Next Article in Journal
Fault-Tolerant Attitude Control Incorporating Reconfiguration Control Allocation for Supersonic Tailless Aircraft
Previous Article in Journal
Configuration Design and Dynamic Characteristics Analysis for Space Membrane Mechanism Based on Deployable Booms
Previous Article in Special Issue
Numerical Analysis of Glauert Inflow Formula for Single-Rotor Helicopter in Steady-Level Flight below Stall-Flutter Limit
 
 
Font Type:
Arial Georgia Verdana
Font Size:
Aa Aa Aa
Line Spacing:
Column Width:
Background:
Article

Implementation of a Holistic MCDM-Based Approach to Assess and Compare Aircraft, under the Prism of Sustainable Aviation

by
Dionysios N. Markatos
* and
Spiros G. Pantelakis
Laboratory of Technology & Strength of Materials, Department of Mechanical Engineering & Aeronautics, University of Patras, 26500 Patras, Greece
*
Author to whom correspondence should be addressed.
Aerospace 2023, 10(3), 240; https://doi.org/10.3390/aerospace10030240
Submission received: 5 January 2023 / Revised: 20 February 2023 / Accepted: 27 February 2023 / Published: 1 March 2023
(This article belongs to the Special Issue Advances in Aerospace Sciences and Technology III)

Abstract

Sustainability represents a key issue for the future of the aviation industry. The current work aims to assess and compare aircraft, under the prism of sustainable aviation. In the proposed approach, sustainability is understood as a trade-off between technological sustainability, economic competitiveness/costs, and ecological sustainability, with the latter also including circular economy aspects. To handle the trade-offs and lead to an effective decision, a multi-criteria decision-making (MCDM) methodology is applied, combining the analytic hierarchy process (AHP) and an appropriate weighted addition model. To demonstrate the proposed approach, a set of commercial aircraft incorporating novel fuel/propulsion technologies are compared and ranked with regards to their sustainability, using the metric of sustainability introduced. The dependency of the obtained ranking on the significance attributed to each of the sustainability aspects considered was also performed and discussed. To verify the reliability of the proposed approach, the obtained results are also compared with those obtained from a popular ranking tool from the literature.

1. Introduction

Sustainability represents one of the great challenges of our time. However, in the literature, a variety of interpretations of sustainability may be found, e.g., in [1]. In addition, sustainability is mostly understood as a qualitative term. Nevertheless, as the public’s desire for sustainable solutions grows stronger, so does the need to comprehensibly define and accurately assess sustainability.
Sustainability is of major concern also for the aviation industry, while the Green Deal targets for decarbonization have put the sector under increasing pressure [2]. So far, sustainability in aviation is mainly linked to the reduction of greenhouse gas emissions during operations; therefore, the focus of research activities mainly lies on solutions associated with new propulsion and fuel technologies and the reduction of fuel consumption [2]. Although the latter is an essential part to achieve a carbon-neutral aviation, this approach covers only a part of the aircraft overall sustainability, as other material-related and fuel-related aspects, such as production and manufacturing, end-of-life and circularity, maintenance, and economic and socio-economic aspects, appear to be mainly neglected in the lifecycle assessment of an aircraft [3,4].
In the above context, aircraft selection emerges as an important issue towards achieving long-term sustainability goals in the aviation industry as the selection of an aircraft to complement the airline fleet represents a critical issue in transportation planning [5]. With the aviation sector being significantly affected during the last years, mainly due to the requirements for carbon-neutrality and a sustainable and circular aviation sector, the number of criteria under consideration when selecting an aircraft has increased; therefore, the determination of appropriate criteria in the aircraft selection process is of utmost importance [6]. However, the criteria considered in the implemented MCDM for the evaluation, selection, or ranking of alternative aircraft, differ. Literature reviews on aircraft selection, conducted in the frame of recent studies, suggested mostly technical, operational, and economic criteria [5,6,7,8,9,10,11,12]. Moreover, it is worth noticing that several criteria considered might be conflicting with regards to their impact on sustainability. As an example, the increased use of composites to reduce weight and hence fuel consumption within the mission increases the problems related to achieving the goal of circular aviation, due to the challenges which are associated with their recycling. The problem becomes more pronounced by accounting for the fact that the principal type of composites used in aviation are thermoset-based. To tackle the multiple conflicting criteria involved when selecting among several alternatives, simplify the assessment process, and support decision-making, multi-criteria decision-making (MCDM) methods have emerged as the most employed approach, inside and outside the aviation sector [5,6,7,8,9,10,11,12,13,14,15,16,17,18].
On the other hand, although the significance of environmental aspects has been meanwhile well-understood, less attention has been paid so far to implementing environmental criteria when selecting an aircraft, while the studies addressing sustainability aspects when aircraft selection is a matter of discussion appear to be scarce [10]. In the context of ensuring environmental sustainability in the aviation sector, an increasing interest in emerging aircraft technologies has been seen during the last years. Among these technologies, novel fuel technologies, such as sustainable aviation fuels (SAFs), fully electric, hybrid-electric, hydrogen propulsion systems, or hybrid-hydrogen systems (e.g., liquid hydrogen combustion assisted by fuel cells), demonstrate the potential to enable a more efficient and sustainable aviation [4,19,20]. The inherent differences and characteristics of such technologies generate new requirements for aircraft design, involving new lightweight materials and structures, new propulsion architectures, and relevant aerodynamic technologies. Consequently, the assessment of the impact of different integrated technologies at the aircraft level is expected to result in several key performance indicators (KPIs) and lifecycle-related metrics. As the above-mentioned KPIs refer to a wide spectrum ranging from costs to emissions, performance/technological features, etc., their individual assessment may lead to contradicting conclusions. Hence, the overall impact of a new technology needs to be assessed in an interdisciplinary and holistic manner to derive reasonable conclusions for the future aviation industry and its sustainability.
In the above frame, the novelty of the current work lies on the effort to assess and compare aircraft, under the prism of sustainable aviation. In this context, the present work is proposing a holistic interpretation of sustainability, where sustainability is understood as being a trade-off between performance, economical, and ecological aspects, with the latter also including circular economy considerations. To assess the sustainability of the considered aircraft, a MCDM-based model/tool implemented by the authors at the component level [21,22,23] is enhanced and adapted to the aircraft level. The MCDM-based model combines the analytic hierarchy process (AHP) to derive the weights of potentially contradicting criteria and aspects as well as an appropriate aggregation method, namely the weighted sum model (WSM), to integrate relevant indicators into a single index, reflecting a trade-off between the above-mentioned criteria. The advantage of integrating the WSM into the proposed hybrid tool is that it offers a proportional linear transformation of the raw data, namely the relative order of magnitude of the standardized scores remains equal. The latter allows for a more effective and comprehensible interpretation of the final ranking obtained as well as for distinguishing the impact of each term on the final ranking. The introduced sustainability index aims to support the justification of a decision under the prism of holistic sustainability, and the index can be understood as a metric of sustainability and is used to obtain the ranking among the alternative aircraft. To illustrate the proposed approach, a set of commercial passenger aircraft, of similar range, incorporating novel aircraft fuel/propulsion technologies, were selected and ranked. The dependency of the ranking obtained on the significance attributed to each of the sustainability aspects considered was also assessed and discussed. Finally, the results are compared with those obtained by applying a popular ranking MCDM tool from the literature, namely TOPSIS, in order to validate the reliability of the proposed approach.

