A Novel Trajectory Prediction Method Based on CNN, BiLSTM, and Multi-Head Attention Mechanism
Abstract
1. Introduction
2. Theoretical Foundations
2.1. Convolutional Neural Networks (CNNs)
2.2. Long Short-Term Memory Network (LSTM)
2.3. Bidirectional Long Short-Term Memory Network (BiLSTM)
3. Proposed Method
3.1. CNN-BiLSTM Incorporating Multi-Head Attention Mechanism
3.2. Multi-Head Attention Mechanism
3.3. Network Structure Parameters
3.4. Network Training Process
| Algorithm 1. att-CNN-BiLSTM |
| Require: Trajectory data; learning rate: η; batch size: m; max epoch: θ; window_size: δ; optimizer: Adam. |
| While epoch ≤ max epoch: |
| 1: for i in range(len(data) − window_size): |
| 2: X.append(data[i:i + window_size]) |
| 3: y.append(data[i + window_size]) |
| 4: i += 1 |
| 5: Normalization of input trajectory data; |
| 6: Split the dataset into a training set and a testing set, where the testing set is 30%; |
| 7: Reshaping the input data to match the input shape of the LSTM; |
| 8: Construct att-CNN-BiLSTM model and input training set data for training; |
| 9: The forward and reverse information of the trajectory data is captured through Equations (10) and (11); |
| 10: Enhancing the model’s focus on key information through Equations (12)–(16); |
| 11: Local spatial features in the data are captured through Equation (1); |
| 12: Prediction using testing set; |
| 13: Output MSE, RMSE, MAE, R2; |
| 14: epoch += 1 |
| end while |
4. Experimental Validation
4.1. Dataset Description
4.2. Experimental Results and Analysis
4.2.1. Effect of Different Numbers of Neurons on Modeling
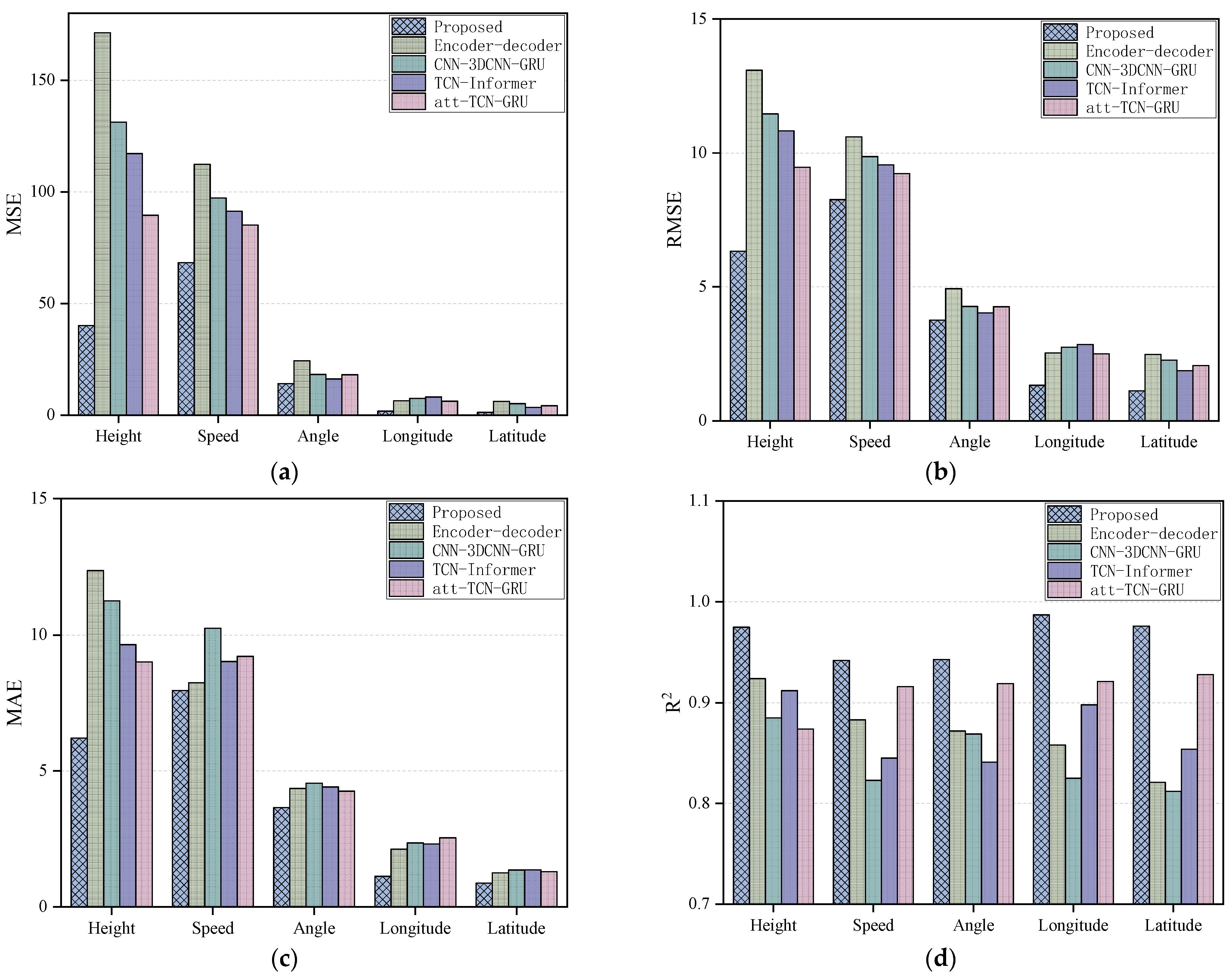
4.2.2. Comparative Analysis of Different Methods
4.2.3. Ablation Experiment
5. Conclusions
Author Contributions
Funding
Institutional Review Board Statement
Informed Consent Statement
Data Availability Statement
Conflicts of Interest
References
- Hu, Y.; Yi, J.; Cheng, F.; Wan, X.; Hu, S. 3-D Target Tracking for Distributed Heterogeneous 2-D–3-D Passive Radar Network. IEEE Sens. J. 2023, 23, 29502–29512. [Google Scholar] [CrossRef]
- Bartusiak, E.R.; Jacobs, M.A.; Chan, M.W.; Comer, M.L.; Delp, E.J. Predicting Hypersonic Glide Vehicle Behavior with Stochastic Grammars. IEEE Trans. Aerosp. Electron. Syst. 2024, 60, 1208–1223. [Google Scholar] [CrossRef]
- Hashemi, S.M.; Botez, R.M.; Grigorie, T.L. New Reliability Studies of Data-Driven Aircraft Trajectory Prediction. Aerospace 2020, 7, 145. [Google Scholar] [CrossRef]
- Chuya-Sumba, J.; Alonso-Valerdi, L.M.; Ibarra-Zarate, D.I. Deep-Learning Method Based on 1D Convolutional Neural Network for Intelligent Fault Diagnosis of Rotating Machines. Appl. Sci. 2022, 12, 2158. [Google Scholar] [CrossRef]
