Flow Characteristics of Liquid Jet in Transverse Shear Crossflow
Abstract
1. Introduction
2. Numerical Simulation Method
2.1. Geometry and Grid
2.2. Boundary Condition and Calculation Methods
2.3. Calculation Model
2.4. Numerical Method Verification
3. Results
3.1. Influence of Nozzle Diameter on Oil Jet Flow Characteristics
3.2. Influence of Oil Injection Velocity on Oil Jet Flow Characteristics
3.3. Influence of Crossflow Velocity on Oil Jet Flow Characteristics
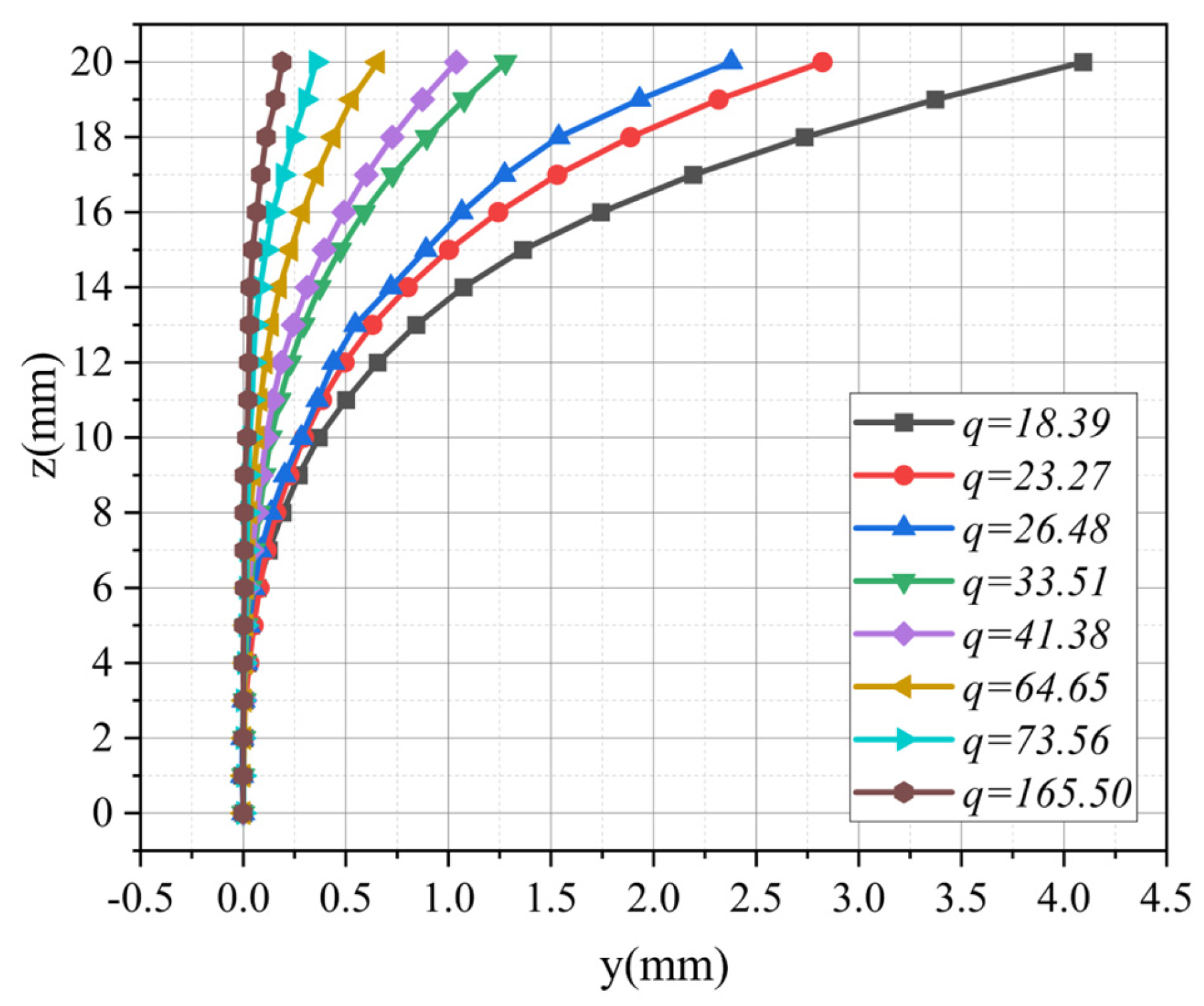
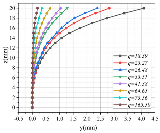
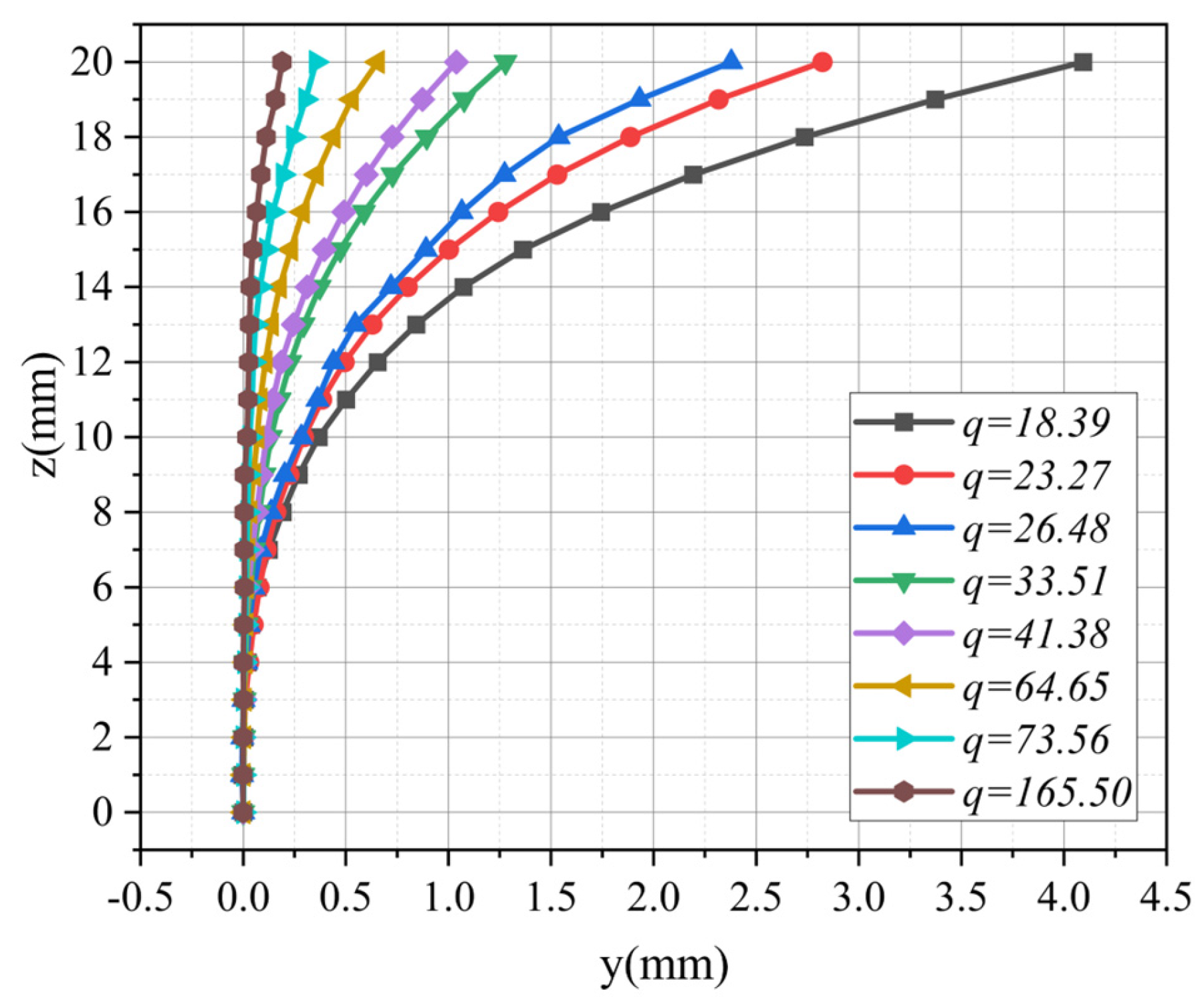
3.4. Center Trajectory of Vertically Injected Lubricating Oil
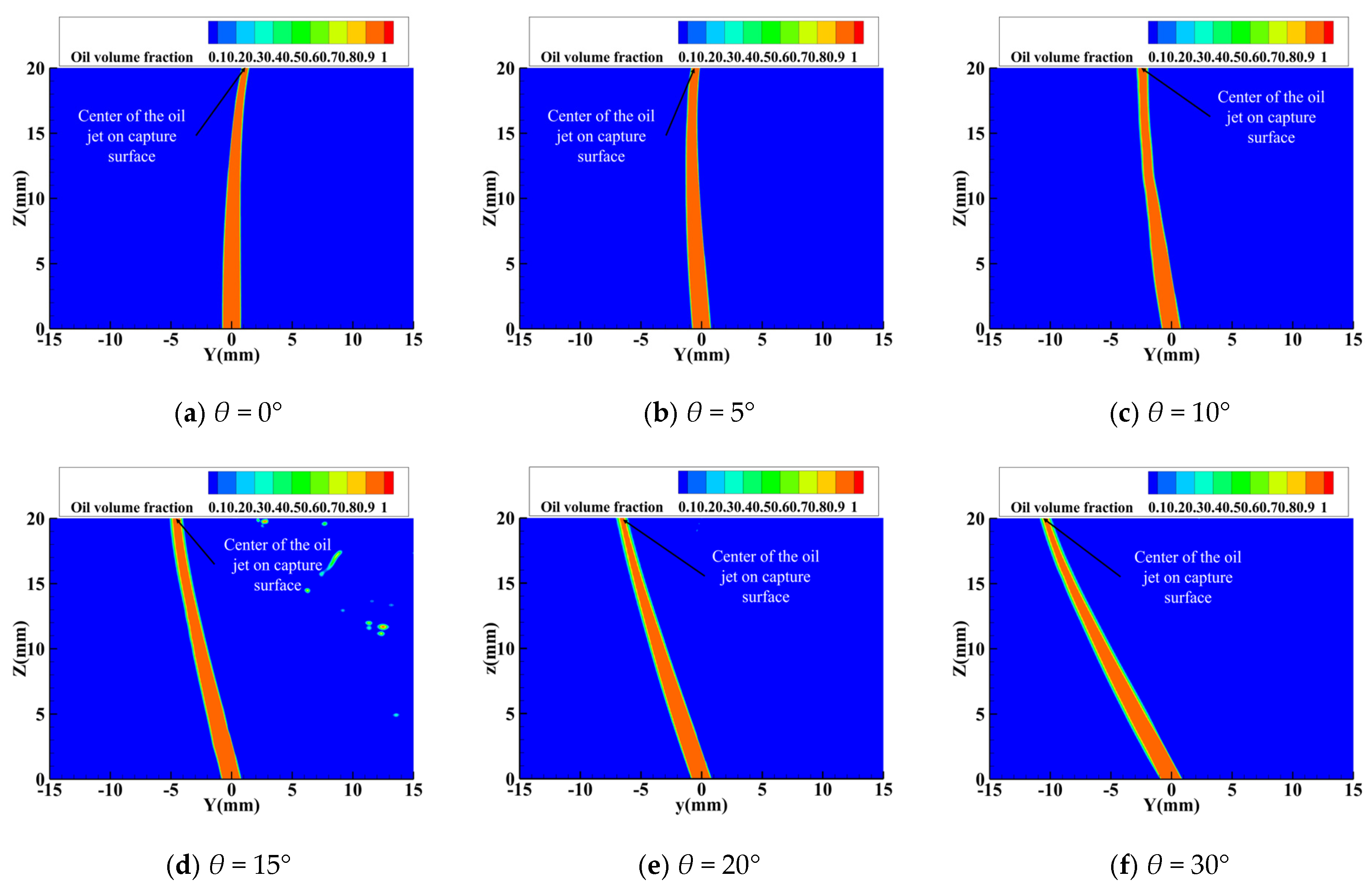
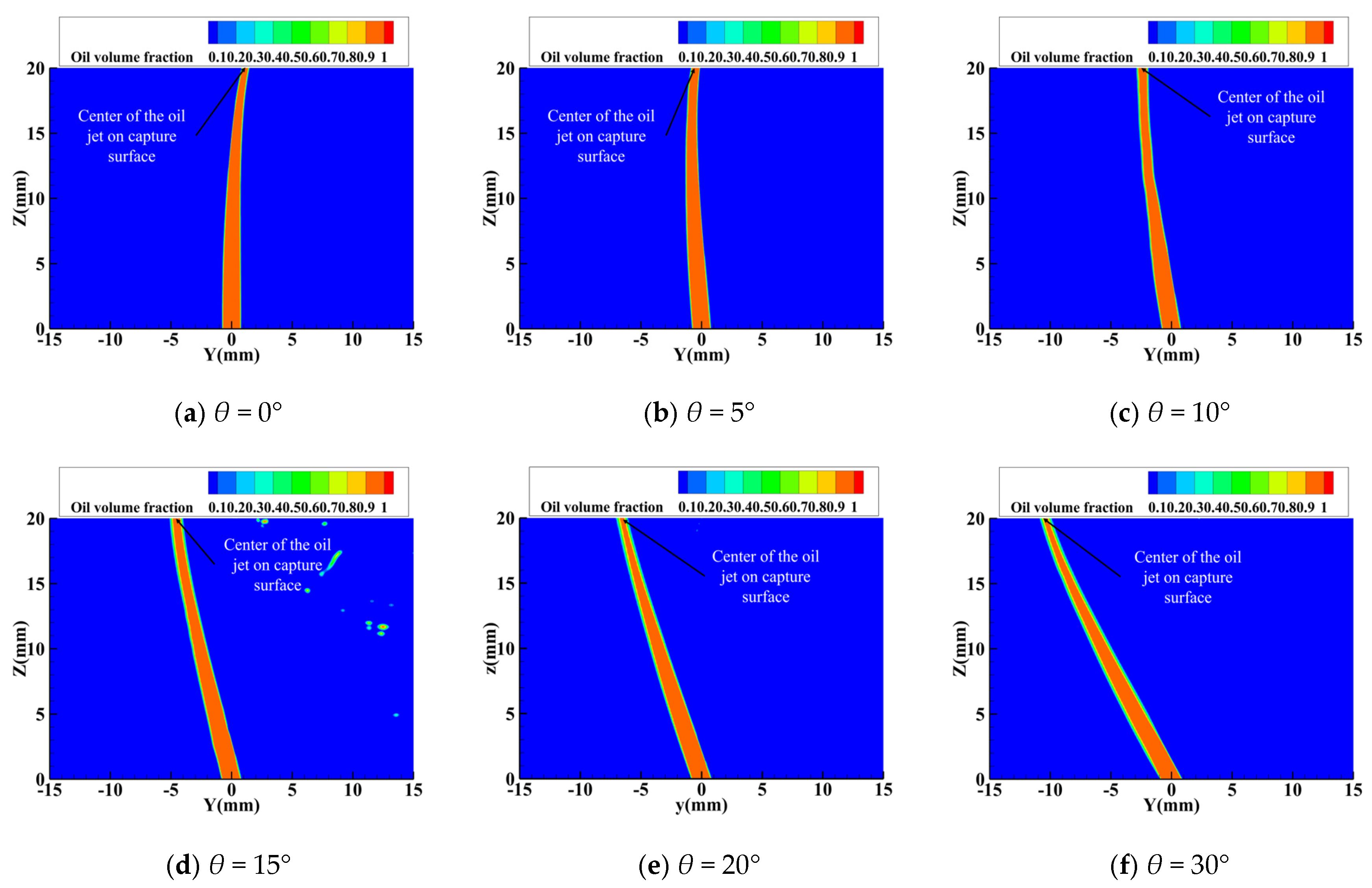
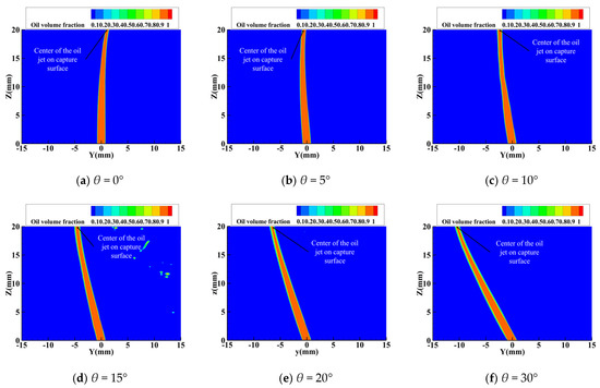
3.5. Influence of Oil Injection Angle on Oil Jet Flow Characteristics
4. Discussion
- As the nozzle diameter increases, the acceleration of the lubricating oil jet by aerodynamic forces becomes progressively challenging. Beyond a nozzle diameter of 2 mm, further increases have negligible effects on the jet trajectory. Moreover, with an elevation in the oil injection velocity, the deflection of the liquid column diminishes, leading to a more consistent distribution and diameter alterations of the oil on the capture surface. However, with an augmentation in the maximum crossflow velocity, the deflection degree of the lubricating oil column amplifies, and the fragmentation pattern intensifies, resulting in a more irregular oil distribution on the collection surface.
