 2021, 13, 314–318. [Google Scholar] [CrossRef]
- Jayakrishna, K.; Vishesh, R.K.; Mohamed, T.H.S.; Rajesh, M. Materials selection for aerospace components. In Sustainable Composites for Aerospace Applications; Elsevier: Amsterdam, The Netherlands, 2018. [Google Scholar] [CrossRef]
- Burdick, C.L.; Owen, E.A. The atomic structure of carborundum determined by X-rays. J. Am. Chem. Soc. 1918, 40, 1749–1759. [Google Scholar] [CrossRef]
- Available online: http://www.crystallography.net/cod/search.html (accessed on 15 December 2023).
- Cipiloglu, M.A.; Ozkurt, A. Theoretical investigation on molecular structure and electronic properties of BxLiy cluster for lithium-ion batteries with quantum espresso program. Molecules 2020, 25, 3266. [Google Scholar] [CrossRef] [PubMed]
- Saif, M.J. Computational Chemistry-Burai as a GUI for Quantum Espresso; Absolute Author Publishing House: Kenner, LA, USA, 2021. [Google Scholar]
- Yoyo, H.; Hiroyuki, H.; Yu, K.; Isao, T.; Fumiyasu, O. Comparison of approximations in density functional theory calculations: Energetics and structure of binary oxides. Phys. Rev. B 2017, 96, 094102. [Google Scholar]
- Monkhorst, H.J.; Pack, J.D. Special points for Brillouin zone integration. Phys. Rev. B 1976, 13, 5188. [Google Scholar] [CrossRef]
- Ongwen, N.O.; Ogam, E.; Otunga, H. Ab initio study of elastic properties of orthorhombic cadmium stannate as a substrate for the manufacture of MEMS devices. Mater. Today Commun. 2021, 26, 101822. [Google Scholar] [CrossRef]
- Ongwen, N.O.; Ogam, E.; Fellah, E.; Fellah, Z.E.A.; Otunga, H.O.; Oduor, A.O.; Mageto, M. Accurate Ab-initio calculation of elastic constants of anisotropic binary alloys: A case of Fe-Al. Solid State Commun. 2022, 353, 114879. [Google Scholar] [CrossRef]
- Boucetta, S.; Zegrar, F. Density functional study of elastic, mechanical and thermodynamic properties of MgCu with a CsCl-type structure. J. Magnes. Alloys 2013, 1, 128–133. [Google Scholar] [CrossRef]
- Birch, F. Finite elastic strain of cubic crystals. Phys. Rev. 1947, 71, 809–824. [Google Scholar] [CrossRef]
- Ongwen, N.O.; Ogam, E.; Fellah, Z.E.A.; Mageto, M.; Othieno, H.; Otunga, H. Thermal properties and pressure-dependent elastic constants of cadmium stannate as a substrate for MEMS: An ab initio study. Phys. B Condens. Matter 2023, 65, 414599. [Google Scholar] [CrossRef]
- Jiang, L.; Cheung, R. A review of silicon carbide development in MEMS applications. Int. J. Comput. Mater. Sci. Surf. Eng. 2009, 2, 225–240. [Google Scholar] [CrossRef]
- Zhu, L.; Li, N.; Childs, P.R.N. Light-weighting in aerospace component and system design. Propuls. Power Res. 2018, 7, 103–119. [Google Scholar] [CrossRef]
- Boyer, R.R.; Cotton, J.D.; Mohaghegh, M.; Schafrik, R.E. Materials Considerations for Aerospace Applications; Cambridge University Press: Cambridge, UK, 2015. [Google Scholar]
- Meric, C. An investigation on the elastic modulus and density of vacuum casted aluminum alloy 2024 containing lithium additions. J. Mater. Eng. Perform. 2010, 9, 266–271. [Google Scholar] [CrossRef]