- Ruan, D.; Wang, J.; Yan, J.; Gühmann, C. CNN Parameter Design Based on Fault Signal Analysis and Its Application in Bearing Fault Diagnosis. Adv. Eng. Inform. 2023, 55, 101877. [Google Scholar] [CrossRef]
- Kosova, F.; Altay, Ö.; Ünver, H.Ö. Structural Health Monitoring in Aviation: A Comprehensive Review and Future Directions for Machine Learning. Nondestruct. Test. Eval. 2024, 1–60. [Google Scholar] [CrossRef]
- Zhu, Z.; Lei, Y.; Qi, G.; Chai, Y.; Mazur, N.; An, Y.; Huang, X. A Review of the Application of Deep Learning in Intelligent Fault Diagnosis of Rotating Machinery. Measurement 2023, 206, 112346. [Google Scholar] [CrossRef]
- Huang, J.; Li, Z.; Liu, D.; Yang, Q.; Zhu, J. An Adaptive State Estimation for Tracking Hypersonic Glide Targets with Model Uncertainties. Aerosp. Sci. Technol. 2023, 136, 108235. [Google Scholar] [CrossRef]
- Rahman, S.; Lapasset, L.; Mothe, J. Aircraft Conflict Resolution Using Convolutional Neural Network on Trajectory Image. In Intelligent Systems Design and Applications, Proceedings of the 21st International Conference on Intelligent Systems Design and Applications (ISDA 2021), Online, 13–15 December 2021; Springer: Cham, Switzerland, 2022. [Google Scholar]
- Wang, J.; Wu, Y.; Liu, M.; Yang, M.; Liang, H. A Real-Time Trajectory Optimization Method for Hypersonic Vehicles Based on a Deep Neural Network. Aerospace 2022, 9, 188. [Google Scholar] [CrossRef]
- Li, H.; Chen, H.; Tan, C.; Jiang, Z.; Xu, X. Fast Trajectory Generation with a Deep Neural Network for Hypersonic Entry Flight. Aerospace 2023, 10, 931. [Google Scholar] [CrossRef]
- Han, P.; Yue, J.; Fang, C.; Shi, Q.; Yang, J. Short-Term 4D Trajectory Prediction Based on LSTM Neural Network. In Proceedings of the Second Target Recognition and Artificial Intelligence Summit Forum, Changchun, China, 20–22 August 2019. [Google Scholar]
- Zeng, W.; Quan, Z.; Zhao, Z.; Xie, C.; Lu, X. A Deep Learning Approach for Aircraft Trajectory Prediction in Terminal Airspace. IEEE Access 2020, 8, 151250–151266. [Google Scholar] [CrossRef]
- Schimpf, N.; Wang, Z.; Li, S.; Knoblock, E.J.; Li, H.; Apaza, R.D. A Generalized Approach to Aircraft Trajectory Prediction via Supervised Deep Learning. IEEE Access 2023, 11, 116183–116195. [Google Scholar] [CrossRef]
- Liu, Z.; Yan, J.; Ai, B.; Fan, Y.; Luo, K.; Cai, G.; Qin, J. An Online Generation Method of Terminal-Area Trajectories for Wave-Rider Using Deep Neural Networks. Aerospace 2023, 10, 654. [Google Scholar] [CrossRef]
- Zhang, A.; Zhang, B.; Bi, W.; Mao, Z. Attention Based Trajectory Prediction Method under the Air Combat Environment. Appl. Intell. 2022, 52, 17341–17355. [Google Scholar] [CrossRef]