- The trajectory equation for the oil jet in transverse shear crossflow was derived by employing the forces acting on a simplified micro-elemental body. The associated parameters were then fitted using a power function, yielding the fitting equation for the oil center trajectory under vertical injection conditions. The trajectory equation of the oil jet under the condition of injection in the opposite airflow direction was analyzed using the same method and subsequently simplified. All jet data were fitted using a power function, resulting in the fitting formula for the lubricating oil center trajectory at a small angle against the airflow direction.
- Researchers can employ the jet trajectory fitting formula to ascertain the primary trajectory of the jet within the radial ring lubrication structure under engine operating conditions. This information can be utilized to design the internal surface structure of radial oil collection blades, thereby enhancing oil collection efficiency.
Author Contributions
Funding
Data Availability Statement
Conflicts of Interest
Nomenclature
| drag coefficient | maximum cross airflow velocity | ||
| nozzle diameter | the spanwise direction of the oil column | ||
| oil film extension width | transverse shear crossflow direction | ||
| height of transverse shear crossflow | vertical bottom wall direction | ||
| unit vector in the y-axis direction | nozzle injection angle | ||
| unit vector in the z-axis direction | density | ||
| unit vector in the x-axis direction | surface tension coefficient | ||
| pressure | viscosity | ||
| liquid/gas momentum ratio, | |||
| maximum liquid/gas momentum ratio, | |||
| time | Reynolds number. . | ||
| the velocity component on the y-axis | Weber number. | ||
| the velocity component on the z-axis | Ohnesorge number. . | ||
| the velocity component on the x-axis | Froude number. . | ||
| lubricating oil injection velocity | surface tension | ||
| Subscripts | |||
| gas | |||
| liquid | |||
| max | maximum | ||
References
- Jiang, L.; Liu, Z.; Lyu, Y. Internal Flow Field Analysis and Optimization Structure of Oil Scoop Blade in Under-Race Lubrication Structure. J. Propuls. Technol. 2022, 43, 200251. [Google Scholar]
- Liu, Z.; Xu, R. Analysis of the Phenomenon of Non-Cylindrical Liquid Flow Falling Off in Transverse Air Flow in Under-Race Lubrication. Lubr. Eng. 2021, 46, 136–140. [Google Scholar] [CrossRef]
- Bao, H.; Hou, X.; Lu, F. Analysis of Oil-Air Two-Phase Flow Characteristics inside a Ball Bearing with Under-Race Lubrication. Processes 2020, 8, 1223. [Google Scholar] [CrossRef]
- Zhu, D.; Cheng, G. A 3D CFD simulation of oil spray-collection and delivery process in an aeroengine inter-shaft bearing. Chin. J. Aeronaut. 2022, 35, 366–378. [Google Scholar] [CrossRef]
