Numerical Investigation on Intermittent Maximum Ice Accretion and Aerodynamic Performances of RG-15 Aerofoil at Low Reynolds Number
Abstract
:1. Introduction
2. Description of Numerical Methodologies
2.1. Numerical Approaches
- (a)
- The Continuity Equation [49]
- (b)
- Momentum Conservation Equations [49]
- (c)
- The Energy Conservation Equation [49]
- (d)
- The Continuity and Momentum Equations [41]
2.2. Numerical Models
2.3. Model Validation
3. Results and Discussion
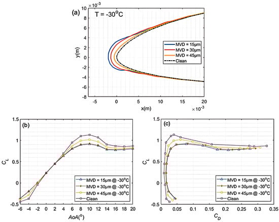
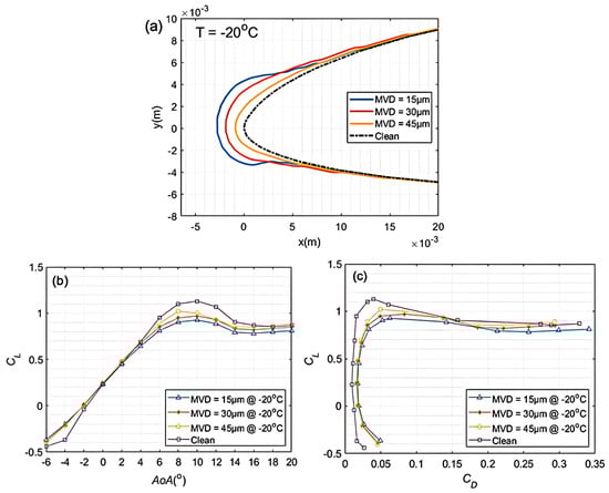
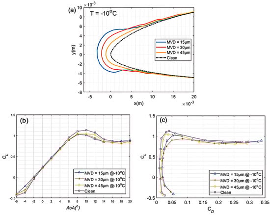
3.1. Icing Conditions at Different Mean Volume Diameters
3.2. Icing Conditions at Different Temperatures
3.3. Comparison with Symmetric Aerofoil
4. Conclusions
Author Contributions
Funding
Data Availability Statement
Acknowledgments
Conflicts of Interest
References
- Hann, R.; Wenz, A.; Gryte, K.; Johansen, T.A. Impact of atmospheric icing on UAV aerodynamic performance. In Proceedings of the 2017 Workshop on Research, Education and Development of Unmanned Aerial Systems (RED-UAS), Linköping, Sweden, 3–5 October 2017; pp. 66–71. [Google Scholar]
- Naval Environmental Prediction Research Facility Report. Impact of Icing on Unmanned Aerial Vehicle (uav) Operations. 1990. Available online: https://apps.dtic.mil/sti/citations/ADA231191 (accessed on 18 December 2023).
- Muhammed, M.; Virk, M.S. Ice Accretion on Fixed-Wing Unmanned Aerial Vehicle—A Review Study. Drones 2022, 6, 86. [Google Scholar] [CrossRef]
- Keane, J.F.; Carr, S.S. A brief history of early unmanned aircraft. Johns Hopkins APL Tech. Dig. 2013, 32, 558–571. [Google Scholar]
- Carroll, T.; McAvoy, W. The Formation of Ice upon Airplanes in Flight. Airw. Age 1928, 58–59. Available online: https://ntrs.nasa.gov/citations/19930081134 (accessed on 18 December 2023).
- Jacobs, E.N. Airfoil section characteristics as affected by protuberances. NACA Rep. 1934, 446, 109–124. [Google Scholar]
- Jones, R.; Williams, D. Effect of Surface Roughness on Characteristics of Aerofoils NACA 0012 and RAF 34; HM Stationery Office: London, UK, 1936. [Google Scholar]
- Icing Research Tunnel; Program from the American Society of Mechanical Engineers dedication as an International Historic Mechanical Engineering Landmark: Cleveland, OH, USA, 1987.