2. Methodology

2.1. Definition of Sustainability

For the aviation industry to ensure that the sector is future proof, the development of a new aircraft should be assessed on the basis of its impact towards a sustainable, circular, and climate-neutral aviation. The latter should also apply when an aircraft technology is the matter of discussion. Nevertheless, either for selecting a new aircraft among alternatives or for assessing the impact of a new technology, a clear and comprehensive definition of the term sustainability is required. Currently, sustainability in aviation is interpreted mainly from the environmental point of view and is linked to the development and implementation of novel energy carriers and fuels. However, this approach falls short of observing the whole sustainability picture. To overcome this shortcoming, in the present work, the following definition of sustainability at the product level is proposed: a product (or a technology) can be considered as sustainable if it is competitive in terms of performance, as compared to other similar products/technologies available in the market, and additionally is sustainable from the economic and ecological viewpoint, with the latter including both the environmental impact and circularity. In the proposed interpretation, sustainability emerges as a matter of trade-off between potentially contradicting aspects, linked to performance, economic, and ecological criteria. To this end, appropriate metrics related to the said aspects will be selected and exploited for the assessment of the overall sustainability of the investigated aircraft. Such metrics are often contradicting, and therefore, trade-offs among them will be addressed. In this frame, to assess and handle such trade-offs, the aircraft selection process has been viewed as a multi-criteria decision-making (MCDM) problem. The latter allows for the calculation of an index and is understood as a metric of sustainability. Said metric is calculated for each of the examined aircraft towards supporting the user to select the most sustainable aircraft. The tool implemented for the calculation of said sustainability metric is a hybrid one: it combines the analytic hierarchy process (AHP) and a weighted sum model (WSM). AHP is implemented to derive the weights attributed to the metrics considered, while WSM is used to make the aggregation of the metrics into a single index. Output is a weighted sum of the normalized individual metrics. Details about the AHP and WSM can be found in Section 2.3. The advantage of selecting the use of the WSM into the proposed hybrid tool is that it offers a proportional linear transformation of the raw data, namely it maintains the relative order of magnitude of the standardized scores. The latter allows for a more effective and comprehensible interpretation of the final ranking obtained as well as for distinguishing the impact of each of the considered metrics to the final output. The involved calculations were performed via a spreadsheet (excel-based) model. More details about the applied MCDM tool are presented in Section 2.3. To evaluate the proposed approach, four different aircraft types have been compared. As reference aircraft, A320 neo fueled by kerosene has been chosen. This has been compared with three alternative aircraft, namely, a A320 neo aircraft fueled by SAF, and two conceptual hydrogen-powered (LH2) aircrafts fueled either by blue hydrogen or green hydrogen.

2.2. Determination of Criteria and Metrics to Assess Aircraft Sustainability

When selecting an aircraft, the choice of the involved criteria and their respective metrics can have a significant effect on the ranking results among the aircraft types compared. Based on the interpretation of sustainability as introduced in Section 2.1, the criteria of technological performance, economic competitiveness/costs, environmental impact, and circularity need to be considered as being the relevant criteria when aircraft sustainability is assessed.