- Liu, Z.; Wang, Z.; Yang, Y.; Lu, Y. A Data-Driven Maneuvering Target Tracking Method Aided with Partial Models. IEEE Trans. Veh. Technol. 2024, 73, 414–425. [Google Scholar] [CrossRef]
- Zeng, W.; Chu, X.; Xu, Z.; Liu, Y.; Quan, Z. Aircraft 4D Trajectory Prediction in Civil Aviation: A Review. Aerospace 2022, 9, 91. [Google Scholar] [CrossRef]
- Pepper, N.; Thomas, M. Learning Generative Models for Climbing Aircraft from Radar Data. J. Aerosp. Inf. Syst. 2024, 21, 474–481. [Google Scholar] [CrossRef]
- Dong, Z.; Fan, B.; Li, F.; Xu, X.; Sun, H.; Cao, W. TCN-Informer-Based Flight Trajectory Prediction for Aircraft in the Approach Phase. Sustainability 2023, 15, 16344. [Google Scholar] [CrossRef]
- Wu, Y.; Yu, H.; Du, J.; Liu, B.; Yu, W. An Aircraft Trajectory Prediction Method Based on Trajectory Clustering and a Spatiotemporal Feature Network. Electronics 2022, 11, 3453. [Google Scholar] [CrossRef]
- Tran, P.N.; Nguyen, H.Q.V.; Pham, D.-T.; Alam, S. Aircraft Trajectory Prediction With Enriched Intent Using Encoder-Decoder Architecture. IEEE Access 2022, 10, 17881–17896. [Google Scholar] [CrossRef]
- Shafienya, H.; Regan, A.C. 4D Flight Trajectory Prediction Using a Hybrid Deep Learning Prediction Method Based on ADS-B Technology: A Case Study of Hartsfield–Jackson Atlanta International Airport (ATL). Transp. Res. Part C Emerg. Technol. 2022, 144, 103878. [Google Scholar] [CrossRef]
- Tong, Q.; Hu, J.; Chen, Y.; Guo, D.; Liu, X. Long-Term Trajectory Prediction Model Based on Transformer. IEEE Access 2023, 11, 143695–143703. [Google Scholar] [CrossRef]
- Yang, Z.; Kang, X.; Gong, Y.; Wang, J. Aircraft Trajectory Prediction and Aviation Safety in ADS-B Failure Conditions Based on Neural Network. Sci. Rep. 2023, 13, 19677. [Google Scholar] [CrossRef] [PubMed]
- Cao, H.; Shao, H.; Zhong, X.; Deng, Q.; Yang, X.; Xuan, J. Unsupervised Domain-Share CNN for Machine Fault Transfer Diagnosis from Steady Speeds to Time-Varying Speeds. J. Manuf. Syst. 2022, 62, 186–198. [Google Scholar] [CrossRef]
- Hu, B.; Liu, J.; Zhao, R.; Xu, Y.; Huo, T. A New Fault Diagnosis Method for Unbalanced Data Based on 1DCNN and L2-SVM. Appl. Sci. 2022, 12, 9880. [Google Scholar] [CrossRef]
- Smagulova, K.; James, A.P. A Survey on LSTM Memristive Neural Network Architectures and Applications. Eur. Phys. J. Spec. Top. 2019, 228, 2313–2324. [Google Scholar] [CrossRef]
- Gao, Y.; Wang, C.; Shen, J.; Wang, Z.; Liu, Y.; Chai, Y. Systematic Review and Network Meta-Analysis of Machine Learning Algorithms in Sepsis Prediction. Expert Syst. Appl. 2024, 245, 122982. [Google Scholar] [CrossRef]