- Jiang, L.; Liu, Z.; Lyu, Y. Numerical Study on Flow Characteristics of Liquid Jet in Airflows. In Proceedings of the ASME Turbo Expo ASME Turbo Expo 2019: Turbomachinery Technical Conference and Exposition, Phoenix, AZ, USA, 17–21 June 2019; Volume 1. [Google Scholar] [CrossRef]
- Cageao, P.P.; Simmons, K. Assessment of the Oil Scoop Capture Efficiency in High Speed Rotors. J. Eng. Gas Turbines Power-Trans. ASME 2019, 141, 012401. [Google Scholar] [CrossRef]
- Prabhakar, A.; Abdalla Abakr, Y.; Simmons, K. Effect of Vortex Shedding on the Performance of Scoop Based Lubrication Devices. In Proceedings of the ASME Turbo Expo 2017: Turbomachinery Technical Conference and Exposition, Charlotte, NC, USA, 26–30 June 2017; Volume 7A. [Google Scholar] [CrossRef]
- Korsukova, E.; Morvan, H. Computational Fluid Dynamics Study of Oil Behavior in a Scoop, and Factors Affecting Scoop Capture Efficiency. J. Eng. Gas Turbines Power-Trans. ASME 2020, 142, 051008. [Google Scholar] [CrossRef]
- Ardashkin, I.; Borisov, E.A. Investigation of the influence of the speed and direction of the oil jet on the efficiency of the oil scoop operation in the oil supply system to the bearings of the gas turbine engine. Aerosp. Eng. 2017, 4, 16–25. [Google Scholar] [CrossRef]
- Qin, J.W. Research on High Oil Capture Efficiency Under-Race Lubrication Technology of High Speed Bearing for Aeroengine. Ph.D. Thesis, Central South University, Changsha, China, 2022. [Google Scholar]
- Qin, J.W.; Guo, H.; Zhou, L.; Cao, P. Oil Receiving Ring and Oil Supply Lubrication Device under the Ring. Chinese patent CN111878237B, 16 November 2021. [Google Scholar]