2.2.1. Technological Performance Metrics

In the proposed approach, technological performance is represented through the metrics of maximum payload and fuel intensity. Maximum payload capacity is defined as the sum of the passenger, baggage, cargo, and postage loads, which constitute part of the takeoff weight of a plane [11]. It can also be expressed as the total number of seats available (seating capacity) for a given range and can be obtained from a payload-range diagram. Seating capacity represents a very important selection criterion for the airlines, and it is not uncommon that this criterion is highly prioritized over other selection criteria [24]. In the current study, the maximum payload capacity is related to the number of seats available, for which a median mission of 1500 km has been considered.
The fuel intensity of the aircraft is expressed as the energy required per RPK, where RPK stands for revenue passenger kilometer. Fuel intensity is expressed as MJ/RPK and varies with mission length and aircraft type. RPK is formulated as the total of revenue-paying passengers times the distance travelled in kilometers and represents the most acceptable normalizing metric in aviation. Since RPK measures the actual demand for air transport, it is also referred to as ‘airline traffic’. Consequently, the fuel intensity or the fuel consumption represents a critical criterion when an aircraft selection is considered.

2.2.2. Costs (Economic Competitiveness)

Costs considered to express the economic aspect of the sustainability are: (i) fuel price (in EUR (€)/RPK), (ii) other direct operating costs (DOC), namely maintenance, labor, and ownership costs, and (iii) aircraft purchase cost, which is the investment cost to purchase an aircraft.

2.2.3. Environmental Impact Metrics

The metrics considered to express the environmental impact aspect of sustainability are: (i) CO2 emissions (kgCO2eq./RPK), (ii) NOx emissions (ppm/RPK), and (iii) contrails (radiative forcing units).

2.2.4. Circularity Metrics

In the context of the transition towards a circular economy, the proper consideration of the relationship between sustainability and circularity is mandatory. The term ‘circular economy’ appeared for the first time in 1988 [25]. A variety of interpretations have been proposed [26,27], and they lead to varying metrics and indicators in both form and content [25]. It is noteworthy that there are over 100 definitions of circular economy within the literature, with majority of them focusing on materials’ preservation [28,29,30]. The prevailing interpretation of circularity in aviation is the percentage of the components’ mass which can be reused or recycled after end-of-life (EoL) of the aircraft. In certain cases, this percentage could reach up to 85% [31,32]; however, the latter percentage regards previous-generation aircraft, where the aircraft structure is mainly composed of metallic materials, mainly aluminum. This interpretation has also been adopted in the present work. However, in the above interpretation of circularity, the performance features of the recycled products, which are an essential aspect in using a recycled product in aviation, are not accounted for.

2.3. The MCDM-Based Approach

The model combines two popular approaches to address evaluation problems, the analytic hierarchy process (AHP) [33] and the weighted sum model (WSM) [34]. AHP combined with other MCDM techniques is not uncommon in the literature, e.g., [8,13]. The output of the proposed analysis is the summation of normalized and weighted individual indicators. Proportionate normalization was used by dividing each value of the dataset by the total sum of the dataset. Based on the above, the formula to assess the sustainability of an aircraft takes the form:
S = K P × P + K C × C + K E × E + K C I R C × C I R C
where S is the quantitative sustainability index, and P, C, E, and CIRC are the normalized and aggregated indices associated with technological performance, costs, environmental impact, and circularity, respectively.
For the normalization of the relevant metrics, proportionate normalization was applied. In proportionate normalization, each value of a dataset is divided by the total sum; in this way, the normalized values maintain proportionality, reflecting the percentage of the sum of the total indicator’s values. Following normalization, the normalized values were multiplied by a weight factor referring to each of the considered criteria of technological performance, costs, environmental impact, and circularity. The weight factors were derived through the AHP, as will be described afterwards.
Importance factors (weights) KP, KC, KE, and KCIRC are attributed to the above metrics, respectively. Said factors are subjective weight factors obtained from the AHP weighting method, based on the user priorities. The weight factors reflect the importance of each term to the overall index value. AHP is a widely used method based on the principle of paired comparisons towards determining the relative priorities of the alternatives with respect to several criteria [35]. The main steps of the AHP analysis are: (a) define the goal and alternatives, (b) define the decision criteria, (c) assess the priority of each decision by use of pairwise comparisons, (d) calculate the weights of the criteria, and (e) analyze the consistency of the evaluation. The paired comparisons are used to compare the alternatives regarding to the criteria defined and estimate the criteria weights, on a scale of 1 to 9, where 1 means that the criteria are of equal importance, while 9 means that the selected criterion is extremely preferred over the criterion to which it is compared. The fundamental scale of AHP, according to which the comparisons are made, is shown in Table 1.
The AHP hierarchy structure of the aircraft selection problem is depicted in Figure 1. At the first level of the hierarchical analysis process, the overall goal is to select the airplane type. At the second level, the criteria proposed to select an aircraft are depicted. At the third level, the relevant sub-criteria linked to the main criteria are proposed. At the fourth level, the alternative aircraft under comparison are shown. It should be noted that AHP is implemented simply only for deriving the weights of the criteria considered (level 2 and level 3 of the flowchart in Figure 1), as the aggregation and subsequent ranking is performed by applying the WSM. More specifically, considering pairwise comparison matrices such as those that will be presented in Section 3.2, the steps to derive the weight factors are the following: (a) The columns are normalized so that the sum of all column values becomes 1. This is achieved by dividing each cell value by the sum of the column’s cell values. (b) The weight factors are obtained by calculating the arithmetic mean of each row of the normalized values.
These factors are the ones used in Equation (1). They are multiplied by the normalized indicators associated with performance, environment, costs, and circularity, in order to derive the final sustainability index.