- Rajesh, S.; Kumar, R.S.; Madhankumar, S.; Sheshan, M.; Vignesh, M.; Kumar, R.S. Study of the mechanical properties of Al7075 alloy, silicon carbide and fly ash composites manufactured by stir casting technique. Mater. Today Proc. 2021, 45, 6438–6443. [Google Scholar] [CrossRef]
- Gomez-Gallegos, A.; Mandal, P.; Gonzalez, D.; Zuelli, N.; Blackwell, P. Studies on titanium alloys for aerospace application. Defect Diffus. Forum 2018, 385, 419–423. [Google Scholar] [CrossRef]
- Daraphan, A.; Vetayanugul, B.; Tongsri, R. Density and strength improvement of sintered 316 L stainless steel. Chiang Mai J. Sci. 2006, 33, 53–66. [Google Scholar]
- Yaziv, D.; Rosenberg, Z.; Partom, Y. Variation of the elastic constants of 2024-T351 Al under dynamic pressures. J. Appl. Phys. 1982, 53, 353–355. [Google Scholar] [CrossRef]
- Gupta, N.; Ravisankar, B.; Kumaran, S.; Rao, T.S. Densification of Al-2024 and Al-2024/Al2O3 powders by conventional P/M route and ECAP: A comparative study. Trans. Indian Inst. Met. 2012, 65, 381–386. [Google Scholar] [CrossRef]
- Akande, S.; Ajaiyeoba, O.E.; Azeez, T.M.; Ikumapayi, O.M.; Akinlabi, S.A.; Akinlabi, E.T. Investigating the precipitation hardening of 2024 aluminium alloy under different quenching media. Mater. Proc. 2022, 6, 4271–4274. [Google Scholar] [CrossRef]
- Al-Furjan, M.S.H.; Hajmohammad, M.H.; Shena, X.; Rajakd, D.K.; Kolahchi, R. Evaluation of tensile strength and elastic modulus of 7075-T6 aluminum alloy by adding SiC reinforcing particles using vortex casting method. J. Alloys Compd. 2021, 886, 161261. [Google Scholar] [CrossRef]
- ASM Handbook Committee. Properties and selection: Nonferrous alloys and special-purpose materials (Vol. 2). In Metals Handbook, 10th ed.; ASM International: Detroit, MI, USA, 1990. [Google Scholar] [CrossRef]
- Titanium 6AL-4V (Grade 5). Alloys International, Inc.: Bonkonkoma, NY, USA. Available online: https://alloysintl.com/titanium-alloys-supplier/titanium_6al-4v/ (accessed on 17 November 2024).
- Trofimov, E.A.; Lutfullin, R.A.; Kashaev, R.M. Elastic properties of the titanium alloy Ti-6Al-4V. Lett. Mater. 2015, 5, 67–69. [Google Scholar] [CrossRef]
- Benyelloul, K.; Aourag, H. Elastic constants of austenitic stainless steel: Investigation by the first-principles calculations and the artificial neural network approach. Comput. Mater. Sci. 2013, 67, 353–358. [Google Scholar] [CrossRef]
- Pugh, S.F. Relations between the elastic moduli and the plastic properties of polycrystalline pure metals. Lond. Edinb. Dublin Philos. J. Sci. 1954, 45, 823–843. [Google Scholar] [CrossRef]
- Fan, L.; Yang, T.; Zhao, Y.; Luan, J.; Zhou, G.; Wang, H.; Jiao, Z.; Liu, C.T. Ultrahigh strength and ductility in newly developed materials with coherent nanolamellar architectures. Nat. Commun. 2020, 11, 6240. [Google Scholar] [CrossRef] [PubMed]
- Bhat, B.N. Aerospace Materials and Applications; The American Institute of Aeronautics and Astronautics, Inc.: Reston, VA, USA, 2018. [Google Scholar] [CrossRef]
