Modeling and Performance Analysis of Solid Oxide Fuel Cell Power Generation System for Hypersonic Vehicles
Abstract
1. Introduction
2. System Description
3. Mathematical Models
- (1)
- The FCPS is in a stable operating condition.
- (2)
- The air consists of 79% N2 and 21% O2.
- (3)
- The reforming reaction is in a chemical equilibrium state.
- (4)
- All system components are considered to be adiabatic.
- (5)
- Only the H2 electrochemical reaction occurs at the SOFC anode.
- (6)
- The SOFC anode and cathode outlet temperatures are equal to the SOFC operating temperature.
- (7)
- The fuel is assumed as methane (CH4).
- (8)
- The electrochemical properties of each single cell in the stack are identical.
3.1. Component Models
3.1.1. SOFC Model
3.1.2. Reformer Model
3.1.3. Heat Exchanger Model
3.1.4. Blower Model
3.2. Performance Analysis Model
3.2.1. Weight Model
3.2.2. Exergy Analysis Model
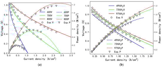
3.3. Model Validation
3.4. Solution Method
4. Results and Discussion
4.1. Effect of Key Parameters on FCPS Performance
4.1.1. Effect of Fuel Utilization on FCPS Performance
4.1.2. Effect of Current Density on FCPS Performance
4.1.3. Effect of SOFC Operating Temperature on FCPS Performance
4.1.4. Effect of SCR on FCPS Performance
4.1.5. Effect of OCR on FCPS Performance
4.2. The Performance of the FCPS under the Design Conditions
4.3. Weight Analysis
4.4. Exergy Analysis
5. Conclusions
- (1)
- The electrical efficiency of the FCPS increases with the fuel utilization, decreases with a rising current density and SCR, and initially increases before declining with an increasing fuel cell operating temperature. The power density of the FCPS initially increases with the fuel utilization, then decreases as the fuel utilization continues to rise. Additionally, the power density increases with a higher current density and initially rises with an increasing fuel cell operating temperature, before experiencing a slight decrease. Conversely, the power density decreases with an increasing SCR. The key parameters demonstrate inconsistent patterns of influence on the electrical efficiency and power density of the FCPS. Therefore, there is an optimal matching of the performance parameters of the FCPS for different application purposes.
- (2)
- Under the design conditions, the FCPS operates with a power output of 48.08 kW, an electrical efficiency of 51.77%, and a stabilized operating voltage of 0.85 V. In addition, the anode recirculation rate for the SOFC is 54.01%, which indicates that the anode recirculation technique is effective in providing the necessary steam to the power generation system. Furthermore, the performance of the reformer is commendable, exhibiting a hydrogen selectivity of 93.50%.
- (3)
- The weight analysis of the FCPS shows that the system power density reaches 0.62 kW/kg. The energy density of the system is 1.24 kWh/kg for 2 h of stable operation. This performance index is superior to most existing airborne power generation systems. The SOFC weight accounted for 69.6%, and improving the SOFC power density is a key technology for the FCPS. Through the exergy analysis of the FCPS, it is found that the exergy efficiency of the system is 55.86%. The component with the largest exergy loss is the SOFC, followed by the reformer. Consequently, enhancing the performance of both the SOFC and the reformer is essential for the FCPS to attain higher efficiency.