- Gray, V.H. Effect of Ice and Frost Formations on Drag of NACA 651-212 Airfoil for Various Modes of Thermal Ice Protection; National Advisory Committee for Aeronautics: Washington, DC, USA, 1953. [Google Scholar]
- Gray, V.H. Correlations among Ice Measurements, Impingement Rates Icing Conditions, and Drag Coefficients for Unswept NACA 65A004 Airfoil; National Aeronautics and Space Administration: Cleveland, OH, USA, 1958. [Google Scholar]
- Gray, V.H.; vonGlahn, U.H. Aerodynamic Effects Caused by Icing of an Unswept NACA 65A004 Airfoil; National Aeronautics and Space Administration: Cleveland, OH, USA, 1958. [Google Scholar]
- Bragg, M.B.; Broeren, A.P.; Blumenthal, L.A. Iced-airfoil aerodynamics. Prog. Aerosp. Sci. 2005, 41, 323–362. [Google Scholar] [CrossRef]
- Potapczuk, M.; Gerhart, P. Progress in development of a Naviér-Stokes solver for evaluation of iced airfoil performance. In Proceedings of the 23rd Aerospace Sciences Meeting, Reno, NV, USA, 14–17 January 1985; p. 410. [Google Scholar]
- Aircraft Accident Report: In-Flight Icing Encounter and Loss of Control; National Transportation Safety Board: Washington, DC, USA, 1994.
- Koenig, G.; Ryerson, C.; Kmiec, R. UAV icing flight simulation. In Proceedings of the 40th AIAA Aerospace Sciences Meeting & Exhibit, Reno, NV, USA, 14–17 January 2002; p. 812. [Google Scholar]
- Hann, R.; Johansen, T.A. Unsettled Topics in Unmanned Aerial Vehicle Icing; SAE Technical Paper; SAE International: Warrendale, PA, USA, 2020. [Google Scholar]
- Kim, H.; Bragg, M. Effects of leading-edge ice accretion geometry on airfoil performance. In Proceedings of the 17th Applied Aerodynamics Conference, Las Vegas, NV, USA, 28 June–1 July 1999; p. 3150. [Google Scholar]
- Chung, J.; Addy, H., Jr. A numerical evaluation of icing effects on a natural laminar flow airfoil. In Proceedings of the 38th Aerospace Sciences Meeting and Exhibit, Reno, NV, USA, 10–13 January 2000; p. 96. [Google Scholar]
- Papadakis, M.; Yeong, H.W.; Vargas, M.; Potapczuk, M. Aerodynamic performance of a swept wing with ice accretions. In Proceedings of the 41st Aerospace Sciences Meeting and Exhibit, Reno, NV, USA, 6–9 January 2003; p. 731. [Google Scholar]
- Diebold, J.; Monastero, M.; Bragg, M. Aerodynamics of a swept wing with ice accretion at low Reynolds number. In Proceedings of the 30th AIAA Applied Aerodynamics Conference, New Orleans, LA, USA, 25–25 June 2012; p. 2795. [Google Scholar]
- Seifert, H.; Richert, F. Aerodynamics of iced airfoils and their influence on loads and power production. In Proceedings of the EWEC-Conference, Dublin Castle, Ireland, 6–9 October 1997; pp. 458–463. [Google Scholar]
- Hochart, C.; Fortin, G.; Perron, J.; Ilinca, A. Wind turbine performance under icing conditions. Wind. Energy Int. J. Prog. Appl. Wind. Power Convers. Technol. 2008, 11, 319–333. [Google Scholar] [CrossRef]
- Williams, N.; Benmeddour, A.; Brian, G.; Ol, M. The effect of icing on small unmanned aircraft low Reynolds number airfoils. In Proceedings of the 17th Australian International Aerospace Congress, Melbourne, Australia, 26 February–2 March 2017; pp. 19–25. [Google Scholar]
- Oo, N.L. Low Reynolds Number Aerodynamics of a UAV Wing under Icing Condition. ResearchSpace@ Auckland. Ph.D. Thesis, The University of Auckland, Auckland, New Zealand, 2020. [Google Scholar]
- Lindner, M.; Wallisch, J.; Hann, R. UAV Icing: Numerical Simulation of Icing Effects on Wing and Empennage; SAE Technical Paper; SAE International: Warrendale, PA, USA, 2023. [Google Scholar]