3. Implementation

3.1. Case Study

To illustrate the proposed approach, a set of four commercial passenger aircraft were considered for comparison: a reference aircraft fueled either by Jet A fuel (kerosene) or SAF (e-kerosene), and a hydrogen-powered (LH2) aircraft fueled either by blue hydrogen (produced from natural gas and supported by carbon capture and storage) or green hydrogen (hydrogen produced through a renewable source) [36]. The chosen reference narrow-body turbofan is the Airbus A320 neo, while the hydrogen-powered aircraft is a conceptual design model which is a modification of the A320 neo, accommodating the LH2 storage system, and it is based on Airbus’s ZEROe program. The investigated aircraft and the relevant metrics for each aircraft are summarized in Table 2. The metrics have been taken from a recent paper published by the International Council on Clean Transportation (ICCT) [36], in which more details about the considered aircraft can be found.

3.2. Calculation of Sustainability Index Values

Based on Equation (1) and the described methodology, a sustainability index was derived for each of the four considered aircraft and a ranking among them occurred. For the implementation of the combined MCDM-based approach, a parametric spreadsheet model was developed, combining the AHP and the linear aggregation (weighted sum) algorithms. In this model, the user enters the data values associated with the criteria and the sub-criteria considered for the comparison of the aircraft under study as well as defines the relevant importance factors for each one of these criteria and sub-criteria. Finally, a quantitative ranking among the aircraft is derived. It should be noted that some metrics/sub-criteria, namely NOx emissions, contrails, and circularity, could not be quantified as there is no sufficient data available. Regarding the circularity metric considered, i.e., the mass percentage of the reused or recycled components, for the sake of simplicity, this value has been approximated to 100% for all examined aircraft. In addition, for the LH2, the DOCs and aircraft purchase costs are not available. Therefore, to enable a comparison without influencing its outcome, in the proposed equation of Section 2.3, the above-mentioned metrics are considered as being equal for the aircraft under consideration.
To derive the weights through the AHP and assess the sensitivity of the ranking obtained on the significance attributed to each of the sustainability aspects considered, five different scenarios were considered by defining the different priorities through the AHP scale of Table 1. The pairwise comparison matrices derived from the AHP analysis and the resulting weights are shown in Table 3. Regarding the definition of the scenarios considered, Scenario 1 assumes an equal importance among the considered criteria. Scenario 2 strongly prioritizes the environmental impact over the other criteria, which are considered of equal importance. In Scenario 3, costs are strongly prioritized over the other criteria, which are all considered equally important. Scenario 4 assumes an equal importance between technological performance and environmental impact, with both criteria being moderately preferred over costs and circularity performance. Finally, in a more complex scenario (Scenario 5), environmental impact and costs are considered equally important, technological performance and circularity are also considered of equal importance, environmental impact is strongly preferred over circularity, while costs are strongly preferred over technological performance and circularity. The spreadsheet model is also capable of accounting for importance weights’ variation among considered sub-criteria (e.g., between the maximum payload and the fuel intensity), however, for the sake of simplicity, an equal importance among the considered sub-criteria was considered in all scenarios. Moreover, the consistency ratio (CR) of the AHP pairwise comparisons, i.e., a measure of how consistent the pairwise comparisons are, was calculated. The consistency ratio was found to lie between zero and 0.07, where zero indicates a perfect consistency among the judgments, while any consistency ratio below the rule of thumb threshold of 0.1 is considered good [33].
Following the weights’ definition and normalization of the datasets, their aggregation into a single index was performed. Finally, to verify the reliability of the proposed method, the results have been compared with the ranking obtained from the TOPSIS ranking tool [37], where the criteria weights have been derived from the AHP and coincide with those utilized for the hybrid AHP-WSM model. The latter allows for a direct comparison among the two MCDM tools.