Author Contributions
Funding
Data Availability Statement
Conflicts of Interest
Nomenclature
| Symbols | Subscripts | ||
| Average current density, A/m2 | act | Activation | |
| Pressure, pa | con | Concentration | |
| Area, m2 | ohm | Ohmic | |
| Molar fraction | an | Anode | |
| Molar flow, mol/s | ca | Cathode | |
| Current, A | cell | Fuel cell | |
| Temperature, K | moto | Motor | |
| Entropy increase, J/(mol·K) | in | Inlet | |
| Enthalpy, J/mol | out | Outlet | |
| Specific heat capacity, J/(mol·K) | TPB | Three-phase boundary | |
| Power, kW | bulk | SOFC main part | |
| Standard chemical exergy, J/mol | refo | Reformer | |
| Gas constant, J/(mol·K) | HX | Heat exchanger | |
| Chemical equilibrium constant | |||
| Faraday constant, 96485 C/mol | Abbreviation | ||
| SOFC | Solid oxide fuel cell | ||
| Greek | APU | Auxiliary power unit | |
| Polarization loss | RC | Rankine cycle | |
| Resistivity, Ω·m | BC | Brayton cycle | |
| Thickness, m | MHD | Magnetohydrodynamic | |
| Pressure ratio | GT | Gas turbine | |
| Pressure recovery coefficient | FCPS | Fuel cell power system | |
| Average current density, A/m2 | LHV | Low heating value |
References
- Liu, S.; Yan, B.; Zhang, X.; Liu, W.; Yan, J. Fractional-Order Sliding Mode Guidance Law for Intercepting Hypersonic Vehicles. Aerospace 2022, 9, 53. [Google Scholar] [CrossRef]
- Zhang, B.; Liang, Y.; Rao, S.; Kuang, Y.; Zhu, W. RBFNN-Based Anti-Input Saturation Control for Hypersonic Vehicles. Aerospace 2024, 11, 108. [Google Scholar] [CrossRef]
- Dang, C.; Cheng, K.; Fan, J.; Wang, Y.; Qin, J.; Liu, G. Performance Analysis of Fuel Vapor Turbine and Closed-Brayton-Cycle Combined Power Generation System for Hypersonic Vehicles. Energy 2023, 266, 126426. [Google Scholar] [CrossRef]
- Li, X.; Wang, Z. Exergy Analysis of Integrated TEG and Regenerative Cooling System for Power Generation from the Scramjet Cooling Heat. Aerosp. Sci. Technol. 2017, 66, 12–19. [Google Scholar] [CrossRef]
- Zhang, D.; Qin, J.; Feng, Y.; Ren, F.; Bao, W. Performance Evaluation of Power Generation System with Fuel Vapor Turbine Onboard Hydrocarbon Fueled Scramjets. Energy 2014, 77, 732–741. [Google Scholar] [CrossRef]
- Sforza, P. Electric Power Generation Onboard Hypersonic Aircraft. In Proceedings of the 45th AIAA/ASME/SAE/ASEE Joint Propulsion Conference & Exhibit, Denver, CO, USA, 2 August 2009. [Google Scholar]
- Cheng, K.; Qin, J.; Dang, C.; Lv, C.; Zhang, S.; Bao, W. Thermodynamic Analysis for High-Power Electricity Generation Systems Based on Closed-Brayton-Cycle with Finite Cold Source on Hypersonic Vehicles. Int. J. Hydrogen Energy 2018, 43, 14762–14774. [Google Scholar] [CrossRef]
- Siebel, T.; Zanger, J.; Huber, A.; Aigner, M. Experimental Investigation of Cycle Properties, Noise, and Air Pollutant Emissions of an APS3200 Auxiliary Power Unit. J. Eng. Gas Turbines Power 2018, 140, 061201. [Google Scholar] [CrossRef]