- Hann, R.; Müller, N.; Lindner, M.; Wallisch, J. UAV Icing: Experimental Validation Data for Predicting ice Shapes at Low Reynolds Numbers; SAE Technical Paper; SAE International: Warrendale, PA, USA, 2023. [Google Scholar]
- Cao, Y.; Tan, W.; Wu, Z. Aircraft icing: An ongoing threat to aviation safety. Aerosp. Sci. Technol. 2018, 75, 353–385. [Google Scholar] [CrossRef]
- Cao, Y.; Wu, Z.; Su, Y.; Xu, Z. Aircraft flight characteristics in icing conditions. Prog. Aerosp. Sci. 2015, 74, 62–80. [Google Scholar] [CrossRef]
- Raj, L.P.; Yee, K.; Myong, R. Sensitivity of ice accretion and aerodynamic performance degradation to critical physical and modeling parameters affecting airfoil icing. Aerosp. Sci. Technol. 2020, 98, 105659. [Google Scholar]
- Berengut, D. Statistics for Experimenters: Design, Innovation, and Discovery; Taylor & Francis: New York, NY, USA, 2006. [Google Scholar]
- Thomas, S.K.; Cassoni, R.P.; MacArthur, C.D. Aircraft anti-icing and de-icing techniques and modeling. J. Aircr. 1996, 33, 841–854. [Google Scholar] [CrossRef]
- Salisbury, J.T. Microwave Deicing and Anti-Icing System for Aircraft. U.S. Patent 5,615,849, 1 April 1997. [Google Scholar]
- Ferro, C.G.; Pietrangelo, F.; Maggiore, P. Heat Exchange Performance Evaluation Inside a Lattice Panel Using CFD Analysis for an Innovative Aerospace Anti-Icing System. Aerosp. Sci. Technol. 2023, 141, 108565. [Google Scholar] [CrossRef]
- Wallisch, J.; Hann, R. UAV Icing: Experimental Investigation of Ice Shedding Times with an Electrothermal De-Icing System. In Proceedings of the AIAA AVIATION 2022 Forum, Chicago, IL, USA, 27 June–1 July 2022; p. 3905. [Google Scholar]
- Mohseni, M.; Amirfazli, A. A novel electro-thermal anti-icing system for fiber-reinforced polymer composite airfoils. Cold Reg. Sci. Technol. 2013, 87, 47–58. [Google Scholar] [CrossRef]
- Karpen, N.; Diebald, S.; Dezitter, F.; Bonaccurso, E. Propeller-integrated airfoil heater system for small multirotor drones in icing environments: Anti-icing feasibility study. Cold Reg. Sci. Technol. 2022, 201, 103616. [Google Scholar] [CrossRef]
- Liu, H.H.; Hua, J. Three-dimensional integrated thermodynamic simulation for wing anti-icing system. J. Aircr. 2004, 41, 1291–1297. [Google Scholar] [CrossRef]
- Oo, N.L.; Richards, P.; Sharma, R. Influence of an ice-induced separation bubble on the laminar separation bubble on an RG-15 airfoil at low Reynolds numbers. In Proceedings of the AIAA Aviation 2020 Forum, Online, 15–19 June 2020; p. 3065. [Google Scholar]
- Hann, R. Hazards of In-Flight Icing on Unmanned Aircraft. In Proceedings of the Flight Testing of Unmanned Aerial Systems (UAS), Segovia, Spain, 12–13 May 2022. [Google Scholar]
- Szilder, K.; McIlwain, S. In-Flight Icing of UAVs-the Influence of Reynolds Number on the Ice Accretion Process; SAE International: Warrendale, PA, USA, 2011. [Google Scholar]
- Fajt, N.; Hann, R.; Lutz, T. The influence of meteorological conditions on the icing performance penalties on a UAV airfoil. In Proceedings of the 8th European Conference for Aeronautics and Space Sciences (EUCASS), Madrid, Spain, 1–4 July 2019. [Google Scholar]
- Szilder, K.; Yuan, W. In-flight icing on unmanned aerial vehicle and its aerodynamic penalties. Prog. Flight Phys. 2017, 9, 173–188. [Google Scholar]
- Ruff, G.A.; Berkowitz, B.M. Users Manual for the NASA Lewis Ice Accretion Prediction Code (LEWICE); National Aeronautics and Space Administration: Cleveland, OH, USA, 1990. [Google Scholar]