3.3. Results and Discussion

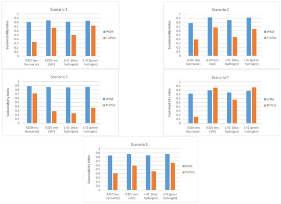
The obtained indices and the ranking of the considered aircraft, as well as the comparison with the results obtained through the implementation of the TOPSIS model, are shown in Table 4. The final rankings are also summarized in Figure 2.
The results obtained for the hybrid AHP-WSM model, for Scenario 1, suggested the A320 neo using SAF as the most suitable option. It was followed closely by the LH2 aircraft utilizing green hydrogen. The obtained ranking identified the A320 neo using SAF as the most balanced option. This result is understandable as in this scenario, all criteria are considered equally important and the obtained values for three out of the four criteria considered for the ranking are superior as compared to the relevant values obtained from the other aircraft.
When the environmental impact was prioritized over technological performance, costs, and circularity (Scenario 2), the AHP-WSM tool again suggested the A320 neo using SAF ranks as the most sustainable. It was followed very closely by the LH2 aircraft utilizing green hydrogen. This result is also understandable since both aircraft are expected to present a quite good environmental performance compared to the aircraft using kerosene or blue hydrogen.
In Scenario 3, where costs were prioritized over technological performance, environmental impact, and circularity, the highest sustainability index was for the A320 neo using kerosene. This result reflects the appreciably cheaper prices for kerosene fuel as compared to both SAF and liquid hydrogen.
In Scenario 4, where technological performance and environmental impact were prioritized over costs and circularity, the highest sustainability index was obtained once again for the A320 using SAF. This result reflects the combination of a good technological and environmental performance by involving this fuel, as compared to aircraft using kerosene or liquid hydrogen.
In Scenario 5, where, among the criteria the complex comparisons listed in Table 3 were performed, the LH2 aircraft utilizing green hydrogen appeared to be the most sustainable option according to the AHP-WSM tool. It is worth noticing that in scenarios where complex comparisons are made, a ranking on the basis of a sequence of logical reasoning is much more difficult without involving a tool reducing subjectivity, such as the one implemented in the present study.
Based on the comparison of the AHP-WSM with those obtained from the applied AHP-TOPSIS, for three out of five scenarios (2, 3, and 5), the two tools suggested the same ranking. For Scenarios 1 and 4, a rank exchange was observed between the first and second place. However, the first and second place for both models applied in said scenarios are very close to each other, indicating that these two choices appear as almost equally sustainable choices.
It needs to be underlined that the aim of the present work has been to demonstrate the approach of involving a quantitative holistic index for ranking aircraft of similar range, with regards to the holistic interpretation of sustainability introduced herein. However, the rankings obtained for the scenarios examined entail a certain amount of uncertainty. This is owed to the fact that certain data for some of the sub-criteria involved are not yet available, and this mainly refers to the LH2 aircraft. Hence, neglecting some of the sub-criteria in the performed analysis may appreciably overestimate or underestimate the sustainable index obtained. Such a case is, for example, the LH2 DOCs, which according to Clean Sky 2 [2] are expected to rise considerably due to the larger airframe of the aircraft and the frequent checks of the LH2 tanks, especially during the first years of the LH2 aircraft introduction in the market. Moreover, increased costs associated with longer refueling times and increased turnaround times as well as increased personnel costs are expected when the LH2 aircraft will be introduced [2]. Considering this in the analysis would appreciably penalize the term cost, and hence decrease the observed sustainability index for these aircraft. On the other hand, for the LH2 aircraft, apart from the CO2 emissions, which have the most detrimental effect on climate change, NOx is also expected to be significantly reduced as compared to aircraft using kerosene [38]. Considering this, the term expressing the environmental impact would decrease and consequently result in an increase to the overall sustainability index for the LH2 aircraft. Finally, the contrail effect on climate impact, which has been found to be comparable in magnitude to CO2′s impact [2], is expected to have a considerable effect on the environmental impact term, and hence the overall sustainability index. The latter remarks make evident the need to obtain relevant data and metrics to enable a reliable sustainability assessment.

4. Conclusions

In the present work, a definition of sustainability was proposed, where sustainability is understood as a matter of trade-off between potentially contradicting aspects, linked to technological performance, economic, and ecological criteria. Sustainability was expressed through a quantitative index. This index has been used to support selecting aircraft of a similar range.
To this end, a MCDM-based approach to support decision-making when selecting an aircraft was implemented. The MCDM-based model combined the analytic hierarchy process (AHP) and a linear aggregation method to integrate appropriate indicators into a single index. To illustrate the proposed approach, a set of commercial passenger aircraft of a similar range were considered and compared. To assess the reliability of the proposed approach and the sensitivity of our model to weights’ variation, several scenarios of different complexity were considered. It must be noted that the proposed methodology led to a ranking which was found to be sensitive to the weight variation, by accounting for a variety of representative weighting scenarios. The ranking referring to the less complex scenarios was found to be reasonable and consistent with the expected outcome. For more complex scenarios, it has been highlighted that such a ranking cannot occur without the use of tools such as the one implemented in the current work. The comparison of the results with those obtained from the application of the TOPSIS method suggested the same ranking for most of the scenarios considered. However, for two scenarios, a rank exchange was observed between the first and the second place.
The proposed methodology can be exploited by the aviation industry in future ranking and aircraft selection studies as a decision-making support tool, especially when contradicting aspects are present, as well as to support monitoring of future aircraft impacts on sustainability. However, it should be noted that the latter assessment is a preliminary one, aiming to assess the potential of such technologies, based on the available data. The maturity of the investigated technologies is currently at a low Technology Readiness Level (TRL); however, essential efforts are being made (e.g., [2]) to mature them in the next years, with the main aim to integrate them into new aircraft until 2035. The absence of data for aircraft under development does not yet allow the full implementation of the model, and hence data availability would considerably increase the confidence of the obtained ranking. The latter limitation is owed to the fact that two out of four aircraft considered are not yet existent and are being developed with the aim to respond to the current global environmental challenges; in addition, such data were up to now only partially gathered and shared by the aviation industry. It could be expected that with the ongoing efforts of the aviation industry in the research of new technologies, provision and access to such data will be facilitated, which will allow for a more precise assessment of the sustainability of future aircraft. It is worth noticing that aircraft sustainability assessment can be further enhanced with the introduction of additional criteria linked to the sustainability of the aviation industry. Such criteria are, for example, the incorporation of social and circular economy aspects and metrics. An investigation of the robustness of the proposed method by including a thorough sensitivity analysis of the final output to the weights’ variation, as well as to the data values’ variation, is a matter for a future study. Furthermore, a comparison of the ranking obtained through alternative MCDM methods is a subject for further research.

Author Contributions

Conceptualization, D.N.M. and S.G.P.; methodology, D.N.M. and S.G.P.; software, D.N.M. and S.G.P.; validation, D.N.M. and S.G.P.; formal analysis, D.N.M. and S.G.P.; investigation, D.N.M. and S.G.P.; resources, D.N.M. and S.G.P.; data curation, D.N.M. and S.G.P.; writing—original draft preparation, D.N.M. and S.G.P.; writing—review and editing, D.N.M. and S.G.P. visualization, D.N.M. and S.G.P.; supervision, D.N.M. and S.G.P.; project administration, D.N.M. and S.G.P. All authors have read and agreed to the published version of the manuscript.