- Saad, M.M.; Mohd, S.B.; Zulkafli, M.F. A Survey on the Use of Ram Air Turbine in Aircraft. In Proceedings of the 7th International Conference on Mechanical and Manufacturing Engineering, Jogjakarta, Indonesia, 21 April 2017. [Google Scholar]
- Qi, Y.; Ma, X.; Jiang, P.; Zhu, Y. Review on Heat-to-Power Conversion Technologies for Hypersonic Vehicles. Chin. J. Aeronaut. 2023, 37, 148–179. [Google Scholar] [CrossRef]
- Cheng, K.; Qin, J.; Sun, H.; Dang, C.; Zhang, S.; Liu, X.; Bao, W. Performance Assessment of an Integrated Power Generation and Refrigeration System on Hypersonic Vehicles. Aerosp. Sci. Technol. 2019, 89, 192–203. [Google Scholar] [CrossRef]
- Dang, C.; Cheng, K.; Xu, J.; Fan, J.; Qin, J.; Liu, G. Performance Analysis of a Thermal Management System Based on Hydrocarbon-Fuel Regenerative Cooling Technology for Scramjets. Energy 2023, 285, 128720. [Google Scholar] [CrossRef]
- Bao, W.; Qin, J.; Zhou, W. Heat Transfer Characteristic Modelling and the Effect of Operating Conditions on Re-Cooled Cycle for a Scramjet. Aeronaut. J. 2011, 115, 83–90. [Google Scholar] [CrossRef]
- Cheng, K.; Wang, Y.; Xu, J.; Qin, J.; Jing, W. A Novel Liquid Metal MHD Enhanced Closed-Brayton-Cycle Power Generation System for Hypersonic Vehicles: Thermodynamic Analysis and Performance Evaluation with Finite Cold Source. Energy Convers. Manag. 2022, 268, 116068. [Google Scholar] [CrossRef]
- Bao, W.; Qin, J.; Zhou, W.; Zhang, D.; Yu, D. Power Generation and Heat Sink Improvement Characteristics of Recooling Cycle for Thermal Cracked Hydrocarbon Fueled Scramjet. Sci. China Technol. Sci. 2011, 54, 955–963. [Google Scholar] [CrossRef]
- Bao, W.; Li, X.; Qin, J.; Zhou, W.; Yu, D. Efficient Utilization of Heat Sink of Hydrocarbon Fuel for Regeneratively Cooled Scramjet. Appl. Therm. Eng. 2012, 33, 208–218. [Google Scholar] [CrossRef]
- Liang, Y.; Guo, Z.; Luo, X.; Chen, J.; Yang, Z.; He, J.; Chen, Y. An Adaptive CO2 Brayton-Rankine Power Cycle for Efficient Utilization of Low Environment Temperature: A Thermodynamic Analysis and Optimization Study. J. Clean. Prod. 2024, 435, 140547. [Google Scholar] [CrossRef]
- Cheng, K.; Qin, J.; Sun, H.; Dang, C.; Zhang, S.; Liu, X.; Bao, W. Performance Assessment of a Closed-Recuperative-Brayton-Cycle Based Integrated System for Power Generation and Engine Cooling of Hypersonic Vehicle. Aerosp. Sci. Technol. 2019, 87, 278–288. [Google Scholar] [CrossRef]
- Guo, J.-Q.; Li, M.-J.; He, Y.-L.; Jiang, T.; Ma, T.; Xu, J.-L.; Cao, F. A Systematic Review of Supercritical Carbon Dioxide (S-CO2) Power Cycle for Energy Industries: Technologies, Key Issues, and Potential Prospects. Energy Convers. Manag. 2022, 258, 115437. [Google Scholar] [CrossRef]
- Miao, H.; Wang, Z.; Niu, Y. Performance Analysis of Cooling System Based on Improved Supercritical CO2 Brayton Cycle for Scramjet. Appl. Therm. Eng. 2020, 167, 114774. [Google Scholar] [CrossRef]