- Beaugendre, H.; Morency, F.; Habashi, W.G. FENSAP-ICE’s three-dimensional in-flight ice accretion module: ICE3D. J. Aircr. 2003, 40, 239–247. [Google Scholar] [CrossRef]
- Mingione, G.; Brandi, V. Ice accretion prediction on multielement airfoils. J. Aircr. 1998, 35, 240–246. [Google Scholar] [CrossRef]
- Gent, R. TRAJICE2—A combined water droplet trajectory and ice accretion prediction program for aerofoils. J. Mech. Sci. Technol. 1990, 26, 90054. [Google Scholar]
- Hedde, T.; Guffond, D. ONERA three-dimensional icing model. AIAA J. 1995, 33, 1038–1045. [Google Scholar] [CrossRef]
- Handbook, A.F. Federal Aviation Administration; Department of Transportation: Washington, DC, USA, 1972. [Google Scholar]
- Fluent, A. Ansys Fluent Theory Guide; Ansys Inc.: Canonsburg, PA, USA, 2011; Volume 15317, pp. 724–746. [Google Scholar]
- Oo, N.; Kay, N.; Brenkley, A.; Sharma, R. Investigation into the behaviour of an iced low Reynolds number aerofoil. In Proceedings of the Proceedings of the 10th International Micro-Air Vehicles Conference, Melbourne, Australia, 22–23 November 2018; pp. 22–23. [Google Scholar]
- Wright, W.B. User Manual for the NASA Glenn Ice Accretion Code LEWICE. Version 2.2.2; National Aeronautics and Space Administration: Cleveland, OH, USA, 2002. [Google Scholar]
- Mikkelsen, K.; Mcknight, R.; Ranaudo, R.; Perkins, J.P. Icing flight research-Aerodynamic effects of ice and ice shape documentation with stereo photography. In Proceedings of the 23rd Aerospace Sciences Meeting, Reno, NV, USA, 14–17 January 1985; p. 468. [Google Scholar]
- Cao, Y.; Huang, J. New method for direct numerical simulation of three-dimensional ice accretion. J. Aircr. 2015, 52, 650–659. [Google Scholar] [CrossRef]
- Kind, R.; Potapczuk, M.; Feo, A.; Golia, C.; Shah, A. Experimental and computational simulation of in-flight icing phenomena. Prog. Aerosp. Sci. 1998, 34, 257–345. [Google Scholar] [CrossRef]
- Liu, C.; Wang, Y. Numerical analysis of ice accretion effects at super-cooled large droplet conditions on airfoil aerodynamics. J. Mod. Transp. 2011, 19, 274–278. [Google Scholar] [CrossRef]
- Hann, R.; Hearst, R.J.; Sætran, L.R.; Bracchi, T. Experimental and numerical icing penalties of an S826 airfoil at low Reynolds numbers. Aerospace 2020, 7, 46. [Google Scholar] [CrossRef]
- Liu, D.; Nishino, T. Numerical analysis on the oscillation of stall cells over a NACA 0012 aerofoil. Comput. Fluids 2018, 175, 246–259. [Google Scholar] [CrossRef]
- Manni, L.; Nishino, T.; Delafin, P.-L. Numerical study of airfoil stall cells using a very wide computational domain. Comput. Fluids 2016, 140, 260–269. [Google Scholar] [CrossRef]













| Authors | Aerofoil Model | Experimental (EXP) or Numerical (NUM) | Notes | |
|---|---|---|---|---|
| Seifert and Richert [21], 1997 | 0.6 | NACA 4415 | EXP | Ice fragments from a small wind turbine used to create wind tunnel models to estimate energy loss. |
| Hochart et al. [22], 2008 | 0.3 to 0.7 | NACA 63-415 | NUM | Icing simulations on wind turbine blades in Quebec reveal ice effects on lift, drag, and de-icing potential. |
| Williams et al. [23], 2017 | 0.2 | RG-15 | EXP | Performance data from water and wind experiment at 3 specific angles of attack. |
| Oo et al. [24], 2020 | 0.05 to 0.2 | RG-15 | NUM | Performance data from transient simulation on icing and study on ice-induced separation bubble. |
| Lindner et al. [25], 2023 | 0.5 | RG-15 | NUM | to , where the transition from glaze ice to rime ice is located. |