- Kausar, A. 1—Aeronautical composites and materials. In Polymeric Nanocomposites with Carbonaceous Nanofillers for Aerospace Applications; Woodhead Publishing Series in Composites Science and Engineering; Elsevier: Amsterdam, The Netherlands, 2023; pp. 1–21. [Google Scholar] [CrossRef]





| Materials | |||||
|---|---|---|---|---|---|
| SiC | 4.358 (4.357 [25]), (4.36 [26]) | 3221 (3215.89 [25]) (3210 [26]) | 385.4 (387.5 [25]) | 139.1 (139.3 [25]) | 238.8 (243.9 [25]) |
| Al-Si-C | 4.595 | 2941 | 244.6 | 124.8 | 69.9 |
| Mg-Si-C | 4.632 | 2934 | 238.0 | 90.6 | 20.0 |
| Al-Mg-Si-C | 4.614 | 2931 | 236.8 | 110.0 | 12.0 |
| Material | B (GPa) | G (GPa) | E (GPa) | |||
|---|---|---|---|---|---|---|
| SiC | 221.2 (222 [25,26]) | 183.1 (185.9 [25], 179 [26]) | 430.3 (435.9 [25], 437 [10]) | 0.176 (0.172 [25], 0.16 [26]) | 1.208 (1.194 [25]) | 30.77 (31.56 [25], 32 [26]) |
| Al-Si-C | 164.7 | 65.7 | 174.0 | 0.324 | 2.507 | 4.895 |
| Mg-Si-C | 139.7 | 34.9 | 96.3 | 0.386 | 4.010 | 0.145 |
| Al-Mg-Si-C | 152.3 | 25.2 | 71.2 | 0.422 | 6.052 | −1.394 |
| 2024 | 73 [33] | 33.0 [33] | 73 [34] | 0.333 [33] | ------ | 1.196 [35] |
| 7075 | 70.6 [36] | 26.9 [37] | 71.7 [37] | 0.33 [37] | ------ | 1.716 [37] |
| Ti-6Al-4V | 110 [38] | 41–45 [38] | 89.4–114.4 [39] | 0.33 [38] | ------ | 0.353 [38] |
| Stainless steel | 152.75–156.1 [40] | 77.16 [40] | 198.8 [40] | 0.2891 [40] | 2.03 [40] | 1.471–1.961 [40] |
Disclaimer/Publisher’s Note: The statements, opinions and data contained in all publications are solely those of the individual author(s) and contributor(s) and not of MDPI and/or the editor(s). MDPI and/or the editor(s) disclaim responsibility for any injury to people or property resulting from any ideas, methods, instructions or products referred to in the content. |
© 2024 by the authors. Licensee MDPI, Basel, Switzerland. This article is an open access article distributed under the terms and conditions of the Creative Commons Attribution (CC BY) license (https://creativecommons.org/licenses/by/4.0/).
Share and Cite
Alruqi, A.B.; Ongwen, N.O. Effect of Pressure on the Structural and Mechanical Properties of Cubic Silicon Carbide Reinforced with Aluminum and Magnesium. Aerospace 2024, 11, 1026. https://doi.org/10.3390/aerospace11121026
Alruqi AB, Ongwen NO. Effect of Pressure on the Structural and Mechanical Properties of Cubic Silicon Carbide Reinforced with Aluminum and Magnesium. Aerospace. 2024; 11(12):1026. https://doi.org/10.3390/aerospace11121026
Chicago/Turabian StyleAlruqi, Adel Bandar, and Nicholas O. Ongwen. 2024. "Effect of Pressure on the Structural and Mechanical Properties of Cubic Silicon Carbide Reinforced with Aluminum and Magnesium" Aerospace 11, no. 12: 1026. https://doi.org/10.3390/aerospace11121026
APA StyleAlruqi, A. B., & Ongwen, N. O. (2024). Effect of Pressure on the Structural and Mechanical Properties of Cubic Silicon Carbide Reinforced with Aluminum and Magnesium. Aerospace, 11(12), 1026. https://doi.org/10.3390/aerospace11121026