- Cheng, K.; Feng, Y.; Lv, C.; Zhang, S.; Qin, J.; Bao, W. Performance Evaluation of Waste Heat Recovery Systems Based on Semiconductor Thermoelectric Generators for Hypersonic Vehicles. Energies 2017, 10, 570. [Google Scholar] [CrossRef]
- Cheng, K.; Qin, J.; Jiang, Y.; Lv, C.; Zhang, S.; Bao, W. Performance Assessment of Multi-Stage Thermoelectric Generators on Hypersonic Vehicles at a Large Temperature Difference. Appl. Therm. Eng. 2018, 130, 1598–1609. [Google Scholar] [CrossRef]
- Harada, N.; Kikuchi, T.; Lineberry, J.T. Numerical Simulation for Hypersonic Vehicle On-Board Magnetohydrodynamic Power Generation. In Proceedings of the 2008 IEEE 2nd International Power and Energy Conference, Johor Bahru, Malaysia, 1–3 December 2008. [Google Scholar]
- Twi-Yeboah, N.; Osei, D.; Danquah, M.K. Advances in Solar-Derived Chemical Fuel Systems. Energies 2023, 16, 2864. [Google Scholar] [CrossRef]
- Chen, S.; Zhang, H.; Yao, C.; Lou, H.; Chen, M.; Lang, X.; Cai, K. Review of SOFC Cathode Performance Enhancement by Surface Modifications: Recent Advances and Future Directions. Energy Fuels 2023, 37, 3470–3487. [Google Scholar] [CrossRef]
- Litherland, B.L.; Borer, N.K.; Geuther, S. A Study on the Use of Solid-Oxide Fuel Cells for Increased Power Generation on Small Aircraft. In Proceedings of the AIAA Aviation 2019 Forum, Dallas, TX, USA, 17 June 2019. [Google Scholar]
- Okai, K.; Himeno, T.; Watanabe, T.; Nomura, H.; Tagashira, T.; Nishizawa, A. Potential of Aircraft Electric Propulsion with SOFC/GT Hybrid Core. In Proceedings of the 52nd AIAA/SAE/ASEE Joint Propulsion Conference, Salt Lake City, UT, USA, 25 July 2016. [Google Scholar]
- Collins, J.; McLarty, D. All-Electric Commercial Aviation with Solid Oxide Fuel Cell-Gas Turbine-Battery Hybrids. Appl. Energy 2020, 265, 114787. [Google Scholar] [CrossRef]
- Ji, Z.; Qin, J.; Cheng, K.; Liu, H.; Zhang, S.; Dong, P. Performance Evaluation of a Turbojet Engine Integrated with Interstage Turbine Burner and Solid Oxide Fuel Cell. Energy 2019, 168, 702–711. [Google Scholar] [CrossRef]
- Ji, Z.; Qin, J.; Cheng, K.; Liu, H.; Zhang, S.; Dong, P. Thermodynamic Analysis of a Solid Oxide Fuel Cell Jet Hybrid Engine for Long-Endurance Unmanned Air Vehicles. Energy Convers. Manag. 2019, 183, 50–64. [Google Scholar] [CrossRef]
- Ji, Z.; Qin, J.; Cheng, K.; Guo, F.; Zhang, S.; Dong, P. Thermodynamics Analysis of a Turbojet Engine Integrated with a Fuel Cell and Steam Injection for High-Speed Flight. Energy 2019, 185, 190–201. [Google Scholar] [CrossRef]
- Li, C.; Cheng, K.; Ma, S.; Liu, H.; Ji, Z.; Qin, J. Performance Analysis of Solid Oxide Fuel Cell/Piston Engine Hybrid System for Aviation. Appl. Therm. Eng. 2022, 214, 118797. [Google Scholar] [CrossRef]
- Ji, Z.; Qin, J.; Cheng, K.; Guo, F.; Zhang, S.; Dong, P. Performance Characteristics of a Solid Oxide Fuel Cell Hybrid Jet Engine under Different Operating Modes. Aerosp. Sci. Technol. 2020, 105, 106027. [Google Scholar] [CrossRef]