- Jia, P.; Chen, H.; Zhang, L.; Han, D. Attention-LSTM Based Prediction Model for Aircraft 4-D Trajectory. Sci. Rep. 2022, 12, 15533. [Google Scholar] [CrossRef]
- Ma, L.; Meng, X.; Wu, Z. Data-Driven 4D Trajectory Prediction Model Using Attention-TCN-GRU. Aerospace 2024, 11, 313. [Google Scholar] [CrossRef]












| Layers | Network Parameters | Output Shape | #Param |
|---|---|---|---|
| bidirectional_1 | LSTM (128, activation = ‘relu’, return_sequences = True), input_shape = 10 × 1 | 10 × 256 | 133,120 |
| dropout_1 | 0.2 | 10 × 256 | 0 |
| bidirectional_2 | LSTM (256, activation = ‘relu’, return_sequences = True) | 10 × 512 | 1,050,624 |
| dropout_2 | 0.2 | 10 × 512 | 0 |
| Multi-head attention | - | 10 × 512 | 0 |
| conv1d_1 | filters = 32, kernel_size = 3, activation = ‘relu’ | 8 × 32 | 49,184 |
| BN_3 | - | 8 × 32 | 128 |
| dropout_3 | 0.2 | 8 × 32 | 0 |
| max_pooling1d_1 | pool_size = 2 | 4 × 32 | 0 |
| conv1d_2 | filters = 64, kernel_size = 3, activation = ‘relu’ | 2 × 64 | 6208 |
| BN_4 | - | 2 × 64 | 256 |
| dropout_4 | 0.2 | 2 × 64 | 0 |
| max_pooling1d_2 | pool_size = 2 | 1 × 64 | 0 |
| dense_1 | 32, activation = ‘relu’ | 1 × 32 | 2080 |
| dense_2 | 1 | 1 × 1 | 33 |
| Parameters | Value |
|---|---|
| window_size | 10 |
| optimizer | Adam |
| loss function | MSE |
| epochs | 500 |
| batch_size | 32 |
| testing_split | 0.3 |
| Parameters | Minimum Values | Maximum Values | Mean | Standard Deviation |
|---|---|---|---|---|
| Height (m) | 312.42 | 10,393.68 | 8424.562 | 2372.032 |
| Speed (m/s) | 37.04 | 850.068 | 745.8833 | 124.0183 |
| Angle (°) | 111 | 329 | 288.1862 | 31.27066 |
| Longitude (°) | 87.46532 | 114.073 | 101.886 | 7.601263 |
| Latitude (°) | 33.9939 | 44.11853 | 37.81195 | 3.028017 |
| Number of Neurons | Error | Height | Speed | Angle | Longitude | Latitude |
|---|---|---|---|---|---|---|
| {32, 64, 32, 64} | MSE | 411.156 | 212.227 | 11.936 | 0.375 | 6.614 |
| RMSE | 20.277 | 14.568 | 3.454 | 0.613 | 2.571 | |
| MAE | 19.419 | 14.169 | 3.270 | 0.595 | 2.562 | |
| R2 | 0.354 | 0.401 | 0.400 | 0.632 | −5.270 | |
| {32, 64, 64, 128} | MSE | 105.540 | 79.569 | 15.654 | 2.103 | 1.198 |
| RMSE | 10.273 | 8.920 | 3.956 | 1.450 | 1.095 | |
| MAE | 10.002 | 8.720 | 3.862 | 1.449 | 0.063 | |
| R2 | 0.527 | 0.404 | 0.214 | −1.063 | −0.136 | |
| {32, 64, 128, 256} | MSE | 187.838 | 117.381 | 14.541 | 1.457 | 2.599 |
| RMSE | 13.705 | 10.834 | 3.813 | 1.207 | 1.612 | |
| MAE | 13.381 | 10.649 | 3.457 | 1.156 | 1.607 | |
| R2 | 0.705 | 0.121 | 0.270 | −0.429 | −1.464 | |
| {64, 128, 32, 64} | MSE | 271.576 | 1487.105 | 11.358 | 75.858 | 40.001 |
| RMSE | 16.480 | 38.563 | 3.370 | 8.998 | 6.324 | |
| MAE | 16.004 | 14.976 | 3.186 | 8.008 | 6.324 | |
