Energy Absorption Behavior of Elastomeric Matrix Composites Reinforced with Hollow Glass Microspheres
Abstract
1. Introduction
2. Experimental Approach
2.1. Materials
2.2. Manufacturing
2.3. Testing
2.4. Metrics for Energy Absorption
3. Results and Discussion
3.1. Qualitative Results
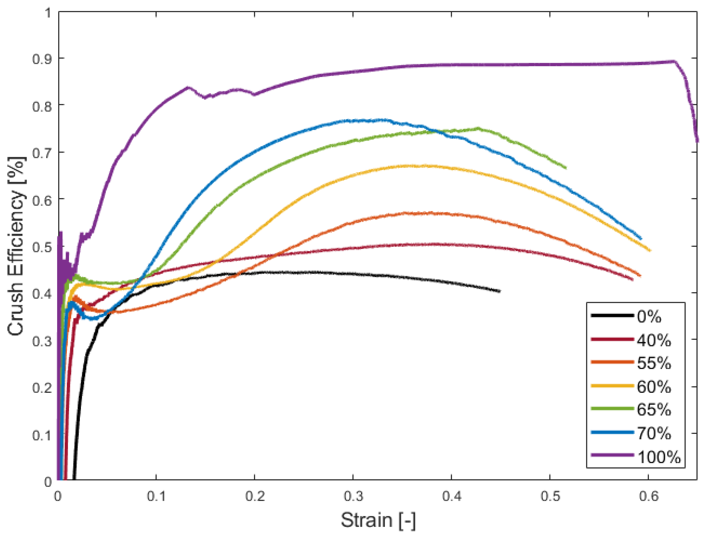
3.2. Mechanical Characteristics
3.3. Analysis of Composite Modulus
- Particles are cubic in shape.
- Distribution of matrix volume to each particle is also cubic.
- Particles are uniformly distributed.
- Both matrix material and particles are elastic, isotropic, and homogeneous.
- The particle volume fraction is small enough that particle interactions can be ignored.
- The applied deformation is small, so linearity is maintained.
- The strains do not vary when components are in parallel.
- The stresses do not vary when components are connected in series.
3.4. Discussion Summary
4. Conclusions
Author Contributions
Funding
Data Availability Statement
Conflicts of Interest
Abbreviations
| Acronyms | |
| CE | Crush efficiency |
| EA | Energy absorber |
| EAE | Energy absorbed efficiency |
| HGM | Hollow glass microsphere |
| MTS | Materials Test System |
| PU | Polyurethane |
| RVE | Representative Volume Element |
| SEM | Scanning electron microscope |
| Notation | |
| Elastic modulus of composite | |
| Elastic modulus of matrix | |
| Elastic modulus of particle | |
| Strain | |
| Densification strain | |
| Crush efficiency | |
| Energy absorbed efficiency | |
| Stress | |
| Mean crush stress | |
| U() | Energy absorbed |
| Volume fraction | |
| vol% | Volume fraction |
References
- Al-Gemeel, A.; Zhuge, Y.; Youssf, O. Use of hollow glass microspheres and hybrid fibres to improve the mechanical properties of engineered cementitious composite. Constr. Build. Mater. 2018, 171, 858–870. [Google Scholar] [CrossRef]
- Park, J.; Howard, J.; Edery, A.; DeMay, M.; Wereley, N. Bilayer glass foam with tunable energy absorbing property by localizing voids density. Adv. Eng. Mater. 2021, 29, 2100105. [Google Scholar] [CrossRef]
- Shu, X.; Xi, H.; Wang, X.; Huang, S.; Wang, B. Preparation and energy absorption of flexible polyurethane foam with hollow glass microsphere. J. Cell. Plast. 2024, 60, 201–219. [Google Scholar] [CrossRef]
- Gupta, N.; Zeltmann, S.E.; Shunmugasamy, V.C.; Pinisetty, D. Applications of polymer matrix syntactic foams. JOM 2014, 66, 245–254. [Google Scholar] [CrossRef]
- Ding, J.; Ye, F.; Liu, Q.; Yang, C.; Gao, Y.; Zhang, B. Co-continuous hollow glass microspheres/epoxy resin syntactic foam prepared by vacuum resin transfer molding. J. Reinf. Plast. Compos. 2019, 38, 896–909. [Google Scholar] [CrossRef]
- Bolat, Ç.; Akgün, İ.C.; Göksenli, A. On the way to real applications: Aluminum matrix syntactic foams. Eur. Mech. Sci. 2020, 4, 131–141. [Google Scholar] [CrossRef]