- Wachsman, E.D.; Lee, K.T. Lowering the Temperature of Solid Oxide Fuel Cells. Science 2011, 334, 935–939. [Google Scholar] [CrossRef]
- Pashchenko, D.; Makarov, I. Carbon Deposition in Steam Methane Reforming over a Ni-Based Catalyst: Experimental and Thermodynamic Analysis. Energy 2021, 222, 119993. [Google Scholar] [CrossRef]
- Ji, Z.; Qin, J.; Cheng, K.; Zhang, S.; Wang, Z. A Comprehensive Evaluation of Ducted Fan Hybrid Engines Integrated with Fuel Cells for Sustainable Aviation. Renew. Sustain. Energy Rev. 2023, 185, 113567. [Google Scholar] [CrossRef]
- Ji, Z.; Qin, J.; Cheng, K.; Liu, H.; Zhang, S.; Dong, P. Advanced Exergy and Graphical Exergy Analyses for Solid Oxide Fuel Cell Turbine-Less Jet Engines. J. Power Sources 2020, 456, 227979. [Google Scholar] [CrossRef]
- Ji, Z.; Qin, J.; Cheng, K.; Guo, F.; Zhang, S.; Dong, P. Comparative Performance Analysis of Solid Oxide Fuel Cell Turbine-Less Jet Engines for Electric Propulsion Airplanes: Application of Alternative Fuel. Aerosp. Sci. Technol. 2019, 93, 105286. [Google Scholar] [CrossRef]
- Ong, K.M.; Lee, W.Y.; Hanna, J.; Ghoniem, A.F. Isolating the Impact of CO Concentration in Syngas Mixtures on SOFC Performance via Internal Reforming and Direct Oxidation. Int. J. Hydrogen Energy 2016, 41, 9035–9047. [Google Scholar] [CrossRef]
- Yan, M.; Zeng, M.; Chen, Q.; Wang, Q. Numerical Study on Carbon Deposition of SOFC with Unsteady State Variation of Porosity. Appl. Energy 2012, 97, 754–762. [Google Scholar] [CrossRef]
- Jiang, Y.; Virkar, A.V. Fuel Composition and Diluent Effect on Gas Transport and Performance of Anode-Supported SOFCs. J. Electrochem. Soc. 2003, 150, A942–A951. [Google Scholar] [CrossRef]
- Chan, S.H.; Ho, H.K.; Tian, Y. Modelling of Simple Hybrid Solid Oxide Fuel Cell and Gas Turbine Power Plant. J. Power Sources 2002, 109, 111–120. [Google Scholar] [CrossRef]
- Pirkandi, J.; Ghassemi, M.; Hamedi, M.H.; Mohammadi, R. Electrochemical and Thermodynamic Modeling of a CHP System Using Tubular Solid Oxide Fuel Cell (SOFC-CHP). J. Clean. Prod. 2012, 29–30, 151–162. [Google Scholar] [CrossRef]
- Akkaya, A.V. Electrochemical Model for Performance Analysis of a Tubular SOFC. Int. J. Energy Res. 2007, 31, 79–98. [Google Scholar] [CrossRef]
- Zhao, F.; Virkar, A. Dependence of Polarization in Anode-Supported Solid Oxide Fuel Cells on Various Cell Parameters. J. Power Sources 2005, 141, 79–95. [Google Scholar] [CrossRef]
- Guo, F.; Li, C.; Liu, H.; Cheng, K.; Qin, J. Matching and Performance Analysis of a Solid Oxide Fuel Cell Turbine-Less Hybrid Electric Propulsion System on Aircraft. Energy 2023, 263, 125655. [Google Scholar] [CrossRef]
- Aguiar, P.; Adjiman, C.S.; Brandon, N.P. Anode-Supported Intermediate Temperature Direct Internal Reforming Solid Oxide Fuel Cell. I: Model-Based Steady-State Performance. J. Power Sources 2004, 138, 120–136. [Google Scholar] [CrossRef]