- Chen, T.; Smith, C.; Schommer, D.; Nejad, A. Multi-zone behavior of transverse liquid jet in high-speed flow. In Proceedings of the 31st Aerospace Sciences Meeting, Reno, NV, USA, 11–14 January 1993; p. 453. [Google Scholar] [CrossRef]
- Wu, P.K.; Kirkendall, K.A.; Fuller, R.P.; Nejad, A.S. Breakup processes of liquid jets in subsonic crossflows. J. Propuls. Power 1997, 13, 64–73. [Google Scholar] [CrossRef]
- Mazallon, J.; Dai, Z.; Faeth, G. Aerodynamic primary breakup at the surface of nonturbulent round liquid jets in crossflow. In Proceedings of the 36th AIAA Aerospace Sciences Meeting and Exhibit, Reno, NV, USA, 12–15 January 1998; p. 716. [Google Scholar] [CrossRef]
- Zhou, C.; Zou, J.; Zhang, Y. Effect of Streamwise Perturbation Frequency on Formation Mechanism of Ligament and Droplet in Liquid Circular Jet. Aerospace 2022, 9, 191. [Google Scholar] [CrossRef]
- Singh, A.K.; Kumar, S.; Singh, K. Experimental and Numerical Study on the Combined Jet Impingement and Film Cooling of an Aero-Engine Afterburner Section. Aerospace 2023, 10, 589. [Google Scholar] [CrossRef]
- Becker, J.; Hassa, C. Liquid fuel placement and mixing of generic aeroengine premix module at different operating conditions. ASME J. Eng. Gas Turbines Power 2003, 125, 901–908. [Google Scholar] [CrossRef]
- Becker, J.; Heitz, D.; Hassa, C. Spray dispersion in a counter-swirling double-annular air flow at gas turbine conditions. At. Sprays 2004, 14, 15–36. [Google Scholar] [CrossRef]