- Ozer, H.; Can, Y.; Guclu, H.; Karen, I.; Yazici, M. Development of lightweight bumper beam and crashbox with thermoplastic composite and syntactic foam based sandwich materials. Automot. Technol. Conf. (Otekon) 2016, 565–570, Bursa, Turkey, 23-24 May. [Google Scholar]
- Swetha, C.; Kumar, R. Quasi-static uni-axial compression behaviour of hollow glass microspheres/epoxy based syntactic foams. Mater. Des. 2011, 32, 4152–4163. [Google Scholar] [CrossRef]
- Ding, J.; Liu, Q.; Ye, F.; Zhang, H.; Gao, Y.; Zhang, B. Compressive properties of co-continuous hollow glass microsphere/epoxy resin syntactic foams prepared using resin transfer molding. J. Reinf. Plast. Compos. 2020, 39, 132–143. [Google Scholar] [CrossRef]
- Mei, Y.; Fu, C.; Fu, Y.; Wang, E.; Yang, Q.; Ding, Y. Effect of particle size and distribution of hollow spheres on the compressive behavior of aluminum matrix syntactic foams. J. Mater. Res. 2023, 38, 4408–4419. [Google Scholar] [CrossRef]
- Buddhacosa, N.; Khatibi, A.; Das, R.; Giustozzi, F.; Galos, J.; Kandare, E. Crush behaviour and vibration damping properties of syntactic foam incorporating waste tyre-derived crumb rubber. J. Mater. Res. Technol. 2023, 26, 3214. [Google Scholar] [CrossRef]
- Fu, Z.; Zhang, W.; Zhao, T.; Wang, Y.; Duan, L.; Liu, H. Constitutive modeling and simulation of polyethylene foam under quasi-static and impact loading. J. Cell. Plast. 2024, 60, 59–78. [Google Scholar] [CrossRef]
- Gibson, L.J.; Ashby, M.F. Cellular Solids, 2nd ed.; Cambridge University Press: Cambridge, UK, 1997. [Google Scholar]
- Alteneiji, M.; Krishnan, K.; GUan, Z.; Cantwell, W.; Zhao, Y.; Langdon, G. Dynamic response of aluminium matrix syntactic foams subjected to high strain-rate loading. Compos. Struct. 2023, 303, 116289. [Google Scholar] [CrossRef]
- Farley, G.L. Energy Absorption of Composite Materials. J. Compos. Mater. 1983, 17, 267–279. [Google Scholar] [CrossRef]
- Desjardins, S.P. The evolution of energy absorption systems for crashworthy helicopter seats. J. Am. Helicopter Soc. 2006, 51, 150–163. [Google Scholar] [CrossRef]
- Wereley, N.; Park, J.; Howard, J.; DeMay, M.; Edery, A. Tailorable energy absorbing cellular materials via sintering of dry powder printed hollow glass microspheres. SAMPE J. 2024, 60, 42–51. [Google Scholar] [CrossRef]
- Park, J.; Howard, J.; Edery, A.; Demay, M.; Wereley, N. Tunable energy absorbing property of bilayer amorphous glass foam via dry powder printing. Materials 2022, 15, 9080. [Google Scholar] [CrossRef] [PubMed]
- Ghosh, D.; Wiest, A.; Conner, R. Uniaxial quasistatic and dynamic compressive response of foams made from hollow glass microspheres. J. Eur. Ceram. Soc. 2016, 36, 781–789. [Google Scholar] [CrossRef]
- Ren, S.; Hu, X.; Ren, H.; Wang, M.; Guo, A.; Liu, J.; Du, H.; Xian, L. Development of a buoyancy material of hollow glass microspheres/SiO2 for high-temperature applications. J. Alloys Compd. 2017, 721, 213–219. [Google Scholar] [CrossRef]