- Hashimoto, S.; Miyata, R.; Kobayashi, K.; Yashiro, K.; Takamura, H.; Yoshimi, K.; Kijima, N.; Manabe, T.; Tsuchiya, T.; Hirota, T.; et al. A New Development Strategy of Light Wight Solid Oxide Fuel Cells for Electrified Airplane System. In Proceedings of the AIAA Propulsion and Energy 2019 Forum, Indianapolis, IN, USA, 19 August 2019. [Google Scholar]
- Tornabene, R.; Wang, X.-Y.; Steffen, C.J.; Freeh, J.E. Development of Parametric Mass and Volume Models for an Aerospace SOFC/Gas Turbine Hybrid System. In Proceedings of the ASME Turbo Expo 2005: Power for Land, Sea, and Air, Reno, NA, USA, 1 January 2005. [Google Scholar]
- Xu, J.; Lin, H.; Guo, H. Dynamic Neighborhood Genetic Learning Particle Swarm Optimization for High-Power-Density Electric Propulsion Motor. Chin. J. Aeronaut. 2022, 35, 253–265. [Google Scholar] [CrossRef]
- Ansarinasab, H.; Mehrpooya, M.; Mohammadi, A. Advanced Exergy and Exergoeconomic Analyses of a Hydrogen Liquefaction Plant Equipped with Mixed Refrigerant System. J. Clean. Prod. 2017, 144, 248–259. [Google Scholar] [CrossRef]
- Aminyavari, M.; Mamaghani, A.H.; Shirazi, A.; Najafi, B.; Rinaldi, F. Exergetic, Economic, and Environmental Evaluations and Multi-Objective Optimization of an Internal-Reforming SOFC-Gas Turbine Cycle Coupled with a Rankine Cycle. Appl. Therm. Eng. 2016, 108, 833–846. [Google Scholar] [CrossRef]
- Rokni, M. Addressing Fuel Recycling in Solid Oxide Fuel Cell Systems Fed by Alternative Fuels. Energy 2017, 137, 1013–1025. [Google Scholar] [CrossRef]
- Ma, X. Performance Analysis and Dynamic Optimization of Integrated Cooling and Power Generation System Based on Supercritical CO2 Cycle for Turbine-Based Combined Cycle Engine. Appl. Therm. Eng. 2022, 215, 118867. [Google Scholar] [CrossRef]
- Sun, H. Research of a Combined Power and Cooling System Based on Fuel Rotating Cooling Air Turbine and Organic Rankine Cycle on Hypersonic Aircraft. Energy 2019, 189, 116183. [Google Scholar] [CrossRef]











| Coefficients | Values |
|---|---|
| Pressure recovery coefficient of the SOFC | 0.97 |
| Pressure recovery coefficient of the reformer | 0.99 |
| Pressure recovery coefficient of the heat exchanger | 0.97 |
| Effectiveness of the heat exchanger | 0.45 |
| Pressure ratio of the blower | 1.1 |
| Efficiency of the blower | 0.7 |
| Items | Values |
|---|---|
| Anode thickness | 1000 μm |
| Cathode thickness | 20 μm |
| Electrolyte thickness | 8 μm |
| Interconnect thickness | 67 μm |
| Anode resistivity | 2.98 × 10 − 5exp(−1392/T) Ω·m |
| Cathode resistivity | 8.114 × 10 − 5exp(600/T) Ω·m |
| Electrolyte resistivity | 2.94 × 10 − 5exp(10350/T) Ω·m |
| Interconnect resistivity | 1.2 × 10 − 3exp(4690/T) Ω·m |
| Anode activation energy | 100 kJ/mol |
| Cathode activation energy | 120 kJ/mol |
| Anode preexponential factor | 1.3 × 1010 A·m−2 |
| Cathode preexponential factor | 2 × 109 A·m−2 |
| Porosity | 0.48 |
| Tortuosity | 3 |
| Sources | Values |
|---|---|
| Aguiar et al. | 0.9 kW/kg [47] |
| Japan Aerospace Exploration | 1.2 kW/kg [48] |
