Investigation of Flow Control in an Ultra-Compact Serpentine Inlet with Fluidic Oscillators
Abstract
1. Introduction
2. Numerical Methods
2.1. Model Introduction
2.2. Grid and Boundary Conditions
2.3. Numerical Method Verification
2.3.1. Grid Independence Verification
2.3.2. Numerical Simulation Method Verification
3. Research Scheme and Evaluation Parameters
3.1. Research Scheme
3.2. Evaluation Parameters
3.2.1. Total Pressure Recovery Coefficient
3.2.2. Steady-State Circumferential Distortion Index
3.2.3. Circumferential Total Pressure Distortion Coefficient
3.2.4. Mass Flow Rate Ratio
4. Results
4.1. Prototype Design
4.2. Effect of Actuator Parameters on Internal Flow Control
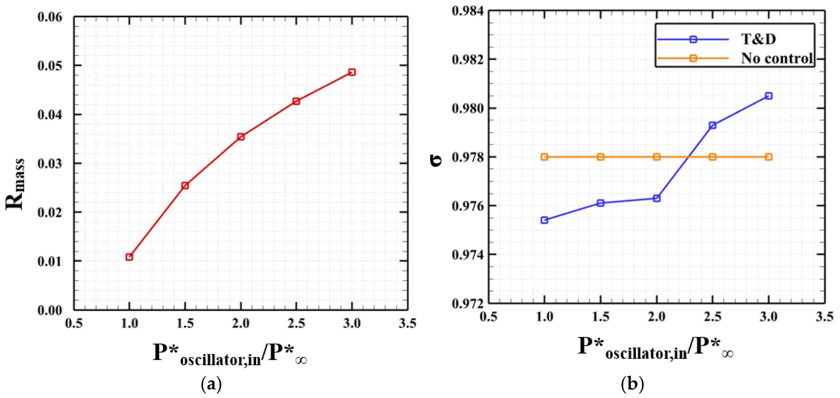
4.2.1. Effect of Excitation Pressure Variations on Flow Control
4.2.2. Effect of Excitation Position Variation on Flow Control
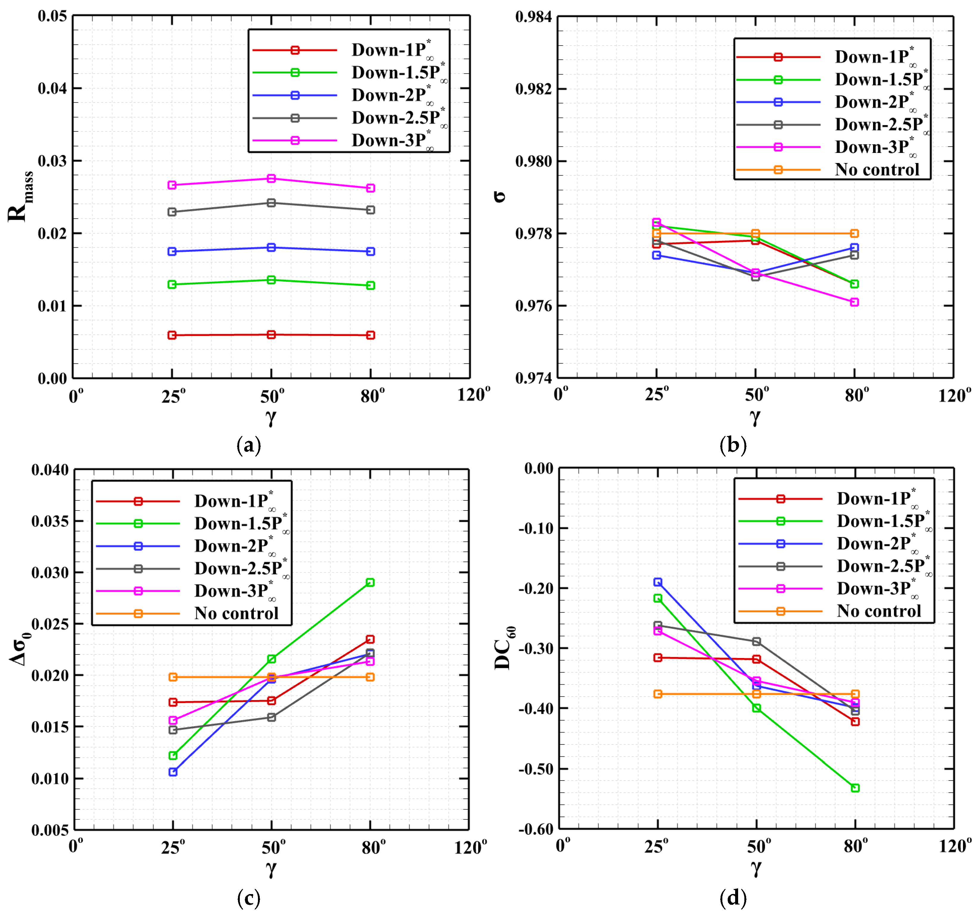
4.2.3. Effect of Different Jet Angles Variation on Flow Control
4.3. Flow Field Structure
4.3.1. Flow Field Structure of Upper Surface Flow Control
4.3.2. Flow Field Structure of Lower Surface Flow Control
4.3.3. Flow Field Structure of Upper Surface Flow Control on the Upper and Lower Surfaces
5. Conclusions and Outlook
Author Contributions
Funding
Data Availability Statement
Conflicts of Interest
References
- Seddon, J.; Goldsmith, E.L. Intake Aerodynamics. In AIAA Education Series; Reston: Englewood Cliffs, NJ, USA, 1985. [Google Scholar]
- Wallis, V.C.; Robert, B. Advanced Propulsion System Design and Integration for a Turbojet Powered Unmanned Aerial Vehicle. In Proceedings of the 41st Aerospace Sciences Meeting and Exhibit, Reno, NV, USA, 6–9 January 2003; p. 415. [Google Scholar]
- Delot, A.L.; Berens, T.M.; Tormalm, M.H. DES Computations for a Subsonic UAV Configuration with a Highly Integrated S-shaped Intake Duct. In Proceedings of the 52nd Aerospace Sciences Meeting, National Harbor, MD, USA, 13–17 January 2014; p. 0723. [Google Scholar]
- Wellborn, S.R.; Reichert, B.A.; Okiishi, T.H. An Experimental Investigation of the Flow in a Diffusing S-duct. In Proceedings of the 28th Joint Propulsion Conference and Exhibit, Nashville, TN, USA, 6–8 July 1992; p. 3622. [Google Scholar]