- Yazici, M.; Fahr, P.; Shukla, A.; Gunes, S.; Akay, S. Development of a polymer based syntactic foam for high temperature applications. Acta Phys. Pol. Ser. A 2014, 125, 526–528. [Google Scholar] [CrossRef]
- Yu, Q.; Zhao, Y.; Dong, A.; Li, Y. Mechanical properties of EPS filled syntactic foams prepared by VARTM. Compos. Part B Eng. 2018, 136, 126–134. [Google Scholar] [CrossRef]
- Rohatgi, P.K.; Gupta, N.; Schultz, B.F.; Luong, D.D. The synthesis, compressive properties, and applications of metal matrix syntactic foams. JOM 2011, 63, 36–42. [Google Scholar] [CrossRef]
- Baumeister, E.; Klaeger, S. Advanced new lightweight materials: Hollow-sphere composites (HSCs) for mechanical engineering applications. Adv. Eng. Mater. 2003, 5, 673–677. [Google Scholar] [CrossRef]
- Afolabi, O.; Mohan, T.; Kanny, K. Processing of low-density HGM-filled epoxy-syntactic foam composites with high specific properties for marine applications. Materials 2023, 16. [Google Scholar] [CrossRef]
- Zhang, X.; Wang, P.; Zhou, Y.; Li, Z.; Yang, E.; Yu, T.; Yang, J. The effect of strain rate and filler volume fraction on the mechanical properties of hollow glass microsphere modified polymer. Compos. Part B Eng. 2016, 101, 53–63. [Google Scholar] [CrossRef]
- Gao, Y.; Ying, L.; Fan, Z.; Wei, Y. The failure behavior of syntactic foams as buoyancy materials for deepsea applications. Eur. J. Mech.-A/Solids 2024, 105, 105256. [Google Scholar] [CrossRef]
- Hobaica, E.; Cook, S. The characteristics of syntactic foams used for buoyancy. J. Cell. Plast. 1968, 4, 143–148. [Google Scholar] [CrossRef]
- Kim, H.; Plubrai, P. Manufacturing and failure mechanisms of syntactic foam under compression. Compos. Part A Appl. Sci. Manuf. 2004, 35, 1009–1015. [Google Scholar] [CrossRef]
- Wu, X.; Gao, Y.; Wang, Y.; Fan, R.; Ali, Z.; Yu, J.; Yang, K.; Sun, K.; Li, X.; Lei, Y.; et al. Recent developments on epoxy-based syntactic foams for deep sea exploration. J. Mater. Sci. 2020, 56, 2037–2076. [Google Scholar] [CrossRef]
- Mizera, K.; Chrzaszcz, M.; Ryszkowska, J. Thermal and mechanical properties of ureaurethane elastomer composites with hollow glass spheres. Polym. Compos. 2018, 39, 2019–2028. [Google Scholar] [CrossRef]
- Im, H.; Roh, S.C.; Kim, C.K. Fabrication of novel polyurethane elastomer composites containing hollow glass microspheres and their underwater applications. Ind. Eng. Chem. Res. 2011, 50, 7305–7312. [Google Scholar] [CrossRef]
- Upadhyay, A.; Ullas, A. Compressive properties of poly (Dimethylsiloxane)–hollow glass microballoons syntactic foams. Cell. Polym. 2022, 41, 243–251. [Google Scholar] [CrossRef]
- ASTM D695-15; Standard Test Method for Compressive Properties of Rigid Plastics. ASTM International: West Conshohocken, PA, USA, 2023.
- ISO-604; Plastics—Determination of Compressive Properties. International Organization for Standardization (ISO): Geneva, Switzerland, 2002.