| R2 | 0.573 | 0.888 | 0.429 | 0.206 | −36.920 | |
| {64, 128, 64, 128} | MSE | 188.321 | 3803.365 | 24.553 | 0.526 | 0.278 |
| RMSE | 13.723 | 61.671 | 4.955 | 0.725 | 0.527 | |
| MAE | 13.515 | 59.810 | 4.765 | 0.651 | 0.496 | |
| R2 | 0.704 | 0.715 | −0.232 | 0.484 | 0.736 | |
| {64, 128, 128, 256} | MSE | 60.829 | 133.116 | 6.507 | 2.238 | 2.083 |
| RMSE | 7.780 | 11.537 | 2.551 | 1.496 | 1.443 | |
| MAE | 7.581 | 11.269 | 1.401 | 1.476 | 1.439 | |
| R2 | 0.904 | 0.804 | 0.673 | −1.196 | −0.974 | |
| {128, 256, 32, 64} | MSE | 40.900 | 67.990 | 14.873 | 0.765 | 0.026 |
| RMSE | 6.395 | 8.246 | 3.856 | 0.875 | 0.162 | |
| MAE | 5.894 | 8.124 | 3.547 | 0.865 | 0.277 | |
| R2 | 0.936 | 0.791 | 0.854 | 0.948 | 0.907 | |
| {128, 256, 64, 128} | MSE | 134.479 | 100.129 | 5.756 | 42.808 | 0.097 |
| RMSE | 11.597 | 10.006 | 2.399 | 6.542 | 0.311 | |
| MAE | 11.137 | 9.613 | 1.586 | 6.306 | 0.109 | |
| R2 | 0.789 | 0.651 | 0.711 | 0.892 | 0.975 | |
| {128, 256, 128, 256} | MSE | 50.791 | 3685.085 | 10.937 | 111.709 | 0.534 |
| RMSE | 7.127 | 60.704 | 3.307 | 10.569 | 0.731 | |
| MAE | 6.886 | 57.098 | 3.112 | 10.116 | 0.658 | |
| R2 | 0.920 | 0.724 | 0.451 | −0.095 | 0.493 |
Disclaimer/Publisher’s Note: The statements, opinions and data contained in all publications are solely those of the individual author(s) and contributor(s) and not of MDPI and/or the editor(s). MDPI and/or the editor(s) disclaim responsibility for any injury to people or property resulting from any ideas, methods, instructions or products referred to in the content. |
© 2024 by the authors. Licensee MDPI, Basel, Switzerland. This article is an open access article distributed under the terms and conditions of the Creative Commons Attribution (CC BY) license (https://creativecommons.org/licenses/by/4.0/).
Share and Cite
Xu, Y.; Pan, Q.; Wang, Z.; Hu, B. A Novel Trajectory Prediction Method Based on CNN, BiLSTM, and Multi-Head Attention Mechanism. Aerospace 2024, 11, 822. https://doi.org/10.3390/aerospace11100822
Xu Y, Pan Q, Wang Z, Hu B. A Novel Trajectory Prediction Method Based on CNN, BiLSTM, and Multi-Head Attention Mechanism. Aerospace. 2024; 11(10):822. https://doi.org/10.3390/aerospace11100822
Chicago/Turabian StyleXu, Yue, Quan Pan, Zengfu Wang, and Baoquan Hu. 2024. "A Novel Trajectory Prediction Method Based on CNN, BiLSTM, and Multi-Head Attention Mechanism" Aerospace 11, no. 10: 822. https://doi.org/10.3390/aerospace11100822
APA StyleXu, Y., Pan, Q., Wang, Z., & Hu, B. (2024). A Novel Trajectory Prediction Method Based on CNN, BiLSTM, and Multi-Head Attention Mechanism. Aerospace, 11(10), 822. https://doi.org/10.3390/aerospace11100822