Funding

This research received no external funding.

Institutional Review Board Statement

Not applicable.

Informed Consent Statement

Not applicable.

Data Availability Statement

Not applicable.

Conflicts of Interest

The authors declare no conflict of interest.

References

  1. Moore, J.E.; Mascarenhas, A.; Bain, J.; Straus, S.E. Developing a comprehensive definition of sustainability. Implement. Sci. 2017, 12, 110. [Google Scholar] [CrossRef] [PubMed]
  2. Fuel Cells and Hydrogen 2 Joint Undertaking. Hydrogen-Powered Aviation: A Fact-Based Study of Hydrogen Technology, Economics, and Climate Impact by 2050; Publications Offic of the Europen Union: Luxembourg, 2020. [Google Scholar]
  3. Association of European Research Establishments in Aeronautics. Circular Aviation; A Research Programme of the Future Sky Joint Research Initiative; EREA: Richmond, Australia, 2020. [Google Scholar]
  4. Barke, A.; Bley, T.; Thies, C.; Weckenborg, C.; Spengler, T.S. Are Sustainable Aviation Fuels a Viable Option for Decarbonizing Air Transport in Europe? An Environmental and Economic Sustainability Assessment. Appl. Sci. 2022, 12, 597. [Google Scholar] [CrossRef]
  5. Rasaizadi, A.; Ardestani, A.; Nahavandi, N. Airplane Selection to Renovate Air Transportation System: A Multi-Criteria Decision-Making Problem. Adv. Res. Civ. Eng. 2021, 3, 61–75. [Google Scholar]
  6. Torğul, B.; Demiralay, E.; Paksoy, T. Training aircraft selection for department of flight training in fuzzy environment. Decis. Mak. Appl. Manag. Eng. 2022, 5, 264–289. [Google Scholar] [CrossRef]
  7. Ma, J. Training Aircraft Selection of the Vietnam People’s Air Force Using a Hybrid BWM-Fuzzy TOPSIS Method”. Period. Polytech. Soc. Manag. Sci. 2022, 30, 141–157. [Google Scholar] [CrossRef]
  8. Yilmaz, A.K.; Malagas, K.; Jawad, M.; Nikitakos, N. Aircraft selection process with Technique for Order Performance by Similarity to Ideal Solution (TOPSIS) and AHP Integration. Int. J. Sustain. Aviat. 2020, 6, 220–235. [Google Scholar] [CrossRef]
  9. Ardil, C. ’Aircraft Selection Using Multiple Criteria Decision Making Analysis Method with Different Data Normalization Techniques’, World Academy of Science, Engineering and Technology, Open Science Index 156. Int. J. Ind. Syst. Eng. 2019, 13, 744–756. [Google Scholar]
  10. Bakir, M.; Akan, S.; Özdemir, E. Regional aircraft selection with fuzzy piprecia and fuzzy marcos: A case study of the turkish airline industry. Facta Univ. Ser. Mech. Eng. 2021, 19, 423–445. [Google Scholar] [CrossRef]
  11. Kiraci, K.; Bakir, M. Application of commercial aircraft selection in aviation industry through multi-criteria decision making methods. Celal Bayar Üniv. Sos. Bilim. Derg. 2018, 16, 307–332. [Google Scholar] [CrossRef]
  12. Dožić, S.; Lutovac, T.; Kalić, M. Fuzzy AHP approach to passenger aircraft type selection. J. Air Transp. Manag. 2018, 68, 165–175. [Google Scholar] [CrossRef]
  13. Vrtagić, S.; Softić, E.; Subotić, M.; Stević, Ž.; Dordevic, M.; Ponjavic, M. Ranking Road Sections Based on MCDM Model: New Improved Fuzzy SWARA (IMF SWARA). Axioms 2021, 10, 92. [Google Scholar] [CrossRef]
  14. Stević, Ž.; Miškić, S.; Vojinović, D.; Huskanović, E.; Stanković, M.; Pamučar, D. Development of a Model for Evaluating the Efficiency of Transport Companies: PCA–DEA–MCDM Model. Axioms 2022, 11, 140. [Google Scholar] [CrossRef]
  15. Moslem, S.; Çelikbilek, Y. An integrated grey AHP-MOORA model for ameliorating public transport service quality. Eur. Transp. Res. Rev. 2020, 12, 68. [Google Scholar] [CrossRef]
  16. Rong, Y.; Yu, L.; Niu, W.; Liu, Y. Tapan Senapati, Arunodaya Raj Mishra, MARCOS approach based upon cubic Fermatean fuzzy set and its application in evaluation and selecting cold chain logistics distribution center. Eng. Appl. Artif. Intell. 2022, 116, 105401. [Google Scholar] [CrossRef]
  17. Senapati, T.; Chen, G.; Yager, R.R. Aczel–Alsina aggregation operators and their application to intuitionistic fuzzy multiple attribute decision making. Int. J. Intell. Syst. 2022, 37, 1529–1551. [Google Scholar] [CrossRef]
  18. Moslem, S.; Campisi, T.; Szmelter-Jarosz, A.; Duleba, S.; Nahiduzzaman, K.M.; Tesoriere, G. Best–Worst Method for Modelling Mobility Choice after COVID-19: Evidence from Italy. Sustainability 2020, 12, 6824. [Google Scholar] [CrossRef]
  19. Pinheiro Melo, S.; Barke, A.; Cerdas, F.; Thies, C.; Mennenga, M.; Spengler, T.S.; Herrmann, C. Sustainability assessment and engineering of emerging aircraft technologies—Challenges, methods and tools. Sustainability 2020, 12, 5663. [Google Scholar] [CrossRef]
  20. Thomson, R.; Sachdeva, N.; Healy, A.; Bailly, N.; Stern, C. Sustainable Aviation Fuels; Roland Berger Ltd.: London, UK, 2020. [Google Scholar]
  21. Katsiropoulos, C.V.; Pantelakis, S.G. A novel holistic index for the optimization of composite components and manufacturing processes with regard to quality, life cycle costs and environmental performance. Aerospace 2020, 7, 157. [Google Scholar] [CrossRef]
  22. Markatos, D.N.; Katsiropoulos, C.; Tserpes, K.; Pantelakis, S. A holistic End-of-Life (EοL) Index for the quantitative impact assessment of CFRP waste recycling techniques. Manuf. Rev. 2021, 8, 18. [Google Scholar]
  23. Markatos, D.N.; Pantelakis, S.G. Assessment of the Impact of Material Selection on Aviation Sustainability, from a Circular Economy Perspective. Aerospace 2022, 9, 52. [Google Scholar] [CrossRef]
  24. Dožić, S.; Kalić, M. Comparison of Two MCDM Methodologies in Aircraft Type Selection Problem. Transp. Res. Procedia 2015, 10, 910–919. [Google Scholar] [CrossRef]
  25. Kneese, A.V. The Economics of Natural Resources. Popul. Dev. Rev. 1988, 14, 281–309. [Google Scholar] [CrossRef]
  26. Saidani, M.; Yannou, B.; Leroy, Y.; Cluzel, F. How to Assess Product Performance in the Circular Economy? Proposed Requirements for the Design of a Circularity Measurement Framework. Recycling 2017, 2, 6. [Google Scholar] [CrossRef]
  27. Rigamonti, L.; Mancini, E. Life cycle assessment and circularity indicators. Int. J. Life Cycle Assess 2021, 26, 1937–1942. [Google Scholar] [CrossRef]