- Aref, P.; Jirasek, A.; Ghoreyshi, M.; Cummings, R.M.; Satchell, M.J. Computational design of S-duct intakes for the NATO AVT-251 multi-disciplinary configuration. In Proceedings of the 2018 Applied Aerodynamics Conference, Atlanta, GA, USA, 25–29 June 2018; p. 3164. [Google Scholar]
- Sun, S.; Guo, R.W. A Experimental Study on the Flow Field Characteristics and Control of a Dual S-Shaped Inlet. Chin. J. Aeronaut. 2006, 10–17. [Google Scholar] [CrossRef]
- Huang, H.X.; Sun, S. New Advances in Research on Subsonic S-bend Inlet. Propuls. Technol. 2020, 41, 2641–2658. [Google Scholar]
- Liu, X.B. Development Status and Application Prospect of the Active Flow Control Technology. Aerosp. Technol. 2023, 5, 54–62. [Google Scholar]
- Tormalm, M.H. Flow Control Using Vortex Generators or Micro-Jets Applied in a UCAV Intake. In Proceedings of the 52nd Aerospace Sciences Meeting, National Harbor, MD, USA, 13–17 January 2014; p. 0724. [Google Scholar]
- Lu, Y.R.; Wang, J.J. Review and prospect on the efficient synthetic jet. Adv. Mech. 2024, 54, 61–85. [Google Scholar]
- Zhang, X.B.; Li, J.F. Review and Prospect of Missile Plasma Synthetic Jet Flow Control Technology. Acta Armamentarii 2024, 45, 3356–3370. [Google Scholar]
- Amir, J.; Mahdi, N.; Man, H.Y. Numerical Study of the Effect of Geometric Scaling of a Fluidic Oscillator on the Heat Transfer and Frequency of Impinging Sweeping Jet. Appl. Therm. Eng. 2023, 221, 119848. [Google Scholar]
- Mobashera, A.; Kursat, K. The Influence of Exit Nozzle Geometry on Sweeping Jet Actuator Performance. Fluids 2022, 7, 69. [Google Scholar] [CrossRef]
- Ostermann, F.; Woszidlo, R.; Nayeri, C.N. Properties of a Sweeping Jet Emitted from a Fluidic Oscillator. J. Fluid Mech. 2018, 857, 216–238. [Google Scholar] [CrossRef]
- Tajik, A.R.; Kara, K.; Parezanović, V. Sensitivity of a Fluidic Oscillator to Modifications of Feedback Channel and Mixing Chamber Geometry. Exp. Fluids 2021, 62, 250. [Google Scholar] [CrossRef]
- Spens, A.; Brandt, P.J.; Bons, J.P. Characterization of Out-of-Plane Curved Fluidic Oscillators. AIAA J. 2024, 62, 1563–1573. [Google Scholar] [CrossRef]