- Gupta, N.; Ricci, W. Comparison of compressive properties of layered syntactic foams having gradient in microballoon volume fraction and wall thickness. Mater. Sci. Eng. A 2006, 427, 331–342. [Google Scholar] [CrossRef]
- Li, Q.; Magkiriadis, I.; Harrigan, J.J. Compressive strain at the onset of densification of cellular solids. J. Cell. Plast. 2006, 42, 371–392. [Google Scholar] [CrossRef]
- Avalle, M.; Belingardi, G.; Montanini, R. Characterization of polymeric structural foams under compressive impact loading by means of energy-absorption diagram. Int. J. Impact Eng. 2001, 25, 455–472. [Google Scholar] [CrossRef]
- Murray, C.M.; Mao, M.; Park, J.; Howard, J.; Wereley, N.M. Visco-elastic honeycomb structures with increased energy absorption and shape recovery performance using buckling initiators. Polymers 2023, 15, 3350. [Google Scholar] [CrossRef]
- Murray, C.; Wise, S.; Wereley, N. Electroplating additively manufactured honeycomb structures to increase energy absorption under quasi-static crush. SAMPE J. 2024, 60, 38–45. [Google Scholar] [CrossRef]
- Santiso, E.; Müller, E.A. Dense packing of binary and polydisperse hard spheres. Mol. Phys. 2002, 100, 2461–2469. [Google Scholar] [CrossRef]
- Bourkas, G.; Prassianakis, I. Kytopoulos, V.; Sideridis, E.; Younis, C. Estimation of elastic moduli of particulate composites by new models and comparison with moduli measured by tension, dynamic, and ultrasonic tests. Adv. Mater. Sci. Eng. 2010, 2010, 891824. [Google Scholar] [CrossRef]
- Moss, S.; Beckage, M. Vehicle crash test data acquisition—a review of requirements, technologies and standards. SAE Technical Paper 2009-01-0054, SAE International: Warrendale, PA, USA, 2009. [Google Scholar] [CrossRef]













| HGM Volume Fraction [%] | Density [g/cc] | Peak Crush Efficiency [%] | Peak EA Efficiency [%] | Densification Strain [- ] | Mean Crush Stress [MPa] |
|---|---|---|---|---|---|
| 0 | 1.00 ± 0.00 | 44.70 ± 1.36 | - | - | 0.49 ± 0.09 |
| 40 | 0.76 ± 0.00 | 51.33 ± 3.18 | - | - | 1.04 ± 0.10 |
| 55 | 0.64 ± 0.01 | 57.45 ± 4.41 | 26.54 ± 2.45 | 0.54 ± 0.02 | 1.35± 0.09 |
| 60 | 0.62 ± 0.01 | 67.45 ± 2.55 | 30.80 ± 3.15 | 0.54 ± 0.02 | 1.15± 0.17 |
| 65 | 0.65 ± 0.01 | 76.38 ± 5.44 | 34.63 ± 4.24 | 0.52 ± 0.02 | 1.09 ± 0.11 |
| 70 | 0.51 ± 0.00 | 77.44 ± 1.14 | 32.43 ± 1.24 | 0.52 ± 0.01 | 0.97 ± 0.10 |
| 100 | 0.37 | 89.26 | 55.96 | 0.63 | 1.85 |
Disclaimer/Publisher’s Note: The statements, opinions and data contained in all publications are solely those of the individual author(s) and contributor(s) and not of MDPI and/or the editor(s). MDPI and/or the editor(s) disclaim responsibility for any injury to people or property resulting from any ideas, methods, instructions or products referred to in the content. |
© 2024 by the authors. Licensee MDPI, Basel, Switzerland. This article is an open access article distributed under the terms and conditions of the Creative Commons Attribution (CC BY) license (https://creativecommons.org/licenses/by/4.0/).
Share and Cite
Schumacher, G.; Murray, C.M.; Park, J.; Wereley, N.M. Energy Absorption Behavior of Elastomeric Matrix Composites Reinforced with Hollow Glass Microspheres. Aerospace 2024, 11, 1012. https://doi.org/10.3390/aerospace11121012
Schumacher G, Murray CM, Park J, Wereley NM. Energy Absorption Behavior of Elastomeric Matrix Composites Reinforced with Hollow Glass Microspheres. Aerospace. 2024; 11(12):1012. https://doi.org/10.3390/aerospace11121012
Chicago/Turabian StyleSchumacher, Gabrielle, Colleen M. Murray, Jungjin Park, and Norman M. Wereley. 2024. "Energy Absorption Behavior of Elastomeric Matrix Composites Reinforced with Hollow Glass Microspheres" Aerospace 11, no. 12: 1012. https://doi.org/10.3390/aerospace11121012
APA StyleSchumacher, G., Murray, C. M., Park, J., & Wereley, N. M. (2024). Energy Absorption Behavior of Elastomeric Matrix Composites Reinforced with Hollow Glass Microspheres. Aerospace, 11(12), 1012. https://doi.org/10.3390/aerospace11121012