  28. Corona, B.; Shen, L.i.; Reike, D.; Carreón, J.R.; Worrell, E. Towards sustainable development through the circular economy—A review and critical assessment on current circularity metrics, Resources. Conserv. Recycl. 2019, 151, 104498. [Google Scholar] [CrossRef]
  29. Kirchherr, J.; Reike, D.; Hekkert, M. Conceptualizing the circular economy: An analysis of 114 definitions. Resour. Conserv. Recycl. 2017, 127, 221–232. [Google Scholar] [CrossRef]
  30. Moraga, G.; Huysveld, S.; Mathieux, F.; Blengini, G.A.; Alaerts, L.; Van Acker, K.; de Meester, S.; Dewulf, J. Circular economy indicators: What do they measure? Resour. Conserv. Recycl. 2019, 146, 452–461. [Google Scholar] [CrossRef] [PubMed]
  31. Zhao, D.; Guo, Z.; Xue, J. Research on Scrap Recycling of Retired Civil Aircraft IOP Conference Series: Earth and Environmental Science 2021; IOP Publishing: Bristol, UK, 2021; Volume 657, p. 012062s. [Google Scholar]
  32. PAMELA Project. Process for Advanced Management of End of Life of Aircraft PROJECTS. Available online: https://trimis.ec.europa.eu/project/process-advanced-management-end-life-aircraft (accessed on 1 December 2022).
  33. Saaty, T.L. The Analytic Hierarchy Process: Planning, Priority Setting, Resource Allocation; McGraw-Hill: New York, NY, USA, 1980; p. 287. [Google Scholar]
  34. Churchman, C.W.; Ackoff, R.L. An Approximate Measure of Value. J. Oper. Res. Soc. Am. 1954, 2, 172–187. [Google Scholar] [CrossRef]
  35. Madzík, P.; Falát, L. State-of-the-art on analytic hierarchy process in the last 40 years: Literature review based on Latent Dirichlet Allocation topic modelling. PLoS ONE 2022, 17, e0268777. [Google Scholar] [CrossRef]
  36. Mukhopadhaya, J.; Rutherford, D. Performance analysis of evolutionary hydrogen-powered aircraft. In White Paper of the International Council on Clean Transportation (ICCT); International Council on Clean Transportation: Washington, DC, USA, 2022. [Google Scholar]
  37. Goswami, S.S.; Behera, D.K. An Analysis for Selecting Best Smartphone Model by AHP-TOPSIS Decision-Making Methodology. Int. J. Serv. Sci. Manag. Eng. Technol. (IJSSMET) 2021, 12, 116–137. [Google Scholar] [CrossRef]
  38. Choi, Y.; Lee, J. Estimation of Liquid Hydrogen Fuels in Aviation. Aerospace 2022, 9, 564. [Google Scholar] [CrossRef]
Figure 1. The AHP hierarchy structure of the aircraft process.
Figure 1. The AHP hierarchy structure of the aircraft process.
Aerospace 10 00240 g001
Figure 2. Comparison of WSM and TOPSIS aircraft ranking for the five scenarios considered.
Figure 2. Comparison of WSM and TOPSIS aircraft ranking for the five scenarios considered.
Aerospace 10 00240 g002
Table 1. The AHP scale.
Table 1. The AHP scale.
ScaleNumerical RatingReciprocal
Extremely preferred91/9
Very strong to extremely81/8
Very strongly preferred71/7
Strongly to very strongly61/6
Strongly preferred51/5
Moderately to strongly41/4
Moderately preferred31/3
Equally to moderately21/2
Equally preferred11
Table 2. Investigated aircraft and metrics considered for aircraft sustainability assessment.
Table 2. Investigated aircraft and metrics considered for aircraft sustainability assessment.
Type of AircraftA320 Neo (Kerosene)A320 Neo
(SAF)
LH2 (Narrow-Body Turbofan)
Blue Hydrogen
LH2 (Narrow-Body Turbofan)
Green Hydrogen
Performance Metrics
Maximum payload/seats (number)180180192192
Fuel intensity (MJ/RPK)0.780.781.061.06
Environmental Impact Metrics
Carbon intensity (kg CO2eq./RPK)0.072810.000360.030140.00045
Nitrogen oxides----
Water vapor----
Economic Impact Metrics
Fuel price (EUR (€)/RPK)0.0130.0490.0440.041
DOC ----
Aircraft purchase costs----
Circularity Metrics
Recycled mass percentage1111
Table 3. Pairwise comparisons of the AHP model.
Table 3. Pairwise comparisons of the AHP model.
Scenario 1
Technological PerformanceEnvironmental ImpactCostsCircularityWeight factor
Technological Performance11110.33
Environmental Impact11110.33
Costs11110.33
Circularity 11110.33
CR: 0
Scenario 2
Technological PerformanceEnvironmental ImpactCostsCircularityWeight factor
Technological Performance11/5110.625
Environmental Impact51550.125
Costs11/5110.125
Circularity 11/5110.125
CR: 0
Scenario 3
Technological PerformanceEnvironmental ImpactCostsCircularityWeight factor
Technological Performance111/510.125
Environmental Impact111/510.125
Costs55150.625
Circularity 111/510.125
CR: 0
Scenario 4
Technological PerformanceEnvironmental ImpactCostsCircularityWeight factor
Technological Performance11330.375
Environmental Impact11330.375
Costs1/31/3110.125
Circularity 1/31/3110.125
CR: 0
Scenario 5
Technological PerformanceEnvironmental ImpactCostsCircularityWeight factor
Technological Performance111/510.15
Environmental Impact11150.32
Costs51150.44
Circularity 11/51/510.09
CR: 0.07
Table 4. Comparison of AHP-WSM with AHP-TOPSIS.
Table 4. Comparison of AHP-WSM with AHP-TOPSIS.
Comparison of SWM with TOPSIS
SWMTOPSIS
Aircraft TypeIndex ValueRanking OrderIndex ValueRanking Order
Scenario 1
A320 neo (kerosene)0.80640.3354
A320 neo (SAF)0.84410.6682
LH2 (blue hydrogen)0.81230.4973
LH2 (green hydrogen)0.83820.7171
Scenario 2
A320 neo (kerosene)0.78640.39094
A320 neo (SAF)0.92110.6811
LH2 (blue hydrogen)0.85830.4543
LH2 (green hydrogen)0.91820.6422
Scenario 3
A320 neo (kerosene)0.88810.7131
A320 neo (SAF)0.86630.2873
LH2 (blue hydrogen)0.85640.2384
LH2 (green hydrogen)0.87220.3712
Scenario 4
A320 neo (kerosene)0.71640.1564
A320 neo (SAF)0.79310.8572
LH2 (blue hydrogen)0.74430.5713
LH2 (green hydrogen)0.78020.8671
Scenario 5
A320 neo (kerosene)0.83540.4074
A320 neo (SAF)0.87320.5942
LH2 (blue hydrogen)0.84130.4533
LH2 (green hydrogen)0.87510.6541
Disclaimer/Publisher’s Note: The statements, opinions and data contained in all publications are solely those of the individual author(s) and contributor(s) and not of MDPI and/or the editor(s). MDPI and/or the editor(s) disclaim responsibility for any injury to people or property resulting from any ideas, methods, instructions or products referred to in the content.