- Deng, T.; Li, J. Breakup mechanism of inviscid liquid transverse jet in shear airflow. Acta Aeronaut. Astronaut. Sin. 2021, 42, 124464. [Google Scholar] [CrossRef]
- Kong, X.; He, W. Spray characteristics of liquid jet in nonuniform crossflow. J. Aerosp. Power 2022, 37, 534–544. [Google Scholar] [CrossRef]
- Wang, K.; Kong, X. Investigation on trajectory and penetration of liquid jet in non-uniform velocity crossflow. J. Aerosp. Power 2023, 38, 1316–1327. [Google Scholar] [CrossRef]
- Sussman, M.; Puckett, E.G. A coupled level set and volume-of-fluid method for computing 3D and axisymmetric incompressible two-phase flows. J. Comput. Phys. 2000, 162, 301–337. [Google Scholar] [CrossRef]
- Brackbill, J.U.; Kothe, D.B.; Zemach, C. A continuum method for modeling surface tension. J. Comput. Phys. 1992, 100, 335–354. [Google Scholar] [CrossRef]
- Zhu, Y.; Huang, Y. Experiment on the breakup of round liquid jets in cross airflows. J. Aerosp. Power 2010, 25, 2261–2266. [Google Scholar] [CrossRef]
- Fuller, R.P.; Wu, P.K.; Kirkendall, K.A.; Nejad, A.S. Effects of injection angle on atomization of liquid jets in transverse airflow. AIAA J. 2020, 38, 64–72. [Google Scholar] [CrossRef]






















| Related Parameter | Range |
|---|---|
| nozzle diameter, | 0.5~2.5 mm |
| crossflow maximum velocity, | 40~120 m/s |
| oil injection velocity, | 10~25 m/s |
| maximum oil/air momentum ratio, | 18.39~165.50 |
| injection angle, | 0~30° |
| Reynold number, | 5705.6~28,528.1 |
