Effect of Blade Tip Configurations on the Performance and Vibration of a Lift-Offset Coaxial Rotor
Abstract
1. Introduction
2. Analytical Methods
Aeromechanics Modeling and Analytical Techniques
3. Results
3.1. Fan Plot Analyses
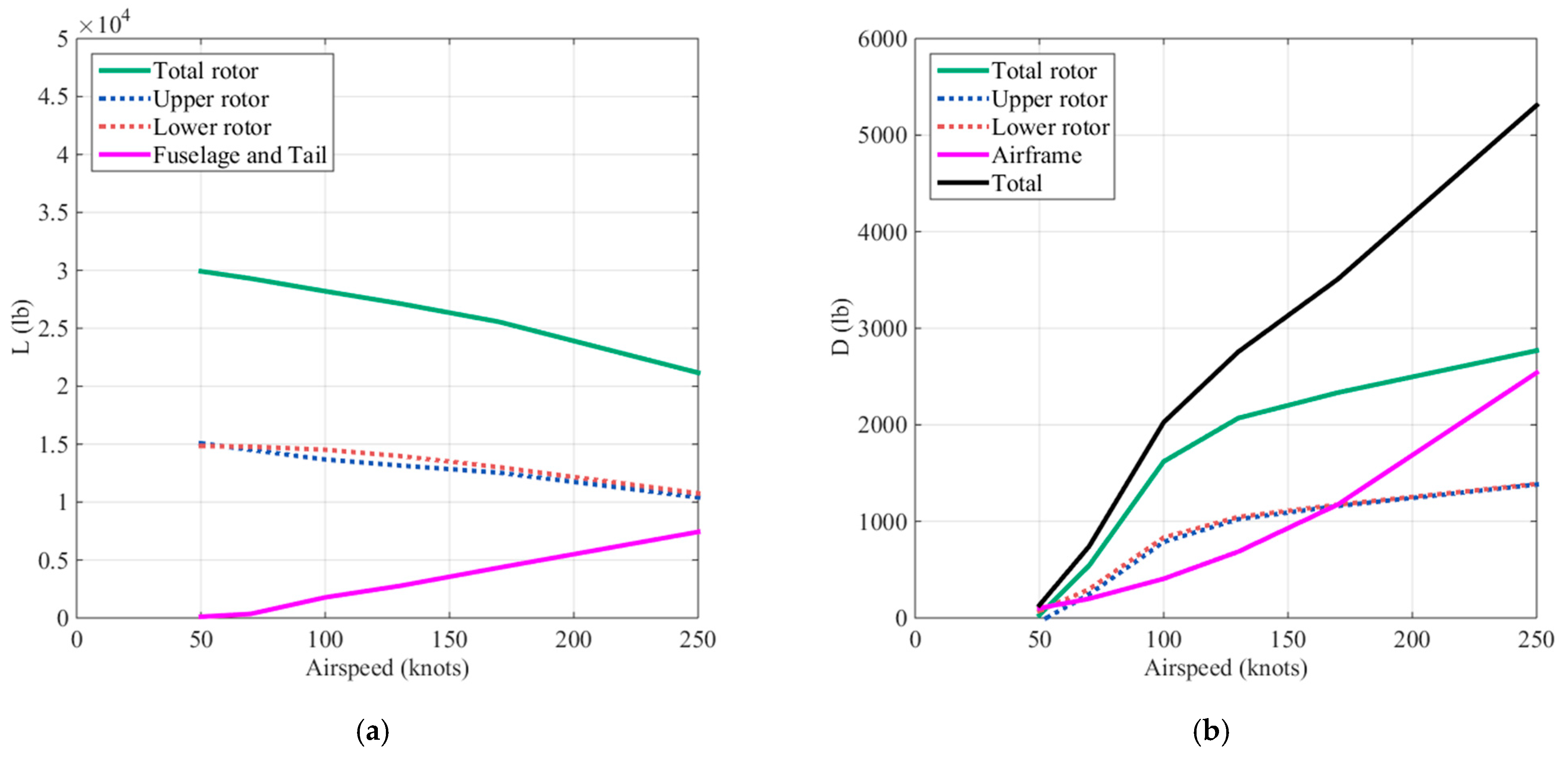
3.2. Performance Analyses
3.3. Blade Airload Analyses
3.4. Hub Vibratory Load Analyses
4. Conclusions
Author Contributions
Funding
Institutional Review Board Statement
Informed Consent Statement
Data Availability Statement
Conflicts of Interest
References
- Colucci, F. The moving parts of future vertical lift. Vertiflite 2019, 65, 12–16. [Google Scholar]
- Zhao, J.; Tuozzo, N.; Brigley, M.; Modarres, R.; Monico, M.; Makinen, S. CFD-CSD support for rotor design improvement to reduce vibrations. In Proceedings of the Vertical Flight Society (VFS) 77th Annual Forum & Technology Display, Virtual, 10–14 May 2021. [Google Scholar]
- Ruddell, A.J.; Groth, W.; McCutcheon, R. Advancing Blade Concept (ABC) Technology Demonstrator; USAAVRADCOM-TR-81-D-5; Defense Technical Information Center: Fort Belvoir, VA, USA, 1981. [Google Scholar]
- Bagai, A. Aerodynamic design of the X2 technology demonstratorTM main rotor blade. In Proceedings of the 64th Annual Forum of the American Helicopter Society International, Montreal, QC, Canada, 29 April–1 May 2008. [Google Scholar]
- Johnson, W.; Moodie, A.M.; Yeo, H. Design and performance of lift-offset rotorcraft for short-haul missions. In Proceedings of the American Helicopter Society Future Vertical Lift Aircraft Design Conference, San Francisco, CA, USA, 18–20 January 2012. [Google Scholar]
- Go, J.-I.; Kim, D.-H.; Park, J.-S. Performance and vibration analyses of lift-offset helicopters. Int. J. Aerosp. Eng. 2017, 2017, 1865751. [Google Scholar] [CrossRef]
- Kwon, Y.-M.; Park, J.-S.; Wie, S.-Y.; Kang, H.J.; Kim, D.-H. Aeromechanics analyses of a modern lift-offset coaxial rotor in high-speed forward flight. Int. J. Aeronaut. Space Sci. 2021, 22, 338–351. [Google Scholar] [CrossRef]
- Walsh, D.; Weiner, S.; Arifian, K.; Lawrence, T.; Wilson, M.; Millott, T.; Blackwell, R. High airspeed testing of the Sikorsky X2 technologyTM demonstrator. In Proceedings of the 67th Annual Forum of the American Helicopter Society International, Virginia Beach, VA, USA, 3–5 May 2011. [Google Scholar]
- Jacobellis, G.; Anusonti-Inthra, P.; Gandhi, F. Investigation of blade loads on a modern high-speed lift-offset coaxial helicopter using coupled computational fluid dynamics/computational structural dynamics. In Proceedings of the AHS Aeromechanics Specialists’ Meeting, San Francisco, CA, USA, 16–19 January 2018. [Google Scholar]