Share and Cite

MDPI and ACS Style

Markatos, D.N.; Pantelakis, S.G. Implementation of a Holistic MCDM-Based Approach to Assess and Compare Aircraft, under the Prism of Sustainable Aviation. Aerospace 2023, 10, 240. https://doi.org/10.3390/aerospace10030240

AMA Style

Markatos DN, Pantelakis SG. Implementation of a Holistic MCDM-Based Approach to Assess and Compare Aircraft, under the Prism of Sustainable Aviation. Aerospace. 2023; 10(3):240. https://doi.org/10.3390/aerospace10030240

Chicago/Turabian Style

Markatos, Dionysios N., and Spiros G. Pantelakis. 2023. "Implementation of a Holistic MCDM-Based Approach to Assess and Compare Aircraft, under the Prism of Sustainable Aviation" Aerospace 10, no. 3: 240. https://doi.org/10.3390/aerospace10030240

APA Style

Markatos, D. N., & Pantelakis, S. G. (2023). Implementation of a Holistic MCDM-Based Approach to Assess and Compare Aircraft, under the Prism of Sustainable Aviation. Aerospace, 10(3), 240. https://doi.org/10.3390/aerospace10030240

Note that from the first issue of 2016, this journal uses article numbers instead of page numbers. See further details here.

Article Metrics

Back to TopTop