| NASA Glenn Research Center | 2.5 kW/kg [36] |
| Washington State University | 4.6 kW/kg [36] |
| Components | Fuel Exergy | Product Exergy |
|---|---|---|
| HX | Ex,2 − Ex,11 | Ex,17 − Ex,16 |
| Mixer2 | Ex,7 + Ex,8 | Ex,9 |
| Reformer | Ex,9 | Ex,10 |
| SOFC | Ex,10 + Ex,12 − Ex,4 − Ex,13 | Pfc |
| Mixer2 | Ex,3 + Ex,5 | Ex,6 |
| Blower | PM | Ex,7 − Ex,6 |
| Case1 (CH4) | O2 (%) | N2 (%) | CH4 (%) | CO2 (%) | CO (%) | H2 (%) | H2O (%) | T (K) |
|---|---|---|---|---|---|---|---|---|
| Literature | 0.00 | 7.00 | 10.00 | 24.00 | 3.00 | 14.00 | 41.00 | 874.00 |
| Model | 0.00 | 6.70 | 9.60 | 24.00 | 3.70 | 15.46 | 40.27 | 885.00 |
| Case2 (C3H8) | C3H8 (%) | N2 (%) | CH4 (%) | CO2 (%) | CO (%) | H2 (%) | H2O (%) | T (K) |
| Literature | 0.00 | 16.00 | 8.00 | 28.00 | 7.00 | 15.00 | 27.00 | 919.00 |
| Model | 0.00 | 15.90 | 6.60 | 27.20 | 7.78 | 15.30 | 27.17 | 930.00 |
| Case3 (CH3OH) | CH3OH (%) | N2 (%) | CH4 (%) | CO2 (%) | CO (%) | H2 (%) | H2O (%) | T (K) |
| Literature | 0.00 | 0.00 | 2.00 | 29.00 | 4.00 | 14.00 | 51.00 | 923.00 |
| Model | 0.00 | 0.00 | 1.61 | 28.89 | 3.91 | 14.09 | 51.49 | 925.00 |
| Parameters | Ranges |
|---|---|
| Fuel utilization | 0.60–0.85 |
| Current density | 2 × 103–7 × 103 A/m2 |
| SOFC operating temperature | 1100–1275 K |
| SCR | 1.0–3.5 |
| OCR | 0.0–0.9 |
| Parameters | Values |
|---|---|
| Flight altitude | 25 km |
| Flight speed | 5 Ma |
| Flight time | 2 h |
| Fuel flow rate | 0.1 mol/s |
| Fuel utilization | 0.75 |
| Current density | 5000 A/m2 |
| SOFC operating temperature | 1200 K |
| SOFC cathode inlet temperature | 1100 K |
| SCR | 2 |
| OCR | 0.4 |
| No. | H2 | CH4 | CO | CO2 | H2O | N2 | O2 | n | T | P |
|---|---|---|---|---|---|---|---|---|---|---|
| % | % | % | % | % | % | % | mol/s | K | bar | |
| 1 | 0.00 | 0.00 | 0.00 | 0.00 | 0.00 | 79.00 | 21.00 | 1.54 | 221.05 | 0.03 |
| 2 | 0.00 | 0.00 | 0.00 | 0.00 | 0.00 | 79.00 | 21.00 | 1.54 | 1188.12 | 4.29 |
| 3 | 0.00 | 100.00 | 0.00 | 0.00 | 0.00 | 0.00 | 0.00 | 0.10 | 300.00 | 101.00 |
| 4 | 7.22 | 0.00 | 3.97 | 19.76 | 42.30 | 26.74 | 0.00 | 0.88 | 1200.00 | 4.00 |
| 5 | 7.22 | 0.00 | 3.97 | 19.76 | 42.30 | 26.74 | 0.00 | 0.46 | 1200.00 | 4.00 |
| 6 | 6.06 | 17.75 | 3.29 | 15.84 | 35.49 | 21.57 | 0.00 | 0.56 | 956.94 | 4.00 |
| 7 | 6.06 | 17.75 | 3.29 | 15.84 | 35.49 | 21.57 | 0.00 | 0.56 | 980.91 | 4.40 |
| 8 | 0.00 | 0.00 | 0.00 | 0.00 | 0.00 | 79.00 | 21.00 | 0.14 | 1100.00 | 4.16 |
| 9 | 4.83 | 14.16 | 2.63 | 12.64 | 28.32 | 33.18 | 4.25 | 0.71 | 996.91 | 4.16 |
| 10 | 26.63 | 2.86 | 9.29 | 12.93 | 20.00 | 28.26 | 0.00 | 0.83 | 943.05 | 4.12 |
| 11 | 0.00 | 0.00 | 0.00 | 0.00 | 0.00 | 79.00 | 21.00 | 1.54 | 1100.00 | 4.16 |
| 12 | 0.00 | 0.00 | 0.00 | 0.00 | 0.00 | 79.00 | 21.00 | 1.40 | 1100.00 | 4.16 |
| 13 | 0.00 | 0.00 | 0.00 | 0.00 | 0.00 | 88.27 | 11.73 | 1.25 | 1200.00 | 4.00 |
| 14 | 7.22 | 0.00 | 3.97 | 19.76 | 42.30 | 26.74 | 0.00 | 0.41 | 1200.00 | 4.00 |