- Spens, A.; Pisano, A.P.; Bons, J.P. Leading-Edge Active Flow Control Enabled by Curved Fluidic Oscillators. AIAA J. 2023, 61, 1675–1686. [Google Scholar] [CrossRef]
- Wang, S.Q. Fluid Oscillator: A Promising Unsteady Excitator. Aerosp. Power 2022, 01, 18–21. [Google Scholar]
- Sun, Q.X.; Wang, W.B.; Huang, Y. Key Factors Affecting the Separation Control Effect of Oscillating Jets. Acta Aerodyn. Sin. 2024, 42, 56–67. [Google Scholar]
- McFadden, E.J.; Brandt, P.J.; Bons, J.P. Swept-Wing Active Flow Control with a Streamwise Row of Vortex Generating Jets. AIAA J. 2023, 61, 1142–1150. [Google Scholar] [CrossRef]
- Chaudhary, A.; Poddar, K. Control of Flow Separation using Fluidic Oscillators on a NACA 0015 Aerofoil. In Proceedings of the AIAA Aviation and Aeronautics Forum and Exposition, San Diego, CA, USA, 12–16 June 2023; p. 3749. [Google Scholar]
- Men, T.; Dong, J.Z. The Application Research of Fluid Oscillators in Inlet Flow Control. Sci. Technol. Eng. 2013, 16, 1671–1815. [Google Scholar]
- Vukasinovic, B.; Burrows, T.J.; Glezer, A. Experimental and Numerical Investigation of Controlled Flow Distortion in a Subsonic Offset Diffuser by Trapped Vorticity. In Proceedings of the 55th AIAA Aerospace Sciences Meeting, Grapevine, TX, USA, 9–13 January 2017; p. 1454. [Google Scholar]
- Ma, Z.M. Research on the Mechanism and Methods for Distorted Flow Control in S-Shaped Inlet Based on Fluid Oscillators. Master’s Thesis, Nanjing University of Aeronautics and Astronautics, Nanjing, China, 2021. [Google Scholar]































| Parameter | Value |
|---|---|
| Diameter of the outlet (D) | 95 mm |
| Length-to-diameter ratio (L/D) | 2.3 |
| Offset ratio (H/D) | 0.66 |
| Law of the area variation | Acute in front and then slow |
| Shape of the central control section | Concave type |
| Area expansion ratio | 1.34 |
| Entrance shape | Rounded rectangle |
| Outlet shape | Circle |
| Result | Oscillation Frequency | Error Value |
|---|---|---|
| EXP | 147.1 | / |
| CFD | 138.8 | 5.64% |
| Parameter | Position | Oscillator Structure | Jet Angle (γ) | Pressure at the Oscillator Inlet | |
|---|---|---|---|---|---|
| Options | Upper, Lower | Straight | Curved | 20°, 25°, 50°, 80° | 1.0 P*∞, 1.5 P*∞, 2.0 P*∞, 2.5 P*∞, 3.0 P*∞ |