- Hunter, D.H.; Thomas, J.; Beatty, R.D.; Tuozzo, N.C.; Egolf, T.A.; Lorber, P.F.; Moffitt, R.C.; Westfall, S. Dual Rotor, Rotary Wing Aircraft. U.S. Patent 10822076 B2, 5 January 2021. [Google Scholar]
- Zhao, J.; Brigley, M.; Modarres, R. S-97 Raider rotor® lower speed vibratory loads analysis using CFD-CSD. In Proceedings of the AIAA SciTech Forum, San Diego, CA, USA, 7–11 January 2019. [Google Scholar]
- Xin, H.; Zhang, C.; Black, A.; Thorsen, A.; Luszcz, M.; Smith, T.; Herrmann, T.; Jaeger, P. S-97 Raider® GenHel model development and correlation with flight test data. In Proceedings of the Vertical Flight Society (VFS) 77th Annual Forum & Technology Display, Virtual, 10–14 May 2021. [Google Scholar]
- Lorber, P.; Bowles, P.O.; Fox, E.; Wang, Z.K.; Hein, B.; Mayrides, B. Wind tunnel testing for the SB>1 DefiantTM joint multi-role technology demonstrator. In Proceedings of the AHS International 73rd Annual Forum & Technology Display, Fort Worth, TX, USA, 9–11 May 2017. [Google Scholar]
- Tuozzo, N.; Fox, E.; Eller, E.; Mayrides, E.; Zientek, T.A.; Lorber, P.; Narducci, R.P.; Sproul, T. Analytical tool correlation status for the joint multi-role technology demonstrator program. In Proceedings of the AHS International 73rd Annual Forum & Technology Display, Fort Worth, TX, USA, 9–11 May 2017. [Google Scholar]
- Bagai, A.; Leishman, J.G. Rotor free-wake modeling using a pseudoimplicit relaxation algorithm. J. Aircr. 1995, 32, 1276–1285. [Google Scholar] [CrossRef]
- Johnson, W. CAMRAD II: Comprehensive Analytical Model of Rotorcraft Aerodynamics and Dynamics; Johnson Aeronautics: Palo Alto, CA, USA, 1992. [Google Scholar]
- Desopper, A.; Lafon, P.; Philippe, J.J.; Onera, J.P. Effect of an anhedral sweptback tip on the performance of a helicopter rotor. Vertica 1988, 12, 345–355. [Google Scholar]
- Hwang, C.; Joo, G. Parametric study for the low BVI noise rotor blade design. Int. J. Aeronaut. Space Sci. 2003, 4, 88–98. [Google Scholar] [CrossRef]
- Kim, K.C.; Chopra, I. Aeroelastic analysis of swept, anhedral, and tapered tip rotor blades. J. Am. Helicopter Soc. 1992, 37, 15–30. [Google Scholar] [CrossRef]
- Colucci, F. Scaling up success—Sikorsky-Boeing SB>1 Defiant. Vertiflite 2016, 62, 40–43. [Google Scholar]
- Drela, M. A User’s Guide to MSES 3.05; MIT Department of Aeronautics and Astronautics: Cambridge, MA, USA, 2007. [Google Scholar]
- Lim, J.W.; McAlister, K.W.; Johnson, W. Hover Performance Correlation for Full-Scale and Model-Scale Coaxial Rotors. J. Am. Helicopter Soc. 2009, 54, 32005. [Google Scholar] [CrossRef]