| 15 | 1.79 | 0.00 | 0.98 | 4.89 | 10.46 | 73.05 | 8.83 | 1.66 | 1200.00 | 4.00 |
| 16 | 0.00 | 100.00 | 0.00 | 0.00 | 0.00 | 0.00 | 0.00 | 0.32 | 300.00 | 101.00 |
| 17 | 0.00 | 100.00 | 0.00 | 0.00 | 0.00 | 0.00 | 0.00 | 0.32 | 699.65 | 97.97 |
| 18 | 1.50 | 16.30 | 0.82 | 4.09 | 8.76 | 61.15 | 7.39 | 1.99 | 1031.30 | 4.00 |
| Components | Parameters | Units | Values |
|---|---|---|---|
| SOFC | Nernst voltage | V | 0.91 |
| Ohmic polarization | V | 0.03 | |
| Activation polarization | V | 0.02 | |
| Concentration polarization | V | 0.01 | |
| Operating voltage | V | 0.85 | |
| Activation area | m2 | 11.35 | |
| Current | A | 5.28 × 104 | |
| Power | kW | 48.08 | |
| Power density | kW/kg | 0.62 | |
| Anode recirculation rate | % | 54.01 | |
| Power generation efficiency | % | 51.77 | |
| Reformer | Selectivity of H2 | % | 93.50 |
| Selectivity of CO | % | 58.50 | |
| Reformer efficiency | % | 72.87 | |
| Conversion efficiency | % | 79.83 |
| Components | Fuel Exergy (kW) | Product Exergy (kW) | Exergy Loss (kW) | Exergy Efficiency (%) | Exergy Loss Rate (%) |
|---|---|---|---|---|---|
| HX | 3.70 | 3.20 | 0.49 | 86.65% | 3.26% |
| Mixer-1 | 119.84 | 119.70 | 0.13 | 99.89% | 0.89% |
| Reformer | 119.70 | 116.86 | 2.84 | 97.63% | 18.75% |
| SOFC | 57.72 | 48.10 | 9.62 | 83.33% | 63.49% |
| Mixer-2 | 117.17 | 115.40 | 1.78 | 98.48% | 11.71% |
| Blower | 0.84 | 0.55 | 0.29 | 65.72% | 1.90% |
Disclaimer/Publisher’s Note: The statements, opinions and data contained in all publications are solely those of the individual author(s) and contributor(s) and not of MDPI and/or the editor(s). MDPI and/or the editor(s) disclaim responsibility for any injury to people or property resulting from any ideas, methods, instructions or products referred to in the content. |
© 2024 by the authors. Licensee MDPI, Basel, Switzerland. This article is an open access article distributed under the terms and conditions of the Creative Commons Attribution (CC BY) license (https://creativecommons.org/licenses/by/4.0/).
Share and Cite
Liu, Y.; Tan, J.; Zhang, D.; Kuai, Z. Modeling and Performance Analysis of Solid Oxide Fuel Cell Power Generation System for Hypersonic Vehicles. Aerospace 2024, 11, 846. https://doi.org/10.3390/aerospace11100846
Liu Y, Tan J, Zhang D, Kuai Z. Modeling and Performance Analysis of Solid Oxide Fuel Cell Power Generation System for Hypersonic Vehicles. Aerospace. 2024; 11(10):846. https://doi.org/10.3390/aerospace11100846
Chicago/Turabian StyleLiu, Yiming, Jianguo Tan, Dongdong Zhang, and Zihan Kuai. 2024. "Modeling and Performance Analysis of Solid Oxide Fuel Cell Power Generation System for Hypersonic Vehicles" Aerospace 11, no. 10: 846. https://doi.org/10.3390/aerospace11100846
APA StyleLiu, Y., Tan, J., Zhang, D., & Kuai, Z. (2024). Modeling and Performance Analysis of Solid Oxide Fuel Cell Power Generation System for Hypersonic Vehicles. Aerospace, 11(10), 846. https://doi.org/10.3390/aerospace11100846