| Weber number, | 113.67~1022.98 |
| Ohnesorge number, | 0.00621~0.01388 |
| Froude number, | 22.56~56.41 |
Disclaimer/Publisher’s Note: The statements, opinions and data contained in all publications are solely those of the individual author(s) and contributor(s) and not of MDPI and/or the editor(s). MDPI and/or the editor(s) disclaim responsibility for any injury to people or property resulting from any ideas, methods, instructions or products referred to in the content. |
© 2024 by the authors. Licensee MDPI, Basel, Switzerland. This article is an open access article distributed under the terms and conditions of the Creative Commons Attribution (CC BY) license (https://creativecommons.org/licenses/by/4.0/).
Share and Cite
Zhang, C.; Lyu, Y.; Jiang, L.; Liu, Z. Flow Characteristics of Liquid Jet in Transverse Shear Crossflow. Aerospace 2024, 11, 76. https://doi.org/10.3390/aerospace11010076
Zhang C, Lyu Y, Jiang L, Liu Z. Flow Characteristics of Liquid Jet in Transverse Shear Crossflow. Aerospace. 2024; 11(1):76. https://doi.org/10.3390/aerospace11010076
Chicago/Turabian StyleZhang, Chi, Yaguo Lyu, Le Jiang, and Zhenxia Liu. 2024. "Flow Characteristics of Liquid Jet in Transverse Shear Crossflow" Aerospace 11, no. 1: 76. https://doi.org/10.3390/aerospace11010076
APA StyleZhang, C., Lyu, Y., Jiang, L., & Liu, Z. (2024). Flow Characteristics of Liquid Jet in Transverse Shear Crossflow. Aerospace, 11(1), 76. https://doi.org/10.3390/aerospace11010076