- Saberi, H.; Khoshlahjeh, M.; Ormiston, R.A.; Rutkowski, M.J. Overview of RCAS and application to advanced rotorcraft problems. In Proceedings of the AHS 4th Decennial Specialist’s Conference on Aeromechanics, San Francisco, CA, USA, 21–23 January 2004. [Google Scholar]
- O’Leary, J.; Miao, W. Design of higher harmonic control for the ABCTM. J. Am. Helicopter Soc. 1982, 27, 52–57. [Google Scholar] [CrossRef]
- Van der Wall, B.G.; Yin, J. DLR’s S4 rotor code validation with HART II data: The baseline case. In Proceedings of the International Forum on Rotorcraft Multidisciplinary Technology, Seoul, Republic of Korea, 15–17 October 2007. [Google Scholar]
- Park, J.-S.; Jung, S.N.; Park, S.-H.; Yu, Y.H. Correlation study of a rotor in descending flight using DYMORE with a freewake model. J. Mech. Sci. Technol. 2010, 24, 1583–1594. [Google Scholar] [CrossRef]





















| Property | Value |
|---|---|
| Gross weight, GW (lb) | 30,000 |
| Hub type | Hingeless |
| Number of blades per rotor | 4 |
| Rotor radius, R (ft) | 25 |
| Inter-rotor spacing, ΔZ | 11.4%R |
| Root cutout | 14.2%R |
| Nominal rotor speed (RPM) | 249.54 |
| Maximum flight speed (knots) | 250 |
| Coaxial rotor solidity, σ | 0.1411 |
| Cross-over angle (°) | 0.0 |
| Sweepback angle (°) | 20 at 90%R |
| Anhedral angle (°) | 10 at 90%R |
Disclaimer/Publisher’s Note: The statements, opinions and data contained in all publications are solely those of the individual author(s) and contributor(s) and not of MDPI and/or the editor(s). MDPI and/or the editor(s) disclaim responsibility for any injury to people or property resulting from any ideas, methods, instructions or products referred to in the content. |
© 2023 by the authors. Licensee MDPI, Basel, Switzerland. This article is an open access article distributed under the terms and conditions of the Creative Commons Attribution (CC BY) license (https://creativecommons.org/licenses/by/4.0/).
Share and Cite
Lee, Y.-B.; Park, J.-S. Effect of Blade Tip Configurations on the Performance and Vibration of a Lift-Offset Coaxial Rotor. Aerospace 2023, 10, 187. https://doi.org/10.3390/aerospace10020187
Lee Y-B, Park J-S. Effect of Blade Tip Configurations on the Performance and Vibration of a Lift-Offset Coaxial Rotor. Aerospace. 2023; 10(2):187. https://doi.org/10.3390/aerospace10020187
Chicago/Turabian StyleLee, Yu-Been, and Jae-Sang Park. 2023. "Effect of Blade Tip Configurations on the Performance and Vibration of a Lift-Offset Coaxial Rotor" Aerospace 10, no. 2: 187. https://doi.org/10.3390/aerospace10020187
APA StyleLee, Y.-B., & Park, J.-S. (2023). Effect of Blade Tip Configurations on the Performance and Vibration of a Lift-Offset Coaxial Rotor. Aerospace, 10(2), 187. https://doi.org/10.3390/aerospace10020187