| Parameter | Position | Oscillator Structure | Jet Angle (γ) | Pressure at the Oscillator Inlet | |
|---|---|---|---|---|---|
| Scheme Number | |||||
| 01-02-03-04-05 | Upper | Straight | 20° | (1.0-1.5-2.0-2.5-3.0) P*∞ | |
| 06-07-08-09-10 | Upper | Straight | 50° | (1.0-1.5-2.0-2.5-3.0) P*∞ | |
| 11-12-13-14-15 | Upper | Straight | 80° | (1.0-1.5-2.0-2.5-3.0) P*∞ | |
| 16-17-18-19-20 | Upper | Curved | — | (1.0-1.5-2.0-2.5-3.0) P*∞ | |
| 21-22-23-24-25 | Lower | Straight | 25° | (1.0-1.5-2.0-2.5-3.0) P*∞ | |
| 26-27-28-29-30 | Lower | Straight | 50° | (1.0-1.5-2.0-2.5-3.0) P*∞ | |
| 31-32-33-34-35 | Lower | Straight | 80° | (1.0-1.5-2.0-2.5-3.0) P*∞ | |
| Position | Oscillator Structure | Jet Angle (γ) | Input Pressure | σ | Rmass | Δσ0 | DC60 |
|---|---|---|---|---|---|---|---|
| Prototype | / | / | / | 0.9779 | / | 1.9042% | −0.3476 |
| Upper | Straight | 20° | 1.0 P*∞ | 0.9758 | 0.571% | 1.63% | −0.3040 |
| 1.5 P*∞ | 0.9769 | 1.282% | 1.52% | −0.2739 | |||
| 2.0 P*∞ | 0.978 | 1.690% | 2.34% | −0.4180 | |||
| 2.5 P*∞ | 0.9792 | 2.148% | 4.08% | −0.7135 | |||
| 3.0 P*∞ | 0.9795 | 2.450% | 4.13% | −0.7195 | |||
| 50° | 1.0 P*∞ | 0.9759 | 0.574% | 1.5367% | −0.2851 | ||
| 1.5 P*∞ | 0.9765 | 1.280% | 1.9717% | −0.3505 | |||
| 2.0 P*∞ | 0.9775 | 1.740% | 2.5943% | −0.4625 | |||
| 2.5 P*∞ | 0.9776 | 2.100% | 3.1282% | −0.5514 | |||
| 3.0 P*∞ | 0.979 | 2.570% | 3.9615% | −0.6869 | |||
| 80° | 1.0 P*∞ | 0.9753 | 0.600% | 1.9245% | −0.3573 | ||
| 1.5 P*∞ | 0.9754 | 1.300% | 2.3606% | −0.4325 | |||
| 2.0 P*∞ | 0.9758 | 1.770% | 1.7661% | −0.3254 | |||
| 2.5 P*∞ | 0.9747 | 2.200% | 1.4963% | −0.2760 | |||
| 3.0 P*∞ | 0.9748 | 2.700% | 1.4378% | −0.2653 | |||
| Curved | / | 1.0 P*∞ | 0.9774 | 0.600% | 3.4000% | −0.5971 | |
| 1.5 P*∞ | 0.9781 | 1.400% | 4.2410% | −0.7404 | |||
| 2.0 P*∞ | 0.9791 | 1.900% | 4.4768% | −0.7673 | |||
| 2.5 P*∞ | 0.9811 | 2.480% | 5.0537% | −0.8525 | |||
| 3.0 P*∞ | 0.9813 | 2.700% | 4.9037% | −0.8331 | |||
| Lower | Straight | 25° | 1.0 P*∞ | 0.9777 | 0.593% | 1.7370% | −0.3156 |
| 1.5 P*∞ | 0.9782 | 1.294% | 1.2165% | −0.2170 | |||
| 2.0 P*∞ | 0.9774 | 1.748% | 1.0642% | −0.1896 | |||
| 2.5 P*∞ | 0.9778 | 2.290% | 1.4664% | −0.2621 | |||