| Hann et al. [26], 2023 | 0.56 to 0.6 | RG-15 | EXP | Performance data from wind experiment at , and . |
| This study | 0.2 | RG-15 | NUM | Performance data from steady-state simulation at , , and . |
| Mesh No. | |||
|---|---|---|---|
| M1 | 0.95 | 0.67 | |
| M2 | 0.95 | 0.74 | |
| M3 | 0.95 | 1.158 | |
| M4 | 0.95 | 1.648 |
| No. | Parameter | Value |
|---|---|---|
| 1 | Aerofoil Type | RG-15 |
| 2 | Chord Length () | |
| 3 | Free Stream Velocity () | |
| 4 | Reynolds Number | |
| 5 | Ceiling Altitude | |
| 6 | Temperature | |
| 7 | Exposure Time | |
| 8 | Angle of Attack () | |
| 9 | Liquid Water Content () |
| Weber Number | Break-Up Type | Comments |
|---|---|---|
| Vibrational break-up | Conditions induce droplet splitting and longer break-up time, which are neglected in FENSAP-ICE. | |
| Bag break-up | Droplet deforms into a disk, forms a bag, and disintegrates into fragments. | |
| Bag and stamen break-up | Similar to the bag mechanism, residual droplets are at the ring center. | |
| Sheet stripping break-up | Water sheds from oblate droplets, and a cloud of small droplets scatters. | |
| - | High Weber numbers create surface waves, erode, and break droplets again. |
| Oo et al. [23]—NUM | Williams et al. [22]—EXP | Current Study | ||||
|---|---|---|---|---|---|---|
| Clean | 0.211 | 0.012 | 0.165 | - | 0.209 | 0.016 |
| Ice-accreted | 0.185 | 0.018 | 0.141 | 0.013 | 0.181 | 0.017 |
| Icing Cases | Mean Effective Drop Diameter (μm) | ||
|---|---|---|---|
| 1 | |||
| 2 | |||
| 3 | |||
| 4 | |||
| 5 | |||
| 6 | |||
| 7 | |||
| 8 | |||
| 9 |
| Chordwise Maximum Ice Thickness |
Mass Center along Chord Length |
Mass Center along Maximum Height | |
|---|---|---|---|
| Clean | 0 | 41.37 | 16.52 |
| 2.39 | 41.15 | 16.52 | |
| 3.97 | 40.61 | 16.46 | |
| 4.22 | 40.52 | 16.36 |
Disclaimer/Publisher’s Note: The statements, opinions and data contained in all publications are solely those of the individual author(s) and contributor(s) and not of MDPI and/or the editor(s). MDPI and/or the editor(s) disclaim responsibility for any injury to people or property resulting from any ideas, methods, instructions or products referred to in the content. |
© 2023 by the authors. Licensee MDPI, Basel, Switzerland. This article is an open access article distributed under the terms and conditions of the Creative Commons Attribution (CC BY) license (https://creativecommons.org/licenses/by/4.0/).
Share and Cite
Cheng, H.; Zhao, D.; Oo, N.L.; Liu, X.; Dong, X. Numerical Investigation on Intermittent Maximum Ice Accretion and Aerodynamic Performances of RG-15 Aerofoil at Low Reynolds Number. Aerospace 2024, 11, 7. https://doi.org/10.3390/aerospace11010007
Cheng H, Zhao D, Oo NL, Liu X, Dong X. Numerical Investigation on Intermittent Maximum Ice Accretion and Aerodynamic Performances of RG-15 Aerofoil at Low Reynolds Number. Aerospace. 2024; 11(1):7. https://doi.org/10.3390/aerospace11010007
Chicago/Turabian StyleCheng, Haoyu, Dan Zhao, Nay Lin Oo, Xiran Liu, and Xu Dong. 2024. "Numerical Investigation on Intermittent Maximum Ice Accretion and Aerodynamic Performances of RG-15 Aerofoil at Low Reynolds Number" Aerospace 11, no. 1: 7. https://doi.org/10.3390/aerospace11010007
APA StyleCheng, H., Zhao, D., Oo, N. L., Liu, X., & Dong, X. (2024). Numerical Investigation on Intermittent Maximum Ice Accretion and Aerodynamic Performances of RG-15 Aerofoil at Low Reynolds Number. Aerospace, 11(1), 7. https://doi.org/10.3390/aerospace11010007