| 3.0 P*∞ | 0.9783 | 2.660% | 1.5621% | −0.2715 | |||
| 50° | 1.0 P*∞ | 0.9778 | 0.600% | 1.7502% | −0.3184 | ||
| 1.5 P*∞ | 0.9779 | 1.356% | 2.1584% | −0.4011 | |||
| 2.0 P*∞ | 0.9769 | 1.805% | 1.9644% | −0.3628 | |||
| 2.5 P*∞ | 0.9768 | 2.420% | 1.5892% | −0.2891 | |||
| 3.0 P*∞ | 0.9769 | 2.755% | 1.9779% | −0.3542 | |||
| 80° | 1.0 P*∞ | 0.9766 | 0.593% | 2.3480% | −0.4224 | ||
| 1.5 P*∞ | 0.9766 | 1.280% | 2.9016% | −0.5318 | |||
| 2.0 P*∞ | 0.9776 | 1.748% | 2.2070% | −0.3985 | |||
| 2.5 P*∞ | 0.9774 | 2.320% | 2.2177% | −0.4049 | |||
| 3.0 P*∞ | 0.9761 | 2.622% | 2.1328% | −0.3906 |
Disclaimer/Publisher’s Note: The statements, opinions and data contained in all publications are solely those of the individual author(s) and contributor(s) and not of MDPI and/or the editor(s). MDPI and/or the editor(s) disclaim responsibility for any injury to people or property resulting from any ideas, methods, instructions or products referred to in the content. |
© 2024 by the authors. Licensee MDPI, Basel, Switzerland. This article is an open access article distributed under the terms and conditions of the Creative Commons Attribution (CC BY) license (https://creativecommons.org/licenses/by/4.0/).
Share and Cite
Liu, L.; Bai, M.; Wang, Z.; Lin, Z.; Wang, K.; Tan, H.; Wang, Z. Investigation of Flow Control in an Ultra-Compact Serpentine Inlet with Fluidic Oscillators. Aerospace 2024, 11, 1011. https://doi.org/10.3390/aerospace11121011
Liu L, Bai M, Wang Z, Lin Z, Wang K, Tan H, Wang Z. Investigation of Flow Control in an Ultra-Compact Serpentine Inlet with Fluidic Oscillators. Aerospace. 2024; 11(12):1011. https://doi.org/10.3390/aerospace11121011
Chicago/Turabian StyleLiu, Lei, Maolong Bai, Zhihao Wang, Zhengkang Lin, Kun Wang, Huijun Tan, and Ziyun Wang. 2024. "Investigation of Flow Control in an Ultra-Compact Serpentine Inlet with Fluidic Oscillators" Aerospace 11, no. 12: 1011. https://doi.org/10.3390/aerospace11121011
APA StyleLiu, L., Bai, M., Wang, Z., Lin, Z., Wang, K., Tan, H., & Wang, Z. (2024). Investigation of Flow Control in an Ultra-Compact Serpentine Inlet with Fluidic Oscillators. Aerospace, 11(12), 1011. https://doi.org/10.3390/aerospace11121011

